Experimental Data-Driven Machine Learning Analysis for Prediction of PCM Charging and Discharging Behavior in Portable Cold Storage Systems
Abstract
1. Introduction
2. Literature Review
3. Methodology
3.1. Dataset Preparation
3.1.1. Dataset Structure
3.1.2. Preprocessing Steps
- Data Cleaning: Column labels that were inconsistent (e.g., °C, etc.) were harmonized, and any duplicate or unrecorded entries were properly managed.
- Categorical Encoding: The operation mode between charging and discharging and the identifiers of the layout were encoded into a number that would be used in ML algorithms.
- Scaling and Normalization: Continuous variables, like time and temperature, were normalized to avoid bias due to the different ranges of input variables.
- Temporal Consideration: Since the data was time-lapsed, the division of training and test data occurred in the temporal context; hence, the occurrence of future values in the past was avoided.
3.1.3. Train–Test Split
3.1.4. Dataset Illustration
3.1.5. Consistency Across Approaches
3.2. Model Implementation
- Random Forest (RF)
- Extreme Gradient Boosting (XGBoost)
- Support Vector Regression (SVR)
- K-Nearest Neighbors (KNNs)
3.2.1. Training Process
- Random Forest (RF): This employed bootstrap sampling (sampling with replacement) to form several training subsets. Individual trees were trained, and the averaged results of all trees were predicted.
- XGBoost: A boosting scheme was used, with the trees being constructed in order. The trees reduced the loss of the preceding model by minimizing the loss function via gradient descent.
- SVR: It was trained with the e-insensitive loss function, whereby one neglects a small error and punishes a bigger error. To gain nonlinear patterns, kernel transformations (RBFs) were implemented.
- KNNs: These trained a distance metric (Euclidean distance) to find the K-Nearest Neighbors of each input. The computations of predictions were based on the average temperature of these neighbors, and near neighbors had a more significant impact in the weighted form.
3.2.2. Evaluation Metrics
- Mean Squared Error (MSE): The MSE is used to measure the mean squared error between the actual and predicted values and punishes large errors.
- Mean Absolute Error (MAE): This is the average of the difference between the predicted and the actual values, which presents interpretability in the same terms as the target variable.
- Coefficient of Determination (R2): This is the percentage of variance in the dependent variable that is covered by the model. An increased R2 is a sign of superior predictive power.
- Mean Absolute Percentage Error (MAPE): The error in prediction is expressed as a percentage, which is beneficial in explaining relative performance.
- Accuracy (%): This is computed as 100 MAPE and is an intuitive way of measuring the correctness of a model.
- Dataset Acquisition: PCM cycles of charging/discharging data.
- Data Cleaning, Preprocessing, Scaling, and Feature Engineering.
- Model Selection and Training: RF, XGBoost, SVR and KNNs are implemented.
- Model Validation: Training/validation split and K-fold cross-validation.
- Comparison and Prediction: Expected PCM temperature profiles were observed in comparison with experimental and numerical variables.
