Sign in to use this feature.

Years

Between: -

Subjects

remove_circle_outline
remove_circle_outline
remove_circle_outline
remove_circle_outline
remove_circle_outline
remove_circle_outline
remove_circle_outline
remove_circle_outline
remove_circle_outline

Journals

remove_circle_outline
remove_circle_outline
remove_circle_outline
remove_circle_outline
remove_circle_outline
remove_circle_outline
remove_circle_outline
remove_circle_outline
remove_circle_outline
remove_circle_outline
remove_circle_outline
remove_circle_outline
remove_circle_outline

Article Types

Countries / Regions

remove_circle_outline
remove_circle_outline
remove_circle_outline
remove_circle_outline
remove_circle_outline
remove_circle_outline
remove_circle_outline
remove_circle_outline

Search Results (3,613)

Search Parameters:
Keywords = discharge-simulated

Order results
Result details
Results per page
Select all
Export citation of selected articles as:
17 pages, 1998 KB  
Article
Analysis of the Measurement Uncertainties in the Characterization Tests of Lithium-Ion Cells
by Thomas Hußenether, Carlos Antônio Rufino Júnior, Tomás Selaibe Pires, Tarani Mishra, Jinesh Nahar, Akash Vaghani, Richard Polzer, Sergej Diel and Hans-Georg Schweiger
Energies 2026, 19(3), 825; https://doi.org/10.3390/en19030825 - 4 Feb 2026
Abstract
The transition to renewable energy systems and electric mobility depends on the effectiveness, reliability, and durability of lithium-ion battery technology. Accurate modeling and control of battery systems are essential to ensure safety, efficiency, and cost-effectiveness in electric vehicles and grid storage. In engineering [...] Read more.
The transition to renewable energy systems and electric mobility depends on the effectiveness, reliability, and durability of lithium-ion battery technology. Accurate modeling and control of battery systems are essential to ensure safety, efficiency, and cost-effectiveness in electric vehicles and grid storage. In engineering and materials science, battery models depend on physical parameters such as capacity, energy, state of charge (SOC), internal resistance, power, and self-discharge rate. These parameters are affected by measurement uncertainty. Despite the widespread use of lithium-ion cells, few studies quantify how measurement uncertainty propagates to derived battery parameters and affects predictive modeling. This study quantifies how uncertainty in voltage, current, and temperature measurements reduces the accuracy of derived parameters used for simulation and control. This work presents a comprehensive uncertainty analysis of 18650 format lithium-ion cells with nickel cobalt aluminum oxide (NCA), nickel manganese cobalt oxide (NMC), and lithium iron phosphate (LFP) cathodes. It applies the law of error propagation to quantify uncertainty in key battery parameters. The main result shows that small variations in voltage, current, and temperature measurements can produce measurable deviations in internal resistance and SOC. These findings challenge the common assumption that such uncertainties are negligible in practice. The results also highlight a risk for battery management systems that rely on these parameters for control and diagnostics. The results show that propagated uncertainty depends on chemistry because of differences in voltage profiles, kinetic limitations, and temperature sensitivity. This observation informs cell selection and testing for specific applications. Improved quantification and control of measurement uncertainty can improve model calibration and reduce lifetime and cost risks in battery systems. These results support more robust diagnostic strategies and more defensible warranty thresholds. This study shows that battery testing and modeling should report and propagate measurement uncertainty explicitly. This is important for data-driven and physics-informed models used in industry and research. Full article
Show Figures

