Sign in to use this feature.

Years

Between: -

Subjects

remove_circle_outline
remove_circle_outline
remove_circle_outline
remove_circle_outline
remove_circle_outline
remove_circle_outline
remove_circle_outline
remove_circle_outline
remove_circle_outline

Journals

remove_circle_outline
remove_circle_outline
remove_circle_outline
remove_circle_outline
remove_circle_outline
remove_circle_outline
remove_circle_outline
remove_circle_outline
remove_circle_outline

Article Types

Countries / Regions

remove_circle_outline
remove_circle_outline
remove_circle_outline
remove_circle_outline
remove_circle_outline
remove_circle_outline

Search Results (521)

Search Parameters:
Keywords = dose reference levels

Order results
Result details
Results per page
Select all
Export citation of selected articles as:
16 pages, 1270 KB  
Communication
Improved Iron Uptake and Metabolism Through Combined Heme and Non-Heme Iron Supplementation: An In Vitro Study
by Francesca Parini, Rebecca Galla, Simone Mulè, Matteo Musu and Francesca Uberti
Biomedicines 2026, 14(1), 43; https://doi.org/10.3390/biomedicines14010043 - 24 Dec 2025
Viewed by 43
Abstract
Iron is essential for numerous physiological processes, including oxygen transport, energy metabolism, and immune function. This study evaluated the efficacy and safety of three iron formulations combining heme and non-heme iron, comparing them with existing market products and the original form of iron. [...] Read more.
Iron is essential for numerous physiological processes, including oxygen transport, energy metabolism, and immune function. This study evaluated the efficacy and safety of three iron formulations combining heme and non-heme iron, comparing them with existing market products and the original form of iron. The formulations tested were GlobiFer® Forte, a combination of heme and non-heme iron containing 18 mg of elemental iron (hereinafter referred to as nutraceutical product 1); GlobiFer®, a combination of heme and non-heme iron containing 14 mg of elemental iron (hereinafter referred to as nutraceutical product 2); and a double dose of nutraceutical product 2. Using an in vitro 3D intestinal barrier model, all three formulations significantly increased tight junction protein expression and TEER values, indicating preserved barrier integrity. Iron absorption analysis revealed that all three iron formulations had higher absorption rates than controls. Nutraceutical product 1 showed the highest absorption, associated with increased expression of the iron transporters such as the primary non-heme iron transporter, DMT1, and the leading apical heme transporter, HCP-1. All three new formulations increased ferritin and ferroportin levels, markers of systemic iron storage and regulation. Nutraceutical product 1 was found to be the most effective, based on percentage. Overall, combining heme and non-heme iron improved intestinal absorption and supported iron metabolism, with Nutraceutical Product 1 proving the most promising in terms of efficacy and safety. These results support the development of optimised dual-source iron supplements to improve bioavailability and maintain intestinal barrier integrity, prerequisites for better efficacy and tolerability in clinical use. Full article
(This article belongs to the Section Cell Biology and Pathology)
Show Figures

Graphical abstract

18 pages, 3577 KB  
Article
Environmental Investigation of Natural Radioactivity and Health Risk Assessment in Basaltic Volcanic Building Materials
by Turki Kh. Faraj, Ahmed E. Abdel Gawad, Mayeen Uddin Khandaker and Mohamed Y. Hanfi
Toxics 2026, 14(1), 15; https://doi.org/10.3390/toxics14010015 - 22 Dec 2025
Viewed by 198
Abstract
This study presents an integrated geological and environmental radiological analysis of basaltic volcanic rocks, which have been characterized by their suitability and potential for risk when used as construction materials. A total of thirty-five representative basaltic samples from the environment of studied area, [...] Read more.
This study presents an integrated geological and environmental radiological analysis of basaltic volcanic rocks, which have been characterized by their suitability and potential for risk when used as construction materials. A total of thirty-five representative basaltic samples from the environment of studied area, located in the Northern Eastern Desert of Egypt, were utilized for this study. The rocks were then analyzed by means of HPGe high-resolution gamma-ray spectrometry methods. The petrographic studies show that the basalt samples were composed mostly of three main minerals: plagioclase, olivine, and pyroxene. In addition, these rocks have a significant degree of secondary alteration products, including sericite, epidote, and zoethite. For uranium-238 (238U), thorium-232 (232Th), and potassium-40 (40K), the average activity concentration measured 53 ± 20 Bq kg−1, 54 ± 14 Bq kg−1, and 1178 ± 269 Bq kg−1, respectively. Using the current global reference limits, all the measured values are above acceptable levels for the radionuclides 238U, 232Th, and 40K. The radiological indices calculated for each of the basalt volcanic samples measured radium equivalent activity (Raeq = 221 Bq kg−1), external hazard index (Hex = 0.60), internal hazard index (Hin = 0.74), gamma index (Iγ = 0.84), and annual effective dose (AED = 0.52 mSv y−1) indicate that the radiological hazard values of these samples are acceptable, unlike several samples, where values are near or exceed the accepted standards for indoor hazards. The most significant finding of this study reveals that the major contributions in the environment from radiological risk can be attributed to radionuclides 238U and 40K based on correlation analysis, hierarchical clustering, and PCA analyses, and this study establishes the first multivariate perspective of how radiogenic materials controlled by the environment can affect basaltic rocks. Therefore, this study creates an important baseline for future environmental monitoring and states that caution is warranted when using basalt as a finished material for constructed environments, and for using basaltic products as raw materials in indoor environments. Full article
(This article belongs to the Section Metals and Radioactive Substances)
Show Figures

