AC-Voltage Support and Speed Control Strategy for DFIG-Based Gravity Energy Storage Systems Under Unbalanced Grid
Abstract
1. Introduction
2. DFIG–GESS Mathematical Modeling and Control Strategy
2.1. DFIG Mathematical Modeling and Grid-Following Control
2.2. Mathematical Modeling of DFIG-GESS Under Unbalanced Grid Conditions
3. DFIG–GESS Control Objectives and Strategies
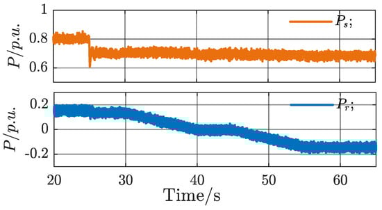
4. Simulation Verification and Case Analysis
4.1. Harmonic Suppression Effect Under Unbalanced Grid
4.2. AC Voltage Support at PCC
5. Conclusions
Author Contributions
Funding
Data Availability Statement
Conflicts of Interest
References
- Guo, H.; Wu, R.; Ma, Y.; Sun, S.; Wang, Y.; Qi, B.; Gao, J.; Xu, C. Synergy-Payoff-Maximization-Based Rechargeable Adaptive Energy-Efficient Dual-Mode Data Gathering Using Renewable Energy Sources. IEEE Internet Things J. 2024, 11, 35292–35305. [Google Scholar] [CrossRef]
- Zhang, Y.; Qian, W.; Ye, Y.; Li, Y.; Tang, Y.; Long, Y.; Duan, M. A novel non-intrusive load monitoring method based on ResNet-seq2seq networks for energy disaggregation of distributed energy resources integrated with residential houses. Appl. Energy 2023, 349, 121703. [Google Scholar] [CrossRef]
- Zhang, Y.; Yuan, C.; Du, X.; Chen, T.; Hu, Q.; Wang, Z.; Lu, J. Capacity configuration of hybrid energy storage system for ocean renewables. J. Energy Storage 2025, 116, 116090. [Google Scholar] [CrossRef]
- Li, J.; Fang, Z.; Wang, Q.; Zhang, M.; Li, Y.; Zhang, W. Optimal Operation with Dynamic Partitioning Strategy for Centralized Shared Energy Storage Station with Integration of Large-scale Renewable Energy. J. Mod. Power Syst. Clean Energy 2024, 12, 359–370. [Google Scholar] [CrossRef]
- Shi, Z.; Wang, W.; Huang, Y.; Li, P.; Dong, L. Simultaneous optimization of renewable energy and energy storage capacity with the hierarchical control. CSEE J. Power Energy Syst. 2022, 8, 95–104. [Google Scholar] [CrossRef]
- Zhang, Y.; Xu, T.; Chen, T.; Hu, Q.; Chen, H.; Hu, X.; Jiang, Z. A high-resolution electric vehicle charging transaction dataset with multidimensional features in China. Sci. Data 2025, 12, 643. [Google Scholar] [CrossRef]
- Zhang, Y.; Zou, B.; Jin, X.; Luo, Y.; Song, M.; Ye, Y.; Hu, Q.; Chen, Q.; Zambroni, A.C. Mitigating power grid impact from proactive data center workload shifts: A coordinated scheduling strategy integrating synergistic traffic-data-power networks. Appl. Energy 2025, 377, 124697. [Google Scholar] [CrossRef]
- Ojetola, S.T.; Wold, J.; Trudnowski, D.J. Multi-Loop Transient Stability Control via Power Modulation From Energy Storage Devices. IEEE Trans. Power Syst. 2021, 36, 5153–5163. [Google Scholar] [CrossRef]
- Wu, X.; Li, N.; Wang, X.; Kuang, Y.; Zhao, W.; Qian, T.; Zhao, H.; Hu, J. Day-Ahead Scheduling of a Gravity Energy Storage System Considering the Uncertainty. IEEE Trans. Sustain. Energy 2021, 12, 1020–1031. [Google Scholar] [CrossRef]
- Wang, R.; Zhang, L.; Shi, C.; Zhao, C. A Review of Gravity Energy Storage. Energies 2025, 18, 1812. [Google Scholar] [CrossRef]
- Jia, C.; Liu, W.; He, H.; Chau, K.T. Health-conscious energy management for fuel cell vehicles: An integrated thermal management strategy for cabin and energy source systems. Energy 2025, 333, 137330. [Google Scholar] [CrossRef]
- Li, K.; Zhou, J.; Jia, C.; Yi, F.; Zhang, C. Energy sources durability energy management for fuel cell hybrid electric bus based on deep reinforcement learning considering future terrain information. Int. J. Hydrogen Energy 2024, 52, 821–833. [Google Scholar] [CrossRef]
- Lu, D.; Yi, F.; Hu, D.; Li, J.; Yang, Q.; Wang, J. Online optimization of energy management strategy for FCV control parameters considering dual power source lifespan decay synergy. Appl. Energy 2023, 348, 121516. [Google Scholar] [CrossRef]
