La3+/Bi3+ Co-Doping in BaTiO3 Ceramics: Structural Evolution and Enhanced Dielectric Properties
Abstract
1. Introduction
2. Materials and Methods
3. Results and Discussion
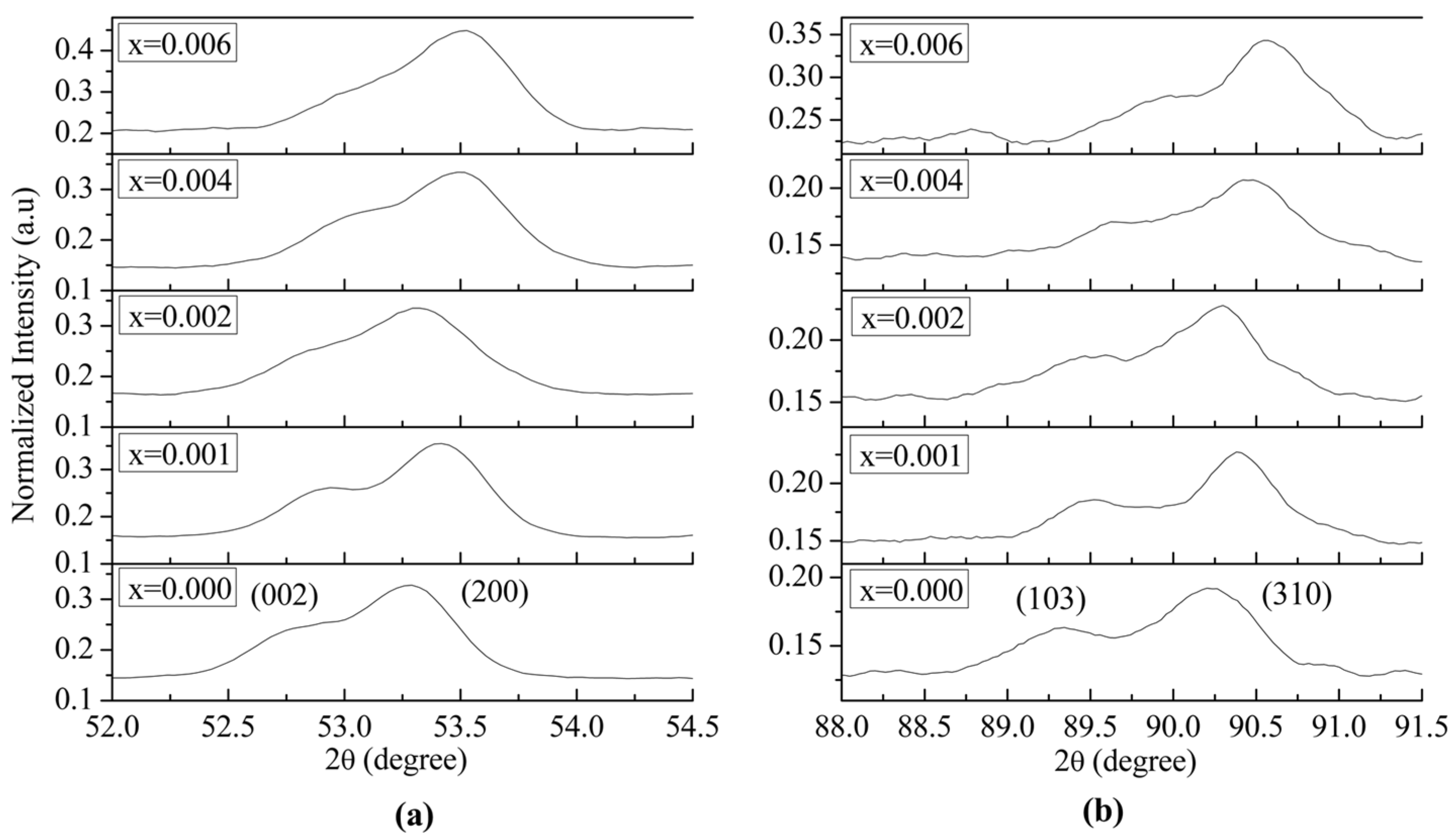
3.1. X-Ray Diffraction Analysis
3.2. Scanning Electron Microscopy
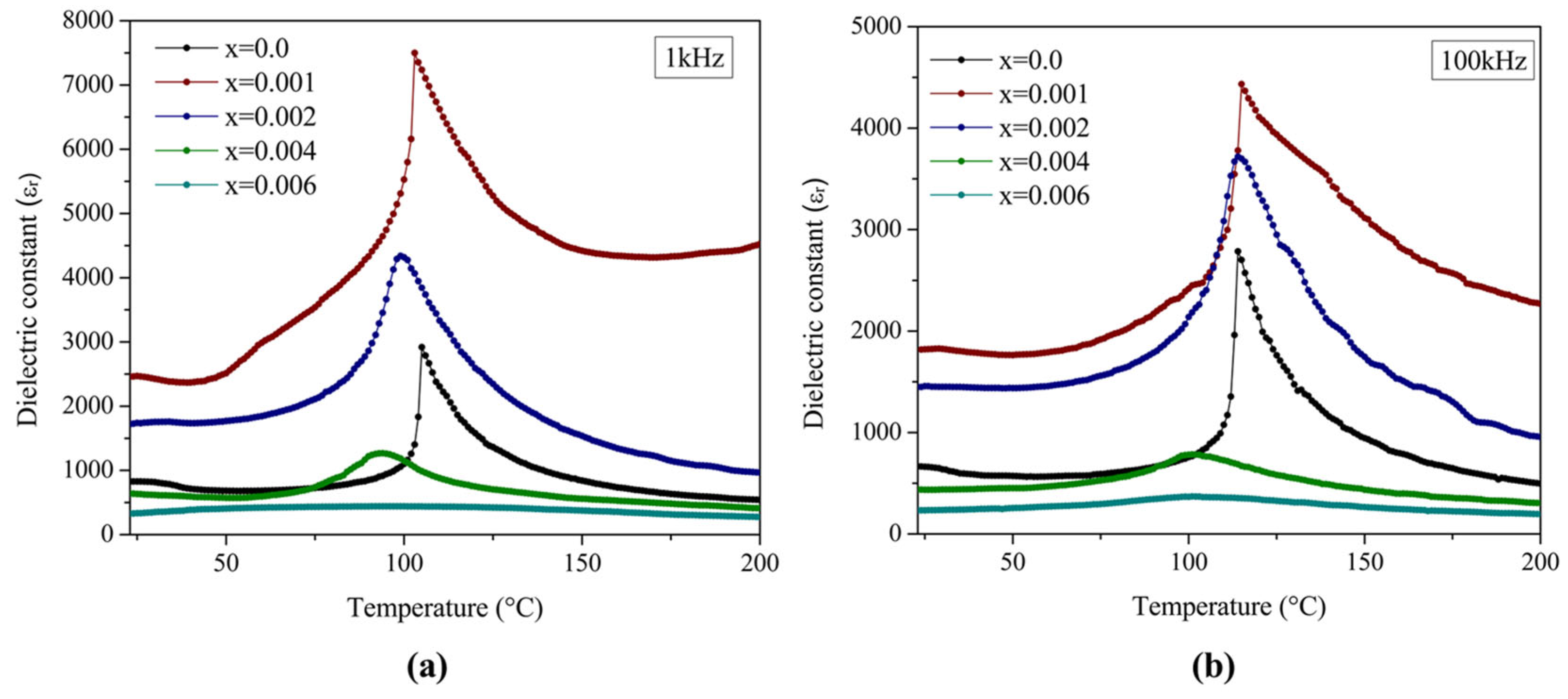
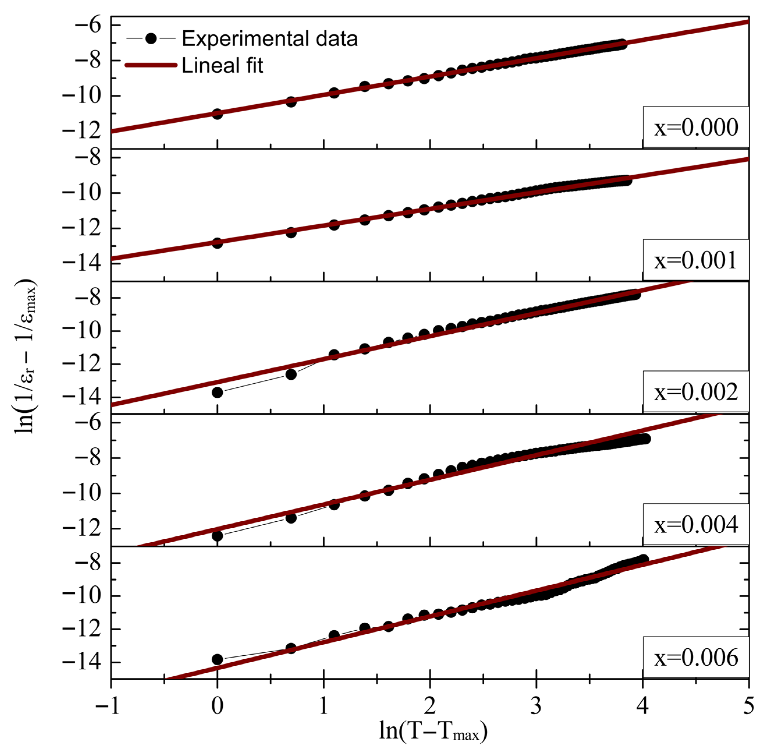
3.3. Electrical Properties
4. Conclusions
Author Contributions
Funding
Data Availability Statement
Acknowledgments
Conflicts of Interest
References
- Atta, N.F.; Galal, A.; El-Ads, E.H. Perovskite nanomaterials–synthesis, characterization and applications; InTech: London, UK, 2016; pp. 107–151. [Google Scholar] [CrossRef]
- Yoon, D.H. Tetragonality of barium titanate powder for a ceramic capacitor application. J. Ceram. Process. Res. 2006, 7, 343–354. [Google Scholar]
- Vijatović, M.M.; Bobić, J.D.; Stojanović, B.D. History and challenges of barium titanate: Part II. Sci. Sinter. 2008, 40, 235–244. [Google Scholar] [CrossRef]
- Kuo, D.H.; Wang, C.H.; Tsai, W.P. Donor and acceptor cosubstituted BaTiO3 for nonreducible multilayer ceramic capacitors. Ceram. Int. 2006, 32, 1–5. [Google Scholar] [CrossRef]
- Cochran, W. Crystal stability and the theory of ferroelectricity. Adv. Phys. 1960, 9, 387–423. [Google Scholar] [CrossRef]
- Tsurumi, T.; Sekine, T.; Kakemoto, H.; Hoshina, T.; Nam, S.-M.; Yasuno, H.; Wada, S. Evaluation and statistical analysis of dielectric permittivity of BaTiO3 powders. J. Am. Ceram. Soc. 2006, 89, 1337–1341. [Google Scholar] [CrossRef]
- Pithan, C.; Hennings, D.; Waser, R. Progress in the synthesis of nanocrystalline BaTiO3 powders for MLCC. Int. J. Appl. Ceram. Technol. 2005, 2, 1–14. [Google Scholar] [CrossRef]
- Rödig, T.; Schönecker, A.; Gerlach, G.A. A survey on piezoelectric ceramics for generator applications. J. Am. Ceram. Soc. 2010, 93, 901–912. [Google Scholar] [CrossRef]