Figure 1

30 pages, 5645 KB  
Article
Contamination of Amorphous Carbon Thin Films: Modelling the Transport of Atoms in Gases During Deposition
by Pedro M. A. Guerreiro, Ana Rita G. E. Pires, Susana M. C. S. Fidalgo, Orlando M. N. D. Teodoro, Pedro Costa Pinto and Nenad Bundaleski
C 2026, 12(1), 13; https://doi.org/10.3390/c12010013 - 4 Feb 2026
Abstract
Monte Carlo simulations of the transport of atoms in gases related to the deposition process and the contamination of amorphous carbon thin films during deposition in magnetron discharges have been performed. These films are of interest in accelerator technology due to their low [...] Read more.
Monte Carlo simulations of the transport of atoms in gases related to the deposition process and the contamination of amorphous carbon thin films during deposition in magnetron discharges have been performed. These films are of interest in accelerator technology due to their low secondary electron yield when their structures are dominated by sp2 carbon. Two codes, which practically share the same algorithm, are introduced: TAGs 1 simulates the transport of sputtered atoms from the target to the substrate, and TAGs 2 simulates the transport of atoms from the plasma towards the target and the substrate. The similar results of TAGs 1 and the well-established SIMTRA for the same input parameters imply the algorithm's accuracy. The codes were used to model the transport of different atoms (C, H, O, D) in a magnetron Ar discharge. The simulations reveal that the operating pressure should be higher than 1 Pa for a sample-target distance of 90 mm to secure sp2 carbon formation. The contamination mechanisms of amorphous carbon coatings were then studied by merging the results obtained with both programs. Preliminary comparisons with experiments suggest that the combined results of TAGs 1 and 2 agree very well with the experiments. Full article
19 pages, 5065 KB  
Article
Energy Dissipation Rate and Conjugate Depth After Hydraulic Jump for Counterflow Underflow Energy Dissipation in Spillways
by Shiyong Zhao, Huanmin Zhang, Qin Zhao, Gengsheng Nie, Zhengqing Deng and Gang Yu
Water 2026, 18(3), 393; https://doi.org/10.3390/w18030393 - 3 Feb 2026
Abstract
To address the energy dissipation requirements of hydraulic engineering projects with medium-low water heads and medium-high unit discharges, counterflow-type underflow energy dissipation can significantly enhance the energy dissipation efficiency through the head-on collision of flows from spillways on both sides. In this study, [...] Read more.
To address the energy dissipation requirements of hydraulic engineering projects with medium-low water heads and medium-high unit discharges, counterflow-type underflow energy dissipation can significantly enhance the energy dissipation efficiency through the head-on collision of flows from spillways on both sides. In this study, the spillway of the Lieshen Reservoir was used as the prototype. Since gravity dominates the flow in spillways, we established a 1:15 physical model based on the Froude similarity criterion, and conducted numerical simulations using the volume of fluid method coupled with the realizable k-ε turbulence model. Furthermore, the hydraulic characteristics of counterflow energy dissipation under different flow rates and stilling basin length conditions were analyzed. The results show that the counterflow energy dissipation rate first increases before decreasing with increasing stilling basin length, and the maximum energy dissipation rate can exceed 85%; however, the change in the stilling basin depth has a small impact on the energy dissipation rate, especially under relatively high flow rates; furthermore, an empirical formula for the conjugate depth after a hydraulic jump suitable for counterflow energy dissipation with Froude number in the range of 2.0 < Fr1 < 9.7 and stilling basin depth of 0.5–1.5 m is proposed, with the relative error between its predicted and simulated values being less than 6%. Based on the analysis of the water depth outer envelope curve at the outlet section of the stilling basin, it is suggested that the sidewall height be set to 0.6–0.8 times the conjugate depth after the hydraulic jump. Full article
(This article belongs to the Topic Hydraulic Engineering and Modelling)
Show Figures

Figure 1

20 pages, 6085 KB  
Article
A Novel Weather Generator and Soil Attribute Database for SWAT to Improve the Simulation Accuracy in the Heilongjiang Region of China
by Zhihao Zhang, Haorui Zhang, Xiaoying Yu, Chunyan Yang and Tong Zheng
Water 2026, 18(3), 389; https://doi.org/10.3390/w18030389 - 3 Feb 2026
Abstract
This study addresses the issue of missing basic data and insufficient accuracy in predicting runoff and non-point-source pollution in the Heilongjiang region of China using the Soil and Water Assessment Tool (SWAT) model. Based on the China Ground Climate Data Daily Dataset (V3.0) [...] Read more.
This study addresses the issue of missing basic data and insufficient accuracy in predicting runoff and non-point-source pollution in the Heilongjiang region of China using the Soil and Water Assessment Tool (SWAT) model. Based on the China Ground Climate Data Daily Dataset (V3.0) and SPAW soil characteristic calculation formula, and assisted by the Python V3.0 language for data processing and computation, new high-precision weather generators and soil attribute databases suitable for the Heilongjiang region of China were established. The weather generator is based on daily data and contains detailed meteorological parameters such as temperature, humidity, wind speed, rainfall, etc., used to characterize the periodic changes in meteorological elements. And the differences and fluctuations outside this change curve were also retained in the basic construction of the weather generator. The soil database covers various parameters, such as soil type, texture, structure, nutrient content, organic matter content, etc., enabling the SWAT model to better simulate hydrological and pollutant transport processes in the soil. Additionally, point-source input data, including various industrial and domestic wastewater discharge situations, were collected and organized to improve data quality. Furthermore, a series of agricultural management measures were developed based on the use of fertilizers and pesticides for simulation, providing an important basis for analyzing non-point-source pollution using the SWAT model. By comparing the different results of the simulation using optimized databases, it is shown that the above work improved the simulation accuracy of the SWAT model in predicting runoff and pollution load in Heilongjiang, China. The NSE of runoff simulation increased from 0.923 to 0.988, and the NSE of ammonia nitrogen and CBOD simulation increased from 0.852 and 0.758 to 0.930 and 0.902, respectively. It is expected that these efforts will provide strong data support for subsequent research and provide a theoretical basis for government decision-makers to build scientifically rigorous and effective pollution control strategies. Full article
(This article belongs to the Special Issue Advanced Oxidation Technologies for Water and Wastewater Treatment)
Show Figures

