Sign in to use this feature.

Years

Between: -

Subjects

remove_circle_outline
remove_circle_outline
remove_circle_outline
remove_circle_outline
remove_circle_outline
remove_circle_outline
remove_circle_outline
remove_circle_outline
remove_circle_outline

Journals

remove_circle_outline
remove_circle_outline
remove_circle_outline
remove_circle_outline
remove_circle_outline
remove_circle_outline

Article Types

Countries / Regions

remove_circle_outline
remove_circle_outline
remove_circle_outline
remove_circle_outline

Search Results (422)

Search Parameters:
Keywords = discharge scheduling

Order results
Result details
Results per page
Select all
Export citation of selected articles as:
36 pages, 1229 KB  
Article
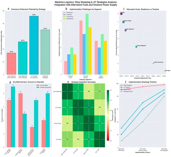
Slow Steaming and Just-In-Time (JIT) Arrival Strategies in Maritime Logistics: Exploratory Analysis on Shipping Segments and Potential Challenges for Dry Bulk Carriers
by Angelos A. Menelaou, Sergey Popravko and Illya Bronnikov
J. Mar. Sci. Eng. 2026, 14(3), 299; https://doi.org/10.3390/jmse14030299 - 3 Feb 2026
Viewed by 40
Abstract
The maritime industry is undergoing significant transformation, necessitating a reassessment of operational strategies, particularly for bulk carriers. Unlike container ships or ferries, which benefit from speed optimisation and real-time operational adjustments, bulk carriers face distinct challenges arising from rigid scheduling practices and the [...] Read more.
The maritime industry is undergoing significant transformation, necessitating a reassessment of operational strategies, particularly for bulk carriers. Unlike container ships or ferries, which benefit from speed optimisation and real-time operational adjustments, bulk carriers face distinct challenges arising from rigid scheduling practices and the inherent complexities of cargo handling. Variability in loading and unloading processes, fluctuating discharge rates, and port congestion further constrain the practical implementation of Just-In-Time (JIT) arrival strategies in this segment. Through an exploratory analysis of major shipping segments, this study examines the structural challenges and operational limitations associated with the application of JIT port-arrival concepts in dry bulk shipping. Full article
(This article belongs to the Section Marine Environmental Science)
Show Figures

Figure 1

23 pages, 3663 KB  
Article
Enhancing Grid Sustainability Through Utility-Scale BESS: Flexibility via Time-Shifting Contracts and Arbitrage
by Stefano Lilla, Marco Missiroli, Alberto Borghetti, Fabio Tossani and Carlo Alberto Nucci
Sustainability 2026, 18(3), 1404; https://doi.org/10.3390/su18031404 - 30 Jan 2026
Viewed by 159
Abstract
The increasing penetration of renewable energy introduces significant challenges to grid stability and economic performance due to the intermittent and non-dispatchable nature of solar and wind generation. These fluctuations contribute to grid congestion, frequency control issues, and price volatility, reducing revenue predictability for [...] Read more.
The increasing penetration of renewable energy introduces significant challenges to grid stability and economic performance due to the intermittent and non-dispatchable nature of solar and wind generation. These fluctuations contribute to grid congestion, frequency control issues, and price volatility, reducing revenue predictability for renewable producers. It is then clear that the challenge of energy transition can be addressed by making the introduction of renewable sources into the electricity grid sustainable. Battery Energy Storage Systems (BESSs) have emerged as a flexibility resource providing time-shifting, frequency and voltage support, congestion management, and energy arbitrage. In response, several Transmission System Operators (TSOs), such as Terna in Italy in cooperation with photovoltaic (PV) and wind power producers, have initiated flexibility projects. However, these projects are limited and should be accompanied by liberalization measures that allow BESSs to be economically sustainable only under market conditions. This study evaluates the techno-economic feasibility of utility-scale BESSs either integrated into large PV/wind farms or stand-alone for providing grid flexibility services and profit increase for the producers. Both market conditions and TSO incentives will be considered. A two-step mixed integer linear (MILP) optimization approach is employed: first, an optimization schedules BESS charge and discharge operations based on historical generation and market data; second, the Net Present Value (NPV) is maximized to determine optimal system sizing and profit. The model is validated through real case studies and sensitivity analyses including BESS degradation, market volatility, and regulatory factors. The developed model is ultimately applied to compare the study cases, and the analysis shows that, under specific conditions, the arbitrage of a stand-alone BESS can be as profitable as the incentives offered by TSOs. Full article
(This article belongs to the Special Issue Sustainability Analysis of Renewable Energy Storage Technologies)
Show Figures