- Kozma, G.; Lipták, K.; Deák, C.; Rónavári, A.; Kukovecz, Á.; Kónya, Z. Conversion study on the formation of mechanochemically synthesized BaTiO3. Chemistry 2022, 4, 592–602. [Google Scholar] [CrossRef]
- Morrison, F.D.; Sinclair, D.C.; West, A.R. Doping mechanisms and electrical properties of La-doped BaTiO3. Int. J. Inorg. Mater. 2001, 3, 1205–1210. [Google Scholar] [CrossRef]
- Brajesh, K.; Kalyani, A.K.; Ranjan, R. Ferroelectric instabilities and enhanced piezoelectric response in Ce-modified BaTiO3 lead-free ceramics. Appl. Phys. Lett. 2015, 106, 1–6. [Google Scholar] [CrossRef]
- Yasmin, S.; Choudhury, S.; Hakim, M.A.; Bhuiyan, A.H.; Rahman, M.J. Structural and dielectric properties of pure and cerium doped barium titanate. J. Ceram. Process. Res. 2011, 12, 387–391. [Google Scholar] [CrossRef]
- Buscaglia, M.T.; Buscaglia, V.; Viviani, M.; Nanni, P.; Hanuskova, M. Influence of foreign ions on the crystal structure of BaTiO3. J. Eur. Ceram. Soc. 2000, 20, 1997–2007. [Google Scholar] [CrossRef]
- Paunovic, V.; Zivkovic, L.; Mitic, V. Influence of rare-earth additives (La, Sm, and Dy) on the microstructure and dielectric properties of doped BaTiO3 ceramics. Sci. Sinter. 2010, 42, 69–79. [Google Scholar] [CrossRef]
- Jung, Y.S.; Na, E.S.; Paik, U.; Lee, J.; Kim, J. A study on the phase transition and characteristics of rare-earth elements doped BaTiO3. Mater. Res. Bull. 2002, 37, 1633–1640. [Google Scholar] [CrossRef]
- Kishi, H.; Kohzu, N.; Iguchi, Y.; Sugino, J.; Kato, M.; Ohasato, H.; Okuda, T. Occupation sites and dielectric properties of rare-earth and Mn substituted BaTiO3. J. Eur. Ceram. Soc. 2001, 21, 1643–1647. [Google Scholar] [CrossRef]
