Sign in to use this feature.

Years

Between: -

Subjects

remove_circle_outline
remove_circle_outline
remove_circle_outline
remove_circle_outline
remove_circle_outline
remove_circle_outline
remove_circle_outline
remove_circle_outline
remove_circle_outline

Journals

remove_circle_outline
remove_circle_outline
remove_circle_outline
remove_circle_outline
remove_circle_outline
remove_circle_outline
remove_circle_outline
remove_circle_outline
remove_circle_outline
remove_circle_outline
remove_circle_outline
remove_circle_outline
remove_circle_outline
remove_circle_outline
remove_circle_outline
remove_circle_outline

Article Types

Countries / Regions

remove_circle_outline
remove_circle_outline
remove_circle_outline
remove_circle_outline
remove_circle_outline

Search Results (1,308)

Search Parameters:
Keywords = dose assessment; in vitro

Order results
Result details
Results per page
Select all
Export citation of selected articles as:
20 pages, 3217 KB  
Article
Design and In Vitro Evaluation of Cross-Linked Poly(HEMA)-Pectin Nano-Composites for Targeted Delivery of Potassium Channel Blockers in Cancer Therapy
by Gizem Ozkurnaz Civir, Fatemeh Bahadori, Ozgur Ozay, Gamze Ergin Kızılçay, Seyma Atesoglu, Ebru Haciosmanoglu Aldogan and Burak Celik
Gels 2026, 12(1), 13; https://doi.org/10.3390/gels12010013 - 24 Dec 2025
Abstract
Potassium (K+) channel blockers are promising anticancer agents but suffer from off-target toxicities. We designed cross-linked poly-2-Hydroxyethyl methacrylate (HEMA)–pectin nanogels (HPN) to deliver two model blockers—dofetilide (Dof) and azimilide (Azi)—and evaluated their physicochemical properties, release behavior, and in vitro anticancer activity. [...] Read more.
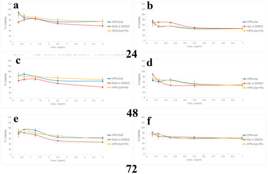
Potassium (K+) channel blockers are promising anticancer agents but suffer from off-target toxicities. We designed cross-linked poly-2-Hydroxyethyl methacrylate (HEMA)–pectin nanogels (HPN) to deliver two model blockers—dofetilide (Dof) and azimilide (Azi)—and evaluated their physicochemical properties, release behavior, and in vitro anticancer activity. HPN was synthesized by surfactant-assisted aqueous nanogel polymerization and comprehensively characterized (FTIR, DLS, TEM/SEM, XRD, BET). The particles were monodispersed with a mean diameter ~230 nm, compatible with tumor accumulation via the Enhanced Permeability and Retention (EPR) effect, and exhibited a microporous matrix suitable for controlled release. Drug loading was higher for Dof than for Azi, with DL% values of 82.30 ± 3.1% and 17.84 ± 2.9%, respectively. Release kinetics diverged: Azi-HPN followed primarily first-order diffusion with a rapid burst, whereas Dof-HPN showed mixed zero/first-order behavior. Cytotoxicity was assessed in A549 lung cancer and BEAS-2B bronchial epithelial cells. Both free and nano-formulated blockers were selectively toxic to A549 with minimal effects on BEAS-2B. Notably, a hormesis-like pattern (low-dose stimulation/high-dose inhibition in MTT) was evident for free Dof and Azi; encapsulation attenuated this effect for Dof but not for Azi. Co-administration with paclitaxel (Ptx) potentiated Dof-HPN cytotoxicity in A549 but did not enhance Azi-HPN, suggesting mechanism-dependent drug-drug interactions. Overall, HPN provides a biocompatible platform that improves K+ blocker delivery. Full article
Show Figures

Graphical abstract

23 pages, 3734 KB  
Article
Evaluation of the Functional Suitability of Carboxylate Chlorin e6 Derivatives for Use in Radionuclide Diagnostics
by Mariia Larkina, Anastasia Demina, Nikita Suvorov, Petr Ostroverkhov, Evgenii Plotnikov, Ruslan Varvashenya, Vitalina Bodenko, Gleb Yanovich, Anastasia Prach, Viktor Pogorilyy, Sergey Tikhonov, Alexander Popov, Maxim Usachev, Beatrice Volel, Yuriy Vasil’ev, Mikhail Belousov and Mikhail Grin
Pharmaceutics 2026, 18(1), 23; https://doi.org/10.3390/pharmaceutics18010023 - 23 Dec 2025
Abstract
Radionuclide-based molecular imaging modalities are active and developing areas of functional and molecular diagnosis. Among the radionuclides used for SPECT imaging in oncology, 99mTc is a leading candidate for radiolabeling. At present, a sufficient number of complexons for 99mTc have been [...] Read more.
Radionuclide-based molecular imaging modalities are active and developing areas of functional and molecular diagnosis. Among the radionuclides used for SPECT imaging in oncology, 99mTc is a leading candidate for radiolabeling. At present, a sufficient number of complexons for 99mTc have been described; however, the development of effective delivery systems for this isotope to the area of interest is a complex research task. The use of tumor-targeting molecules as carriers for radioactive tracers is an effective strategy that has enabled the development of many novel radiopharmaceuticals for cancer imaging. Background: To date, a number of studies have shown tumorotropicity of tetrapyrrole compounds to tumor tissues, in particular derivatives of natural chlorophyll A. Methods: Purification was performed using solid-phase extraction. Assessment of radiochemical yield and purity was performed via radio-ITLC. The in vitro tumor cell accumulation was assessed using SKOV-3 and A-431 cell lines. Dose-dependent biodistribution was evaluated in Nu/J mice bearing epidermoid carcinoma (A-431) xenografts. Results: In this work, we obtained complexes with 99mTc based on water-soluble carboxylate chlorin e6 derivatives in order to evaluate their potential for use as SPECT radiopharmaceuticals. We performed radiolabelling optimization of a series of the novel chlorins and primary preclinical studies, including an assessment of the effect of their lipophilicity and charge on tumor uptake. Conclusions: Modification of the periphery of the chlorin macrocycle with chelating groups allows for complexing a wide range of metals, including 99mTc, which can be used for targeted delivery of the radionuclide to the area of interest. Full article
Show Figures