3.2.3. Computational Cost and Considerations
4. Results and Discussion
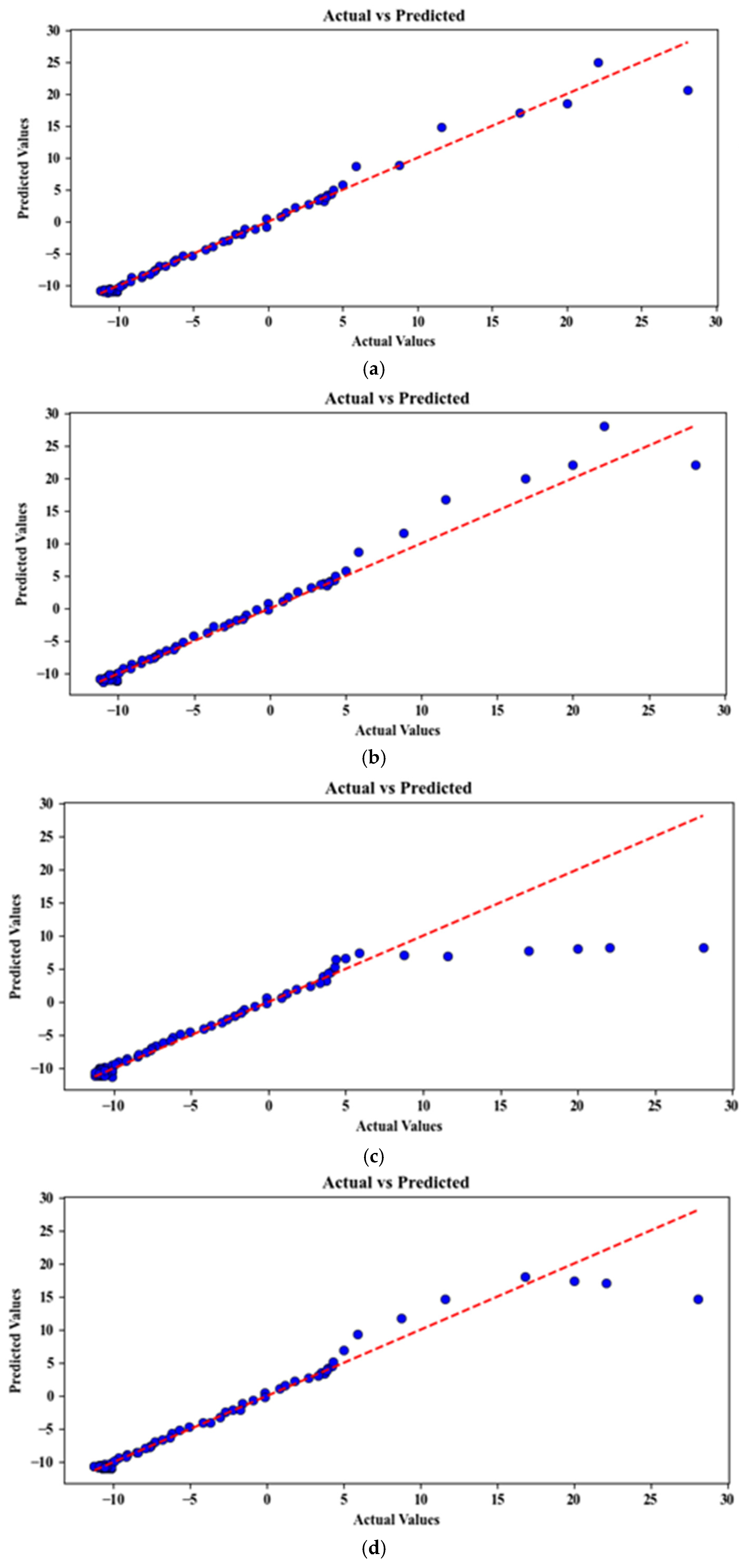
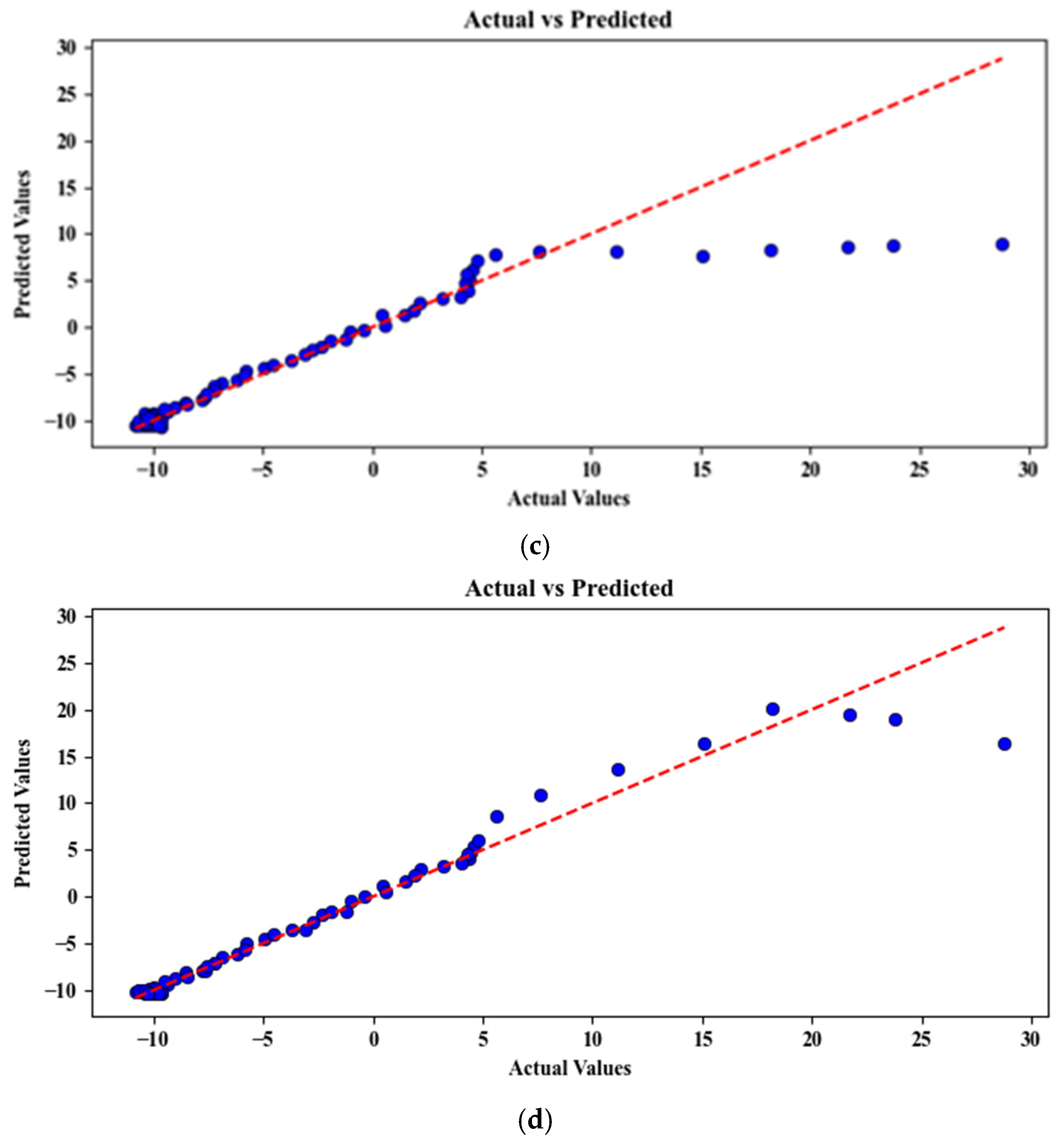
4.1. Charging Case
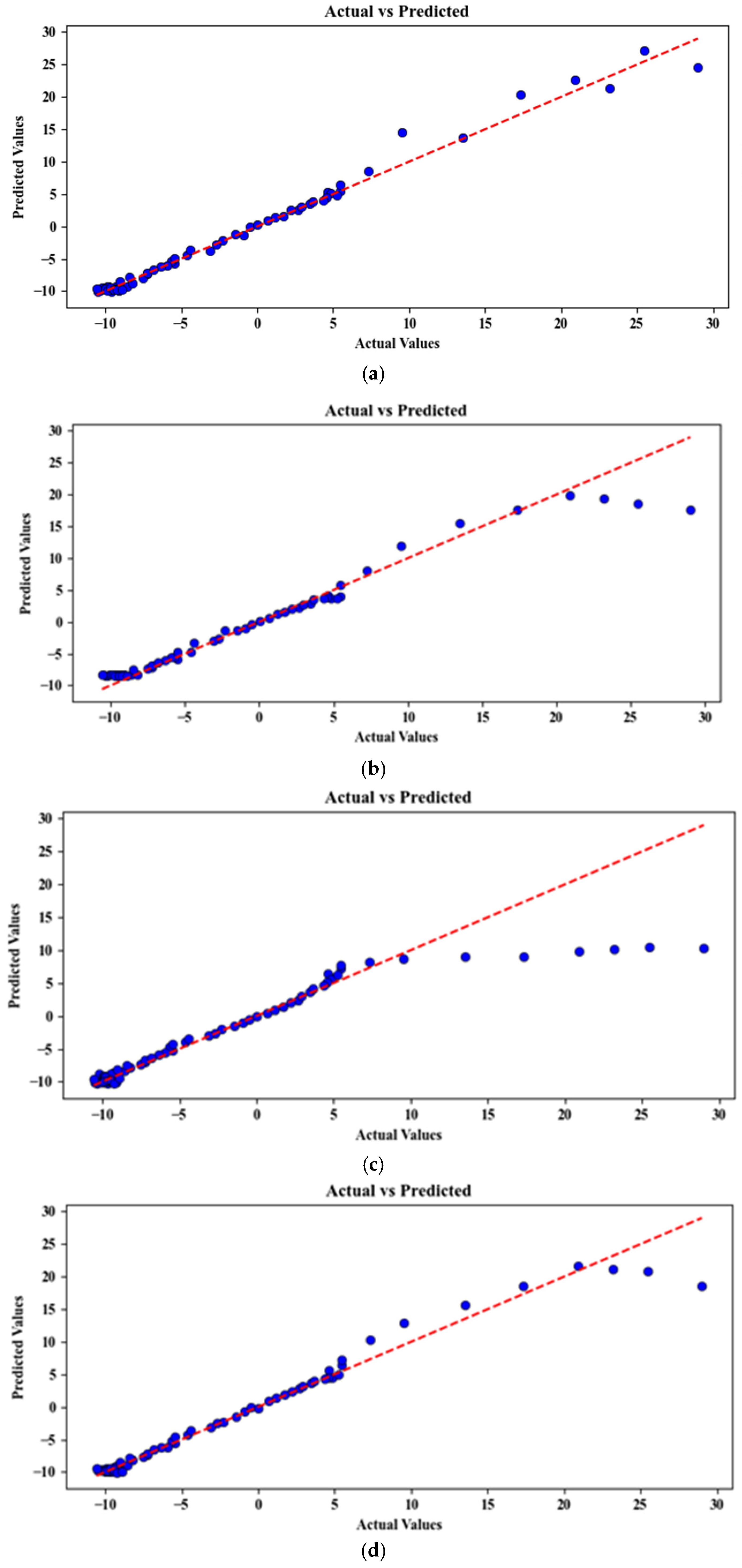
4.2. Discharging Case
5. Conclusions
Author Contributions
Funding
Institutional Review Board Statement
Informed Consent Statement
Data Availability Statement
Conflicts of Interest
References
- Karoney, E.M.; Molelekoa, T.; Bill, M.; Siyoum, N.; Korsten, L. Global research network analysis of fresh produce postharvest technology: Innovative trends for loss reduction. Postharvest Biol. Technol. 2024, 208, 112642. [Google Scholar] [CrossRef]
- Khan, A.A.; Siddiqui, Y.; Siddique, K.H.; Bobo, J.A.; Ali, A. Minimizing postharvest food losses: A vital strategy to alleviate food insecurity and malnutrition in developing nations: A review. Discov. Food 2024, 4, 145. [Google Scholar] [CrossRef]
- McLay, A.; Morant, G.; Breisch, K.; Rodwell, J.; Rayburg, S. Practices to Improve the Sustainability of Australian Cold Storage Facilities. Sustainability 2024, 16, 4584. [Google Scholar] [CrossRef]
- Ouaouja, Z.; Ousegui, A.; Toublanc, C.; Rouaud, O.; Havet, M. Phase Change Materials for Cold Thermal Energy Storage applications: A critical review of conventional materials and the potential of bio-based alternatives. J. Energy Storage 2025, 110, 115339. [Google Scholar] [CrossRef]
- Yenare, R.R.; Sonawane, C.R.; Sur, A.; Singh, B.; Panchal, H.; Kumar, A.; Sadasivuni, K.K.; Siddiqui, I.H.; Bhalerao, Y. A comprehensive review of portable cold storage: Technologies, applications, and future trends. Alex. Eng. J. 2024, 94, 23–33. [Google Scholar] [CrossRef]
- Aloe, C.M.; De Maio, A. Balancing Temperature and Humidity Control in Storage Location Assignment: An Optimization Perspective in Refrigerated Warehouses. Sustainability 2025, 17, 7477. [Google Scholar] [CrossRef]
- Ouaouja, Z.; Havet, M.; Rouaud, O.; Toublanc, C.; Ousegui, A. Thermal properties and performance of glycerol-water-NaCl phase change material for cold chain applications. J. Energy Storage 2025, 126, 117045. [Google Scholar] [CrossRef]