Figure 1

35 pages, 2226 KB  
Article
Life-Cycle Co-Optimization of User-Side Energy Storage Systems with Multi-Service Stacking and Degradation-Aware Dispatch
by Lixiang Lin, Yuanliang Zhang, Chenxi Zhang, Xin Li, Zixuan Guo, Haotian Cai and Xiangang Peng
Processes 2026, 14(3), 477; https://doi.org/10.3390/pr14030477 - 29 Jan 2026
Viewed by 171
Abstract
The integration of a user-side energy storage system (ESS) faces notable economic challenges, including high upfront investment, uncertainty in quantifying battery degradation, and fragmented ancillary service revenue streams, which hinder large-scale deployment. Conventional configuration studies often handle capacity planning and operational scheduling at [...] Read more.
The integration of a user-side energy storage system (ESS) faces notable economic challenges, including high upfront investment, uncertainty in quantifying battery degradation, and fragmented ancillary service revenue streams, which hinder large-scale deployment. Conventional configuration studies often handle capacity planning and operational scheduling at different stages, complicating consistent life-cycle valuation under degradation and multi-service participation. This paper proposes a life-cycle multi-service co-optimization model (LC-MSCOM) to jointly determine ESS power–energy ratings and operating strategies. A unified revenue framework quantifies stacked revenues from time-of-use arbitrage, demand charge management, demand response, and renewable energy accommodation, while depth of discharge (DoD)-related lifetime loss is converted into an equivalent degradation cost and embedded in the optimization. The model is validated on a modified IEEE benchmark system using real generation and load data. Results show that LC-MSCOM increases net present value (NPV) by 26.8% and reduces discounted payback period (DPP) by 12.7% relative to conventional benchmarks, and sensitivity analyses confirm robustness under discount-rate, inflation-rate, and tariff uncertainties. By coordinating ESS dispatch with distribution network operating limits (nodal power balance, voltage bounds, and branch ampacity constraints), the framework provides practical, investment-oriented decision support for user-side ESS deployment. Full article
36 pages, 838 KB  
Article
A Fuzzy-Based Multi-Stage Scheduling Strategy for Electric Vehicle Charging and Discharging Considering V2G and Renewable Energy Integration
by Bo Wang and Mushun Xu
Appl. Sci. 2026, 16(3), 1166; https://doi.org/10.3390/app16031166 - 23 Jan 2026
Viewed by 134
Abstract
The large-scale integration of electric vehicles (EVs) presents both challenges and opportunities for power grid stability and renewable energy utilization. Vehicle-to-Grid (V2G) technology enables EVs to serve as mobile energy storage units, facilitating peak shaving and valley filling while promoting the local consumption [...] Read more.
The large-scale integration of electric vehicles (EVs) presents both challenges and opportunities for power grid stability and renewable energy utilization. Vehicle-to-Grid (V2G) technology enables EVs to serve as mobile energy storage units, facilitating peak shaving and valley filling while promoting the local consumption of photovoltaic and wind power. However, uncertainties in renewable energy generation and EV arrivals complicate the scheduling of bidirectional charging in stations equipped with hybrid energy storage systems. To address this, this paper proposes a multi-stage rolling optimization framework combined with a fuzzy logic-based decision-making method. First, a bidirectional charging scheduling model is established with the objectives of maximizing station revenue and minimizing load fluctuation. Then, an EV charging potential assessment system is designed, evaluating both maximum discharge capacity and charging flexibility. A fuzzy controller is developed to allocate EVs to unidirectional or bidirectional chargers by considering real-time predictions of vehicle arrivals and renewable energy generation. Simulation experiments demonstrate that the proposed method consistently outperforms a greedy scheduling baseline. In large-scale scenarios, it achieves an increase in station revenue, elevates the regional renewable energy consumption rate, and provides an additional equivalent peak-shaving capacity. The proposed approach can effectively coordinate heterogeneous resources under uncertainty, providing a viable scheduling solution for EV-aggregated participation in grid services and enhanced renewable energy integration. Full article
Show Figures