Figure 1

17 pages, 1354 KB  
Article
Toxicological Assessment and Potential Protective Effects of Brassica Macrocarpa Guss Leaf Extract Against Copper Sulphate-Induced Oxidative Stress in Zebrafish Embryos
by Adele Cicio, Luís M. Félix, Sandra Mariza Monteiro, Maurizio Bruno, Maria Grazia Zizzo and Rosa Serio
Nutraceuticals 2026, 6(1), 3; https://doi.org/10.3390/nutraceuticals6010003 - 23 Dec 2025
Abstract
Background: Oxidative stress is a key contributor to many chronic diseases. Natural biocompounds with antioxidant activity are of growing therapeutic interest. Brassica macrocarpa, a plant from the Brassicaceae family, has shown in vitro safety and antioxidant potential due to its rich content [...] Read more.
Background: Oxidative stress is a key contributor to many chronic diseases. Natural biocompounds with antioxidant activity are of growing therapeutic interest. Brassica macrocarpa, a plant from the Brassicaceae family, has shown in vitro safety and antioxidant potential due to its rich content of glucosinolates and phenolics. However, in vivo, its effects remain poorly characterized. This study aimed to evaluate the in vivo safety and biological effects of Brassica macrocarpa leaf extract in zebrafish embryos and to assess its potential to counteract copper sulphate (CuSO4)-induced oxidative stress. Methods: Zebrafish embryos were exposed to Brassica macrocarpa extract at concentrations from 125 to 2000 µg/mL. Embryonic mortality and malformations were monitored daily to determine sub-lethal concentrations (125–500 µg/mL) for further behavioural and biochemical analysis. Antioxidant properties were tested in a CuSO4-induced oxidative stress model. Results: No teratogenic effects were observed over 96 h. Larvae showed normal swimming and no behavioural changes. Pre-treatment with the extract significantly reduced CuSO4-induced ROS and NO production, modulated antioxidant enzyme (SOD, CAT) activity, and lowered lipid peroxidation and protein oxidation, slightly affecting DNA damage. Conclusions: Brassica macrocarpa extract in vivo appears safe at sub-lethal doses and shows promising antioxidant effects, suggesting its potential role in managing oxidative stress-related conditions. Full article
Show Figures

Figure 1

21 pages, 43352 KB  
Article
Green Synthesis of Copper-Doped ZrO2 Nanoparticles Using Calendula officinalis Flower Extract: Comprehensive Characterization, Biocompatibility, and Anticancer Evaluation
by Dhruv Suraneni, Balasubramanian Deepika, Kavinithi Jaganathan Mahadevan, Sanjana Raghupathy, Shangavy Pandiarajan, Devadass Jessy Mercy, Agnishwar Girigoswami, Sanjay Kisan Metkar, Surajit Hansda and Koyeli Girigoswami
Physchem 2026, 6(1), 1; https://doi.org/10.3390/physchem6010001 - 23 Dec 2025
Abstract
The field of nanotechnology has witnessed a paradigm shift towards eco-friendly and sustainable synthesis methods for nanoparticles due to increasing concerns over environmental toxicity and resource sustainability. Among various metal oxide nanoparticles, zirconium dioxide (ZrO2) nanoparticles have garnered significant attention owing [...] Read more.
The field of nanotechnology has witnessed a paradigm shift towards eco-friendly and sustainable synthesis methods for nanoparticles due to increasing concerns over environmental toxicity and resource sustainability. Among various metal oxide nanoparticles, zirconium dioxide (ZrO2) nanoparticles have garnered significant attention owing to their exceptional thermal stability, biocompatibility, mechanical strength, and catalytic properties. Doping ZrO2 with transition metals such as copper (Cu) further enhances its physicochemical attributes, including antibacterial activity, redox behaviour, and electronic properties, rendering it suitable for a diverse range of biomedical and industrial applications. In the present study, we report the green synthesis of copper-doped ZrO2 nanoparticles (Cu-ZrO2-CO NPs) using an aqueous extract of Calendula officinalis (marigold) flowers as a natural reducing and stabilizing agent. The complete characterization was performed using UV–vis spectrophotometry, dynamic light scattering (DLS), zeta potential, FTIR, SEM, EDAX, and XRD, revealing its size to be around 20–40 nm and zeta potential as −20 mV, indicating nano size and stability. The biocompatibility of the as-synthesized nanoparticle was analyzed in vitro using fibroblast cell viability and haemolysis assay, and in vivo using brine shrimp assay. The nanoparticles were safe up to a dose of 50 μg/mL, showing more than 95% cell viability and less than 2% haemolysis, which is within an acceptable range. Finally, the anticancer activity was explored for A549 cells by MTT assay and live-dead assay, with an IC50 value of 38.63 μg/mL. The chorioallantoic membrane (CAM) model was used to assess the anti-angiogenesis potential of the Cu-ZrO2-CO NPs. The results showed that the nanoparticles could kill the cancer cells via apoptosis, and one of the reasons for the anticancer effect was angiogenesis inhibition. Further research is needed using other cancer cell lines and animal tumour models. Full article
(This article belongs to the Section Biophysical Chemistry)
Show Figures

