The Effect of Hydrogeological Heterogeneity on Groundwater Flow Field at Tunnel Site: A 2D Synthetic Study of Single and Multiple Tunnels
Abstract
1. Introduction
2. Materials and Methods
2.1. Study Area
2.2. Model Setup
2.3. Geologic Heterogeneity Generation
2.4. Hydrogeologic Evaluation Assessment
3. Results
3.1. Single-Tunnel Cases
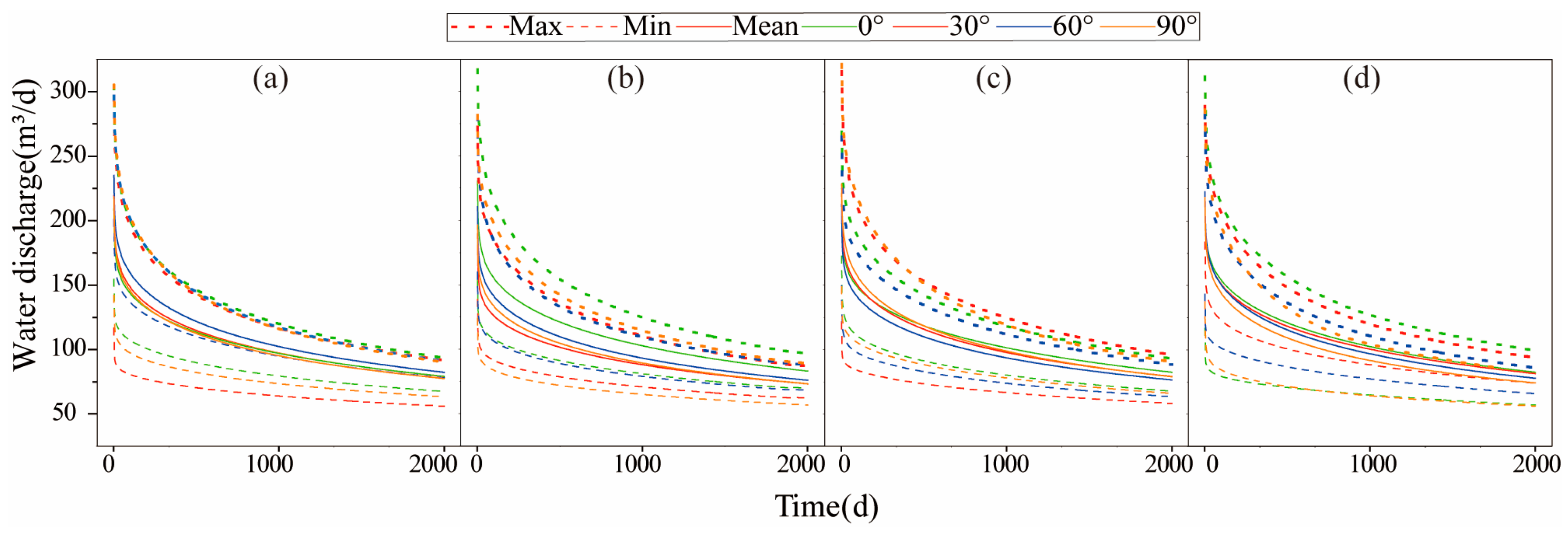
3.1.1. Water Discharge
3.1.2. Drawdown Caused by Tunnel Drainage
3.2. Multiple-Tunnel Cases
3.2.1. Water Discharge
3.2.2. Drawdown Caused by Tunnel Drainage
4. Discussion
5. Conclusions
Author Contributions
Funding
Data Availability Statement
Acknowledgments
Conflicts of Interest
References
- Butscher, C.; Huggenberger, P.; Zechner, E. Impact of Tunneling on Regional Groundwater Flow and Implications for Swelling of Clay–Sulfate Rocks. Eng. Geol. 2011, 117, 198–206. [Google Scholar] [CrossRef]
- Zarei, H.R.; Uromeihy, A.; Sharifzadeh, M. Identifying Geological Hazards Related to Tunneling in Carbonate Karstic Rocks—Zagros, Iran. Arab. J. Geosci. 2012, 5, 457–464. [Google Scholar] [CrossRef]
- Do, N.-A.; Dias, D.; Oreste, P.; Djeran-Maigre, I. Three-Dimensional Numerical Simulation of a Mechanized Twin Tunnels in Soft Ground. Tunn. Undergr. Space Technol. 2014, 42, 40–51. [Google Scholar] [CrossRef]
- Lv, Y.; Jiang, Y.; Hu, W.; Cao, M.; Mao, Y. A Review of the Effects of Tunnel Excavation on the Hydrology, Ecology, and Environment in Karst Areas: Current Status, Challenges, and Perspectives. J. Hydrol. 2020, 586, 124891. [Google Scholar] [CrossRef]
- Li, J.; Hong, A.; Yuan, D.; Jiang, Y.; Deng, S.; Cao, C.; Liu, J. A New Distributed Karst-Tunnel Hydrological Model and Tunnel Hydrological Effect Simulations. J. Hydrol. 2021, 593, 125639. [Google Scholar] [CrossRef]
- Song, X.; Cen, C.; Liu, K.; Zhang, C.; Zhou, A.; Wang, Y.; Peng, Q.; Na, J. Numerical Simulation Analysis of the Impact of Tunnel Construction on Aquifers in the Karst Regions of Southwestern China. Water 2025, 17, 619. [Google Scholar] [CrossRef]
- Arjnoi, P.; Jeong, J.-H.; Kim, C.-Y.; Park, K.-H. Effect of Drainage Conditions on Porewater Pressure Distributions and Lining Stresses in Drained Tunnels. Tunn. Undergr. Space Technol. 2009, 24, 376–389. [Google Scholar] [CrossRef]
- Perazzelli, P.; Leone, T.; Anagnostou, G. Tunnel Face Stability under Seepage Flow Conditions. Tunn. Undergr. Space Technol. 2014, 43, 459–469. [Google Scholar] [CrossRef]
- Yang, F.; Zhang, C.; Zhou, H.; Liu, N.; Zhang, Y.; Azhar, M.U.; Dai, F. The Long-Term Safety of a Deeply Buried Soft Rock Tunnel Lining under inside-to-Outside Seepage Conditions. Tunn. Undergr. Space Technol. 2017, 67, 132–146. [Google Scholar] [CrossRef]
- Coli, M.; Pinzani, A. Tunnelling and Hydrogeological Issues: A Short Review of the Current State of the Art. Rock Mech. Rock Eng. 2014, 47, 839–851. [Google Scholar] [CrossRef]