- Park, K.J.; Kim, C.H.; Yoon, Y.J.; Song, S.M.; Kim, Y.T.; Hur, K.H. Doping behaviors of dysprosium, yttrium, and holmium in BaTiO3 ceramics. J. Eur. Ceram. Soc. 2009, 29, 1735–1741. [Google Scholar] [CrossRef]
- Gulwade, D.; Gopalan, P. Dielectric properties of A- and B-site doped BaTiO3: Effect of La and Ga. Phys. B 2009, 404, 1799–1805. [Google Scholar] [CrossRef]
- Vijatovic, M.; Stojanovic, B.; Bobic, J.; Ramoska, T.; Bowen, P. Properties of lanthanum doped BaTiO3 produced from nanopowders. Ceram. Int. 2010, 36, 1817–1824. [Google Scholar] [CrossRef]
- Wu, S.; Wei, X.; Wang, X.; Yang, H.; Gao, S. Effect of Bi2O3 additive on the microstructure and dielectric properties of BaTiO3-based ceramics sintered at a lower temperature. J. Mater. Sci. Technol. 2010, 26, 472–476. [Google Scholar] [CrossRef]
- Ali, A.I.; Kaytbay, S.H. Electrical transport properties of La-BaTiO3. Mater. Sci. Appl. 2011, 2, 716–720. [Google Scholar] [CrossRef]
- Zdorovetsa, M.V.; Kozlovskiya, A.L. Study of the effect of La3+ doping on the properties of ceramics based on BaTiO3. Vacuum 2019, 168, 108838. [Google Scholar] [CrossRef]
- Shannon, R.D. Revised effective ionic radii and systematic studies of interatomic distances in halides and chalcogenides. Acta Crystallogr. Sect. A 1976, 32, 751–767. [Google Scholar] [CrossRef]
- Sareecha, N.; Shah, W.; Mirza, M.; Maqsood, A.; Awan, M. Electrical investigations of Bi-doped BaTiO3 ceramics as a function of temperature. Phys. B 2018, 530, 283–289. [Google Scholar] [CrossRef]
- Dunbar, T.D.; Warren, W.L.; Tuttle, B.A.; Randall, C.A.; Tsur, Y. Electron paramagnetic resonance investigations of lanthanide-doped barium titanate: Dopant site occupancy. J. Phys. Chem. B 2004, 108, 908–917. [Google Scholar] [CrossRef]
- Stojanovic, B.; Simoes, A.; Paiva-Santos, C.; Jovalekic, C.; Mitic, V.; Varela, J. Mechanochemical synthesis of barium titanate. J. Eur. Ceram. Soc. 2005, 25, 1985–1989. [Google Scholar] [CrossRef]