- Zhang, Y.; Gao, T.; Fang, S.; Wang, Z.; Wang, X.; Huang, Y.; Zhang, L.; Zhao, H. A Power Shock Mitigation Method of Gravity Energy Storage System Based on Sliding Mode Control. In Proceedings of the 2024 IEEE International Conference on Electrical Energy Conversion Systems and Control (IEECSC), Shanghai, China, 8–10 November 2024; pp. 268–272. [Google Scholar] [CrossRef]
- Gao, X.; Xie, Z.; Li, M.; Yang, S.; Zhang, X. Analysis and Mitigation of Electromechanical Oscillations in Drivetrain for Hybrid Synchronization Control of DFIG-Based Wind Turbines. IEEE Trans. Power Electron. 2024, 39, 3002–3013. [Google Scholar] [CrossRef]
- Wang, J.; Li, X.; Zhang, J. Time-Sequential Fault Current Limiting Method for Grid-Forming DFIGs in Compliance with Emerging Grid Codes. IEEE Trans. Power Deliv. 2025, 40, 2228–2240. [Google Scholar] [CrossRef]
- Zhan, L.; Hu, B.; Li, H.; Zhao, Z.; Chen, L.; Nian, H.; Qi, D. Transient Modeling and Postfault Stability Analysis of GFM-DFIG Considering Rotor-Side Current Limitation. IEEE Trans. Power Electron. 2025, 40, 11979–11984. [Google Scholar] [CrossRef]
- Chen, X.; Chang, Y.; Kocar, I. Grid-Forming Control of DFIG-Based Wind Turbine Generator by Using Internal Voltage Vectors for Asymmetrical Fault Ride-Through. IEEE Trans. Energy Convers. 2025, 40, 2562–2575. [Google Scholar] [CrossRef]
- Li, Z.; Xie, Z.; Xu, S.; Zhang, X. Improving Transient Stability of Grid-Forming DFIG Based on Enhanced Hybrid Synchronization Control. IEEE Trans. Ind. Electron. 2024, 71, 15881–15894. [Google Scholar] [CrossRef]
- Zhang, Z.; Sun, D.; Zhao, C.; Gu, Z.; Nian, H. Enhanced Grid-Forming Control Strategy for DFIG Participating in Primary Frequency Regulation Based on Double-Layer MPC in Microgrid. IEEE Trans. Energy Convers. 2025, 40, 2679–2693. [Google Scholar] [CrossRef]
- Tang, W.; Zheng, W.; Zhou, B.; Yang, Z.; Zhang, Y. Transient Stability Analysis Between Grid-Following DFIG-WT and Grid-Forming Converter in Electromechanical Timescale. IEEE Trans. Energy Convers. 2025, 40, 2485–2495. [Google Scholar] [CrossRef]
- Li, Z.; Xie, Z.; Zhang, X. An Improved Strategy of Grid-Forming DFIG Based on Disturbance Rejection Stator Flux Control. IEEE Trans. Ind. Electron. 2024, 71, 2498–2509. [Google Scholar] [CrossRef]
- Song, D.; Zheng, Z.; Ren, J.; Li, C.; Xie, Q. SMES Based Reconfigured Converter Architecture for DFIG to Enhance FRT and Grid Forming Capability. IEEE Trans. Appl. Supercond. 2024, 34, 5402605. [Google Scholar] [CrossRef]
- Qian, T.; Liang, Z.; Chen, S.; Hu, Q.; Wu, Z. A tri-level demand response framework for EVCS flexibility enhancement in coupled power and transportation networks. IEEE Trans. Smart Grid 2024, 16, 598–611. [Google Scholar] [CrossRef]
- Liang, Z.; Qian, T.; Korkali, M.; Glatt, R.; Hu, Q. A Vehicle-to-Grid planning framework incorporating electric vehicle user equilibrium and distribution network flexibility enhancement. Appl. Energy 2024, 376, 124231. [Google Scholar] [CrossRef]
- Liang, Z.; Qian, T.; Shao, C.; Hu, Q.; Wu, Z.; Xu, Q.; Zheng, J. A Strategic EV Charging Networks Planning Framework for Intercity Highway with Time-Expanded User Equilibrium. IEEE Trans. Smart Grid 2025. [Google Scholar] [CrossRef]
- Qian, T.; Fang, M.; Hu, Q.; Shao, C.; Zheng, J. V2Sim: An Open-Source Microscopic V2G Simulation Platform in Urban Power and Transportation Network. IEEE Trans. Smart Grid 2025, 16, 3167–3178. [Google Scholar] [CrossRef]
- Ghennam, T.; Berkouk, E.; Francois, B. Modeling and control of a doubly fed induction generator (DFIG) based wind conversion system. In Proceedings of the 2009 International Conference on Power Engineering, Energy and Electrical Drives, Lisbon, Portugal, 18–20 March 2009; pp. 507–512. [Google Scholar]




