Figure 1

31 pages, 4320 KB  
Article
The Use of Slag, Biochar, and Hydrochar as Potential Concrete Additives: Effects on Compressive Strength and Spalling Resistance Before and After Fire Exposure
by Asaad Almssad, Majid Al-Gburi, A. Viktor and Awaz Mohammadullah
Appl. Sci. 2025, 15(24), 13248; https://doi.org/10.3390/app152413248 - 18 Dec 2025
Viewed by 192
Abstract
Cement production is a significant global source of CO2 emissions, leading to a demand for sustainable concrete alternatives. This study investigates the use of various additives to partially replace cement and assesses their effects on compressive strength and fire resistance, particularly spalling. [...] Read more.
Cement production is a significant global source of CO2 emissions, leading to a demand for sustainable concrete alternatives. This study investigates the use of various additives to partially replace cement and assesses their effects on compressive strength and fire resistance, particularly spalling. Seven concrete mixes were tested for their initial and post-fire compressive strength, mass loss, and cracking. The cement-only reference mix (R1) achieved the highest initial strength (53.3 MPa) but experienced severe explosive spalling. In contrast, the mix with slag and polypropylene (PP) fibers (R4) offered the best balance, maintaining substantial strength after fire while completely preventing spalling. Biochar additions consistently lowered strength and increased spalling risk, whereas hydrochar notably enhanced spalling resistance, especially at higher replacement levels. The results demonstrate that sustainable additives, such as slag with PP fibers or high-dose hydrochar, can effectively improve fire safety and reduce cement use, though there is an initial trade-off in mechanical performance. Ultimately, choosing the optimal mix depends on whether environmental benefits, fire resistance, or structural strength is the highest priority. Full article
(This article belongs to the Special Issue Next-Generation Concrete: Circular and Carbon-Conscious Solutions)
Show Figures

Figure 1

19 pages, 2627 KB  
Article
Human Exposure to Metals and Potential Human Health Risk in a Volcanic Environment in Italy
by Giovanni Forte, Venerando Rapisarda, Flavia Ruggieri, Beatrice Battistini, Lisa Bauleo, Veronica Filetti, Elena Grignani, Piero Lovreglio, Serena Matera, Paola Senia, Francesca Vella, Ermanno Vitale, Beatrice Bocca and Ivo Iavicoli
Toxics 2025, 13(12), 1080; https://doi.org/10.3390/toxics13121080 - 15 Dec 2025
Viewed by 289
Abstract
Mt. Etna is the highest and most active stratovolcano in Europe, located in Catania (Sicily, Italy). Its persistent degassing, frequent explosions, and lava flows release large amounts of ash and gases into the atmosphere. This study aimed to assess whether chronic exposure to [...] Read more.
Mt. Etna is the highest and most active stratovolcano in Europe, located in Catania (Sicily, Italy). Its persistent degassing, frequent explosions, and lava flows release large amounts of ash and gases into the atmosphere. This study aimed to assess whether chronic exposure to local volcanic emissions leads to an increased internal dose of trace elements (As, Ba, Be, Bi, Cd, Co, Cr, Cu, Hg, Li, Mn, Mo, Ni, Pb, Sb, Se, Sn, Sr, Tl, U, V, W, Zn) in Catania adult residents. To this end, urine samples were collected from 167 individuals residing in Catania and compared with 193 residents of other Sicilian areas located farther from the volcano. Results revealed significantly higher urinary concentrations of As, Hg, Mn, Pb, and Tl in the exposed group, suggesting volcanic activity as a relevant source of exposure. The levels of the other elements were instead affected by other factors such as lifestyle habits and the consumption of specific foods and beverages. The urinary concentrations of trace elements were consistent with reference values reported in other European studies, and the levels remained well within the health-based guidance values. There is evidence of an increased internal dose of a few elements in the Sicilian population exposed to volcano activity, but the observed increases are unlikely to pose a significant health risk. Full article
(This article belongs to the Section Exposome Analysis and Risk Assessment)
Show Figures

