Human Exposure to Metals and Potential Human Health Risk in a Volcanic Environment in Italy
Abstract
1. Introduction
2. Materials and Methods
2.1. Sampling Areas
2.2. Subjects
2.3. Sample Preparation
2.4. Determination of Elements
2.5. Statistics
2.6. Risk Assessment
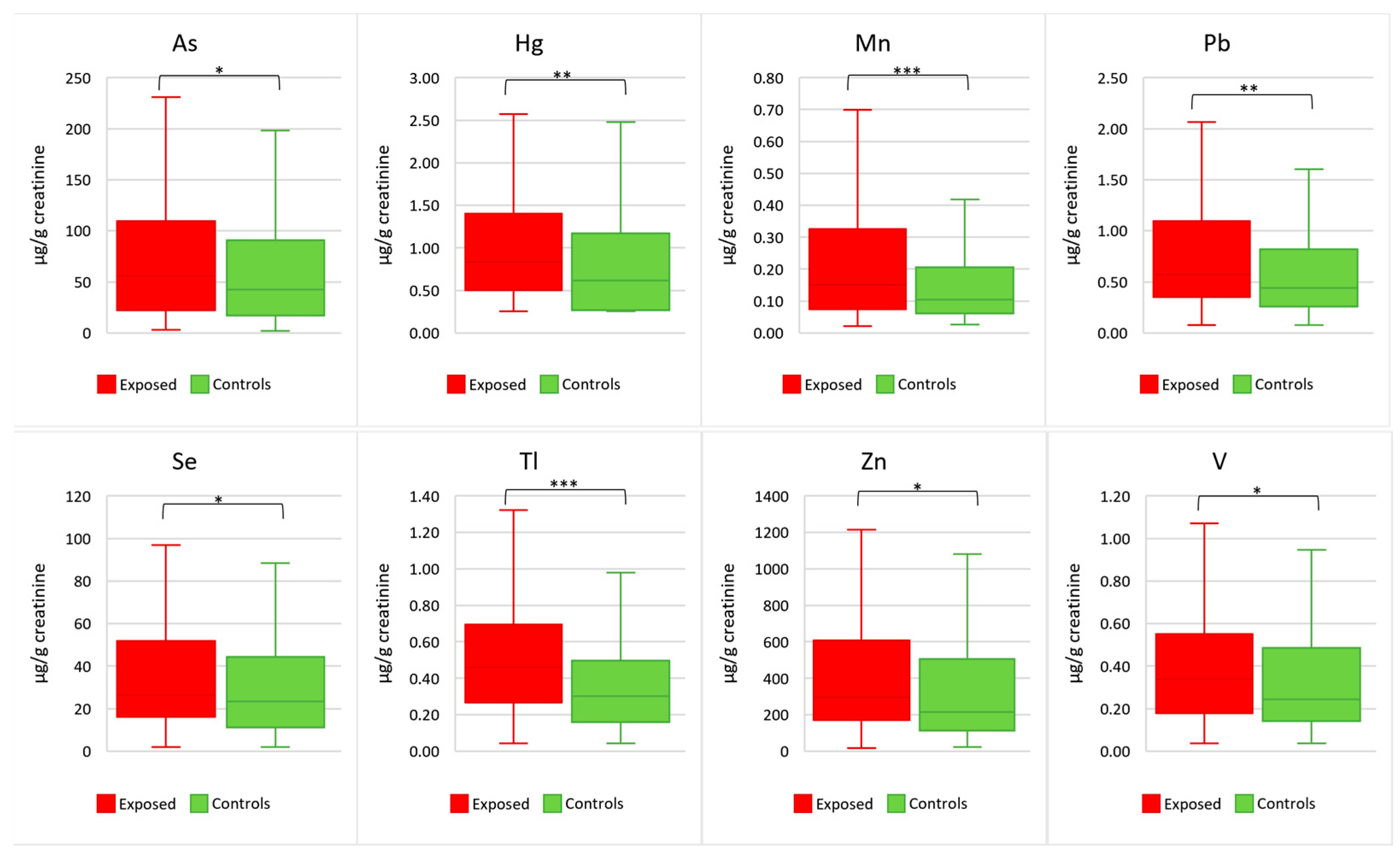
3. Results
| Elements | Sicily (Italy) 2024 No. 360 | Germany 2020 * No. 102 | United Kingdom 2014 No. 132 | Italy 2013 No. 394 | Italy 2018 SIVR *** No. 200 | Ireland 2011–2014 No. 100 | Belgium 2010–2011 ** No. 1001 | Switzerland 2009–2013 No. 903 | France 2008–2010 No. 2000 | Belgium 2007–2011 *** No. 204 | France 2006–2007 No. 1991 |
|---|---|---|---|---|---|---|---|---|---|---|---|
| [this study] | [38] | [39] | [22] | [40] | [41] | [42] | [43] | [44] | [45] | [46] | |
| As | 35.1 (244) | 10.3 (44) | 10.48 (152.4) | 18.2 (88.9) | 9.8 (223.2) F 7.6 (69.4) M | 14.1 (228) | 11.8 (144) | 16.0 (131) | 17.2 (179.3) | 12.68 (72.75) | |
| Ba | 1.31 (6.23) | 2.9 (11) | 1.37 (8.42) | 1.91 (8.41) | |||||||
| Be | <0.04 (<0.04) | <0.02 (<0.02) | 0.0052 (0.0117) | 0.16 (0.34) | <0.010 (0.034) | <0.007 (<0.007) | <0.002 (0.004) | 0.01 (0.15) | |||
| Bi | <0.11 (<0.11) | <0.01 (0.028) | <0.175 (<0.175) | <0.016 (0.042) | 0.010 (0.095) | ||||||
| Cd | 0.11 (0.56) | 0.23 (0.58) | 0.13 (0.52) | 0.71 (1.93) | 0.255 (0.900) | 0.5 (1.8) F 0.3 (0.9) M | 0.276 (1.362) | 0.186 (0.634) | 0.42 (1.33) | 0.239 (0.612) | 0.32 (0.95) |
| Co | 0.17 (1.11) | 0.34 (1.3) | 0.22 (1.04) | 0.16 (0.56) | 0.432 (2.24) | 0.184 (1.281) | 0.181 (0.972) | 0.60 (1.89) | 0.22 (1.40) | ||
| Cr | 0.13 (0.87) | 0.17 (0.35) | 0.35 (0.79) | 0.16 (0.44) | 0.221 (0.600) | 0.8 (1.5) F 0.8 (1.1) M | 0.134 (0.524) | 1.23 (2.48) | 0.56 (1.60) | 0.19 (0.65) | |
| Cu | 5.96 (22.5) | 6.7 (15) | 8.75 (9.30) | 10.8 (26.6) | 6.2 (27.1) F 7.3 (18.6) M | 8.18 (23.9) | 8.63 (21.7) | ||||
| Hg | 0.53 (2.09) | 0.25 (0.63) | 0.43 (2.81) | 1.35 (5.16) | 11.6 (24.0) | 0.4 (2.1) F 0.6 (2.5) M | 0.382 (2.15) | 0.249 (1.04) | 1.08 (6.60) | ||
| Li | 18.7 (62.6) | 27.6 (103) | 11.0 (28.4) | 22.9 (90.5) | 21.6 (93.3) | ||||||
| Mn | 0.080 (0.47) | 0.060 (0.12) | <0.092 (0.46) | 0.12 (0.25) | 0.289 (1.53) | 0.2 (1.6) F 0.2 (0.9) M | <0.043 (0.560) | <0.568 (<0.568) | 0.38 (1.07) | ||
| Mo | 26.3 (89.9) | 30 (78) | 29.13 (107.25) | 31.3 (135) | 26.6 (91.0) | ||||||
| Ni | 0.80 (3.68) | 1.35 (4.0) | 1.99 (6.35) | 0.89 (3.04) | 1.47 (4.44) | 2.05 (5.64) | 1.45 (6.27) | 2.18 (5.99) | 1.50 (4.54) | ||