Graphical abstract

20 pages, 3233 KB  
Article
Engineering Human 3D Cardiac Tissues for Predictive Functional Drug Screening
by Ester Sapir Baruch, Daniel Rosner, Elisabeth Riska, Moran Yadid, Assaf Shapira and Tal Dvir
Pharmaceutics 2026, 18(1), 18; https://doi.org/10.3390/pharmaceutics18010018 - 22 Dec 2025
Abstract
Background/Objectives: Cardiotoxicity remains a leading cause of drug withdrawal. Conventional preclinical models, such as two-dimensional (2D) cell cultures and animal studies, often fail to accurately predict human cardiac responses. While 2D cultures lack the complex architecture and dynamic functionality of native myocardium, [...] Read more.
Background/Objectives: Cardiotoxicity remains a leading cause of drug withdrawal. Conventional preclinical models, such as two-dimensional (2D) cell cultures and animal studies, often fail to accurately predict human cardiac responses. While 2D cultures lack the complex architecture and dynamic functionality of native myocardium, interspecies differences limit the translational relevance of animal models. The objective of this study was to develop a human-relevant, in vitro platform that enables predictive and functional assessment of drug-induced cardiotoxicity. Methods: Here, we present a high-throughput in vitro platform for cardiotoxicity screening using three-dimensional (3D) cardiac tissues derived from human induced pluripotent stem cells (hiPSCs) within a thermoresponsive extracellular matrix-derived hydrogel. The hydrogel enables homogeneous encapsulation, differentiation in 3D, and long-term assembly into a functional cardiac tissue. Maturation was validated by immunostaining for cardiac-specific markers, and calcium imaging was employed to monitor electrical signal propagation. Contractile performance, defined by beat rate and contraction amplitude, was quantified using video-based motion analysis. The platform was applied to evaluate the dose-dependent effects of various cardioactive compounds, including β-adrenergic agonists ((-) epinephrine and dopamine), a cardiotoxic chemotherapeutic (doxorubicin), a sinus node inhibitor (ivabradine), a calcium channel blocker (verapamil), and a β-adrenergic antagonist (metoprolol). Results: The engineered cardiac tissues exhibited functional maturation and stable contractile behavior. Drug testing demonstrated compound-specific, dose-dependent functional responses. For each compound, the system faithfully reproduced the expected physiological responses. Conclusions: This human-relevant, scalable platform enables sensitive, multiparametric functional assessment of cardiac tissues, offering a cost-effective and predictive tool for preclinical drug safety testing. By bridging the gap between in vitro assays and human physiology, it holds promise to enhance translational accuracy while reducing reliance on animal models. Full article
(This article belongs to the Section Pharmaceutical Technology, Manufacturing and Devices)
Show Figures