- Kang, Z.; Tan, R.; Zhou, W.; Qin, Z.; Liu, S. Numerical simulation and optimization of a phase-change energy storage box in a modular mobile thermal energy supply system. Sustainability 2023, 15, 13886. [Google Scholar] [CrossRef]
- Bacellar, D.; Alam, T.; Ling, J.; Aute, V. A Study on Computational Cost Reduction of Simulations of Phase-Change Material (PCM) Embedded Heat Exchangers. In Proceedings of the International Refrigeration and Air Conditioning Conference, West Lafayette, IN, USA, 24–28 May 2021. [Google Scholar]
- Calati, M.; Hooman, K.; Mancin, S. Thermal storage based on phase change materials (PCMs) for refrigerated transport and distribution applications along the cold chain: A review. Int. J. Thermofluids 2022, 16, 100224. [Google Scholar] [CrossRef]
- Zhang, X.; Shi, Q.; Luo, L.; Fan, Y.; Wang, Q.; Jia, G. Research progress on the phase change materials for cold thermal energy storage. Energies 2021, 14, 8233. [Google Scholar] [CrossRef]
- Maiorino, A.; Petruzziello, F.; Aprea, C. Refrigerated transport: State of the art, technical issues, innovations and challenges for sustainability. Energies 2021, 14, 7237. [Google Scholar] [CrossRef]
- Riahi, A.; Shafii, M.B. Experimental assessment of using phase change materials in vapor compression refrigeration systems for condenser pre-cooling. Heliyon 2024, 10, e40259. [Google Scholar] [CrossRef]
- Harun-Or-Rashid, M.; Hasan, M.T.; Bin Alam, T.B.; Hossain, S. Energy efficient refrigeration system using latent heat storage, PCM. Int. J. Thermofluids 2024, 23, 100717. [Google Scholar] [CrossRef]
- He, S.; Chen, Z.; Wang, W.; Chen, Q.; Tang, L.; Huang, Y. Experimental study on an improved direct-contact thermal energy storage container. J. Energy Storage 2024, 102, 114201. [Google Scholar] [CrossRef]