| Pb | 0.39 (1.74) | 0.46 (1.0) | 0.47 (7.63) | 0.644 (2.64) | 2.4 (4.2) F 2.2 (3.0) M | 0.872 (3.45) | 0.767 (2.29) | 1.11 (3.76) | |||
| Sb | 0.028 (0.11) | 0.030 (0.08) | <0.092 (0.26) | 0.06 (0.18) | 0.029 (0.095) | 0.040 (0.314) | 0.046 (0.265) | 0.09 (0.41) | 0.087 (0.320) | ||
| Se | 18.3 (70.5) | 14.1 (30) | 13.4 (33.39) | 15.5 (53.9) F 13.7 (39.7) M | 25.1 (67.5) | 17.3 (44.0) | |||||
| Sn | 0.083 (0.45) | 0.43 (1.2) | 0.33 (2.44) | 0.62 (1.99) | 0.373 (3.565) | 0.320 (1.50) | 0.59 (2.81) | ||||
| Sr | 122 (338) | 112 (286) | 80.0 (350) | ||||||||
| Tl | 0.27 (0.73) | 0.34 (0.66) | 0.17 (0.44) | 0.27 (0.68) | 0.203 (0.759) | 0.211 (0.598) | 0.158 (0.372) | 0.25 (0.50) | |||
| U | 0.015 (0.048) | <0.008 | <0.007 (0.043) | 0.0049 (0.0212) | |||||||
| V | 0.20 (1.15) | 0.055 (0.13) | 1.58 (3.79) | 0.03 (0.11) | 0.096 (0.855) | 0.248 (1.265) | 0.479 (0.966) | 0.42 (1.21) | 1.01 (2.79) | ||
| W | 0.046 (0.31) | 0.14 (0.38) | 1.44 (6.04) | ||||||||
| Zn | 185 (992) | 247 (685) | 180 (730) | 389 (1146) | 256 (1432) | 216 (598) | 348 (1039) |
| Elements | This Study (95th Percentile) | HBM-I | HBM-II | BE | Reference |
|---|---|---|---|---|---|
| Ba | 6.23 µg/L 9.23 µg/g creatinine | 192 µg/L (246 µg/g creatinine) a | [36] | ||
| Bi | <0.11 µg/L | 0.18 µg/L b | [37] | ||
| Cd | 0.56 µg/L | 1 µg/L | 4 µg/L | 1.5 µg/L (2.0 µg/g creatinine) a | [30,31] |
| 0.81 µg/g creatinine | 1.2 µg/L (1.7 µg/g creatinine) c | ||||
| Hg | 2.09 µg/L | 7 µg/L | 25 µg/L | [30] | |
| 3.52 µg/g creatinine | 5 µg/g creatinine | 20 µg/g creatinine | |||
| Mo | 89.9 µg/L | 200–7500 µg/L a,c,d,e,f | [34] | ||
| Se | 70.5 µg/L | 90–110 µg/L c,d | [33] | ||
| Sn | 0.45 µg/L 0.71 µg/g creatinine | 20 µg/L (26 µg/g creatinine) e | [35] | ||
| Tl | 0.73 µg/L | 5 µg/L | [30] |
4. Discussion
4.1. Exposure to Etna Volcano
4.2. Exposure to Other Variables
4.3. Reference Values (RVs), Health-Based Guidance Values (HBGVs), and Risk Quotients (RQs)
5. Conclusions
Supplementary Materials
Author Contributions
Funding
Institutional Review Board Statement
Informed Consent Statement
Data Availability Statement
Conflicts of Interest
References
- Doocy, S.; Daniels, A.; Dooling, S.; Gorokhovich, Y. The human impact of volcanoes: A historical review of events 1900–2009 and systematic literature review. PLoS Curr. 2013, 16, 5. [Google Scholar]
- Hartley, S. Mount Etna Europe’s biggest volcano. Catalyst, 4–6 April 2013. Available online: https://www.stem.org.uk/system/files/elibrary-resources/legacy_files_migrated/26578-catalyst23%204_549.pdf (accessed on 29 May 2025).