- Magdalinovic, N.; Trumic, M.; Trumuc, M.; Andric, L. The optimal ball diameter in a mill. Physicochem. Probl. Miner. Process. 2012, 48, 329–339. [Google Scholar] [CrossRef]
- Rodríguez-Carvajal, J. Recent advances in magnetic structure determination by neutron powder diffraction. Phys. B Condens. Matter 1993, 192, 55–69. [Google Scholar] [CrossRef]
- McCusker, L.B.; Von Dreele, R.B.; Cox, D.E.; Louër, D.; Scardi, P. Rietveld refinement guidelines. J. Appl. Cryst. 1999, 32, 36–50. [Google Scholar] [CrossRef]
- Merkus, H.G. Particle Size, Size Distributions and Shape. In Particle Size Measurements; Particle Technology Series; Springer: Dordrecht, The Netherlands, 2009; Volume 17. [Google Scholar] [CrossRef]
- Morrison, F.D.; Sinclair, D.C.; West, A.R. Electrical and structural characteristics of lanthanum-doped barium titanate ceramics. J. Appl. Phys. 1999, 86, 6355–6366. [Google Scholar] [CrossRef]
- Iriani, Y.; Suherman, B.; Sandi, D.K.; Nurosyid, F.; Khairuddin; Handoko, E.; Faquelle, D. Structural modification and dielectric property of Bi-doped BaTiO3 (Ba1−xBixTiO3) ceramics synthesized by co-precipitation. Integr. Ferroelectr. 2024, 240, 140–148. [Google Scholar] [CrossRef]
- Kocserha, I. Role of A-site (Sr), B-site (Y), and A,B-site (Sr,Y) substitution in lead-free BaTiO3 ceramic compounds: Structural, optical, microstructural, mechanical, and thermal conductivity properties. Ceram. Int. 2023, 49, 1947–1959. [Google Scholar] [CrossRef]
- Martínez-López, R.; Pérez-Labra, M.; Romero-Serrano, J.A.; Barrientos-Hernández, F.R.; Reyes-Pérez, M.; Valenzuela-Carrillo, M.I.; Dávila-Pulido, G.I. BaTiO3 solid solutions co-doped with Gd3+ and Eu3+: Synthesis, structural evolution, and dielectric properties. J. Rare Earths 2024, 42, 1920–1926. [Google Scholar] [CrossRef]