Figure 1

18 pages, 3225 KB  
Article
Using High-Resolution Hydrodynamic Models to Assess the Environmental Status of Highly Modified Transitional Waters in Salt Marshes
by Cira Buonocore, Juan J. Gomiz-Pascual, Ander López Puertas, Óscar Álvarez Esteban, Rafael Mañanes, María L. Pérez Cayeiro, Alfredo Izquierdo González, Antonio Gómez Ferrer, Noelia P. Sobrino González and Miguel Bruno
Hydrology 2026, 13(2), 55; https://doi.org/10.3390/hydrology13020055 - 2 Feb 2026
Viewed by 27
Abstract
Effective management of transitional waters requires collaboration between administrative and scientific institutions, in line with the sustainable water management principles established by the Water Framework Directive (WFD, 2000/60/EC). The Cadiz and San Fernando salt marshes, classified as wetlands of international importance, currently exhibit [...] Read more.
Effective management of transitional waters requires collaboration between administrative and scientific institutions, in line with the sustainable water management principles established by the Water Framework Directive (WFD, 2000/60/EC). The Cadiz and San Fernando salt marshes, classified as wetlands of international importance, currently exhibit an ecological and chemical status that is “worse than good.” However, there is still a lack of high-resolution, spatially explicit tools to identify where contaminants are most likely to accumulate in highly modified transitional waters, which limits effective monitoring and management strategies. This study aims to fill this gap by combining a high-resolution hydrodynamic model with a Lagrangian-particle-tracking approach to determine areas most vulnerable to contaminant accumulation from wastewater discharges. Simulations across multiple tidal cycles revealed that contamination is concentrated near discharge points and in low-flow channels, with tidal dynamics strongly influencing transport patterns. Key findings indicate that certain marsh sectors consistently experience higher contaminant exposure, highlighting priority areas for monitoring and management. The study provides novel insights by integrating modeling tools to produce a vulnerability classification of high-, medium-, and low-risk zones. These results contribute to the broader scientific understanding of contaminant dynamics in transitional waters and offer a transferable framework for improving wetland management in other heavily modified coastal systems. Full article
Show Figures

Figure 1

27 pages, 10207 KB  
Article
Failure Mechanism and Biomimetic Wiping Self-Cleaning Design of Micro-Current Snap-Action Limit Switches for Marine Environments
by Yuhang Zhong, Xiaolong Zhao, Chengfei Zhang, Yuliang Teng, Zhuxin Zhang and Dingxuan Zhao
Actuators 2026, 15(2), 89; https://doi.org/10.3390/act15020089 - 2 Feb 2026
Viewed by 87
Abstract
In marine hot–humid and salt spray environments, shipborne snap-action limit switches operating under micro-current loads are prone to triggering failures caused by the accumulation of heterogeneous films on electrical contact interfaces, which can induce abnormal behavior in electromechanical systems. To address this issue, [...] Read more.
In marine hot–humid and salt spray environments, shipborne snap-action limit switches operating under micro-current loads are prone to triggering failures caused by the accumulation of heterogeneous films on electrical contact interfaces, which can induce abnormal behavior in electromechanical systems. To address this issue, this study systematically investigates the failure mechanisms of micro-current limit switches using multimodal diagnostic approaches. The results demonstrate that the migration and accumulation of corrosion products and foreign contaminants within the microswitch unit promote the formation of high-resistance heterogeneous films at the electrical contact interfaces, severely impairing reliable electrical conduction. Electrical contact experiments further reveal that the contact behavior is strongly dependent on the current magnitude. When the current exceeds 2A, arc discharge generated during contact closure can effectively disrupt and remove the heterogeneous films, thereby restoring the electrical functionality of previously failed switches under subsequent micro-current operating conditions. Based on the identified failure mechanism, and inspired by the natural eye-cleaning behavior of crabs, a biomimetic press-and-wipe self-cleaning dual-redundant limit switch design is proposed. The design enables autonomous surface cleaning through controlled reciprocal wiping between the moving and stationary electrical contacts, effectively suppressing the formation and accumulation of high-resistance films at the source. Comparative salt spray and damp heat storage tests demonstrate that the proposed self-cleaning limit switch maintains stable and reliable electrical contact performance in simulated marine environments, significantly improving operational reliability and service life under micro-current loads. This work provides both mechanistic insights and a practical structural solution for enhancing the reliability of electrical contact components operating under low-current conditions in harsh marine environments. Full article
Show Figures