- Gauthier, P.-J.; Le Cloarec, M.-F. Variability of alkali and heavy metal fluxes released by Mt. Etna volcano, Sicily, between 1991 and 1995. J. Volcanol. Geother. Res. 1998, 81, 311–326. [Google Scholar]
- Calabrese, S.; Aiuppa, A.; Allard, P.; Bagnato, E.; Bellomo, S.; Brusca, L.; D’Alessandro, W.; Parello, P. Atmospheric sources and sinks of volcanogenic elements in a basaltic volcano (Etna, Italy). Geochim. Cosmochim. Acta 2011, 75, 7401–7425. [Google Scholar]
- Ruggieri, F.; Forte, G.; Bocca, B.; Casentini, B.; Petrangeli, A.B.; Salatino, A.; Gimeno, D. Potentially harmful elements released by volcanic ash of the 2021 Tajogaite eruption (Cumbre Vieja, La Palma Island, Spain): Implications for human health. Sci. Total Environ. 2023, 905, 167103. [Google Scholar]
- Barone, G.; De Giudici, G.; Gimeno, D.; Lanzafame, G.; Podda, F.; Cannas, C.; Giuffrida, A.; Barchitta, M.; Agodi, A.; Mazzoleni, P. Surface reactivity of Etna volcanic ash and evaluation of health risks. Sci. Total Environ. 2021, 761, 143248. [Google Scholar]
- Aiuppa, A.; Allard, P.; D’Alessandro, W.; Michel, A.; Parello, F.; Treuil, M.; Valenza, M. Mobility and fluxes of major, minor and trace metals during basalt weathering at Mt. Etna volcano (Sicily). Geochim. Cosmochim. Acta 2000, 64, 1827–1841. [Google Scholar] [CrossRef]
- Barsotti, S.; Andronico, D.; Neri, A.; Del Carlo, P.; Baxter, P.J.; Aspinall, W.P.; Hincks, T. Quantitative assessment of volcanic ash hazards for health and infrastructure at Mt. Etna (Italy) by numerical simulation. J. Volcanol. Geother. Res. 2010, 192, 85–96. [Google Scholar] [CrossRef]
- Fano, V.; Cernigliaro, A.; Scondotto, S.; Perucci, C.A.; Forastiere, F. The fear of volcano: Short-term health effects after Mount Etna’s eruption in 2002. Eur. Respir. J. 2010, 36, 1216–1218. [Google Scholar] [PubMed]
- Nicoletti, A.; Bruno, E.; Nania, M.; Cicero, E.; Messina, S.; Chisari, C.; Torrisi, J.; Maimone, D.; Marziolo, R.; Lo Fermo, S.; et al. Multiple sclerosis in the Mount Etna Region: Possible role of volcanogenic trace elements. PLoS ONE 2013, 8, e74259. [Google Scholar] [CrossRef] [PubMed]
- Nicoletti, A.; Rascunà, C.; Boumediene, F.; Vasta, R.; Cicero, C.E.; Lo Fermo, S.; Ferrante, M.; Marziolo, R.; Maimone, D.; Grimaldi, L.M.; et al. Incidence of multiple sclerosis in the province of Catania. A geoepidemiological Study. Environ. Res. 2020, 182, 109022. [Google Scholar] [CrossRef]
- Giacoppo, S.; Galuppo, M.; Calabrò, R.S.; D’Aleo, G.; Marra, A.; Sessa, E.; Bua, D.G.; Potortì, A.G.; Dugo, G.; Bramanti, P.; et al. Heavy metals and neurodegenerative diseases: An observational study. Biol. Trace Elem. Res. 2014, 161, 151–160. [Google Scholar]
- Nicoletti, A.; Vasta, R.; Venti, V.; Mostile, G.; Lo Fermo, S.; Patti, F.; Scillieri, R.; De Cicco, D.; Volanti, P.; Marziolo, R.; et al. The epidemiology of amyotrophic lateral sclerosis in the Mount Etna region: A possible pathogenic role of volcanogenic metals thyroid cancer. Eur. J. Neurol. 2016, 23, 964–972. [Google Scholar] [CrossRef]
- Gianì, F.; Masto, R.; Trovato, M.A.; Malandrino, P.; Russo, M.; Pellegriti, G.; Vigneri, P.; Vigneri, R. Heavy metals in the environment and thyroid cancer. Cancers 2021, 13, 4052. [Google Scholar] [CrossRef]
- Malandrino, P.; Scollo, C.; Marturano, I.; Russo, M.; Tavarelli, M.; Attard, M.; Richiusa, P.; Violi, M.A.; Dardanoni, G.; Vigneri, R.; et al. Descriptive epidemiology of human thyroid cancer: Experience from a regional registry and the “volcanic factor”. Front. Endocrinol. 2013, 4, 65. [Google Scholar] [CrossRef]
- Vigneri, R.; Malandrino, P.; Gianì, F.; Russo, M.; Vigneri, P. Heavy metals in the volcanic environment and thyroid cancer. Mol. Cell. Endocrinol. 2017, 457, 73–80. [Google Scholar] [CrossRef]
- Lombardo, D.; Ciancio, N.; Campisi, R.; Di Maria, A.; Bivona, L.; Poletti, V.; Mistretta, A.; Biggeri, A.; Di Maria, G. A retrospective study on acute health effects due to volcanic ash exposure during the eruption of Mount Etna (Sicily) in 2002. Multidiscip. Respir. Med. 2013, 8, 51. [Google Scholar] [CrossRef] [PubMed]
- Diana, B.; Finocchiaro, A.; La Delfa, S.; Patanè, G.; Presti, F.; Timpanaro, M.; Tringali, G. Aerobiological monitoring applications in the Etnean volcanic plume evaluation (Mt. Etna, Sicily) and correlation with allergopathies. Aerobiologia 2006, 22, 285–293. [Google Scholar] [CrossRef]