Figure 1

41 pages, 5360 KB  
Article
Jellyfish Search Algorithm-Based Optimization Framework for Techno-Economic Energy Management with Demand Side Management in AC Microgrid
by Vijithra Nedunchezhian, Muthukumar Kandasamy, Renugadevi Thangavel, Wook-Won Kim and Zong Woo Geem
Energies 2026, 19(2), 521; https://doi.org/10.3390/en19020521 - 20 Jan 2026
Viewed by 246
Abstract
The optimal allocation of Photovoltaic (PV) and wind-based renewable energy sources and Battery Energy Storage System (BESS) capacity is an important issue for efficient operation of a microgrid network (MGN). The impact of the unpredictability of PV and wind generation needs to be [...] Read more.
The optimal allocation of Photovoltaic (PV) and wind-based renewable energy sources and Battery Energy Storage System (BESS) capacity is an important issue for efficient operation of a microgrid network (MGN). The impact of the unpredictability of PV and wind generation needs to be smoothed out by coherent allocation of BESS unit to meet out the load demand. To address these issues, this article proposes an efficient Energy Management System (EMS) and Demand Side Management (DSM) approaches for the optimal allocation of PV- and wind-based renewable energy sources and BESS capacity in the MGN. The DSM model helps to modify the peak load demand based on PV and wind generation, available BESS storage, and the utility grid. Based on the Real-Time Market Energy Price (RTMEP) of utility power, the charging/discharging pattern of the BESS and power exchange with the utility grid are scheduled adaptively. On this basis, a Jellyfish Search Algorithm (JSA)-based bi-level optimization model is developed that considers the optimal capacity allocation and power scheduling of PV and wind sources and BESS capacity to satisfy the load demand. The top-level planning model solves the optimal allocation of PV and wind sources intending to reduce the total power loss of the MGN. The proposed JSA-based optimization achieved 24.04% of power loss reduction (from 202.69 kW to 153.95 kW) at peak load conditions through optimal PV- and wind-based DG placement and sizing. The bottom level model explicitly focuses to achieve the optimal operational configuration of MGN through optimal power scheduling of PV, wind, BESS, and the utility grid with DSM-based load proportions with an aim to minimize the operating cost. Simulation results on the IEEE 33-node MGN demonstrate that the 20% DSM strategy attains the maximum operational cost savings of €ct 3196.18 (reduction of 2.80%) over 24 h operation, with a 46.75% peak-hour grid dependency reduction. The statistical analysis over 50 independent runs confirms the sturdiness of the JSA over Particle Swarm Optimization (PSO) and Osprey Optimization Algorithm (OOA) with a standard deviation of only 0.00017 in the fitness function, demonstrating its superior convergence characteristics to solve the proposed optimization problem. Finally, based on the simulation outcome of the considered bi-level optimization problem, it can be concluded that implementation of the proposed JSA-based optimization approach efficiently optimizes the PV- and wind-based resource allocation along with BESS capacity and helps to operate the MGN efficiently with reduced power loss and operating costs. Full article
(This article belongs to the Section A1: Smart Grids and Microgrids)
Show Figures