- Kareem, B.E.; Adham, A.M.; Yaqob, B.N. Experimental analysis of air-multiple pcm heat exchanger in evaporative cooling systems for supply air temperature stabilization. J. Build. Eng. 2024, 82, 108269. [Google Scholar] [CrossRef]
- Wu, K.; Zhao, H.; Wang, Y. Cold Storage and Release Characteristics of Phase Change Cold Storage Plate with Non-Uniform Fins. Energies 2024, 17, 3610. [Google Scholar] [CrossRef]
- Li, Z.; Sha, Y.; Zhang, X. Research on phase change cold storage materials and innovative applications in air conditioning systems. Energies 2024, 17, 4365. [Google Scholar] [CrossRef]
- Hang, C.; Sun, S.; Zhang, H.; Rong, W.; Xu, S.; Ma, G. Experimental study on portable cold storage box with phase change material packages. Therm. Sci. 2025, 127. [Google Scholar] [CrossRef]
- Efatinasab, E.; Irannezhad, N.; Rampazzo, M.; Diani, A. Machine and deep learning driven models for the design of heat exchangers with micro-finned tubes. Energy AI 2024, 16, 100370. [Google Scholar] [CrossRef]
- Suzuki, A.; Nakatani, H.; Kobashi, M. Machine learning surrogate modeling toward the design of lattice-structured heat sinks fabricated by additive manufacturing. Mater. Des. 2023, 230, 111969. [Google Scholar] [CrossRef]
- Zhao, Z.; Wang, Y.; Zhang, W.; Ba, Z.; Sun, L. Physics-informed neural networks in heat transfer-dominated multiphysics systems: A comprehensive review. Eng. Appl. Artif. Intell. 2025, 157, 111098. [Google Scholar] [CrossRef]
- Chen, Y.; Gong, W.; Obrecht, C.; Kuznik, F. A review of machine learning techniques for building electrical energy consumption prediction. Energy AI 2025, 21, 100518. [Google Scholar] [CrossRef]
- Ayoola, R.B.; Ilori, O.M.; Perera, N.; Mateo-Garcia, M.; Akinyemi, K.; Boyd, D.; Leonard, M. Data-driven optimisation of residential air-to-water heat pump performance using IoT and machine learning. Energy Build. 2025, 348, 116352. [Google Scholar] [CrossRef]
- Hsu, P.C.; Gao, L.; Hwang, Y. Comparative study of LSTM and ANN models for power consumption prediction of variable refrigerant flow (VRF) systems in buildings. Int. J. Refrig. 2025, 169, 55–68. [Google Scholar] [CrossRef]