- Varrica, D.; Tamburo, E.; Dongarrà, G.; Sposito, F. Trace elements in scalp hair of children chronically exposed to volcanic activity (Mt. Etna, Italy). Sci. Total Environ. 2014, 470–471, 117–126. [Google Scholar] [CrossRef] [PubMed]
- Abbruzzo, A.; Tamburo, E.; Varrica, D.; Dongarrà, G.; Mineo, A. Penalized linear discriminant analysis and Discrete AdaBoost to distinguish human hair metal profiles: The case of adolescents residing near Mt. Etna. Chemosphere 2016, 153, 100–106. [Google Scholar] [CrossRef]
- Censi, C.; Zuddas, P.; Randazzo, L.A.; Tamburo, E.; Speziale, S.; Cuttitta, A.; Punturo, R.; Aricò, P.; Santagata, R. Source and nature of inhaled atmospheric dust from analyses of human bronchial fluids trace element. Environ. Sci. Technol. 2011, 45, 6262–6267. [Google Scholar]
- Bocca, B.; Bena, A.; Pino, A.; D’Aversa, J.; Orengia, M.; Farina, E.; Salamina, G.; Procopio, E.; Chiusolo, M.; Gandini, M.; et al. Human biomonitoring of metals in adults living near a waste-to-energy incinerator in ante-operam phase: Focus on reference values and health-based assessments. Environ. Res. 2016, 148, 338–350. [Google Scholar] [PubMed]
- Mauriello, M.C.; Sbordone, C.; Montuori, P.; Alfano, R.; Triassi, M.; Iavicoli, I.; Manno, M. Biomonitoring of toxic metals in incinerator workers: A systematic review. Toxicol. Lett. 2017, 272, 8–28. [Google Scholar] [CrossRef] [PubMed]
- NRC—National Research Council. Exposure Science in the 21st Century: A Vision and a Strategy; National Academies Press: Washington, DC, USA, 2012; p. 195. [Google Scholar]
- Catalano, S.; Pavano, F.; Romagnoli, G.; Tortorici, G. Late Quaternary tectonics and active ground deformation in the Catania urban area (eastern Sicily): New constraints from a geological investigation. Tectonophysics 2017, 712–713, 200–207. [Google Scholar] [CrossRef]
- Calabrese, S.; D’Alessandro, W.; Bellomo, S.; Brusca, L.; Martin, R.S.; Saiano, F.; Parello, F. Characterization of the Etna volcanic emissions through an active biomonitoring technique (moss-bags): Part 1—Major and trace element composition. Chemosphere 2015, 119, 1447–1455. [Google Scholar]
- Ruggieri, F.; Alimonti, A.; Bocca, B. Full validation and accreditation of a method to support human biomonitoring studies for trace and ultra-trace elements. TrAC—Trends Anal. Chem. 2016, 80, 471–485. [Google Scholar] [CrossRef]
- Socianu, S.; Bopp, S.K.; Govarts, E.; Gilles, L.; Buekers, J.; Kolossa-Gehring, M.; Backhaus, T.; Franco, A. Chemical mixtures in the EU population: Composition and potential risks. Int. J. Environ. Res. Public Health 2022, 19, 6121. [Google Scholar] [CrossRef]
- Angerer, J.; Aylward, L.L.; Hays, S.M.; Heinzow, B.; Wilhelm, M. Human biomonitoring assessment values: Approaches and data requirements. Int. J. Hyg. Environ. Health 2011, 214, 348–360. [Google Scholar] [CrossRef]
- Schulz, C.; Wilhelm, M.; Heudorf, U.; Kolossa- Gehring, M. Reprint of Update of the reference and HBM values derived by the German Human Biomonitoring Commission. Int. J. Hyg. Environ. Health 2012, 215, 150–158. [Google Scholar] [CrossRef] [PubMed]
- Hays, S.M.; Nordberg, M.; Yager, J.W.; Aylward, L.L. Biomonitoring Equivalents (BE) dossier for cadmium (Cd) (CAS No. 7440-43-9). Regul. Toxicol. Pharmacol. 2008, 51, S49–S56. [Google Scholar] [CrossRef]
- Hays, S.M.; Aylward, L.L. Interpreting human biomonitoring data in a public health risk context using Biomonitoring Equivalents. Int. J. Hyg. Environ. Health 2012, 215, 145–148. [Google Scholar]
- Hays, S.M.; Macey, K.; Nong, A.; Aylward, L.L. Biomonitoring Equivalents for selenium. Regul. Toxicol. Pharmacol. 2014, 70, 333–339. [Google Scholar] [CrossRef]
- Hays, S.M.; Macey, K.; Poddalgoda, D.; Lu, M.; Nong, A.; Aylward, L.L. Biomonitoring Equivalents for molybdenum. Regul. Toxicol. Pharmacol. 2016, 77, 223–229. [Google Scholar] [CrossRef]
- Poddalgoda, D.; Macey, K.; Jayawardene, I.; Krishnan, K. Derivation of biomonitoring equivalent for inorganic tin for interpreting population-level urinary biomonitoring data. Regul. Toxicol. Pharmacol. 2016, 81, 430–436. [Google Scholar] [CrossRef]
- Poddalgoda, D.; Macey, K.; Assad, H.; Krishnan, K. Development of biomonitoring equivalents for barium in urine and plasma for interpreting human biomonitoring data. Regul. Toxicol. Pharmacol. 2017, 86, 303–311. [Google Scholar] [CrossRef] [PubMed]