Graphical abstract

16 pages, 1182 KB  
Article
Maternal Serum Ferritin Levels in Third Trimester and Risk of Small for Gestational Age in Northern Thailand: Implications for Management in Pregnancy
by Pak Thaichana, Ampica Mangklabruks, Amaraporn Rerkasem, Antika Wongthanee, Suthathip Wongsrithep and Kittipan Rerkasem
Nutrients 2025, 17(24), 3911; https://doi.org/10.3390/nu17243911 - 13 Dec 2025
Viewed by 312
Abstract
Background: Iron deficiency anemia is a recognized pregnancy risk, but excessive iron may also have adverse effects. Few studies, particularly in Asian populations, have examined elevated maternal ferritin in relation to birth outcomes. Objectives: To investigate the dose–response relationships between maternal serum [...] Read more.
Background: Iron deficiency anemia is a recognized pregnancy risk, but excessive iron may also have adverse effects. Few studies, particularly in Asian populations, have examined elevated maternal ferritin in relation to birth outcomes. Objectives: To investigate the dose–response relationships between maternal serum ferritin concentrations in late pregnancy and birth outcomes, including preterm birth, small for gestational age (SGA), and placental characteristics. Methods: A retrospective study of 362 mother–infant pairs were analyzed. Maternal serum ferritin levels measured at 30–34 weeks’ gestation were divided into quintiles, using 30.1–43.0 µg/L as the reference. Logistic and linear regression models were applied to examine associations with preterm birth, SGA, and placental indices. Results: Preterm birth rates ranged 7.3–18.8% across ferritin quintiles, but no significant association was observed. In contrast, SGA prevalence increased from 20.8% to 47.2% (p-trend = 0.001). Women in the highest ferritin quintile had 3.31-fold higher adjusted odds of SGA (95% CI: 1.51–7.28, p = 0.003). Each SD increase in ferritin corresponded to 31% higher odds of SGA (OR = 1.31, 95% CI: 1.01–1.71). Elevated ferritin (>43.0 µg/L) was also associated with reduced placental weight (<415 g) (adjusted OR = 3.02, 95% CI: 1.61–5.69, p = 0.001). Conclusions: Increasing maternal ferritin levels in the third trimester were associated with a dose-dependent rise in SGA risk and reduced placental weight. These findings suggest that excessive iron status may adversely influence placental function and fetal growth, underscoring the need for individualized nutrition management during pregnancy. Full article
(This article belongs to the Special Issue Nutrition Management in Neonatal Health)
Show Figures

Figure 1

25 pages, 2733 KB  
Review
The Trigger in IVF Cycles: Molecular Pathways and Clinical Implications
by Giorgio Maria Baldini, Domenico Baldini, Dario Lot, Daniele Ferri, Antonio Malvasi, Bernard Fioretti, Maria Matteo and Raoul Orvieto
Int. J. Mol. Sci. 2025, 26(24), 11962; https://doi.org/10.3390/ijms262411962 - 11 Dec 2025
Viewed by 400
Abstract
The final trigger of oocyte maturation is a pivotal step in assisted reproductive technology (ART). Different molecules and protocols—including human chorionic gonadotropin (hCG), gonadotropin-releasing hormone agonists (GnRHa), the dual trigger, the double trigger, and emerging agents such as kisspeptin—have been investigated to optimize [...] Read more.
The final trigger of oocyte maturation is a pivotal step in assisted reproductive technology (ART). Different molecules and protocols—including human chorionic gonadotropin (hCG), gonadotropin-releasing hormone agonists (GnRHa), the dual trigger, the double trigger, and emerging agents such as kisspeptin—have been investigated to optimize oocyte competence, embryo development, and pregnancy outcomes while minimizing the risk of ovarian hyperstimulation syndrome (OHSS). HCG remains the most widely used trigger, but its pharmacological profile is associated with a significant risk of OHSS. GnRHa has emerged as an alternative in antagonist cycles, abolishing the risk of severe OHSS but often requiring tailored luteal phase support. Several strategies, including hCG, GnRHa, and combined approaches, have shown improvements in specific outcomes such as the oocyte maturity (MII) rate, fertilization rate, embryo development parameters, and, in selected contexts, a reduction in OHSS risk. Kisspeptin represents a promising option; however, its use remains predominantly within the research setting, with clinical application still limited to early-phase or highly selected studies. Beyond the choice of molecule, the timing of trigger administration—adjusted to follicle size, estradiol concentrations, and progesterone levels—also influences oocyte competence and subsequent clinical outcomes. Triggering final oocyte maturation remains a multifaceted decision that should be individualized according to patient characteristics, ovarian response, and risk of OHSS. Although hCG remains the historical reference standard, accumulating but heterogeneous evidence suggests that GnRHa-based strategies, including dual-trigger protocols, may improve specific outcomes in selected patient subgroups. However, results across trials are inconsistent, particularly in poor responders, and any exposure to hCG maintains a residual risk of OHSS. Kisspeptin represents a promising but still experimental option, with current data largely limited to early-phase clinical studies in highly selected high-risk populations. Well-designed randomized trials are required to clarify the true impact of these strategies on live birth, to refine timing and dosing, and to better define which patients are most likely to benefit. Full article
(This article belongs to the Section Molecular Biology)
Show Figures