- D’Aquilio, A.; Ebrahim, H.; Crobu, E. A surrogate CFD model using Machine Learning for fast design explorations of the indoor environment. In Building Simulation; IBPSA: Britton, SD, USA, 2023; Volume 18, pp. 2138–2145. [Google Scholar]
- Qian, W.; Fang, W.; Tian, Y.; Dai, G.; Yan, T.; Yang, S.; Wang, P. Data-Driven Prediction of Li-Ion Battery Thermal Behavior: Advances and Applications in Thermal Management. Processes 2025, 13, 2769. [Google Scholar] [CrossRef]
- Tian, M.; Mu, H.; Liu, T.; Li, M.; Ding, D.; Zhao, J. Physics-informed machine learning-based real-time long-horizon temperature fields prediction in metallic additive manufacturing. Commun. Eng. 2025, 4, 168. [Google Scholar] [CrossRef]
- Li, D.; Qi, Z.; Zhou, Y.; Elchalakani, M. Machine Learning Applications in Building Energy Systems: Review and Prospects. Buildings 2025, 15, 648. [Google Scholar] [CrossRef]










| Property | Unit | Value |
|---|---|---|
| Melting Temperature | °C | 4 |
| Density (Solid) | kg/m3 | 880 |
| Density (Liquid) | kg/m3 | 760 |
| Latent Heat of Fusion | kJ/kg | 230 |
| Specific Heat (Solid) | kJ/kg·K | 2.1 |
| Specific Heat (Liquid) | kJ/kg·K | 2.3 |
| Thermal Conductivity (Solid) | W/m·K | 0.2 |
| Thermal Conductivity (Liquid) | W/m·K | 0.19 |
| Variable Name | Type | Unit | Role in Model |
|---|---|---|---|
| Time | Continuous | min | Independent variable |
| Layout_1_Temp | Continuous | °C | Dependent variable |
| Layout_2_Temp | Continuous | °C | Dependent variable |
| Layout_3_Temp | Continuous | °C | Dependent variable |
| Mode (Charge/Discharge) | Categorical | – | Categorical input |
| Model | Hyperparameter | Tuned Value |
|---|---|---|
| Random Forest (RF) | Number of trees (n_estimators) | 200 |
| Maximum tree depth (max_depth) | 12 | |
| Minimum samples per split (min_samples_split) | 5 | |
| Minimum samples per leaf (min_samples_leaf) | 2 | |
| Feature selection (max_features) | sqrt | |
| XGBoost | Number of trees (n_estimators) | 150 |