Figure 1

23 pages, 7060 KB  
Article
Inhibitory Activity of LDT10 and LDT119, New Saturated Cardanols, Against Trypanosoma cruzi
by Renato Granado, Brenda de Lucena Costa, Cleonice Andrade Holanda, Daniel Carneiro Moreira, Luiz Antonio Soares Romeiro, Emile Santos Barrias and Wanderley de Souza
Pharmaceuticals 2026, 19(1), 30; https://doi.org/10.3390/ph19010030 - 22 Dec 2025
Abstract
Background/Objectives: Chagas disease, caused by Trypanosoma cruzi, remains a major neglected tropical disease with limited therapeutic options restricted to benznidazole and nifurtimox, both associated with significant toxicity and reduced efficacy during chronic infection. Seeking novel, safe, and sustainable chemotherapeutic candidates, two new [...] Read more.
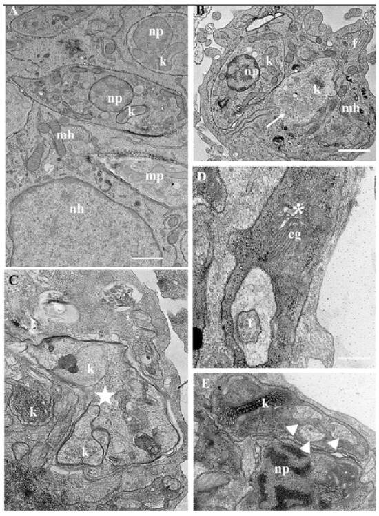
Background/Objectives: Chagas disease, caused by Trypanosoma cruzi, remains a major neglected tropical disease with limited therapeutic options restricted to benznidazole and nifurtimox, both associated with significant toxicity and reduced efficacy during chronic infection. Seeking novel, safe, and sustainable chemotherapeutic candidates, two new saturated cardanol-derived phospholipid analogs—LDT10 and LDT119—were rationally designed based on the molecular scaffold of miltefosine and biosourced from cashew nut shell liquid (CNSL). This study aimed to evaluate the pharmacokinetic properties of these compounds in silico and assess their antiparasitic activity, cytotoxicity, and morphological and ultrastructural effects on all developmental forms of T. cruzi in vitro. Materials and Methods: In silico ADMET predictions (SwissADME, pkCSM) were performed to determine bioavailability, pharmacokinetic behavior, CYP inhibition, mutagenicity, and hepatotoxicity. Antiproliferative activity was evaluated in epimastigotes, trypomastigotes, and intracellular amastigotes using dose–response assays and flow cytometry. Cytotoxicity was assessed in HEPG2 and HFF-1 cells using resazurin-based viability assays. Morphological and ultrastructural alterations were investigated through scanning (SEM) and transmission (TEM) electron microscopy. Reactive oxygen species (ROS) generation was quantified with H2DCFDA after 4 h and 24 h of exposure. Results: In silico analyses indicated favorable drug-like profiles, high intestinal absorption (>89%), absence of mutagenicity or hepatotoxicity, and non-penetration of the blood–brain barrier. LDT10 was not a P-gp substrate, and LDT119 acted as a P-gp inhibitor, suggesting reduced efflux and higher intracellular retention. Both compounds inhibited epimastigote proliferation with low IC50 values (LDT10: 0.81 µM; LDT119: 1.2 µM at 48 h) and reduced trypomastigote viability (LD50 LDT10: 2.1 ± 2 µM; LDT119: 1.8 ± 0.8 µM). Intracellular amastigotes were highly susceptible (IC50 LDT10: 0.48 µM; LDT119: 0.3 µM at 72 h), with >90% inhibition at higher concentrations. No cytotoxicity was observed in mammalian cells up to 20 µM. SEM revealed membrane wrinkling, pore-like depressions, rounded cell bodies, and multiple flagella, indicating cell division defects. TEM showed Golgi disorganization, autophagic vacuoles, mitochondrial vesiculation, and abnormal kinetoplast replication, while host cells remained structurally preserved. Both compounds induced significant ROS production in trypomastigotes after 24 h in a dose-dependent manner. Conclusions: LDT10 and LDT119 exhibited potent and selective in vitro activity against all developmental stages of T. cruzi, with low micromolar to submicromolar IC50/LD50 values, minimal mammalian cytotoxicity, and extensive morphological and ultrastructural damage consistent with disruption of phospholipid biosynthesis pathways. Combined with favorable in silico pharmacokinetic predictions, these CNSL-derived phospholipid analogs represent promising candidates for future Chagas disease chemotherapy and warrant further in vivo evaluation. Full article
(This article belongs to the Section Biopharmaceuticals)
Show Figures

Figure 1

24 pages, 7533 KB  
Article
FAK-Activated Mucosal Healing Promotes Resistance to Reinjury
by Sema Oncel, Guiming Liu, Louis Kwantwi, Emilie E. Vomhof-DeKrey, Ricardo Gallardo-Macias, Vadim J. Gurvich and Marc D. Basson
Cells 2026, 15(1), 16; https://doi.org/10.3390/cells15010016 - 22 Dec 2025
Viewed by 35
Abstract
Background: Gastrointestinal (GI) mucosal injury is a frequent complication of long-term nonsteroidal anti-inflammatory drug (NSAID) use. Effective mucosal healing requires coordinated epithelial migration, proliferation, and angiogenesis, which may be influenced by focal adhesion kinase (FAK). This study aimed to determine whether our newly [...] Read more.
Background: Gastrointestinal (GI) mucosal injury is a frequent complication of long-term nonsteroidal anti-inflammatory drug (NSAID) use. Effective mucosal healing requires coordinated epithelial migration, proliferation, and angiogenesis, which may be influenced by focal adhesion kinase (FAK). This study aimed to determine whether our newly developed FAK activators promote intestinal mucosal healing by enhancing angiogenesis and whether FAK activation increases resistance to reinjury. Methods: Ischemic jejunal ulcers were induced in C57BL/6 mice. After 24 h, mice received intraperitoneal injections of the FAK activator ZINC40099027 (ZN27, 900 µg/kg every 6 h) or vehicle for 2, 4, or 14 days. Ulcer areas were quantified, and liver and kidney function were assessed. Ulcer and adjacent tissues were analyzed by immunofluorescence staining for angiogenesis and proliferation markers. In vitro, human umbilical vein endothelial cells (HUVECs) were treated with ZN27 to evaluate proliferation, migration, angiogenesis, and intracellular signaling. In a reinjury model, male C57BL/6J mice received continuous infusion of the FAK activator M64HCl (25 mg/kg/day) or vehicle for 7 days, with a single subcutaneous injection of indomethacin (10 mg/kg) on day 1 to induce GI injury. Fourteen days after the first dose of indomethacin, the mice received a second indomethacin challenge, and one day later, total ulcer areas in the pyloric opening and small intestine were quantified. Results: Ulcer areas were significantly smaller in ZN27-treated mice compared with vehicle-treated controls at 3 and 5 days, accompanied by increased expression of angiogenesis and proliferation markers. In vitro, ZN27 enhanced HUVEC migration via FAK activation in an ERK1/2-dependent manner and increased the number of angiogenic sprouts. In the reinjury model, treatment with M64HCl during the initial indomethacin-induced injury resulted in significantly smaller ulcer areas in both the pyloric opening and small intestine after the second indomethacin challenge compared with controls. Conclusions: FAK activation accelerates ischemic ulcer healing, in part by enhancing angiogenesis. Moreover, FAK activation during an initial injury reduces susceptibility to recurrent NSAID-induced intestinal injury, perhaps because it promotes initial higher-quality ulcer repair. Full article
(This article belongs to the Special Issue Translational Aspects of Cell Signaling)
Show Figures