Figure 1

22 pages, 2589 KB  
Article
Optimal Bidding Strategy of Virtual Power Plant Incorporating Vehicle-to-Grid Electric Vehicles
by Honghui Zhang, Dejie Zhao, Hao Pan and Limin Jia
Energies 2026, 19(2), 465; https://doi.org/10.3390/en19020465 - 17 Jan 2026
Viewed by 184
Abstract
With the increasing penetration of renewable energy and electric vehicles (EVs), virtual power plants (VPPs) have become a key mechanism for coordinating distributed energy resources and flexible loads to participate in electricity markets. However, the uncertainties of renewable generation and EV user behavior [...] Read more.
With the increasing penetration of renewable energy and electric vehicles (EVs), virtual power plants (VPPs) have become a key mechanism for coordinating distributed energy resources and flexible loads to participate in electricity markets. However, the uncertainties of renewable generation and EV user behavior pose significant challenges to bidding strategies and real-time execution. This study proposes a two-stage optimal bidding strategy for VPPs by integrating vehicle-to-grid (V2G) technology. An aggregated EV schedulable-capacity model is established to characterize the time-varying charging and discharging capability boundaries of the EV fleet. A unified day-ahead and real-time optimization framework is further developed to ensure coordinated bidding and scheduling. Case studies on a modified IEEE-33 bus system demonstrate that the proposed strategy significantly enhances renewable energy utilization and market revenues, validating the effectiveness of coordinated V2G operation and multi-type flexible load control. Full article
Show Figures

Figure 1

17 pages, 1393 KB  
Article
Techno-Economic Assessment of Community Battery Participation in Energy and FCAS Markets with Customer Cost Reduction
by Umme Mumtahina, Ayman Iktidar and Sanath Alahakoon
Energies 2026, 19(2), 445; https://doi.org/10.3390/en19020445 - 16 Jan 2026
Viewed by 161
Abstract
This paper presents a comprehensive techno-economic assessment of a community battery energy storage system (BESS) participating concurrently in energy arbitrage and frequency control ancillary services (FCAS) markets, while also providing customer savings through coordinated demand management. The proposed framework employs a mixed-integer linear [...] Read more.
This paper presents a comprehensive techno-economic assessment of a community battery energy storage system (BESS) participating concurrently in energy arbitrage and frequency control ancillary services (FCAS) markets, while also providing customer savings through coordinated demand management. The proposed framework employs a mixed-integer linear programming (MILP) model to co-optimize the charging, discharging, and reserve scheduling of the battery under dynamic market conditions. The model explicitly incorporates key operational and economic factors such as round-trip efficiency, degradation cost, market-participation constraints, and revenue from multiple value streams. By formulating the optimization problem within this MILP structure, both the operational feasibility and the economic profitability of the system are evaluated over annual market cycles. Simulation results demonstrate that integrating FCAS participation with conventional energy arbitrage substantially enhances total revenue potential and improves asset utilization, compared with single-service operation. Furthermore, the coordinated management of community demand contributes to additional cost savings and supports local grid reliability. The findings highlight the critical role of co-optimized control and multi-market participation strategies in improving the financial viability and grid-support capabilities of community-scale BESS deployments. Full article
(This article belongs to the Section D: Energy Storage and Application)
Show Figures

Figure 1

26 pages, 2039 KB  
Article
Modeling and Optimization of AI-Based Centralized Energy Management for a Community PV-Battery System Using PSO
by Sree Lekshmi Reghunathan Pillai Sree Devi, Chinmaya Krishnan, Preetha Parakkat Kesava Panikkar and Jayesh Santhi Bhavan
Energies 2026, 19(2), 439; https://doi.org/10.3390/en19020439 - 16 Jan 2026
Viewed by 246
Abstract
The rapid rise in energy demand, urban electrification, and the increasing prevalence of Electric Vehicles (EV) have intensified the need for reliable and decentralized energy management solutions. This study proposes an AI-driven centralized control architecture for a community-based photovoltaic–battery energy storage system (PV–BESS) [...] Read more.
The rapid rise in energy demand, urban electrification, and the increasing prevalence of Electric Vehicles (EV) have intensified the need for reliable and decentralized energy management solutions. This study proposes an AI-driven centralized control architecture for a community-based photovoltaic–battery energy storage system (PV–BESS) to enhance energy efficiency and self-sufficiency. The framework integrates a central controller which utilizes the Particle Swarm Optimization (PSO) technique which receives the Long Short-Term Memory (LSTM) forecasting output to determine optimal photovoltaic generation, battery charging, and discharging schedules. The proposed system minimizes the grid dependence, reduces the operational costs and a stable power output is ensured under dynamic load conditions by coordinating the renewable resources in the community microgrid. This system highlights that the AI-based Particle Swarm Optimization will reduce the peak load import and it maximizes the energy utilization of the system compared to the conventional optimization techniques. Full article
Show Figures