| Name | Description |
|---|---|
| Positive-sequence (+) | Produces the forward rotating field; sets average electromagnetic torque and active/reactive power |
| Negative-sequence (−) | Produces a counter-rotating field; induces 2ω0 torque and current oscillations and elevates thermal stress; and directly motivates the PI–R current controller and the 2ω filtering in Te–f and Q–V droop paths |
| Zero-sequence (0) | If a return path exists, it drives in-phase stator currents that do not create average torque but increase copper/iron losses and common-mode stress. In our configuration the zero-sequence current path is blocked, so its dynamic impact is negligible |
| Variable | Description | Coordinate System | Positive-/Negative-Sequence Components | DC/AC |
|---|---|---|---|---|
| Fαβ | =fα + jfβ | αβ | ω1 | |
| Fdq++ | =fd++ + jfq++ | dq+ | positive | DC |
| Fdq-+ | =fd−+ + jfq−+ | dq+ | negative | 2ω1 |
| Fdq-− | =fd−− + jfq−− | dq− | negative | DC |
| Fdq+ | =fd+− + jfq+− | dq− | positive | 2ω1 |
| Variable | Description | |
|---|---|---|
| Usdq | =ud + juq | Stator voltage vector |
| ψsdq | =ψsd + jψsq | Stator flux vector |
| (ψsdq) * | =ψsd − jψsq | The conjugate of stator flux vector |
| ψrdq | =ψrd + jψrq | Rotor flux vector |
| Isdq | =isd + jisq | Stator current vector |
| (Isdq) * | =isd − jisq | The conjugate of stator current vector |
| Irdq | =ird + jirq | Rotor current vector |
| (Irdq) * | =ird − jirq | The conjugate of rotor current vector |
| Parameter | Value | Parameter | Value |
|---|---|---|---|
| Po | 2 MW | Rs | 0.0024 Ω |
| UsABC | 690 V | Rr | 0.002 Ω |
| Vdc | 1150 V | Lσs | 0.0604 mH |
| Lm | 4.4 mH | Lσr | 0.0827 mH |
| Grid frequency fgrid | 50 Hz | Resonant center 2ω0 | 100 Hz |
| Controller sampling fs | 10 kHz | PWM switching fsw | 3 kHz |
| Low-pass (droop) | 2nd-order, fc = 25 Hz, ζ = 0.707 | Notch (optional) | 2nd-order, center 100 Hz, BW = 10 rad/s |
| Kr | 400 | ωc | 10 rad/s |
Disclaimer/Publisher’s Note: The statements, opinions and data contained in all publications are solely those of the individual author(s) and contributor(s) and not of MDPI and/or the editor(s). MDPI and/or the editor(s) disclaim responsibility for any injury to people or property resulting from any ideas, methods, instructions or products referred to in the content. |
© 2025 by the authors. Licensee MDPI, Basel, Switzerland. This article is an open access article distributed under the terms and conditions of the Creative Commons Attribution (CC BY) license (https://creativecommons.org/licenses/by/4.0/).
Share and Cite
Li, Y.; He, D.; Dai, J.; Zheng, J.; Tian, F.; Zhang, Y.; Cheng, C. AC-Voltage Support and Speed Control Strategy for DFIG-Based Gravity Energy Storage Systems Under Unbalanced Grid. Electronics 2025, 14, 4470. https://doi.org/10.3390/electronics14224470
Li Y, He D, Dai J, Zheng J, Tian F, Zhang Y, Cheng C. AC-Voltage Support and Speed Control Strategy for DFIG-Based Gravity Energy Storage Systems Under Unbalanced Grid. Electronics. 2025; 14(22):4470. https://doi.org/10.3390/electronics14224470
Chicago/Turabian StyleLi, Yan, Darui He, Jiao Dai, Jiaqi Zheng, Fangyuan Tian, Yuanshi Zhang, and Chenwen Cheng. 2025. "AC-Voltage Support and Speed Control Strategy for DFIG-Based Gravity Energy Storage Systems Under Unbalanced Grid" Electronics 14, no. 22: 4470. https://doi.org/10.3390/electronics14224470
APA StyleLi, Y., He, D., Dai, J., Zheng, J., Tian, F., Zhang, Y., & Cheng, C. (2025). AC-Voltage Support and Speed Control Strategy for DFIG-Based Gravity Energy Storage Systems Under Unbalanced Grid. Electronics, 14(22), 4470. https://doi.org/10.3390/electronics14224470