- Poddalgoda, D.; Hays, S.M.; Nong, A. Derivation of biomonitoring equivalents (BE values) for bismuth. Regul. Toxicol. Pharmacol. 2020, 114, 104672. [Google Scholar] [CrossRef] [PubMed]
- Heitland, P.; Koster, H.D. Human biomonitoring of 73 elements in blood, serum, erythrocytes and urine. J. Trace Elem. Med. Biol. 2021, 64, 126706. [Google Scholar]
- Morton, J.; Tan, E.; Leese, E.; Cocker, J. Determination of 61 elements in urine samples collected from a non-occupationally exposed UK adult population. Toxicol. Lett. 2014, 231, 179–193. [Google Scholar] [CrossRef] [PubMed]
- Aprea, M.C.; Apostoli, P.; Bettinelli, M.; Lovreglio, P.; Negri, S.; Perbellini, L.; Perico, A.; Ricossa, M.C.; Salamon, F.; Scapellato, M.L.; et al. Urinary levels of metal elements in the non-smoking general population in Italy: SIVR study 2012–2015. Toxicol. Lett. 2018, 298, 177–185. [Google Scholar] [CrossRef]
- Rooney, J.P.K.; Michalke, B.; Geoghegan, G.; Heverin, M.; Bose-O’Reilly, S.; Hardiman, O.; Rakete, S. Urine concentrations of selected trace metals in a cohort of Irish adults. Environ. Sci. Pollut. Res. Int. 2022, 29, 75356–75364. [Google Scholar] [CrossRef]
- Hoet, P.; Jacquerye, C.; Deumer, G.; Lison, D.; Haufroid, V. Reference values and upper reference limits for 26 trace elements in the urine of adults living in Belgium. Clin. Chem. Lab. Med. 2013, 51, 839–849. [Google Scholar] [CrossRef]
- Perrais, M.; Trächsel, B.; Lenglet, S.; Pruijm, M.; Ponte, B.; Vogt, V.; Augsburger, M.; Rousson, V.; Bochud, M.; Thomas, A. Reference values for plasma and urine trace elements in a Swiss population-based cohort. Clin. Chem. Lab. Med. 2024, 62, 2242–2255. [Google Scholar] [CrossRef]
- Nisse, C.; Tagne-Fotso, R.; Howsam, M.; Richeval, C.; Labat, L.; Leroyer, A. Blood and urinary levels of metals and metalloids in the general adult population of Northern France: The IMEPOGE study, 2008–2010. Int. J. Hyg. Environ. Health 2017, 220, 341–363. [Google Scholar] [CrossRef] [PubMed]
- Baeyens, W.; Vrijens, J.; Gao, Y.; Croes, K.; Schoeters, G.; Den Hond, E.; Sioen, I.; Bruckerse, L.; Nawrot, T.; Nelen, V.; et al. Trace metals in blood and urine of newborn/mother pairs, adolescents and adults of the Flemish population (2007–2011). Int. J. Hyg. Environ. Health 2014, 217, 878–890. [Google Scholar] [CrossRef] [PubMed]
- Fréry, N.; Saoudi, A.; Garnier, R.; Zeghnoun, A.; Falq, G.; Guldner, L. Exposure of the French Population to Environmental Pollutants—Environmental Components of the French National Survey on Nutrition and Health (ENNS)—Initial Results; French Institute for Public Health Surveillance: Saint-Maurice, France, 2011; p. 151. [Google Scholar]
- Giammanco, S.; Ottaviani, M.; Valenza, M.; Veschetti, E.; Principiò, E.; Giammanco, G.; Pignato, S. Major and trace elements geochemistry in the ground waters of a volcanic area: Mount Etna (Sicily, Italy). Water Res. 1998, 32, 19–30. [Google Scholar] [CrossRef]
- Calabrese, S.; Scaglione, S.; Milazzo, S.; D’Alessandro, W.; Bobrowskyi, N.; Giuffrida, G.B.; Tedesco, D.; Oarello, F.; Yalire, M. Passive degassing at Nyiragongo (D.R. Congo) and Etna (Italy) volcanoes. Ann. Geophys. 2014, 57, 6783. [Google Scholar]
- Floor, G.H.; Calabrese, S.; Román-Ross, G.; D’Alessandro, W.; Aiuppa, A. Selenium mobilization in soils due to volcanic derived acid rain: An example from Mt Etna volcano, Sicily. Chem. Geol. 2011, 289, 235–244. [Google Scholar] [CrossRef]
- Giammanco, S.; Valenza, M.; Pignato, S.; Giammanco, G. Mg, Mn, Fe, and V concentrations in the ground waters of Mount Etna (Sicily). Water Res. 1996, 30, 378–386. [Google Scholar] [CrossRef]
- Cangemi, M.; Madonia, P.; Albano, L.; Bonfardeci, A.; Di Figlia, M.G.; Di Martino, R.M.R.; Nicolosi, M.; Favara, R. Heavy Metal Concentrations in the Groundwater of the Barcellona-Milazzo Plain (Italy): Contributions from Geogenic and Anthropogenic Sources. Int. J. Environ. Res. Public Health 2019, 16, 285. [Google Scholar] [CrossRef]
- Varrica, D.; Tamburo, E.; Dongarrà, G. Sicilian bottled natural waters: Major and trace inorganic components. Appl. Geochem. 2013, 34, 102–113. [Google Scholar] [CrossRef]
- Dinelli, E.; Lima, A.; Albanese, S.; Birke, M.; Cicchella, D.; Giaccio, L.; Valera, P.; De Vivo, B. Major and trace elements in tap water from Italy. J. Geochem. Explor. 2012, 112, 54–75. [Google Scholar] [CrossRef]