Graphical abstract

21 pages, 2164 KB  
Article
Machine Learning-Based Prediction of Breakdown Voltage in High-Voltage Transmission Lines Under Ambient Conditions
by Mujahid Hussain, Muhammad Siddique, Farhan Hameed Malik, Zunaib Maqsood Haider and Ghulam Amjad Hussain
Eng 2026, 7(1), 36; https://doi.org/10.3390/eng7010036 - 10 Jan 2026
Viewed by 235
Abstract
Reliability and safety of high-voltage transmission lines are essential for stable and continuous operation of a power system. Environmental factors such as pressure, temperature, surface contamination, humidity, etc., significantly affect the dielectric strength of air, often causing unpredictable voltage breakdowns. This research presents [...] Read more.
Reliability and safety of high-voltage transmission lines are essential for stable and continuous operation of a power system. Environmental factors such as pressure, temperature, surface contamination, humidity, etc., significantly affect the dielectric strength of air, often causing unpredictable voltage breakdowns. This research presents a novel machine learning-based predictive framework that integrates Paschen’s Law with simulated and empirical data to estimate the breakdown voltage (Vbk) of transmission lines in various environmental conditions. The main contribution is to demonstrate that data-driven prediction of breakdown voltage (Vbk) using a hybrid machine learning model is in agreement with physical discharge theory. The model achieved root mean square error (RMSE) of 5.2% and mean absolute error (MAE) of 3.5% when validated against field data. Despite the randomness of avalanche breakdown, model predictions strongly match experimental measurements. This approach enables early detection of insulation stress, real-time monitoring, and optimises maintenance scheduling to reduce outages, costs, and safety risks. Its robustness is confirmed experimentally. Overall, this work advances the prediction of avalanche breakdown behaviour using machine learning. Full article
Show Figures

Figure 1

22 pages, 2835 KB  
Article
Research on Enhancing Disaster-Resilient Power Supply Capabilities in Distribution Networks Through Coordinated Clustering of Distributed PV Systems and Mobile Energy Storage System
by Yan Gao, Long Gao, Maosen Fan, Yuan Huang, Junchao Wang and Peixi Ma
Electronics 2026, 15(2), 299; https://doi.org/10.3390/electronics15020299 - 9 Jan 2026
Viewed by 223
Abstract
To enhance the power supply resilience of distribution networks with high-penetration distributed photovoltaic (PV) integration during extreme disasters, deploying Mobile Energy Storage Systems (MESSs) proves to be an effective countermeasure. This paper proposes an optimized operational strategy for distribution networks, integrating coordinated clustering [...] Read more.
To enhance the power supply resilience of distribution networks with high-penetration distributed photovoltaic (PV) integration during extreme disasters, deploying Mobile Energy Storage Systems (MESSs) proves to be an effective countermeasure. This paper proposes an optimized operational strategy for distribution networks, integrating coordinated clustering of distributed PV systems and MESS operation to ensure power supply during both pre-disaster prevention and post-disaster restoration phases. In the pre-disaster prevention phase, an improved Louvain algorithm is first applied for PV clustering to improve source-load matching efficiency within each cluster, thereby enhancing intra-cluster power supply security. Subsequently, under the worst-case scenarios of PV output fluctuations, a robust optimization algorithm is utilized to optimize the pre-deployment scheme of MESS. In the post-disaster restoration phase, cluster re-partitioning is performed with the goal of minimizing load shedding to ensure power supply, followed by reoptimizing the scheduling of MESS deployment and its charging/discharging power to maximize the improvement of load power supply security. Simulations on a modified IEEE 123-bus distribution network, which includes two MESS units and twenty-four PV systems, demonstrate that the proposed strategy improved the overall restoration rate from 68.98% to 86.89% and increased the PV utilization rate from 47.05% to 86.25% over the baseline case, confirming its significant effectiveness. Full article
Show Figures