- Li, X.; Li, Y. Research on Risk Assessment System for Water Inrush in the Karst Tunnel Construction Based on GIS: Case Study on the Diversion Tunnel Groups of the Jinping II Hydropower Station. Tunn. Undergr. Space Technol. 2014, 40, 182–191. [Google Scholar] [CrossRef]
- De Miguel-García, E.; Gómez-González, J.F. Concentrations of F−, Na+, and K+ in Groundwater before and after an Earthquake: A Case Study on Tenerife Island, Spain. Hydrology 2024, 11, 138. [Google Scholar] [CrossRef]
- Chen, Z.; Yu, B.; Li, Z.; Zhuang, D.; Liu, M. An Active Drainage Method for Groundwater Environment Protection and Tunnel Safety Control. Transp. Geotech. 2025, 51, 101502. [Google Scholar] [CrossRef]
- Chen, Z.; He, C.; Zhang, Y.; Xu, Z.; Li, Z.; Yu, B. The Impact of Formation Heterogeneity on Water Discharge and Groundwater Depletion of an Excavated Tunnel. J. Hydrol. 2023, 627, 130403. [Google Scholar] [CrossRef]
- Chen, Z.; Zhang, T.; Zheng, G.; He, B. Modelling Cascading Failures in Two Parallel Shield Tunnels Induced by Soil-Water Inrush. Tunn. Undergr. Space Technol. 2025, 166, 106943. [Google Scholar] [CrossRef]
- Zheng, G.; Zhu, R.; Sun, J.; Zhang, T.; Tong, J.; Wang, R.; Diao, Y. Numerical Study on Failure Propagation between Two Closely Spaced Tunnels. J. Zhejiang Univ.-SCI. A 2021, 22, 894–908. [Google Scholar] [CrossRef]
- Liu, D.; Wang, F.; Hu, Q.; Huang, H.; Zuo, J.; Tian, C.; Zhang, D. Structural Responses and Treatments of Shield Tunnel Due to Leakage: A Case Study. Tunn. Undergr. Space Technol. 2020, 103, 103471. [Google Scholar] [CrossRef]
- Liu, X. Predicting Tunnel Groundwater Inflow by Geological Investigation Using Horizontal Directional Drilling Technology. Adv. Civ. Eng. 2022, 2022, 6578331. [Google Scholar] [CrossRef]
- Katsifarakis, K.L.; Kontos, Y.N.; Keremidis, O. Evaluation of Analytical Solutions Based on the Assumption of One-Dimensional Groundwater Flow Using Numerical Solutions for Two-Dimensional Flows. Hydrology 2025, 12, 226. [Google Scholar] [CrossRef]
- Lozano Hernández, B.L.; Marín Celestino, A.E.; Martínez Cruz, D.A.; Ramos Leal, J.A.; Hernández Pérez, E.; García Pazos, J.; Almanza Tovar, O.G. A Systematic Review of the Current State of Numerical Groundwater Modeling in American Countries: Challenges and Future Research. Hydrology 2024, 11, 179. [Google Scholar] [CrossRef]
- Bi, J.; Jiang, H.; Ding, W. Analytical Solution for Calculating the Flow Rate in a Lined Tunnel with Drainage Systems. Tunn. Undergr. Space Technol. 2023, 138, 105132. [Google Scholar] [CrossRef]
- Harbaugh, A. MODFLOW-2005: The U.S. Geological Survey Modular Ground-Water Model—The Ground-Water Flow Process; Techniques and Methods; USGS: Reston, VA, USA, 2005.
