Saccharoquinoline, a Cytotoxic Alkaloidal Meroterpenoid from Marine-Derived Bacterium Saccharomonospora sp.
Abstract
1. Introduction
2. Results and Discussion
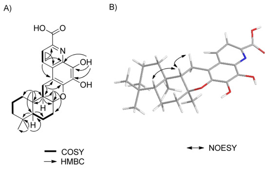
2.1. Chemical Structure Elucidation
2.2. Bioactivities
3. Materials and Methods
3.1. General Experimental Procedures
3.2. Strain Isolation and Fermentation
3.3. Extraction and Purification
3.4. Cytotoxicity Test
3.5. Western Blot
4. Conclusions
Supplementary Materials
Author Contributions
Funding
Acknowledgments
Conflicts of Interest
References
- Maloney, K.N.; MacMillan, J.B.; Kauffman, C.A.; Jensen, P.R.; Dipasquale, A.G.; Rheingold, A.L.; Fenical, W. Lodopyridone, a structurally unprecedented alkaloid from a marine Actinomycete. Org. Lett. 2009, 11, 5422–5424. [Google Scholar] [CrossRef] [PubMed]
- Le, T.C.; Yim, C.-Y.; Park, S.; Katila, N.; Yang, I.; Song, M.C.; Yoon, Y.J.; Choi, D.-Y.; Choi, H.; Nam, S.-J.; et al. Lodopyridones B and C from a marine sediment-derived bacterium Saccharomonospora sp. Bioorgan. Med. Chem. Lett. 2017, 27, 3123–3126. [Google Scholar] [CrossRef] [PubMed]
- Yim, C.-Y.; Le, T.C.; Lee, T.G.; Yang, I.; Choi, H.; Lee, J.; Kang, K.-Y.; Lee, J.S.; Lim, K.M.; Yee, S.-T.; et al. Saccharomonopyrones A–C, new α-pyrones from a marine sediment-derived bacterium Saccharomonospora sp. CNQ-490. Mar. Drugs 2017, 15, 239. [Google Scholar] [CrossRef] [PubMed]
- Yamanaka, K.; Reynolds, K.A.; Kersten, R.D.; Ryan, K.S.; Gonzalez, D.J.; Nizet, V.; Dorrestein, P.C.; Moore, B.S. Direct cloning and refactoring of a silent lipopeptide biosynthetic gene cluster yields the antibiotic taromycin A. Proc. Natl. Acad. Sci. USA 2014, 111, 1957–1962. [Google Scholar] [CrossRef] [PubMed]
- Reynolds, K.A.; Luhavaya, H.; Li, J.; Dahesh, S.; Nizet, V.; Yamanaka, K.; Moore, B.S. Isolation and structure elucidation of lipopeptide antibiotic taromycin B from the activated taromycin biosynthetic gene cluster. J. Antibiot. 2018, 71, 333–338. [Google Scholar] [CrossRef] [PubMed]
- Matsuo, Y.; Imagawa, H.; Nishizawa, M.; Shizuri, Y. Isolation of an algal morphogenesis inducer from a marine bacterium. Science 2005, 307, 1598. [Google Scholar] [CrossRef] [PubMed]
- Gao, X.; Matsuo, Y.; Snider, B.B. Synthesis of ent-thallusin. Org. Lett. 2006, 8, 2123–2126. [Google Scholar] [CrossRef] [PubMed]
- Nishizawa, M.; Iyenaga, T.; Kurisaki, T.; Yamamoto, H.; Sharfuddin, M.; Namba, K.; Imagawa, H.; Shizuri, Y.; Matsuo, Y. Total synthesis and morphogenesis-inducing activity of (±)-thallusin and its analogues. Tetrahedron Lett. 2007, 48, 4229–4233. [Google Scholar] [CrossRef]
- Yamamoto, H.; Takagi, Y.; Oshiro, T.; Mitsuyama, T.; Sasaki, I.; Yamasaki, N.; Yamada, A.; Kenmoku, H.; Matsuo, Y.; Kasai, Y.; et al. Total synthesis of (-)-thallusin: Utilization of enzymatic hydrolysis resolution. J. Org. Chem. 2014, 79, 8850–8855. [Google Scholar] [CrossRef] [PubMed]
- Weber, C.; Brückner, C.; Weinreb, S.; Lehr, C.; Essl, C.; Boles, E. Biosynthesis of cis,cis-muconic acid and its aromatic precursors, catechol and protocatechuic acid, from renewable feedstocks by Saccharomyces cerevisiae. Appl. Environ. Microbiol. 2012, 78, 8421–8430. [Google Scholar] [CrossRef] [PubMed]