- Tihtih, M.; Ibrahim, J.F.M.; Kurovics, E.; Abdelfattah, M. Study on the effect of Bi dopant on the structural and optical properties of BaTiO3 nanoceramics synthesized via sol–gel method. J. Phys. Conf. Ser. 2020, 1527, 012043. [Google Scholar] [CrossRef]
- Ianculescu, A.; Mocanu, Z.V.; Curecheriu, L.P.; Mitoseriu, L.; Pădurariu, L.; Trușcă, R. Dielectric and tunability properties of La-doped BaTiO3 ceramics. J. Alloy. Compd. 2011, 509, 10040–10049. [Google Scholar] [CrossRef]
- Xinle, Z.; Zhimei, M.; Zuojiang, X.; Guang, C. Preparation and characterization of nano-sized barium titanate powder doped with lanthanum by sol–gel process. J. Rare Earths 2006, 24, 82–85. [Google Scholar] [CrossRef]
- Arshad, M.; Maqsood, A.; Gul, I.H.; Anis-Ur-Rehman, M. Fabrication, electrical and dielectric characterization of Cd–Ni nanoferrites. Mater. Res. Bull. 2017, 87, 177–185. [Google Scholar] [CrossRef]
- Acharya, V.V.N.; Bhanumathi, A.; Ramam, K.V.S. Ferroelectric investigation of tungsten bronze lead–barium–lanthanum niobate ceramics with high d33 values. Ferroelectr. Lett. Sect. 1999, 25, 125–128. [Google Scholar] [CrossRef]
- Uchino, K.; Namura, S. Critical exponents of the dielectric constants in diffuse phase transition crystals. Ferroelectrics 1982, 44, 55–61. [Google Scholar] [CrossRef]
- Paunovic, V.; Prijić, Z.; Đorđević, M.; Mitić, V. Enhanced dielectric properties in La modified barium titanate ceramics. Facta Univ. Ser. Electron. Energ. 2019, 32, 179–193. [Google Scholar] [CrossRef]








| x | Lattice Parameters | Tetragonality c/a | Parameters Characterizing the Refinement Quality | Unit Cell Volume (Å3) | ||
|---|---|---|---|---|---|---|
| a = b (Å) | c (Å) | χ2 | Rp (%) | |||
| 0.0 | 3.9947 | 4.0279 | 1.0083 | 1.80 | 2.88 | 64.2757 |
| 0.001 | 3.9863 | 4.0220 | 1.0090 | 1.49 | 2.87 | 63.9119 |