- Ferrante, M.; Fiore, M.; Ledda, C.; Cicciù, F.; Alonzo, E.; Fallico, R.; Platania, F.; Di Mauro, R.; Valenti, L.; Sciacca, S. Monitoraggio di metalli pesanti ed oligoelementi in aria, ortofrutta e terreno nella provincia di Catania. Ig. Sanita Pubblica 2013, 69, 47–54. [Google Scholar]
- Cimino, G.; Leuzzi, U.; Salvo, F.; Ziino, M. Heavy metal pollution. Part XI: Impact of the volcanic activity on Etnean milk and ricotta. Riv. Della Soc. Ital. Sci. Dell’alimentazione 1991, 20, 365–367. [Google Scholar]
- Varrica, D.; Aiuppa, A.; Dongarrà, G. Volcanic and anthropogenic contribution to heavy metal content in lichens from Mt. Etna and Vulcano island (Sicily). Environ. Pollut. 2000, 108, 153–162. [Google Scholar] [CrossRef]
- Martin, R.S.; Witt, M.L.I.; Sawyer, G.M.; Thomas, H.E.; Watt, S.F.L.; Bagnato, E.; Calabrese, S.; Aiuppa, A.; Delmelle, P.; Pyle, D.M.; et al. Bioindication of volcanic mercury (Hg) deposition around Mt. Etna (Sicily). Chem. Geol. 2012, 310–311, 12–22. [Google Scholar] [CrossRef]
- Bagnato, E.; Aiuppa, A.; Parello, F.; Calabrese, S.; D’Alessandro, W.; Mather, T.A.; McGonigle, A.J.S.; Pyle, D.M.; Wängberg, I. Degassing of gaseous (elemental and reactive) and particulate mercury from Mount Etna volcano (Southern Italy). Atmos. Environ. 2007, 41, 7377–7388. [Google Scholar] [CrossRef]
- IPCS. Environmental Health Criteria 224. Arsenic and Arsenic Compounds, 2nd ed.; World Health Organization—International Programme on Chemical Safety: Geneva, Switzerland, 2001; p. 521. [Google Scholar]
- Traina, A.; Bono, G.; Bonsignore, M.; Falco, F.; Giuga, M.; Quinci, E.M.; Vitale, S.; Sprovieri, M. Heavy metals concentrations in some commercially key species from Sicilian coasts (Mediterranean Sea): Potential human health risk estimation. Ecotoxicol. Environ. Saf. 2019, 168, 466–478. [Google Scholar] [CrossRef]
- Copat, C.; Bella, F.; Castaing, M.; Fallico, R.; Sciacca, S.; Ferrante, M. Heavy Metals Concentrations in fish from Sicily (Mediterranean Sea) and evaluation of possible health risks to consumers. Bull. Environ. Contam. Toxicol. 2012, 88, 78–83. [Google Scholar] [CrossRef]
- Bonsignore, M.; Salvagio Manta, D.; Mirto, S.; Quinci, E.M.; Ape, F.; Montalto, V.; Gristina, M.; Traina, A.; Sprovieri, M. Bioaccumulation of heavy metals in fish, crustaceans, molluscs and echinoderms from the Tuscany coast. Ecotoxicol. Environ. Saf. 2018, 162, 554–562. [Google Scholar] [CrossRef] [PubMed]
- Sepe, A.; Ciaralli, L.; Ciprotti, M.; Giordano, R.; Funari, E.; Costantini, S. Determination of cadmium, chromium, lead and vanadium in six fish species from the Adriatic Sea. Food Addit. Contam. 2003, 20, 543–552. [Google Scholar] [CrossRef] [PubMed]
- Berrettoni, M.; Zamponi, S.; Conti, P.; Fattobene, M.; Liu, F.; Aborah, M. Determination of heavy metals in root and shoot of durum wheat, plant soil: Translocation and bioaccumulation actor. Adv. J. Grad. Res. 2023, 14, 38–50. [Google Scholar] [CrossRef]
- Conti, M.E.; Cubadda, F.; Carcea, M. Trace metals in soft and durum wheat from Italy. Food Addit. Contam. 2000, 17, 45–53. [Google Scholar] [CrossRef]
- Oliveri, F.; Brancato, P.; Gottuso, V.; Cosenza, M.; Pitti, R.; Bua, G.D.; Annuario, G.; Reale, S.; Cicero, N.; Dugo, G. Study of heavy metals, taa, polyphenols in triticum durum wheat samples ground with ancient millstone. In Proceedings of the Atti del XXV Congresso italo-latinoamericano di Etnomedicina (SILAE), Modena, Italy, 11–15 September 2016. [Google Scholar]
- Redan, B.W.; Jablonski, J.E.; Halverson, C.; Jaganathan, J.; Mabud, A.; Jackson, L.S. Factors affecting transfer of the heavy metals arsenic, lead, and cadmium from diatomaceous-earth filter aids to alcoholic beverages during laboratory-scale filtration. J. Agric. Food Chem. 2019, 67, 2670−2678. [Google Scholar] [CrossRef]
- May, B.; Dreifke, T.; Patz, C.-D.; Schütz, C.L.; Schweiggert, R.; Dietrich, H. Filter aid selection allows modulating the vanadium concentration in beverages. Food Chem. 2019, 300, 12516. [Google Scholar] [CrossRef] [PubMed]
- Zang, F. The Effects of Zinc on Beer Fermentation. Available online: https://en.angelyeast.com/blog/distilled-spirits-and-biofuels/the-effects-of-zinc-on-beer-fermentation.html (accessed on 31 March 2025).