Figure 1

21 pages, 2765 KB  
Article
Development of Ordered Poly(aspartic Acid)-Oleic Acid Coatings with Enhanced Antimicrobial Activity: A Proof-of-Concept Study
by Michael Swaenepoel and Justin Miller
Coatings 2026, 16(1), 5; https://doi.org/10.3390/coatings16010005 - 19 Dec 2025
Viewed by 157
Abstract
The leading cause of post-surgical hospital readmission is the emergence of hospital-acquired infections (HAIs), where surgical site infections (SSIs) constitute a substantial negative impact on patient outcome and contribute annual direct costs estimated to range from $28.4 billion to $45 billion in the [...] Read more.
The leading cause of post-surgical hospital readmission is the emergence of hospital-acquired infections (HAIs), where surgical site infections (SSIs) constitute a substantial negative impact on patient outcome and contribute annual direct costs estimated to range from $28.4 billion to $45 billion in the U.S. To address the need for novel antimicrobial coating strategies, previous research has demonstrated that certain microbes can degrade poly(aspartic acid) (PAA)-based coatings, suggesting potential limitations of single-compound approaches that must be considered when designing antimicrobial surfaces. In this proof-of-concept study, we investigated whether ordered sequential coatings combining thermally synthesized PAA (tPAA) and oleic acid (OleA) might produce enhanced antimicrobial effects compared to individual compounds. Despite concerns regarding PAA biodegradability, the benefits of using PAA include low cytotoxicity and an ability to chelate metals such as calcium and facilitate bone mineralization and growth post-surgery. Using simple yet effective methods of surface coating applications which utilize tPAA and OleA, we investigated the potential of these ordered coatings to attenuate planktonic and sessile (biofilm) growth and development in Pseudomonas aeruginosa and Escherichia coli in vitro. Application of these ordered coatings resulted in up to 62% reduction in bacterial carrying capacity for P. aeruginosa and up to 43% reduction in biofilm mass relative to untreated controls. Further, confocal imaging via immunohistochemical labeling revealed methods for evaluating the impact of treatments targeting biofilm development through extracellular DNA quantification. Additionally, these coatings show dose-dependent cytotoxic effects against 3T3 mouse fibroblast cells. These preliminary findings, along with results derived from cytotoxicity assessment and physicochemical characterization via dynamic light scattering, suggest that ordered tPAA-OleA coating systems warrant further investigation as potential antimicrobial strategies, though additional validation, including testing against diverse clinical isolates, mechanistic studies, and in vivo evaluation, would be required before clinical application. Full article
(This article belongs to the Section Bioactive Coatings and Biointerfaces)
Show Figures

Figure 1

15 pages, 670 KB  
Systematic Review
The Roles of Enzymes as Dietary Additives in Ruminant Diets: A Meta-Analysis
by Diky Ramdani, Ririn Siti Rahmatillah, Yulianri Rizki Yanza, Anuraga Jayanegara, Nasrul Wathoni and Abdul Shakoor Chaudhry
Animals 2025, 15(24), 3631; https://doi.org/10.3390/ani15243631 - 17 Dec 2025
Viewed by 289
Abstract
Understanding the function of enzymes before their use as additives in ruminant diets is essential for achieving sustainable and efficient agricultural practices. Ruminants such as cattle, sheep, and goats are vital for global food production because of their ability to convert fibrous plant [...] Read more.
Understanding the function of enzymes before their use as additives in ruminant diets is essential for achieving sustainable and efficient agricultural practices. Ruminants such as cattle, sheep, and goats are vital for global food production because of their ability to convert fibrous plant materials into high-quality proteins through enteric fermentation. Various datasets were carefully selected from four scientific databases: Science Direct, Scopus, PubMed, and Google Scholar. The rigorous Preferred Reporting Items for Systematic Review and Meta-Analysis (PRISMA) protocol was employed to ensure the eligibility of the selected articles used in the analysis. A systematic review showed that the administration of various types of enzymes can increase dry (DMD) and organic (OMD) matter, neutral (NDFD), and acid (ADFD) detergent fibre, and crude protein (CPD) digestibility in both in vitro and in vivo tests in individual studies. However, the pooled meta-analysis indicated that their overall effect on CPD was not significant (p > 0.05). The OpenMEE approach was used to calculate the effect size (Hedges’ g) for each experimental unit for various parameters. Across enzyme types and doses in the meta-analysis, the administration of enzymes did not have any significant effect (p > 0.05) on DMI, OMI, and CPD, but it did have a significant effect (p < 0.05) on DMD, OMD, ADFD, NDFD, pH and gas production at 24, 48, and 72 h, as assessed by in vitro experiments. Ruminant in vivo studies indicated that the administration of enzymes has significant impacts (p < 0.05) on digestibility parameters (DMD, OMD, NDFD, ADFD), milk production, milk lactose content, acetate, and propionate, but it had non-significant impacts on milk protein and rumen total volatile fatty acids and acetate: propionate ratio. Full article
(This article belongs to the Section Animal Nutrition)
Show Figures