Figure 1

21 pages, 1976 KB  
Review
Large Language Models for Drug-Related Adverse Events in Oncology Pharmacy: Detection, Grading, and Actioning
by Md Muntasir Zitu, Ashish Manne, Yuxi Zhu, Wasimul Bari Rahat and Samar Binkheder
Pharmacy 2025, 13(6), 176; https://doi.org/10.3390/pharmacy13060176 - 3 Dec 2025
Viewed by 609
Abstract
Preventable medication harm in oncology is often driven by drug-related adverse events (AEs) that trigger order changes such as holds, dose reductions, delays, rechallenges, and enhanced monitoring. Much of the evidence needed to make these decisions lives in unstructured clinical texts, where large [...] Read more.
Preventable medication harm in oncology is often driven by drug-related adverse events (AEs) that trigger order changes such as holds, dose reductions, delays, rechallenges, and enhanced monitoring. Much of the evidence needed to make these decisions lives in unstructured clinical texts, where large language models (LLMs), a type of artificial intelligence (AI), now offer extraction and reasoning capabilities. In this narrative review, we synthesize empirical studies evaluating LLMs and related NLP systems applied to clinical text for oncology AEs, focusing on three decision-linked tasks: (i) AE detection from clinical documentation, (ii) Common Terminology Criteria for Adverse Events (CTCAE) grade assignment, and (iii) grade-aligned actions. We also consider how these findings can inform pharmacist-facing recommendations for order-level safety. We conducted a narrative review of English-language studies indexed in PubMed, Ovid MEDLINE, and Embase. Eligible studies used LLMs on clinical narratives and/or authoritative guidance as model inputs or reference standards; non-text modalities and non-empirical articles were excluded. Nineteen studies met inclusion criteria. LLMs showed the potential to detect oncology AEs from routine notes and often outperformed diagnosis codes for surveillance and cohort construction. CTCAE grading was feasible but less stable than detection; performance improved when outputs were constrained to CTCAE terms/grades, temporally anchored, and aggregated at the patient level. Direct evaluation of grade-aligned actions was uncommon; most studies reported proxies (e.g., steroid initiation or drug discontinuation) rather than formal grade-to-action correctness. While prospective, real-world impact reporting remained sparse, several studies quantified scale advantages and time savings, supporting an initial role as high-recall triage with pharmacist adjudication. Overall, the evidence supports near-term, pharmacist-in-the-loop use of AI for AE surveillance and review, with CTCAE-structured, citation-backed outputs delivered into the pharmacist’s electronic health record order-verification workspace as reviewable artifacts. Future work must standardize reporting and CTCAE/version usage, and measure grade-to-action correctness prospectively, to advance toward order-level decision support. Full article
Show Figures

Graphical abstract

18 pages, 3449 KB  
Article
Antidepressant-like Effects of Garcinia nigrolineata Resin Extract in a Chronic Mild Stress Mouse Model: Modulation of Monoaminergic and HPA-Axis Pathways
by Yutthana Chotritthirong, Yaowared Sumanont, Supawadee Daodee, Abdulwaris Mading, Chantana Boonyarat, Charinya Khamphukdee, Decha Kumla, Juthamart Maneenet, Kinzo Matsumoto, Anake Kijjoa, Suresh Awale and Orawan Monthakantirat
Plants 2025, 14(23), 3651; https://doi.org/10.3390/plants14233651 - 30 Nov 2025
Viewed by 798
Abstract
The resin extract of Garcinia nigrolineata (GNR-E), a tropical plant used in Southeast Asian traditional medicine, was evaluated for its antidepressant-like effects in a chronic mild stress (CMS) mouse model, with imipramine as a reference drug. GNR-E dose-dependently alleviated CMS-induced anhedonia (sucrose preference [...] Read more.
The resin extract of Garcinia nigrolineata (GNR-E), a tropical plant used in Southeast Asian traditional medicine, was evaluated for its antidepressant-like effects in a chronic mild stress (CMS) mouse model, with imipramine as a reference drug. GNR-E dose-dependently alleviated CMS-induced anhedonia (sucrose preference test) and behavioral despair (forced swimming and tail suspension tests). Neurochemical analyses revealed that GNR-E increased serotonin (5-HT) and norepinephrine (NE) levels, reduced expression of their transporters (SERT, NET) and receptors (5-HT1A, 1B, 2A, 2C, 7; α2A, 2C) in the frontal cortex and hippocampus, and normalized HPA-axis hyperactivity by lowering serum corticosterone and modulating glucocorticoid receptor (GR) and SGK-1 mRNA expression. In vitro, GNR-E inhibited monoamine oxidase (MAO)-A and -B (Ki = 2.33 and 1.55 µg/mL, respectively). Phytochemical analysis identified xanthones, particularly cowanin, as key constituents. These findings highlight GNR-E’s potential as a novel plant-based antidepressant, warranting further investigation into its active compounds and clinical applications. Full article
(This article belongs to the Section Phytochemistry)
Show Figures