| Learning rate (learning_rate) | 0.05 | |
| Maximum tree depth (max_depth) | 6 | |
| Subsample ratio (subsample) | 0.8 | |
| Column sampling (colsample_bytree) | 0.8 | |
| Support Vector Regression (SVR) | Kernel type | RBF |
| Regularization parameter (C) | 10 | |
| Kernel width (γ) | 0.1 | |
| Insensitive loss (ε) | 0.1 | |
| K-Nearest Neighbors (KNNs) | Number of neighbors (K) | 5 |
| Distance metric | Euclidean | |
| Weighting scheme | distance—weighted |
| Target Variable | Model | MSE (Mean) | MAE (Mean) | R2 (Mean) | MAPE (Mean %) | Accuracy (Mean %) |
|---|---|---|---|---|---|---|
| Layout_1_Temp | Random Forest | 1.051905 | 0.582058 | 0.985517 | 24.190 | 75.810 |
| XGBoost | 3.631906 | 1.129440 | 0.955929 | 17.860 | 82.140 | |
| SVR | 13.274185 | 1.419117 | 0.894465 | 18.038 | 81.962 | |
| KNN | 2.309098 | 0.681024 | 0.977861 | 22.136 | 77.864 | |
| Layout_2_Temp | Random Forest | 0.969371 | 0.503068 | 0.988251 | 10.734 | 89.266 |
| XGBoost | 1.675723 | 0.745464 | 0.977619 | 16.845 | 83.155 | |
| SVR | 13.187575 | 1.394042 | 0.891301 | 15.930 | 84.070 | |
| KNN | 2.873345 | 0.720324 | 0.972480 | 12.480 | 87.520 | |
| Layout_3_Temp | Random Forest | 1.183204 | 0.473205 | 0.988136 | 20.445 | 79.555 |
| XGBoost | 1.937054 | 0.735380 | 0.978071 | 22.139 | 77.861 | |
| SVR | 11.539059 | 1.257540 | 0.900454 | 19.895 | 80.105 | |
| KNN | 3.281776 | 0.697586 | 0.970102 | 16.745 | 83.255 |
| Target Variable | Model | MSE (Mean) | MAE (Mean) | R2 (Mean) | MAPE (Mean %) | Accuracy (Mean %) |
|---|---|---|---|---|---|---|
| Layout_1_Temp | Random Forest | 0.077382 | 0.215990 | 0.992488 | 10.788 | 89.212 |
| XGBoost | 0.512570 | 0.511339 | 0.965034 | 18.955 | 81.045 | |
| SVR | 0.363858 | 0.418270 | 0.975505 | 15.143 | 84.857 | |
| KNNs | 0.134822 | 0.197855 | 0.992162 | 9.899 | 90.101 | |
| Layout_2_Temp | Random Forest | 0.130327 | 0.276456 | 0.984203 | 12.067 | 87.933 |
| XGBoost | 0.331108 | 0.438961 | 0.975314 | 13.664 | 86.336 | |
| SVR | 0.104303 | 0.267790 | 0.990200 | 36.686 | 63.314 | |