Figure 1

14 pages, 2976 KB  
Article
A Pyrimidine-Based Tubulin Inhibitor Shows Potent Anti-Glioblastoma Activity In Vitro and In Vivo
by Satyanarayana Pochampally, Lawrence M. Pfeffer, Gustavo A. Miranda-Carboni, Macey Daniel, Jazz I. James, Allana Smith, Chuan He Yang, Hannah R. Kelso, Deanna N. Parke, Dong-Jin Hwang, Wei Li and Duane D. Miller
Pharmaceuticals 2025, 18(12), 1891; https://doi.org/10.3390/ph18121891 - 15 Dec 2025
Viewed by 231
Abstract
Background: Glioblastoma (GBM) is an aggressive and treatment-resistant brain tumor with few effective therapies. Tubulin polymers are crucial for maintaining cell–cell signaling, cell proliferation, and cell division. Therefore, tubulin has been targeted by medicinal chemists to develop novel therapeutics to treat cancer. [...] Read more.
Background: Glioblastoma (GBM) is an aggressive and treatment-resistant brain tumor with few effective therapies. Tubulin polymers are crucial for maintaining cell–cell signaling, cell proliferation, and cell division. Therefore, tubulin has been targeted by medicinal chemists to develop novel therapeutics to treat cancer. In this regard, we developed novel small-molecule tubulin inhibitors as potential therapeutics to treat GBM. Methods: We synthesized a focused library of pyrimidine-containing dihydroquinoxalinone-based analogs and tested nine compounds for cytotoxicity in GBM cell lines using the Sulforhodamine B (SRB) cell viability assay. We identified compound 8c as the most promising compound and evaluated the in vitro effects of 8c on GBM cell growth using live cell imaging and assessed apoptosis using a cell death ELISA. We then tested its anticancer activity in vivo on GBM xenografts grown in immunocompromised mice. Results: Several compounds demonstrated nanomolar IC50 values in cell viability assays and outperformed temozolomide (TMZ), the current standard treatment for GBM patients. We identified compound 8c, which is a pyrimidine analog with a secondary amine, as the lead candidate for GBM studies in vitro and in vivo. Compound 8c reduced cell viability in a dose-dependent manner and induced complete growth arrest within 48 h at 3–10 nM concentrations in GBM cell lines. ELISA confirmed that compound 8c triggered dose-dependent apoptosis, whereas TMZ failed to induce apoptosis at nM concentrations. In vivo, compound 8c significantly inhibited GBM xenograft growth in immunocompromised mice by 66%. Conclusions: The potent tubulin inhibitor compound 8c has strong anti-GBM activity in vitro and in vivo and merits further preclinical development. Full article
(This article belongs to the Section Medicinal Chemistry)
Show Figures

Graphical abstract

24 pages, 14114 KB  
Article
Sodium Butyrate Promotes In Vitro Development of Mouse Preantral Follicles and Improves Oocyte Quality by Regulating Steroidogenesis, Oxidative Stress, and Cytoskeleton Remodeling
by Xiaohuan Liu, Tuba Latif Virk, Mengdie Pi, Qi Liu, Sheng Yang, Zhiyu Ma, Yuguo Yuan and Fenglei Chen
Animals 2025, 15(24), 3567; https://doi.org/10.3390/ani15243567 - 11 Dec 2025
Viewed by 183
Abstract
Sodium butyrate (NaBu), a common feed additive, has been shown to enhance reproductive performance in livestock and poultry. However, whether NaBu exerts this effect by directly regulating follicular development remains unclear. In this study, a three-dimensional (3D) in vitro culture system of mouse [...] Read more.
Sodium butyrate (NaBu), a common feed additive, has been shown to enhance reproductive performance in livestock and poultry. However, whether NaBu exerts this effect by directly regulating follicular development remains unclear. In this study, a three-dimensional (3D) in vitro culture system of mouse preantral follicles was used to investigate the effects of NaBu on follicular growth, hormone secretion, maturation of oocytes, and subsequent embryonic development. Preantral follicles were treated with different doses of NaBu on the fourth day of culture. Subsequently, the mature oocytes (MII stage) were released from the follicles on the ninth day and subjected to parthenogenetic activation for developmental assessment. The results showed that 0.10 mM NaBu treatment could significantly promote follicular growth, antral formation, and oocyte maturation. Furthermore, NaBu also significantly increased estradiol (E2) secretion, improved follicular structure, and maintained cellular viability. qPCR analysis revealed that NaBu significantly increased the mRNA levels of STAR, CYP11A1, and CYP1B1. In addition, it significantly enhanced the distribution and organization of F-actin, with increases in the mRNA levels of GDF9, BMP15, and CX37. NaBu treatment significantly reduced intracellular ROS levels and increased the mRNA levels of NRF2 and SOD1, while SOD2 and GSR showed increasing trends without significant differences. NaBu significantly improved oocyte cytoskeletal organization and the morphology of the spindle, but it did not lead to a significant increase in the rates of cleavage and blastocyst formation after parthenogenetic activation. Collectively, these findings indicate that NaBu promotes follicular development and improves oocyte quality, at least partly, by enhancing steroidogenesis, alleviating oxidative stress, and maintaining cytoskeletal integrity, providing insight into its potential application for improving reproductive performance in livestock and poultry. Full article
Show Figures