Graphical abstract

30 pages, 9745 KB  
Article
A Systematic Review and Meta-Analysis of Doxazosin Pharmacokinetics in Healthy and Diseased Populations
by Dania Fatima, Mohammed S. Alasmari, Yousef Alshomrani, Ammara Zamir, Faleh Alqahtani, Iltaf Hussain and Muhammad Fawad Rasool
Pharmaceuticals 2025, 18(12), 1825; https://doi.org/10.3390/ph18121825 - 29 Nov 2025
Viewed by 1015
Abstract
Background: Doxazosin, an α1-adrenergic antagonist, is commonly used in the management of hypertension and benign prostatic hyperplasia (BPH). Pharmacokinetic (PK) variability across populations may affect drug exposure and clinical response. This systematic review and meta-analysis aimed to summarize PK differences and [...] Read more.
Background: Doxazosin, an α1-adrenergic antagonist, is commonly used in the management of hypertension and benign prostatic hyperplasia (BPH). Pharmacokinetic (PK) variability across populations may affect drug exposure and clinical response. This systematic review and meta-analysis aimed to summarize PK differences and generate pooled estimates of key parameters, including area under the curve (AUC) and maximum plasma concentration (Cmax). Methods: A systematic search of Google Scholar, PubMed, ScienceDirect, and the Cochrane Library identified 25 eligible studies reporting doxazosin PK data. All extracted AUC and Cmax values were dose-normalized prior to synthesis to ensure comparability across different doses and formulations. A random-effects meta-analysis was performed using the metafor package in R to estimate pooled dose-normalized AUC and Cmax while accounting for between-study variability. Heterogeneity was assessed using the I2 statistic. Sensitivity analyses—including leave-one-out diagnostics and Baujat plots—were used to identify influential studies. Publication bias and small-study effects were evaluated through funnel plots, trim-and-fill procedures, and Egger’s regression test. Meta-regression analyses examined the influence of age and body weight on PK parameters. Results: The meta-analysis produced pooled dose-normalized estimates for AUC and Cmax, with high heterogeneity across studies (I2 ≈ 90%). Leave-one-out analyses demonstrated stable pooled estimates; for dose-normalized AUC, exclusion of three influential studies reduced heterogeneity to 82% with only a modest decrease in the pooled mean. Baujat plots identified a small number of studies as key contributors to heterogeneity, while most exerted minimal influence. Funnel plots showed notable asymmetry for both AUC and Cmax, and trim-and-fill analyses suggested possible small-study effects; however, adjusted pooled estimates remained consistent. Egger’s regression confirmed significant asymmetry for dose-normalized AUC (t = 4.41, p = 0.0003) and Cmax (t = 4.35, p = 0.0001). Meta-regression revealed that body weight significantly reduced Cmax, whereas age had no significant effect on either AUC or Cmax. Conclusions: This systematic review and meta-analysis provide a comprehensive evaluation of doxazosin PK across diverse populations. Despite normalization, substantial variability remained in AUC and Cmax, related in part to ethnicity, hepatic impairment, dosage formulation, and body weight. While pooled estimates offer valuable summary reference points, the high heterogeneity and evidence of small-study effects highlight the need for more standardized PK trials and patient-level analyses to better support individualized dosing strategies. Full article
(This article belongs to the Special Issue Population Pharmacokinetics and Pharmacogenetics)
Show Figures