Figure 1

24 pages, 3245 KB  
Article
Experimental Data-Driven Machine Learning Analysis for Prediction of PCM Charging and Discharging Behavior in Portable Cold Storage Systems
by Raju R. Yenare, Chandrakant Sonawane, Anindita Roy and Stefano Landini
Sustainability 2026, 18(3), 1467; https://doi.org/10.3390/su18031467 - 2 Feb 2026
Viewed by 57
Abstract
The problem of the post-harvest loss of perishable products has been a loss facing food security, especially in areas that lack adequate cold chain facilities. This issue is directly connected with sustainability objectives because post-harvest losses are the major source of food wastage, [...] Read more.
The problem of the post-harvest loss of perishable products has been a loss facing food security, especially in areas that lack adequate cold chain facilities. This issue is directly connected with sustainability objectives because post-harvest losses are the major source of food wastage, unneeded energy use, and related greenhouse gas emissions. Cold storage with phase-change material (PCM) is a promising alternative, as it aims at stabilizing temperatures and enhancing energy consumption, but current analyses of performance have been conducted through experimental testing and computational fluid dynamic (CFD) simulations, which are precise but computationally expensive. To handle this drawback, the current work constructs a machine learning predictive model to predict the dynamics of charging and discharging temperature of PCM cold storage systems. Four regression models, namely Random Forest, Extreme Gradient Boosting (XGBoost), Support Vector Regression (SVR), and K-Nearest Neighbors (KNNs), were trained and tested on experimental datasets that were obtained for varying storage layouts. The various error and accuracy measures used to determine model performance comprised MSE, MAE, R2, MAPE, and percentage accuracy. The findings suggest that Random Forest provides the best accuracy during both the charging and the discharging process, with the highest R2 values of over 0.98 and with minimal mean absolute errors. The KNN model was competitive in the discharge process, especially in cases of consistent thermal recovery patterns, and XGBoost was consistent in layout accuracy. However, SVR had relatively lower robustness, particularly when using nonlinear charged dynamics. Among the evaluated models, the Random Forest algorithm demonstrated the highest predictive accuracy, achieving coefficients of determination (R2) exceeding 0.98 for both charging and discharging processes, with mean absolute errors below 0.6 °C during charging and 0.3 °C during discharging. This paper has proven that machine learning is an efficient surrogate to CFD and experimental-only methods and can be used to predict the thermal behavior of PCM quickly and precisely. The proposed framework will allow for developing cold storage systems based on energy efficiency, low costs, and sustainability, especially in the context of decentralized and resource-limited agricultural supply chains, with the help of quick and data-focused forecasting of PCM thermal behavior. Full article
Show Figures