Figure 1

28 pages, 21495 KB  
Article
BiombalanceTM: A Specific Oligomeric Procyanidin-Rich Grape Seed Extract as Multifunctional Ingredient Integrating Antibacterial, Antioxidant, and Anti-Inflammatory Activities with Beneficial Gut–Brain Axis Modulation
by Mohamed Mokrani, Amandine Brochot and Maria C. Urdaci
Antioxidants 2025, 14(12), 1484; https://doi.org/10.3390/antiox14121484 - 10 Dec 2025
Viewed by 915
Abstract
Polyphenols, as natural compounds abundant in plant-derived foods, have been recognised for their human health benefits. This study evaluates the multifunctional properties of BiombalanceTM (BB), a grape seed extract rich in oligomeric procyanidins, in various in vitro and in vivo models. BB [...] Read more.
Polyphenols, as natural compounds abundant in plant-derived foods, have been recognised for their human health benefits. This study evaluates the multifunctional properties of BiombalanceTM (BB), a grape seed extract rich in oligomeric procyanidins, in various in vitro and in vivo models. BB was studied to assess (i) its antimicrobial effects in different bacterial species; (ii) its protective effects against oxidative and inflammatory stress in Caco-2 cells; and (iii) its effects in mice, which were fed a standard diet with or without BB at two different doses (BB1X and BB2X) to understand the impacts of BB on microbiota and gut homeostasis. BB selectively inhibited several bacterial species, including Staphylococcus aureus, Helicobacter pylori, and Blautia coccoides. In addition, BB protected Caco-2 cells against hydrogen peroxide (H2O2)-induced oxidative damage and lipopolysaccharide (LPS)-induced oxidative and inflammatory stress. In vivo, BB supplementation upregulated the expression of antioxidant and homeostasis genes in the colon, ileum, and liver, accompanied by dose-dependent changes in the gut microbiota composition. Functional predictions indicated favourable modulation of microbial metabolic pathways, including those involved in antioxidant capacity and glutamate degradation. Furthermore, BB positively influenced key gut–brain axis mediators, including GLP-1, the GLP-1 receptor, and NPY. These findings highlight the potential of BiombalanceTM to support health and gut–brain communication and to protect against oxidative and inflammatory stress in the gut. Full article
(This article belongs to the Special Issue Antioxidant Activity of Grape and Grape By-Products)
Show Figures

Figure 1

22 pages, 5118 KB  
Article
Investigating Nickel-Induced Neurotoxicity: Associations with Gut Microbiota Dysbiosis and Ferroptosis
by Yao Shen, Kai Cao, Wenjuan Zhang, Chun Chen, Chang Gao, Jingran Wang, Tian Xin, Cun Li, Shusheng Tang, Xingyao Pei and Daowen Li
Antioxidants 2025, 14(12), 1478; https://doi.org/10.3390/antiox14121478 - 9 Dec 2025
Viewed by 404
Abstract
Nickel is a pervasive heavy metal with the potential for multi-route exposure, raising significant concerns regarding systemic toxicity. Although Ni2+ has been implicated in nickel sulfate NiSO4-induced neurotoxicity, its underlying mechanisms remain incompletely elucidated. The present study investigates the role [...] Read more.
Nickel is a pervasive heavy metal with the potential for multi-route exposure, raising significant concerns regarding systemic toxicity. Although Ni2+ has been implicated in nickel sulfate NiSO4-induced neurotoxicity, its underlying mechanisms remain incompletely elucidated. The present study investigates the role of NiSO4-induced ferroptosis as a potential contributor to neurotoxicity. C57BL/6 mice were administered NiSO4 daily via oral gavage at doses of 50, 100, and 200 mg/kg over 28 days. Neurobehavioral assessments, histopathological examination, transmission electron microscopy, and molecular profiling were conducted to evaluate brain injury and ferroptotic activity. Gut microbiota composition and intestinal barrier integrity were systematically evaluated. In vitro, HT22 cells were subjected to NiSO4 treatment, followed by integrative transcriptomic analysis complemented by pharmacological and genetic manipulation to delineate the contributions of ferroptosis and autophagy. The results demonstrated that NiSO4 exposure inhibited body weight gain, elicited depression-like behaviors, and initiated ferroptosis, evidenced by ultrastructural mitochondrial damage and dysregulated expression of glutathione peroxidase 4/acyl-CoA synthetase long chain family member 4 (GPX4/ACSL4). Furthermore, NiSO4 caused gut microbiota dysbiosis and compromised the intestinal barrier, which was correlated with the induction of ferroptosis in neuronal cells of the brain. In HT22 cells, NiSO4 elicited dose-dependent cytotoxicity and lactate dehydrogenase (LDH) release. KEGG pathway enrichment analysis further revealed that NiSO4 treatment significantly upregulated pathways associated with ferroptosis, autophagy, and lysosomal function. Moreover, both ferrostatin-1 and rapamycin attenuated NiSO4-induced cytotoxicity and ferroptosis, indicating that autophagy serves a protective function against ferroptotic cell death. Additionally, overexpression of Transcription Factor EB (TFEB) attenuated NiSO4-induced ferroptosis by downregulating ACSL4, and upregulating GPX4, implicating the autophagy–lysosome pathway in the protective regulation of this cell death process. In summary, our findings indicated that NiSO4-induced neurotoxicity was strongly associated with gut microbiota dysbiosis and coincided with ferroptosis in the brain, while stimulation of the autophagy–lysosome pathway conferred neuroprotective effects via modulating TFEB-dependent anti-ferroptotic mechanisms. These findings offer novel insights for risk assessment and therapeutic strategies of nickel-related neurotoxicity. Full article
Show Figures