Graphical abstract

17 pages, 1181 KB  
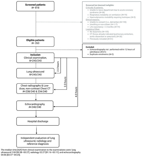
Article
Lung Ultrasound Versus Chest Radiography for Acute Heart Failure: Impact of Heart Failure History and Pleural Effusion
by Kristina Cecilia Miger, Anne Sophie Overgaard Olesen, Johannes Grand, Mikael Ploug Boesen, Jens Jakob Thune and Olav Wendelboe Nielsen
Diagnostics 2025, 15(23), 3047; https://doi.org/10.3390/diagnostics15233047 - 28 Nov 2025
Viewed by 474
Abstract
Background/Objectives: This is the first prospective, same-day, multi-modality comparison of lung ultrasound (LUS) and chest radiography (CXR) for detecting acute heart failure (AHF) in non-critical patients with dyspnoea, examining the impact of chronic heart failure and pleural effusion, using low-dose chest CT (LDCT) [...] Read more.
Background/Objectives: This is the first prospective, same-day, multi-modality comparison of lung ultrasound (LUS) and chest radiography (CXR) for detecting acute heart failure (AHF) in non-critical patients with dyspnoea, examining the impact of chronic heart failure and pleural effusion, using low-dose chest CT (LDCT) as an objective comparator, and cardiologists-adjudicated AHF as reference standard. Methods: An observational study of 240 consecutive non-critical patients ≥50 years admitted with dyspnoea was conducted. Unstable AHF cases were deemed ineligible. Each modality was evaluated at the population level with area under the curve (AUC), sensitivity, and specificity, and compared at the patient level using conditional odds ratio for the association to AHF adjudicated by blinded cardiologists. Congestion was defined by LUS as (a) ≥3 B-lines bilaterally, or (b) B-lines combined with pleural effusion, and (c) CXR, interpreted by two thoracic radiologists, using (d) LDCT as an objective comparator. Results: Among 240 patients (66 with cardiologist-adjudicated AHF, 58 with chronic heart failure), LUS (b) demonstrated a diagnostic accuracy at population level of AUC = 0.82 (sensitivity = 80%, specificity = 84%), while CXR (c) achieved AUC = 0.80 (sensitivity = 68%, specificity = 91%), with CXR showing a modest but statistically significant difference over LUS at the patient level (OR = 1.51, p = 0.03). Incorporating pleural effusion into LUS increased its AUC from 0.67 to 0.82 (a vs. b, p < 0.001). The objective comparator, LDCT (d), achieved an AUC = 0.92 (sensitivity = 74%, specificity = 96%). In patients with chronic heart failure, LUS (b) and CXR (c) performed comparably (p = 0.87), whereas in those without chronic heart failure, CXR was superior (p = 0.04). Conclusions: In non-critical, diagnostically challenging patients with dyspnoea, in whom critical AHF cases were not eligible, including pleural effusion improved LUS accuracy for AHF. Diagnostic performance differed by heart failure history, with CXR superior in new-onset heart failure, while LUS and CXR performed comparably in chronic heart failure. Full article
(This article belongs to the Section Medical Imaging and Theranostics)
Show Figures

Figure 1

13 pages, 1737 KB  
Article
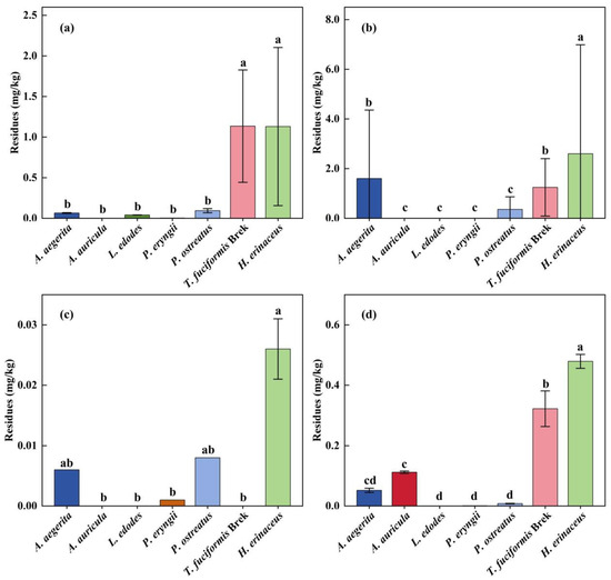
Plant Growth Regulator Residues in Edible Mushrooms: Are They Hazardous?
by Qinghua Yao, Desen Su, Xiuxian Lin, Hui Xu, Yunyun Zheng and Yuwei Xiao
Foods 2025, 14(23), 4098; https://doi.org/10.3390/foods14234098 - 28 Nov 2025
Viewed by 310
Abstract
Mushroom production and economic value on a global scale are significantly increasing. On the other hand, food safety has raised concerns; however, limited research exists on the presence of plant growth regulator (PGR) residues in edible mushrooms. Herein, this study appears to be [...] Read more.
Mushroom production and economic value on a global scale are significantly increasing. On the other hand, food safety has raised concerns; however, limited research exists on the presence of plant growth regulator (PGR) residues in edible mushrooms. Herein, this study appears to be the first to comprehensively investigate PGR residual characteristics and assess their associated dietary exposure risks to consumers. A total of 105 edible mushroom samples of seven different varieties were analyzed, and the overall detection rate was 81%. The residual level of PGRs ranged from below the limit of detection to 6.308 mg/kg. Among varieties, 100% of A. aegerita, T. fuciformis Berk, and H. erinaceus samples contained at least one PGR residue. Dietary exposure risks were assessed using both deterministic and probabilistic approaches. Calculated values of both %ADI (acceptable daily intake) and %ARfD (acute reference dose)were below 100 and do not indicate a potential health concern with respect to edible mushroom consumption. However, several PGRs had a relatively high %ADI or %ARfD value, suggesting that the Maximum Residual Limits (MRLs) and associated regulatory norms should be immediately established. This work not only provides valuable information for edible mushroom consumers but also an important reference for the risk management decision. Full article
(This article belongs to the Section Food Quality and Safety)
Show Figures