| KNNs | 0.059894 | 0.125264 | 0.995810 | 16.444 | 83.556 | |
| Layout_3_Temp | Random Forest | 0.149542 | 0.220490 | 0.990504 | 8.050 | 91.950 |
| XGBoost | 0.375157 | 0.407409 | 0.976732 | 15.619 | 84.381 | |
| SVR | 0.767699 | 0.564019 | 0.962312 | 24.438 | 75.562 | |
| KNNs | 0.434594 | 0.278795 | 0.981139 | 18.595 | 81.405 |
Disclaimer/Publisher’s Note: The statements, opinions and data contained in all publications are solely those of the individual author(s) and contributor(s) and not of MDPI and/or the editor(s). MDPI and/or the editor(s) disclaim responsibility for any injury to people or property resulting from any ideas, methods, instructions or products referred to in the content. |
© 2026 by the authors. Licensee MDPI, Basel, Switzerland. This article is an open access article distributed under the terms and conditions of the Creative Commons Attribution (CC BY) license.
Share and Cite
Yenare, R.R.; Sonawane, C.; Roy, A.; Landini, S. Experimental Data-Driven Machine Learning Analysis for Prediction of PCM Charging and Discharging Behavior in Portable Cold Storage Systems. Sustainability 2026, 18, 1467. https://doi.org/10.3390/su18031467
Yenare RR, Sonawane C, Roy A, Landini S. Experimental Data-Driven Machine Learning Analysis for Prediction of PCM Charging and Discharging Behavior in Portable Cold Storage Systems. Sustainability. 2026; 18(3):1467. https://doi.org/10.3390/su18031467
Chicago/Turabian StyleYenare, Raju R., Chandrakant Sonawane, Anindita Roy, and Stefano Landini. 2026. "Experimental Data-Driven Machine Learning Analysis for Prediction of PCM Charging and Discharging Behavior in Portable Cold Storage Systems" Sustainability 18, no. 3: 1467. https://doi.org/10.3390/su18031467
APA StyleYenare, R. R., Sonawane, C., Roy, A., & Landini, S. (2026). Experimental Data-Driven Machine Learning Analysis for Prediction of PCM Charging and Discharging Behavior in Portable Cold Storage Systems. Sustainability, 18(3), 1467. https://doi.org/10.3390/su18031467