- Shekhar, S.; Jha, M. A Broad Review on the Usage of Modular Three-Dimensional Finite-Difference Groundwater Flow Model for Estimating Groundwater Parameters. Int. J. Environ. Sci. Technol. 2023, 20, 10465–10476. [Google Scholar] [CrossRef]
- Bai, Y.; Wu, Z.; Huang, T.; Peng, D. A Dynamic Modeling Approach to Predict Water Inflow during Karst Tunnel Excavation. Water 2022, 14, 2380. [Google Scholar] [CrossRef]
- Meyer, R.; Engesgaard, P.; Høyer, A.-S.; Jørgensen, F.; Vignoli, G.; Sonnenborg, T.O. Regional Flow in a Complex Coastal Aquifer System: Combining Voxel Geological Modelling with Regularized Calibration. J. Hydrol. 2018, 562, 544–563. [Google Scholar] [CrossRef]
- Janković, I.; Fiori, A.; Dagan, G. Modeling Flow and Transport in Highly Heterogeneous Three-dimensional Aquifers: Ergodicity, Gaussianity, and Anomalous Behavior—1. Conceptual Issues and Numerical Simulations. Water Resour. Res. 2006, 42, 2005WR004734. [Google Scholar] [CrossRef]
- Xue, L.; Zhang, D.; Guadagnini, A.; Neuman, S.P. Multimodel B Ayesian Analysis of Groundwater Data Worth. Water Resour. Res. 2014, 50, 8481–8496. [Google Scholar] [CrossRef]
- He, X.; Koch, J.; Sonnenborg, T.O.; Jørgensen, F.; Schamper, C.; Christian Refsgaard, J. Transition Probability-based Stochastic Geological Modeling Using Airborne Geophysical Data and Borehole Data. Water Resour. Res. 2014, 50, 3147–3169. [Google Scholar] [CrossRef]
- Shen, J.; Ma, H.; Du, H.; Xin, Y.; Liu, H.; Ma, W. Numerical Simulation of the External Water Pressure in Seepage Anisotropy Under Heterogeneous Conditions. Water 2024, 16, 3173. [Google Scholar] [CrossRef]
- Wang, R.-H.; Sun, P.-G.; Li, D.-Q.; Tyagi, A.; Liu, Y. Three-Dimensional Seepage Investigation of Riverside Tunnel Construction Considering Heterogeneous Permeability. ASCE-ASME J. Risk Uncertain. Eng. Syst. Part A Civ. Eng. 2021, 7, 04021041. [Google Scholar] [CrossRef]
- Sun, H.; Zhang, D.; Yin, H.; Hu, A. Stability Analysis of Shield Inclined Tunnel Faces under the Change Effect of Soil Heterogeneity and Pore Water with Buried Depth. Geofluids 2022, 2022, 9610289. [Google Scholar] [CrossRef]
- Huang, M.; Li, Y.; Shi, Z.; Lü, X. Face Stability Analysis of Shallow Shield Tunneling in Layered Ground under Seepage Flow. Tunn. Undergr. Space Technol. 2022, 119, 104201. [Google Scholar] [CrossRef]
- McBratney, A.B.; Webster, R. Choosing Functions for Semi-variograms of Soil Properties and Fitting Them to Sampling Estimates. J. Soil Sci. 1986, 37, 617–639. [Google Scholar] [CrossRef]
- El Mezouary, L.; El Mansouri, B. Groundwater Flow Equation, Overview, Derivation, and Solution. E3S Web Conf. 2021, 314, 04007. [Google Scholar] [CrossRef]
- Xu, Z.; Khan, M.R.; Ahmed, K.M.; Zahid, A.; Hariharan, J.; Passalacqua, P.; Steel, E.; Chadwick, A.; Paola, C.; Goodbred, S.L.; et al. Predicting Subsurface Architecture From Surface Channel Networks in the Bengal Delta. J. Geophys. Res. Earth Surf. 2023, 128, e2022JF006775. [Google Scholar] [CrossRef]
- Geng, X.; Michael, H.A. Preferential Flow Enhances Pumping-Induced Saltwater Intrusion in Volcanic Aquifers. Water Resour. Res. 2020, 56, e2019WR026390. [Google Scholar] [CrossRef]