- Rodrigo, S.; Santamaria, O.; Chen, Y.; McGrath, S.P.; Poblaciones, M.J. Selenium speciation in malt, wort, and beer made from selenium-biofortified two-rowed barley grain. J. Agric. Food Chem. 2014, 62, 5948–5953. [Google Scholar]
- Russo, G.; Laneri, S.; Di Lorenzo, R.; Neri, I.; Dini, I.; Ciampaglia, R.; Grumetto, L. Monitoring of pollutants content in bottled and tap drinking water in Italy. Molecules 2022, 27, 3990. [Google Scholar] [CrossRef] [PubMed]
- Sorlini, S.; Gialdini, F.; Collivignarelli, C. Metal leaching in drinking water domestic distribution system: An Italian case study. Int. J. Environ. Health Res. 2014, 24, 497–514. [Google Scholar] [PubMed]
- Gatzke-Kopp, L.M.; Riis, J.L.; Ahmadi, H.; Piccerillo, H.L.; Granger, D.A.; Blair, C.B.; Thomas, E.A. Environmental tobacco smoke exposure is associated with increased levels of metals in children’s saliva. J. Expo. Sci. Environ. Epidemiol. 2023, 33, 903–910. [Google Scholar]
- Malara, P.; Kwapuliński, J.; Malara, B.; Drugacz, J. Wpływ biernego narazenia na dym tytoniowy na wystepowanie wybranych metali w zebach mlecznych [Effect of passive smoking on the level of selected metals in deciduous teeth]. Przegląd Lek. 2006, 63, 1002–1006. [Google Scholar]
- Bernhard, D.; Rossmann, A.; Wick, G. Metals in cigarette smoke. IUBMB Life 2005, 57, 805–809. [Google Scholar] [CrossRef]
- de Brito Mateus, M.P.; Rimoldi Tavanti, R.F.; Rimoldi Tavanti, T.; Ferreira Santos, E.; Jalal, A.; dos Reis, A.R. Selenium biofortification enhances ROS scavenge system increasing yield of coffee plants. Ecotoxicol. Environ. Saf. 2021, 209, 111772. [Google Scholar] [CrossRef]
- Messaoudi, M.; Bega, S.; Hamidatou, L.; Salhi, M. Determination of selenium in roasted beans coffee samples consumed in Algeria by radiochemical neutron activation analysis method. Radiochim. Acta 2018, 106, 141–146. [Google Scholar]
- Zaidi, J.; Fatima, I.; Arif, M.; Qureshi, I.H. Determination of trace elements in coffee beans and instant coffee of various origins by INAA. J. Radioanal. Nucl. Chem. 2005, 267, 109–112. [Google Scholar] [CrossRef]
- Poulson, O.; Holst, E.; Christensen, J. Calculation and application of coverage intervals for biological reference values (technical report). Pure Appl. Chem. 1997, 69, 1601–1612. [Google Scholar] [CrossRef]
- Solberg, H.E. The IFCC recommendation on estimation of reference intervals. The RefVal program. Clin. Chem. Lab. Med. 2004, 42, 710–714. [Google Scholar] [CrossRef] [PubMed]
- Aprea, M.C.; Scapellato, M.L.; Valsania, M.C.; Perico, A.; Perbellini, L.; Ricossa, M.C.; Pradella, M.; Negri, S.; Iavicoli, I.; Lovreglio, P.; et al. Methodology to define biological reference values in the environmental and occupational fields: The contribution of the Italian Society for Reference Values (SIVR). Med. Lav. 2017, 108, 138–148. [Google Scholar]
- Bocca, B.; Madeddu, R.; Asara, Y.; Tolu, P.; Marchal, J.A.; Forte, G. Assessment of reference ranges for blood Cu, Mn, Se and Zn in a selected Italian population. J. Trace Elem. Med. Biol. 2011, 25, 19–26. [Google Scholar] [CrossRef]
- Forte, G.; Madeddu, R.; Tolu, P.; Asara, Y.; Marchal, J.A.; Bocca, B. Reference intervals for blood Cd and Pb in the general population of Sardinia (Italy). Int. J. Hyg. Environ. Health 2011, 214, 102–109. [Google Scholar] [CrossRef] [PubMed]
- Iavicoli, I.; Leso, V.; Fontana, L. The reference values in the interpretation of toxicological data. Med. Lav. 2019, 110, 251–270. [Google Scholar] [CrossRef]





| Elements | Total Population | Exposed | Controls | p-Value 1 |
|---|---|---|---|---|