Figure 1

24 pages, 6704 KB  
Article
Exploratory Assessment of Short-Term Antecedent Modeled Flow Memory in Shaping Macroinvertebrate Diversity: Integrating Satellite-Derived Precipitation and Rainfall-Runoff Modeling in a Remote Andean Micro-Catchment
by Gonzalo Sotomayor, Raúl F. Vázquez, Marie Anne Eurie Forio, Henrietta Hampel, Bolívar Erazo and Peter L. M. Goethals
Biology 2026, 15(3), 257; https://doi.org/10.3390/biology15030257 - 30 Jan 2026
Viewed by 385
Abstract
Estimating runoff in ungauged catchments remains a major challenge in hydrology, particularly in remote Andean headwaters where limited accessibility and budgetary constraints hinder the long-term operation of monitoring networks. This study integrates satellite-derived rainfall data, hydrological modeling, and benthic macroinvertebrate diversity analysis to [...] Read more.
Estimating runoff in ungauged catchments remains a major challenge in hydrology, particularly in remote Andean headwaters where limited accessibility and budgetary constraints hinder the long-term operation of monitoring networks. This study integrates satellite-derived rainfall data, hydrological modeling, and benthic macroinvertebrate diversity analysis to explore how short-term antecedent flow conditions relate to temporal variation in community structure. The research was conducted in a pristine 0.26 km2 micro-catchment of the upper Collay basin (southern Ecuador). Daily simulated discharge was used to compute antecedent flow descriptors representing short-term variability and cumulative changes in stream conditions, which were related to taxonomic (i.e., H = Shannon diversity, E = Pielou evenness, and D = Simpson dominance) and functional indices (i.e., Rao = Rao’s quadratic entropy, FAD1 = Functional Attribute Diversity, and wFDc = weighted functional dendrogram-based diversity) using Generalized Additive Models. Results showed progressively higher hydrology–biology associations with increasing antecedent flow integration length, suggesting that biological variability responds more strongly to cumulative than to instantaneous flow conditions. Among hydrological descriptors, the cumulative magnitude of negative flow changes was consistently associated with taxonomic diversity. H and E showed more coherent and robust patterns than functional metrics, indicating a faster response of community composition to short-term hydrological variability, whereas functional diversity integrates slower ecological processes. While based on modeled discharge under severe hydrometeorological data limitations, this study provides a practical ecohydrological starting point for identifying short-term hydrological memory signals potentially relevant to aquatic biodiversity in ungauged headwater systems. Full article
(This article belongs to the Section Marine and Freshwater Biology)
Show Figures

Graphical abstract

15 pages, 5003 KB  
Article
Discharge-Induced Slag Entrainment in Salt Cavern CAES Systems: A CFD–DEM Numerical Study
by Weiqiang Zhao, Xijie Song, Ning Wang, Yongyao Luo and Ling Ma
Energies 2026, 19(3), 727; https://doi.org/10.3390/en19030727 - 29 Jan 2026
Viewed by 154
Abstract
During the discharge process of a salt cavern compressed air energy storage (CAES) system, high-speed air flow may entrain salt slag from the cavern floor, posing a threat to pipeline safety. Currently, there is a lack of in-depth research into the transient mechanisms [...] Read more.
During the discharge process of a salt cavern compressed air energy storage (CAES) system, high-speed air flow may entrain salt slag from the cavern floor, posing a threat to pipeline safety. Currently, there is a lack of in-depth research into the transient mechanisms of the entrainment process, particularly the influence of particle shape. This study employs a CFD-DEM coupling approach to conduct, for the first time, a high-fidelity simulation of slag entrainment dynamics during the initial discharge phase of a salt cavern CAES system, with a focus on the motion patterns of three particle shapes: spherical, conical, and square. Results show that: (1) during the initial discharge stage, the flow field rapidly forms vortex structures that migrate toward the wellhead, which is the core mechanism driving particle mobilization; (2) particle shape significantly affects entrainment efficiency through frictional characteristics—spherical particles are most easily entrained (maximum entrainment rate of 0.42 kg/h), while non-spherical particles tend to accumulate below the wellhead; and (3) the entrainment process exhibits strong transient characteristics: the entrainment rate peaks rapidly (approximately 0.82 kg/h) within a short time and then declines sharply, and it is sensitive to particle size, with the most entrainable particle size being around 5 mm. This study reveals the coupling mechanism between transient vortices and multi-shape particle entrainment during discharge, providing a theoretical basis for the design of filtration systems, operational risk prevention, and slag removal strategies in salt cavern CAES power plants. Full article
Show Figures