| 0.002 | 3.9807 | 4.0153 | 1.0087 | 1.69 | 2.80 | 63.6263 |
| 0.004 | 3.9798 | 4.0096 | 1.0074 | 1.58 | 3.16 | 63.5073 |
| 0.006 | 3.9772 | 4.0050 | 1.0070 | 1.56 | 3.89 | 63.3516 |
| x | Mean (nm) | Standard Deviation (nm) | Aspect Ratio (AR) |
|---|---|---|---|
| 0.0 | 362.5 | 143.8 | 0.7725 |
| 0.001 | 450.8 | 145.2 | 0.7628 |
| 0.002 | 457.0 | 132.7 | 0.8128 |
| 0.004 | 470.5 | 162.0 | 0.7895 |
| 0.006 | 488.3 | 171.2 | 0.7836 |
| x | Ba (at.%) Exp./Theo. | Ti (at.%) Exp./Theo. | O (at.%) Exp./Theo. | La (at.%) Exp./Theo. | Bi (at.%) Exp./Theo. |
|---|---|---|---|---|---|
| 0.0 | 20.26/20.00 | 19.37/20.00 | 60.37/60.00 | 0.00/0.00 | 0.00/0.00 |
| 0.001 | 20.13/19.88 | 21.51/19.88 | 58.18/59.76 | 0.07/0.04 | 0.11/0.08 |
| 0.002 | 18.76/19.76 | 21.67/19.76 | 59.26/59.52 | 0.10/0.08 | 0.21/0.16 |
| 0.004 | 17.84/19.52 | 20.18/19.52 | 61.46/59.05 | 0.14/0.16 | 0.38/0.32 |
| 0.006 | 19.01/19.28 | 21.48/19.28 | 58.92/58.58 | 0.18/0.24 | 0.41/0.47 |
| x | 1 kHz | 100 kHz | ||||
|---|---|---|---|---|---|---|
| εr (T25 °C) | εr (Tc) | Tc (°C) | εr (T25 °C) | εr (Tc) | Tc (°C) | |
| 0.0 | 827.8 | 2919.2 | 105 | 663.0 | 2785.6 | 114 |
| 0.001 | 2469.0 | 7499.7 | 103 | 1822.4 | 4434.6 | 114 |
| 0.002 | 1740.3 | 4338.8 | 99 | 1457.4 | 3718.7 | 114 |
| 0.004 | 634.0 | 1267.6 | 94 | 435.6 | 783.4 | 101 |
| 0.006 | 334.8 | 442.4 | 95 | 234.1 | 367.1 | 99 |
| x | T0 (°C) | C × 104 (K) | C’ × 104 (K) | γ |
|---|---|---|---|---|
| 0.0 | 86.9 | 5.23 | 5.84 | 1.04 |
| 0.001 | 50.2 | 39.6 | 35.4 | 0.94 |
| 0.002 | 74.9 | 11.6 | 47.8 | 1.38 |
| 0.004 | 55.3 | 4.85 | 16.6 | 1.40 |
| 0.006 | −210 | 13.9 | 168 | 1.56 |
Disclaimer/Publisher’s Note: The statements, opinions and data contained in all publications are solely those of the individual author(s) and contributor(s) and not of MDPI and/or the editor(s). MDPI and/or the editor(s) disclaim responsibility for any injury to people or property resulting from any ideas, methods, instructions or products referred to in the content. |