- Mei, C.H.; Zhou, S.C.; Zhu, L.; Ming, J.X.; Zeng, F.D.; Xu, R. Antitumor effects of laminaria extract fucoxanthin on lung cancer. Mar. Drugs 2017, 15, 39. [Google Scholar] [CrossRef] [PubMed]
- Han, M.; Cheng, X.; Gao, Z.; Zhao, R.; Zhang, S. Inhibition of tumor cell growth by adenine is mediated by apoptosis induction and cell cycle S phase arrest. Oncotarget 2017, 8, 94286–94296. [Google Scholar] [CrossRef] [PubMed]





| No. | 1 | |||
|---|---|---|---|---|
| δC, mult. b | δH (J in Hz) | COSY | HMBC | |
| 1 | 38.5, CH2 | 0.99, brd; 1.83, d (14.3) | 2 | |
| 2 | 18.0, CH2 | 1.44, m c; 1.66, m c | 1, 3 | |
| 3 | 41.3, CH2 | 1.18 c; 1.39 c | 2 | |
| 4 | 32.8, C | |||
| 5 | 55.3, CH | 1.08 c | 4, 6, 10, 12, 14 | |
| 6 | 19.3, CH2 | 1.42, m c; 1.74, mc | 7 | |
| 7 | 40.3, CH2 | 1.73 c; 2.15, dt (12.3, 3.6) | 6 | |
| 8 | 78.1, C | |||
| 9 | 51.2, CH | 1.67 c | 11 | 8, 10, 11, 14, 15 |
| 10 | 36.6, C | |||
| 11 | 17.9, CH2 | 2.69, dd (16.8, 5.2); 2.91, dd (16.8, 13.1) | 9 | 8, 9, 1′, 6′ |
| 12 | 21.5, CH3 | 0.85, s | 3, 4, 5, 13 | |
| 13 | 33.2, CH3 | 0.90, s | 3, 4, 5, 12 | |
| 14 | 14.6, CH3 | 0.94, s | 1, 5, 9, 10 | |
| 15 | 20.3, CH3 | 1.18, s | 7, 8, 9 | |
| 1′ | 104.9, C | |||
| 2′ | 122.8, C | |||
| 3′ | 133.6, C | |||
| 4′ | 135.0, C | |||
| 5′ | 136.9, C | |||
| 6′ | 145.8, C | |||
| 7′ | 132.1, CH | 8.40, d (8.6) | 8′ | 1′, 3′, 9′ |
| 8′ | 116.9, CH | 7.92, d (8.6) | 7′ | 2′ |
| 9′ | 140.8, C | |||
| 10′ | 165.6, C | |||
| 4′-OH | 9.54, s | 3′, 4′, 5′ | ||
| Cancer | Normal | ||||||
|---|---|---|---|---|---|---|---|
| Concentration (μM) | Lung | Colon | Prostate | Liver | Skin | ||
| H1299 | A549 | HCT116 | PC-3 | HepG2 | BJ | ||
| DMSO (0.1%) | 100 | 100 | 100 | 100 | 100 | 100 | |
| Doxorubicin | 10 | 6 | 5 | 11 | 24 | 7 | 16 |
| 1 | 1 | 87 | 103 | 89 | 106 | 98 | 87 |
| 10 | 45 | 100 | 39 | 88 | 82 | 80 | |
| 25 | 29 | 81 | 25 | 46 | 71 | 57 | |
© 2019 by the authors. Licensee MDPI, Basel, Switzerland. This article is an open access article distributed under the terms and conditions of the Creative Commons Attribution (CC BY) license (http://creativecommons.org/licenses/by/4.0/).
Share and Cite
Le, T.C.; Lee, E.J.; Lee, J.; Hong, A.; Yim, C.-Y.; Yang, I.; Choi, H.; Chin, J.; Cho, S.J.; Ko, J.; et al. Saccharoquinoline, a Cytotoxic Alkaloidal Meroterpenoid from Marine-Derived Bacterium Saccharomonospora sp. Mar. Drugs 2019, 17, 98. https://doi.org/10.3390/md17020098
Le TC, Lee EJ, Lee J, Hong A, Yim C-Y, Yang I, Choi H, Chin J, Cho SJ, Ko J, et al. Saccharoquinoline, a Cytotoxic Alkaloidal Meroterpenoid from Marine-Derived Bacterium Saccharomonospora sp. Marine Drugs. 2019; 17(2):98. https://doi.org/10.3390/md17020098
Chicago/Turabian StyleLe, Tu Cam, Eun Ju Lee, Jihye Lee, Ahreum Hong, Chae-Yoon Yim, Inho Yang, Hyukjae Choi, Jungwook Chin, Sung Jin Cho, Jaeyoung Ko, and et al. 2019. "Saccharoquinoline, a Cytotoxic Alkaloidal Meroterpenoid from Marine-Derived Bacterium Saccharomonospora sp." Marine Drugs 17, no. 2: 98. https://doi.org/10.3390/md17020098
APA StyleLe, T. C., Lee, E. J., Lee, J., Hong, A., Yim, C.-Y., Yang, I., Choi, H., Chin, J., Cho, S. J., Ko, J., Hwang, H., Nam, S.-J., & Fenical, W. (2019). Saccharoquinoline, a Cytotoxic Alkaloidal Meroterpenoid from Marine-Derived Bacterium Saccharomonospora sp. Marine Drugs, 17(2), 98. https://doi.org/10.3390/md17020098