- Kishor, K.; Aggarwal, A.; Srivastava, P.K.; Sharma, Y.K.; Lee, J.; Ghobadi, F. A Systematic Literature Review of MODFLOW Combined with Artificial Neural Networks (ANNs) for Groundwater Flow Modelling. Water 2025, 17, 2375. [Google Scholar] [CrossRef]
- Xia, Q.; Xu, M.; Zhang, H.; Zhang, Q.; Xiao, X. A Dynamic Modeling Approach to Simulate Groundwater Discharges into a Tunnel from Typical Heterogenous Geological Media during Continuing Excavation. KSCE J. Civ. Eng. 2018, 22, 341–350. [Google Scholar] [CrossRef]
- Zheng, X.; Pan, W.; Yin, Z. Stress Analysis of Arbitrary-Shaped Double Hole Tunnel in Orthotropic Rock Mass. Appl. Math. Model. 2026, 151, 116581. [Google Scholar] [CrossRef]
- Ezzeldin, H.A.; Bahr, J.M. Use of Geochemical and Mathematical Models for the Determination of Mixing Ratios in Groundwater from Municipal Wells, Madison, Wisconsin, USA. Geosci. J. 2023, 27, 367–383. [Google Scholar] [CrossRef]
- Fan, C.; Feng, X.-T.; Zhao, J.; Yang, C.-X.; Jiang, M.-F. Time-Dependent Asymmetric Instability in a Deep TBM Tunnel Due to the Combination of Mesoscopic Rock Heterogeneity and Triaxial Stress. Rock Mech. Rock Eng. 2025, 58, 1995–2011. [Google Scholar] [CrossRef]
- Cheng, P.; Zhao, L.; Luo, Z.; Li, L.; Li, Q.; Deng, X.; Peng, W. Analytical Solution for the Limiting Drainage of a Mountain Tunnel Based on Area-Well Theory. Tunn. Undergr. Space Technol. 2019, 84, 22–30. [Google Scholar] [CrossRef]










Disclaimer/Publisher’s Note: The statements, opinions and data contained in all publications are solely those of the individual author(s) and contributor(s) and not of MDPI and/or the editor(s). MDPI and/or the editor(s) disclaim responsibility for any injury to people or property resulting from any ideas, methods, instructions or products referred to in the content. |
© 2026 by the authors. Licensee MDPI, Basel, Switzerland. This article is an open access article distributed under the terms and conditions of the Creative Commons Attribution (CC BY) license.
Share and Cite
Cai, Z.; Hu, W.; Wu, X.; Xu, Z.; Ma, Y. The Effect of Hydrogeological Heterogeneity on Groundwater Flow Field at Tunnel Site: A 2D Synthetic Study of Single and Multiple Tunnels. Hydrology 2026, 13, 44. https://doi.org/10.3390/hydrology13020044
Cai Z, Hu W, Wu X, Xu Z, Ma Y. The Effect of Hydrogeological Heterogeneity on Groundwater Flow Field at Tunnel Site: A 2D Synthetic Study of Single and Multiple Tunnels. Hydrology. 2026; 13(2):44. https://doi.org/10.3390/hydrology13020044
Chicago/Turabian StyleCai, Zhijie, Weini Hu, Xiujie Wu, Zhongyuan Xu, and Yifei Ma. 2026. "The Effect of Hydrogeological Heterogeneity on Groundwater Flow Field at Tunnel Site: A 2D Synthetic Study of Single and Multiple Tunnels" Hydrology 13, no. 2: 44. https://doi.org/10.3390/hydrology13020044
APA StyleCai, Z., Hu, W., Wu, X., Xu, Z., & Ma, Y. (2026). The Effect of Hydrogeological Heterogeneity on Groundwater Flow Field at Tunnel Site: A 2D Synthetic Study of Single and Multiple Tunnels. Hydrology, 13(2), 44. https://doi.org/10.3390/hydrology13020044