Graphical abstract

14 pages, 1329 KB  
Article
The Effect of Calsporin® (Bacillus subtilis C-3102) on Laying Performance, Follicular Development, and Microorganisms of Breeder Geese
by Huiying Wang, Guangquan Li, Yi Liu, Xianze Wang, Huiyan Jia, Jiuli Dai, Shufang Chen and Daqian He
Agriculture 2025, 15(23), 2452; https://doi.org/10.3390/agriculture15232452 - 26 Nov 2025
Viewed by 302
Abstract
This study aimed to investigate the effects of Bacillus subtilis C-3102 (CAL) on the laying performance, follicular development, and cecal microorganisms of breeder geese. The experiment was conducted at a goose farm in Lu’an City, Anhui Province, from April to December 2024. A [...] Read more.
This study aimed to investigate the effects of Bacillus subtilis C-3102 (CAL) on the laying performance, follicular development, and cecal microorganisms of breeder geese. The experiment was conducted at a goose farm in Lu’an City, Anhui Province, from April to December 2024. A total of 5965 geese (male-to-female ratio of 1:4.75) were used and divided into three groups with CAL supplementation levels of 0 ppm, 60 ppm, and 100 ppm. Changes in laying performance, serum hormones, follicle number, and fecal microorganisms were analyzed. The results showed that, compared with the control group, the total number of eggs laid in the 100 ppm BS group increased by 2.77 eggs (p < 0.05), and the number of graded follicles was significantly increased by 78.2% (p < 0.05). There was no significant difference in serum reproductive hormones among all groups (p > 0.05). Microbial analysis revealed that the 100 ppm CAL group had a significantly higher abundance of Firmicutes, with enrichment of the genera Bacillus and Lactococcus. Additionally, the relative abundance of Bacillus was significantly positively correlated with the level of intestinal secretory immunoglobulin A (sIgA) (p < 0.05). However, the egg weight and egg shape index in the 60 ppm CAL group were significantly lower than those in the other groups (p < 0.05), and there was no significant difference in hatching rate among all groups (p > 0.05). This study indicated that CAL has precise application value in the green breeding of breeder geese. It is recommended to add CAL at a dose of 100 ppm, which can improve the laying performance and optimize the follicular development of breeder geese by enhancing intestinal microecology and mucosal immune function. The results provide a direct theoretical basis and practical reference for the scientific application of CAL in breeder goose breeding. Full article
(This article belongs to the Section Farm Animal Production)
Show Figures

Figure 1

18 pages, 1512 KB  
Article
Potential Toxicological Risk Associated with the Oral Use of Colloidal Silver Dietary Supplements
by Oana Catalina Bute, Anca-Irina Gheboianu, Bogdan Trica and Ana-Maria Hossu
Toxics 2025, 13(11), 992; https://doi.org/10.3390/toxics13110992 - 18 Nov 2025
Viewed by 1537
Abstract
The increasing availability of colloidal silver dietary supplements raises important concerns regarding their safety when used for oral consumption. This study presents the physicochemical characterization of a commercial colloidal silver solution with a high concentration (1000 mg/L), stabilized with pectin in distilled water. [...] Read more.
The increasing availability of colloidal silver dietary supplements raises important concerns regarding their safety when used for oral consumption. This study presents the physicochemical characterization of a commercial colloidal silver solution with a high concentration (1000 mg/L), stabilized with pectin in distilled water. The characterization was performed using UV-VIS, XRD, and TEM. The manufacturer did not provide information regarding nanoparticle size or recommended duration of use. The 1000 mg/L sample was also compared with a standard colloidal silver solution provided by Sigma Aldrich to validate nanoparticle size, stability, and spectral profiles. In addition, a comparative theoretical analysis was conducted on other commercially available products containing colloidal silver at concentrations of 15, 30, 55, 80, and 125 mg/L, based solely on the recommended daily intake and the oral reference dose of 0.005 mg/kg/day established by the United States Environmental Protection Agency (EPA). Although no in vivo or in vitro toxicity tests were performed, the results indicate a potential toxicological risk due to estimated intake levels that may exceed safety thresholds, particularly in high-concentration products with insufficient labelling or unclear usage guidelines. These findings emphasize the need for stricter regulatory measures and greater public awareness regarding the internal use of colloidal silver supplements. Full article
(This article belongs to the Special Issue Health Risk Evaluation of Hazardous Substances in Food)
Show Figures