Figure 1

23 pages, 5082 KB  
Article
Applicability of the Lumped GR4J Model for Modeling the Hydrology of the Inland Valleys of the Sudanian Zones of Benin
by Akominon M. Tidjani, Quentin F. Togbevi, Pierre G. Tovihoudji, P. B. Irénikatché Akponikpè and Marnik Vanclooster
Water 2026, 18(3), 340; https://doi.org/10.3390/w18030340 - 29 Jan 2026
Viewed by 156
Abstract
Achieving sustainable agricultural intensification in inland valleys while limiting the adverse environmental impacts and uncertainties related to water availability requires an analysis of the long-term hydrological behavior of the catchment. Such a task is particularly challenging in West Africa and Benin due to [...] Read more.
Achieving sustainable agricultural intensification in inland valleys while limiting the adverse environmental impacts and uncertainties related to water availability requires an analysis of the long-term hydrological behavior of the catchment. Such a task is particularly challenging in West Africa and Benin due to the limited availability of climate and hydrological data. This study evaluates the applicability of the lumped GR4J model for simulating streamflow in three inland valleys of the Sudanian zone of Benin (Lower-Sowé, Bahounkpo and Nalohou). Additionally, we test the reliability of satellite-based rainfall data (GPM-IMERG, CHIRPS or GSMAP) in modeling hydrological dynamics in these small catchments. The results demonstrate that the GR4J model is effective in simulating daily discharge in the three inland valleys (KGE > 0.5 during both calibration and validation periods), with particularly interesting performance in mean-flow conditions. The modeling using GPM-IMERG and GSMAP rainfall data shows mitigated results with acceptable performance at Nalohou and less accurate results at Bahounkpo and Lower-Sowé. CHIRPS emerged as the most consistent among the evaluated products, providing a sound basis for reconstructing general trends and seasonal variations in historical streamflow time series. The approach of combining historical CHIRPS data and the GR4J model provides insights and can support decision-making related to water resource management in terms of resource capacity and volume in the study area. Except for Nalohou (KGE = 0.19 with GPM-IMERG data), we observe limitations in predicting high flows with satellite-based climatic data at Bahounkpo (KGE = 0.02 with GPM-IR) and Lower-Sowé (KGE = −0.01 with CHIRPS), where the near-zero KGE scores indicate marginal improvement over a mean-flow benchmark. Future work should explore how hybrid or flexible modeling approaches can improve the accuracy of runoff simulations in inland valleys, particularly for extreme (low- and high-) flow conditions. Additionally, the analysis of the trends of indicators of hydrological alteration (IHA) must be deepened in these important ecosystems, especially under climate and land-use change scenarios. Full article
(This article belongs to the Special Issue Advances in Ecohydrology in Arid Inland River Basins, 2nd Edition)
Show Figures

Figure 1

29 pages, 24358 KB  
Article
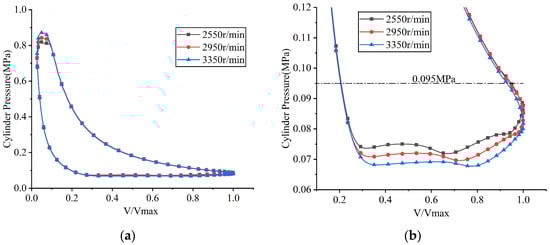
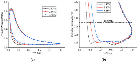
Study on Fluid–Structure Interaction Characteristics of Reed Valves in a Reciprocating Refrigeration Compressor
by Ying Zhao, Tao Wang, He Xu, Qixiang Zheng and Fengyu Fan
Fluids 2026, 11(2), 39; https://doi.org/10.3390/fluids11020039 - 29 Jan 2026
Viewed by 160
Abstract
The suction and discharge reed valves are critical components of reciprocating refrigeration compressors, as their dynamic behavior strongly affects the compressor performance. This study investigates the interaction mechanism between unsteady flow characteristics and valve dynamics in a reciprocating refrigeration compressor. A 3D fluid–structure [...] Read more.
The suction and discharge reed valves are critical components of reciprocating refrigeration compressors, as their dynamic behavior strongly affects the compressor performance. This study investigates the interaction mechanism between unsteady flow characteristics and valve dynamics in a reciprocating refrigeration compressor. A 3D fluid–structure interaction (FSI) simulation model was developed, and its reliability was validated by comparing the simulated in-cylinder pressure and suction valve lift with the corresponding experimental measurements. The validated model was subsequently utilized to analyze the evolution of unsteady flow characteristics and valve deformations. Furthermore, a series of FSI simulations was performed to examine the influence of suction pressure, rotational speed, clearance volume ratio, suction valve plate thickness, and discharge valve plate thickness on valve dynamics and compressor performance. The results indicated that suction pressure, rotational speed, and clearance volume ratio all exerted a significant influence on the dynamics of both the suction and discharge valves. Variations in suction valve plate thickness exhibited a minor influence on the dynamic behavior and flow resistance of the discharge valve, whereas adjustments to discharge valve plate thickness had almost no impact on those of the suction valve. This weak coupling characteristic provides flexibility for the independent optimization of the suction and discharge reed valves. The findings of this study lay a solid foundation for optimizing valve design and improving compressor performance. Full article
(This article belongs to the Section Mathematical and Computational Fluid Mechanics)
Show Figures