| P50 (P5–P95) | P50 (P5–P95) | P50 (P5–P95) | ||
| As | 47.9 (5.21–337) | 55.8 (7.70–434) | 42.6 (4.30–254) | 0.025 |
| Ba | 1.74 (0.38–9.23) | 1.81 (0.47–9.96) | 1.59 (0.29–9.03) | 0.444 |
| Be | <LoD | <LoD | <LoD | - |
| Bi | <LoD | <LoD | <LoD | - |
| Cd | 0.15 (0.031–0.81) | 0.17 (0.017–0.87) | 0.140 (0.026–0.776) | 0.058 |
| Co | 0.23 (0.053–1.66) | 0.23 (0.044–1.49) | 0.23 (0.055–1.69) | 0.560 |
| Cr | 0.18 (0.054–1.42) | 0.20 (0.053–1.42) | 0.17 (0.056–1.33) | 0.506 |
| Cu | 7.83 (2.05–36.9) | 8.37 (2.18–34.0) | 7.47 (2.04–37.7) | 0.319 |
| Hg | 0.73 (0.25–3.52) | 0.84 (0.25–4.14) | 0.62 (0.25–3.16) | 0.004 |
| Li | 26.8 (6.29–91.3) | 28.6 (6.87–83.8) | 25.3 (5.34–92.5) | 0.362 |
| Mn | 0.11 (0.040–0.62) | 0.15 (0.38–0.68) | 0.10 (0.037–0.50) | 0.001 |
| Mo | 37.3 (5.43–140) | 38.9 (7.27–139) | 35.3 (4.94–141) | 0.355 |
| Ni | 1.06 (0.25–5.02) | 1.14 (0.25–4.33) | 0.99 (0.26–5.78) | 0.338 |
| Pb | 0.52 (0.13–2.96) | 0.57 (0.18–3.38) | 0.44 (0.079–2.42) | 0.004 |
| Sb | 0.038 (0.010–0.18) | 0.042 (0.014–0.21) | 0.034 (0.010–0.16) | 0.055 |
| Se | 24.8 (5.78–115) | 26.3 (5.99–112) | 23.3 (5.50–120) | 0.023 |
| Sn | 0.11 (0.025–0.71) | 0.12 (0.025–0.85) | 0.10 (0.025–0.60) | 0.190 |
| Sr | 163 (46.8–599) | 165 (54.9–552) | 160 (36.4–624) | 0.531 |
| Tl | 0.36 (0.085–1.13) | 0.46 (0.12–1.27) | 0.30 (0.044–0.99) | <0.001 |
| U | 0.020 (0.008–0.078) | 0.020 (0.008–0.087) | 0.020 (0.008–0.066) | 0.737 |
| V | 0.29 (0.070–1.71) | 0.34 (0.071–1.94) | 0.24 (0.070–1.30) | 0.033 |
| W | 0.063 (0.019–0.45) | 0.070 (0.19–0.48) | 0.057 (0.019–0.43) | 0.098 |
| Zn | 258 (53.1–1509) | 297 (65.2–1388) | 214 (41.1–1550) | 0.017 |
Disclaimer/Publisher’s Note: The statements, opinions and data contained in all publications are solely those of the individual author(s) and contributor(s) and not of MDPI and/or the editor(s). MDPI and/or the editor(s) disclaim responsibility for any injury to people or property resulting from any ideas, methods, instructions or products referred to in the content. |
© 2025 by the authors. Licensee MDPI, Basel, Switzerland. This article is an open access article distributed under the terms and conditions of the Creative Commons Attribution (CC BY) license (https://creativecommons.org/licenses/by/4.0/).
Share and Cite
Forte, G.; Rapisarda, V.; Ruggieri, F.; Battistini, B.; Bauleo, L.; Filetti, V.; Grignani, E.; Lovreglio, P.; Matera, S.; Senia, P.; et al. Human Exposure to Metals and Potential Human Health Risk in a Volcanic Environment in Italy. Toxics 2025, 13, 1080. https://doi.org/10.3390/toxics13121080
Forte G, Rapisarda V, Ruggieri F, Battistini B, Bauleo L, Filetti V, Grignani E, Lovreglio P, Matera S, Senia P, et al. Human Exposure to Metals and Potential Human Health Risk in a Volcanic Environment in Italy. Toxics. 2025; 13(12):1080. https://doi.org/10.3390/toxics13121080
Chicago/Turabian StyleForte, Giovanni, Venerando Rapisarda, Flavia Ruggieri, Beatrice Battistini, Lisa Bauleo, Veronica Filetti, Elena Grignani, Piero Lovreglio, Serena Matera, Paola Senia, and et al. 2025. "Human Exposure to Metals and Potential Human Health Risk in a Volcanic Environment in Italy" Toxics 13, no. 12: 1080. https://doi.org/10.3390/toxics13121080
APA StyleForte, G., Rapisarda, V., Ruggieri, F., Battistini, B., Bauleo, L., Filetti, V., Grignani, E., Lovreglio, P., Matera, S., Senia, P., Vella, F., Vitale, E., Bocca, B., & Iavicoli, I. (2025). Human Exposure to Metals and Potential Human Health Risk in a Volcanic Environment in Italy. Toxics, 13(12), 1080. https://doi.org/10.3390/toxics13121080