Figure 1

11 pages, 2465 KB  
Review
Diagnosis of Congenital and Acquired Generalized Lipodystrophies—Similarities and Differences
by Josivan Gomes Lima, Lucas Nobrega Lima, Vitor Yan Bezerra Araujo, Lucia Helena Coelho Nobrega and Julliane Tamara Araújo de Melo Campos
Endocrines 2025, 6(4), 55; https://doi.org/10.3390/endocrines6040055 - 17 Nov 2025
Viewed by 461
Abstract
Generalized lipodystrophies (GLs) are rare diseases characterized by a lack of body fat. When patients with a GL phenotype are referred with a presumptive diagnosis of congenital generalized lipodystrophy (CGL) but genetic testing for known pathogenic variants is negative, the diagnosis of acquired [...] Read more.
Generalized lipodystrophies (GLs) are rare diseases characterized by a lack of body fat. When patients with a GL phenotype are referred with a presumptive diagnosis of congenital generalized lipodystrophy (CGL) but genetic testing for known pathogenic variants is negative, the diagnosis of acquired generalized lipodystrophy (AGL) becomes a more likely diagnosis. No single test confirms such a diagnosis, and it is crucial to recognize the similarities and differences between these diseases. We review the literature and report four GL cases from our lipodystrophy outpatient clinic, highlighting the main points for an accurate diagnosis. Similarities: phlebomegaly, umbilical scar protrusion, loss of Bichat’s fat pad, muscle hypertrophy, and hepatomegaly can occur in both. Cirrhosis can also arise, but in AGL, it occurs as a consequence of hepatic steatosis and also due to autoimmune hepatitis. Insulin resistance is frequent, and patients present acanthosis nigricans and acrochordons and may develop difficult-to-control diabetes and its complications, despite very high daily doses of insulin. Low HDL and hypertriglyceridemia are frequent and may progress to acute pancreatitis. Serum leptin levels are typically low and contribute to hyperphagia. Differences: AGL patients’ body fat loss occurs gradually in childhood or adolescence, whereas CGL patients are born with the characteristic phenotype. Evaluating photographs of AGL patients in the first years of life can provide evidence of this selective and gradual fat loss. Some AGL patients may have panniculitis (inflamed and painful subcutaneous nodules), with or without autoimmune diseases. In conclusion, recognizing both similarities and differences is crucial for making an accurate diagnosis and ensuring the most appropriate treatment. Full article
(This article belongs to the Section Obesity, Diabetes Mellitus and Metabolic Syndrome)
Show Figures

Figure 1

43 pages, 6125 KB  
Article
Design, Synthesis, and Biological Evaluation of 5′,7-Disubstituted 7-Deaza-adenosine Analogues as Irreversible Pan-FGFR Inhibitors
by Jung Hoon Park, Phuong Thao Tran, Hye Lin Ko, Seonghee Mun, Sung Chul Jang, Dong Hyun Moon, Jaeho Han, Jieun Kim, Gibae Kim, Hongseok Choi, Seung Woo Kim, Minjae Kim, Sang Kook Lee, Byung Woo Han, Keon Wook Kang and Lak Shin Jeong
Pharmaceuticals 2025, 18(11), 1745; https://doi.org/10.3390/ph18111745 - 17 Nov 2025
Viewed by 479
Abstract
Background/Objectives: Fibroblast growth factor receptors (FGFRs) are frequently dysregulated in diverse cancers and represent important therapeutic targets. Here, we report the design and synthesis of a novel nucleoside-based scaffold which enables irreversible pan-FGFR inhibition as a potential anticancer strategy. Methods: A [...] Read more.
Background/Objectives: Fibroblast growth factor receptors (FGFRs) are frequently dysregulated in diverse cancers and represent important therapeutic targets. Here, we report the design and synthesis of a novel nucleoside-based scaffold which enables irreversible pan-FGFR inhibition as a potential anticancer strategy. Methods: A series of nucleoside analogues was synthesized and assessed through structure–activity relationship studies. Structural analyses, including X-ray co-crystallography and molecular dynamics simulations, were performed to define key determinants of potency and selectivity. Biochemical assays against FGFR1–4 proteins, cellular antiproliferative assays in HCT116 (FGFR1 amplification) and RT4 (FGFR3-TACC3) models, metabolic stability evaluations and covalent bonding confirmation were conducted to characterize representative compounds. Results: SAR studies revealed that fused aromatic substituents and 4′-thio ribose enhanced FGFR potency, whereas enantiomeric inversion of ribose reduced activity. X-ray co-crystallography further demonstrated that two hydroxyl groups form a key water-mediated hydrogen bond network, uniquely stabilizing the ligand and enhancing potency of inhibitors compared to reference compounds. The 7-methoxy-5-methylbenzo[b]thiophene scaffold and ribose moiety emerged as critical features. Compounds 13f, 19e, and 22f demonstrated potent inhibition of FGFR1-4 and dose-dependent suppression of FGFR1-mediated signaling, with strong antiproliferative activity in both FGFR-driven and wild-type cancer models. Compound 22f showed efficient irreversible covalent engagement of FGFRs, confirmed at the protein and cellular levels, and exhibited improved metabolic stability. Conclusions: Nucleoside analogues represent a privileged scaffold for covalent pan-FGFR inhibition. The findings highlight their potential as promising therapeutic candidates for targeting FGFR-driven malignancies. Future efforts will focus on further improving stability and optimizing physicochemical properties to advance these compounds toward translational development. Full article
Show Figures

Graphical abstract

Back to TopTop