Figure 1

21 pages, 9238 KB  
Article
Effect of Dielectric Thickness on Filamentary Mode Nanosecond-Pulse Dielectric Barrier Discharge at Low Pressure
by Anbang Sun, Yulin Guo, Yanru Li and Yifei Zhu
Plasma 2026, 9(1), 4; https://doi.org/10.3390/plasma9010004 - 27 Jan 2026
Viewed by 184
Abstract
Filamentary mode, as a common phenomenon that appears in dielectric barrier discharge (DBD), is realized by rod-to-rod electrodes in N2-O2 mixtures at 80 mbar. The effects of the dielectric thickness on the characteristics of filamentary DBD are investigated through experiments [...] Read more.
Filamentary mode, as a common phenomenon that appears in dielectric barrier discharge (DBD), is realized by rod-to-rod electrodes in N2-O2 mixtures at 80 mbar. The effects of the dielectric thickness on the characteristics of filamentary DBD are investigated through experiments and simulations. The discharges are driven by a positive unipolar nanosecond pulse voltage with 15.8 kV amplitude, 9 ns rise time (Tr10–90%), and 14 ns pulse width. The characteristics of filamentary DBD are recorded with an intensified charge-coupled device and a Pearson current probe in the experiment, and a 2D axisymmetric fluid mode is established to analyze the discharge. Surface discharges occur on the anode and cathode dielectric after the breakdown, and the discharge is gradually extinguished as the applied voltage decreases. A thinner total dielectric thickness (Da + Dc) leads to larger currents, stronger discharges, and wider discharge channels. These characteristics are consistent when the total dielectric thickness is the same but anode dielectric thickness and cathode dielectric thickness are different (DaDc ≠ 0). If the anode is a metal electrode (Da = 0), the current will be substantially large, and two discharge modes are observed: stable mono-filament discharge mode and random multi-filament discharge mode. It is found in simulations that the dielectric thickness changes the electric field configuration. The electric field is stronger with the decrease in dielectric thickness and leads to a more intense ionization which is responsible for most of the observed effects. Full article
(This article belongs to the Special Issue Recent Advances of Dielectric Barrier Discharges)
Show Figures