Figure 1

25 pages, 4652 KB  
Article
Antibacterial Agent-Loaded, Novel In Situ Forming Implants Made with Poly(Isosorbide Sebacate) and Dimethyl Isosorbide as a Solvent for Periodontitis Treatment
by Monika Śmiga-Matuszowicz, Bożena Nowak and Danuta Wojcieszyńska
Molecules 2025, 30(24), 4717; https://doi.org/10.3390/molecules30244717 - 9 Dec 2025
Viewed by 253
Abstract
Isosorbide-based aliphatic polyesters are a promising class of biodegradable polymers for biomedical applications, representing an attractive alternative to poly(α-hydroxy acids). Derived from the bio-based bicyclic diol, they combine structural rigidity, tunable hydrophilicity, and enhanced biocompatibility, making them suitable for drug delivery and sustainable [...] Read more.
Isosorbide-based aliphatic polyesters are a promising class of biodegradable polymers for biomedical applications, representing an attractive alternative to poly(α-hydroxy acids). Derived from the bio-based bicyclic diol, they combine structural rigidity, tunable hydrophilicity, and enhanced biocompatibility, making them suitable for drug delivery and sustainable medical devices. In this study, we developed novel in situ forming implant (ISFI) formulations composed of poly(isosorbide sebacate) (PISEB) and dimethyl isosorbide (DMI), and evaluated their applicability for local delivery of doxycycline hyclate (DOXY), minocycline hydrochloride (MIN), and/or eugenol (EUG). Basic characteristics of new ISFI formulations were investigated. Rheological analysis demonstrated that the liquid formulations exhibited shear-thinning behavior, which is advantageous for ISFI systems. However, the MIN-loaded formulation exhibited excessively rapid drug release, with a pronounced initial burst (86.4 ± 5.9%) within 24 h, whereas the DOXY-loaded system showed a lower burst of 41.1 ± 5.9% over the same period. The effect of EUG addition on depot morphology and antibiotic release profiles was also assessed. In vitro drug release studies demonstrated that EUG reduced the release rate of both antibiotics, increasing and prolonging their antibacterial activity. Eugenol co-released with antibiotics also reduced the pro-inflammatory effect of the released antibiotic doses by more than tenfold. Full article
(This article belongs to the Special Issue New Strategies for Drug Development)
Show Figures

Figure 1

19 pages, 1229 KB  
Article
Cytotoxicity and Genotoxicity of Resin-Based Dental Composites Modified with Quaternary Ammonium Salts
by Izabela Szymczak-Pajor, Maja Zalega, Joanna Nowak, Agnieszka Śliwińska, Katarzyna Woźniak and Kinga Bociong
J. Funct. Biomater. 2025, 16(12), 459; https://doi.org/10.3390/jfb16120459 - 9 Dec 2025
Viewed by 325
Abstract
The primary reason of dental restoration failure is the recurrence of caries, driving research to incorporate quaternary ammonium salts (QASs) into resin-based composites (RBCs). Given the prolonged contact of these materials with oral tissue, this in vitro study assessed the biocompatibility (cytotoxicity and [...] Read more.
The primary reason of dental restoration failure is the recurrence of caries, driving research to incorporate quaternary ammonium salts (QASs) into resin-based composites (RBCs). Given the prolonged contact of these materials with oral tissue, this in vitro study assessed the biocompatibility (cytotoxicity and genotoxicity) profiles of experimental RBCs modified with cetyltrimethylammonium bromide (CTAB) and dimethyldioctadecylammonium bromide (DODAB), using two restorative materials: an unmodified–experimental composite, KE, and Flow-Art (FA) as comparative standards. The primarily novelty of this study is the direct comparison of the cellular safety profiles of CTAB vs. DODAB when incorporated into RBCs. Human fibroblast BJ cells were exposed to composite eluates for 24 h, and cell viability (MTT assay), the percentage of apoptotic and necrotic cells (the Annexin V/Propidium Iodide (PI) flow cytometry method), and DNA damage (the alkaline comet assay) were quantified. Among the compounds evaluated, only CTAB caused a significant, dose-dependent decrease in BJ cell viability, primarily by inducing late apoptosis or necrosis. Cell viability was severely reduced, dropping by 84% at 2 wt% CTAB (p < 0.001) compared to control. Consistent with this effect, CTAB also induced a dose-dependent increase in DNA damage. In contrast, the DODAB-modified composites, along with the KE and FA controls, exhibited non-cytotoxic and non-genotoxic profiles across all tested concentrations. This innovative comparative assessment highlights that DODAB exhibits superior cellular safety, offering vital guidance to prioritize its use for developing safe and effective next-generation antibacterial dental composites. Conversely, CTAB is precluded for clinical use at these concentrations due to its observed toxicity. Full article
Show Figures

Figure 1

Back to TopTop