© 2025 by the authors. Licensee MDPI, Basel, Switzerland. This article is an open access article distributed under the terms and conditions of the Creative Commons Attribution (CC BY) license (https://creativecommons.org/licenses/by/4.0/).
Share and Cite
Valenzuela-Carrillo, M.I.; Pérez-Labra, M.; Barrientos-Hernandez, F.R.; Romero-Serrano, A.; Mendoza-Sanchez, I.; Cruz-Ramírez, A.; Flores, M.U.; Reyes-Pérez, M.; Juárez-Tapia, J.C. La3+/Bi3+ Co-Doping in BaTiO3 Ceramics: Structural Evolution and Enhanced Dielectric Properties. Processes 2025, 13, 3426. https://doi.org/10.3390/pr13113426
Valenzuela-Carrillo MI, Pérez-Labra M, Barrientos-Hernandez FR, Romero-Serrano A, Mendoza-Sanchez I, Cruz-Ramírez A, Flores MU, Reyes-Pérez M, Juárez-Tapia JC. La3+/Bi3+ Co-Doping in BaTiO3 Ceramics: Structural Evolution and Enhanced Dielectric Properties. Processes. 2025; 13(11):3426. https://doi.org/10.3390/pr13113426
Chicago/Turabian StyleValenzuela-Carrillo, María Inés, Miguel Pérez-Labra, Francisco Raúl. Barrientos-Hernandez, Antonio Romero-Serrano, Irma Mendoza-Sanchez, Alejandro Cruz-Ramírez, Mizraim U. Flores, Martín Reyes-Pérez, and Julio C. Juárez-Tapia. 2025. "La3+/Bi3+ Co-Doping in BaTiO3 Ceramics: Structural Evolution and Enhanced Dielectric Properties" Processes 13, no. 11: 3426. https://doi.org/10.3390/pr13113426
APA StyleValenzuela-Carrillo, M. I., Pérez-Labra, M., Barrientos-Hernandez, F. R., Romero-Serrano, A., Mendoza-Sanchez, I., Cruz-Ramírez, A., Flores, M. U., Reyes-Pérez, M., & Juárez-Tapia, J. C. (2025). La3+/Bi3+ Co-Doping in BaTiO3 Ceramics: Structural Evolution and Enhanced Dielectric Properties. Processes, 13(11), 3426. https://doi.org/10.3390/pr13113426