Figure 1

28 pages, 4001 KB  
Article
Combined Experimental, Statistical and CFD Study of the Thermal–Electrical Behavior of a LiFePO4 Battery Pack Under Varying Load and Cooling Conditions
by Mohamed H. Abdelati, Mostafa Makrahy, Ebram F. F. Mokbel, Al-Hussein Matar, Moatasem Kamel and Mohamed A. A. Abdelkareem
Sustainability 2026, 18(3), 1279; https://doi.org/10.3390/su18031279 - 27 Jan 2026
Viewed by 255
Abstract
Thermal control represents one of the most important parameters influencing the safety and reliability of lithium-ion batteries, especially at high rates required for modern electric vehicles. The present paper investigates the thermal and electrothermal performance of a lithium iron phosphate (LiFePO4) [...] Read more.
Thermal control represents one of the most important parameters influencing the safety and reliability of lithium-ion batteries, especially at high rates required for modern electric vehicles. The present paper investigates the thermal and electrothermal performance of a lithium iron phosphate (LiFePO4) battery pack using a combination of experimental, statistical, and numerical methods. The 8S5P module was assembled and examined under load tests of 200, 400, and 600 W with and without active air-based cooling. The findings indicate that cooling reduced cell surface temperature by up to 10 °C and extended discharge time by 7–16% under various load conditions, emphasizing the effect of thermal management on battery performance and safety. In order to more systematically investigate the impact of ambient temperature and load, a RSM study with a central composite design (CCD; 13 runs) was performed, resulting in two very significant quadratic models (R2 > 0.98) for peak temperature and discharge duration prediction. The optimum conditions are estimated at a 200 W load and an ambient temperature of 20 °C. Based on experimentally determined parameters, a finite-element simulation model was established, and its predictions agreed well with the measured results, which verified the analysis. Integrating measurements, statistical modeling, and simulation provides a tri-phase methodology to date for determining and optimizing battery performance under the electrothermal dynamics of varied environments. Full article
(This article belongs to the Section Energy Sustainability)
17 pages, 3903 KB  
Article
Analysis of MOA Damage Mechanism Under Multiple Strokes
by Tao Yuan, Dengke Gao, Siyu Chen and Zhenjie Zheng
Appl. Sci. 2026, 16(3), 1272; https://doi.org/10.3390/app16031272 - 27 Jan 2026
Viewed by 98
Abstract
Accident records from the actual operation of metal oxide arresters (MOAs) indicate that even MOA products that have passed standard tests still suffer from frequent damage. This phenomenon may be related to the fact that the current standards for MOA testing do not [...] Read more.
Accident records from the actual operation of metal oxide arresters (MOAs) indicate that even MOA products that have passed standard tests still suffer from frequent damage. This phenomenon may be related to the fact that the current standards for MOA testing do not cover multiple stroke conditions. To investigate the damage mechanism of MOA under the effect of multiple strokes, this study conducts continuous current impulse tests on MOA and simultaneously performs finite element simulation analysis. A comparative analysis of the test and simulation results shows the following: The continuous impulse discharge process of multiple strokes causes instantaneous heat accumulation in the varistors, leading to a sudden temperature rise and inducing significant non-uniform thermal stress in the varistors; Under the condition of consistent total impulse energy, multiple strokes are more likely to cause damage to MOA varistors. Moreover, the higher the amplitude of the lightning current in multiple strokes, and the shorter the impulse interval, the higher the risk and degree of thermal damage to the MOA varistors; By analyzing the rate of change in the maximum thermal stress of the varistors, the significant effective range of the superposition effect of multiple strokes under different impulse intervals can be obtained. Full article
(This article belongs to the Section Electrical, Electronics and Communications Engineering)
Show Figures

Figure 1

16 pages, 4927 KB  
Article
The Effect of Hydrogeological Heterogeneity on Groundwater Flow Field at Tunnel Site: A 2D Synthetic Study of Single and Multiple Tunnels
by Zhijie Cai, Weini Hu, Xiujie Wu, Zhongyuan Xu and Yifei Ma
Hydrology 2026, 13(2), 44; https://doi.org/10.3390/hydrology13020044 - 27 Jan 2026
Viewed by 140
Abstract
The rapid expansion of tunnel construction in mountainous regions faces significant challenges due to the heterogeneity of surrounding rocks caused by faults, fractures, and karst features, which strongly affect groundwater seepage. Traditional homogeneous assumptions are inadequate for accurately predicting tunnel water inflow, while [...] Read more.
The rapid expansion of tunnel construction in mountainous regions faces significant challenges due to the heterogeneity of surrounding rocks caused by faults, fractures, and karst features, which strongly affect groundwater seepage. Traditional homogeneous assumptions are inadequate for accurately predicting tunnel water inflow, while current heterogeneous assumptions primarily focus on the permeability of the medium near a single tunnel. This study employs 2D numerical modeling based on the Kexuecheng Tunnel in Chongqing, China, to investigate the effects of geological heterogeneity on tunnel discharge and groundwater drawdown. A methodological advancement of this work lies in the quantification of the impact of non-permeability heterogeneity, stratigraphic continuity, and dip angles on groundwater under multi-tunnel conditions. Four stratigraphic continuities (R = 60 m, 120 m, 180 m, 240 m) and four dip angles (θ = 0°, 30°, 60°, 90°) are considered for permeability variations. Results demonstrate that heterogeneous formations produce irregular discharge and non-uniform groundwater drawdown, closely reflecting field conditions. Increased stratum continuity intensifies discharge and drawdown at smaller dip angles, while combined variations yield complex hydraulic responses. In multi-tunnel settings, reduced spacing amplifies discharge and drawdown, exacerbating groundwater impacts. Compared with homogeneous conditions, heterogeneous formations yield higher water inflow and uneven drawdown. The findings underscore the necessity of accounting for geological heterogeneity and tunnel interactions in hydrogeological evaluations and design. In addition to permeability, stratigraphic continuity and dip angles during simulation validation, especially in multi-tunnel configurations, enhance safety and reduce engineering risks. Full article
(This article belongs to the Topic Water-Soil Pollution Control and Environmental Management)
Show Figures

Figure 1

Back to TopTop