Figure 1

22 pages, 1436 KB  
Article
Optimal Scheduling of Wind–Solar Power Generation and Coalbed Methane Well Pumping Systems
by Ying Gao, Jun Wang, Jiaojiao Yu, Youwu Li, Yue Zhang, Bin Liu, Xiaoyong Gao and Chaodong Tan
Processes 2026, 14(1), 176; https://doi.org/10.3390/pr14010176 - 5 Jan 2026
Viewed by 243
Abstract
With the integrated development of new energy and oil and gas production, introducing wind–solar–storage microgrids in coalbed methane well screw pump discharge systems enhances the renewable energy proportion while promoting green development. However, the cyclical, volatile, and random characteristics of wind and photovoltaic [...] Read more.
With the integrated development of new energy and oil and gas production, introducing wind–solar–storage microgrids in coalbed methane well screw pump discharge systems enhances the renewable energy proportion while promoting green development. However, the cyclical, volatile, and random characteristics of wind and photovoltaic generation create scheduling challenges, with insufficient green power consumption reducing renewable energy utilization efficiency and increasing grid dependence. This study establishes an operation scheduling optimization model for coalbed methane well screw pump discharge systems under wind–solar–storage microgrids, minimizing daily operation costs with screw pump rotational speed as decision variables. The model incorporates power constraints of generation units and production constraints of screw pumps, solved using particle swarm optimization. Results demonstrate that energy storage batteries effectively smooth wind and photovoltaic fluctuations, enhance regulation capabilities, and improve green power utilization while reducing grid purchases and system operation costs. At different coalbed methane extraction stages, the model optimally adjusts screw pump rotational speed according to renewable generation, ensuring high pump efficiency while minimizing operation costs, enhancing green power consumption capacity, and meeting daily drainage requirements. Full article
(This article belongs to the Special Issue Coalbed Methane Development Process)
Show Figures

Figure 1

25 pages, 1829 KB  
Article
A Water Resources Scheduling Model for Complex Water Networks Considering Multi-Objective Coordination
by Hui Bu, Chun Pan, Chunyang Liu, Yu Zhu, Zhuowei Yin, Zhengya Liu and Yu Zhang
Water 2026, 18(1), 124; https://doi.org/10.3390/w18010124 - 5 Jan 2026
Viewed by 328
Abstract
Complex water networks face prominent contradictions among flood control, water supply, and ecological protection, and traditional scheduling models struggle to address multi-dimensional water security challenges. To solve this problem, this study proposes a multi-objective coordinated water resources scheduling model for complex water networks, [...] Read more.
Complex water networks face prominent contradictions among flood control, water supply, and ecological protection, and traditional scheduling models struggle to address multi-dimensional water security challenges. To solve this problem, this study proposes a multi-objective coordinated water resources scheduling model for complex water networks, taking the Taihu Lake Basin as a typical case. First, a multi-objective optimization indicator system covering flood control, water supply, and aquatic ecological environment was constructed, including 12 key indicators such as drainage efficiency of key outflow hubs and water supply guarantee rate. Second, a dynamic variable weighting strategy was adopted to convert the multi-objective optimization problem into a single-objective one by adjusting indicator weights according to different scheduling periods. Finally, a combined solving mode integrating a basin water quantity-quality model and a joint scheduling decision model was established, optimized using the particle swarm optimization (PSO) algorithm. Under the 1991-Type 100-Year Return Period Rainfall scenario, three scheduling schemes were designed: a basic scheduling scheme and two enhanced discharge schemes modified by lowering the drainage threshold of the Xinmeng River Project. Simulation and decision results show that the enhanced discharge scheme with the lowest drainage threshold achieves the optimal performance with an objective function value of 98.8. Compared with the basic scheme, it extends the flood season drainage days of the Jiepai Hub from 32 to 43 days, increases the average flood season discharge of the Xinmeng River to the Yangtze River by 9.5%, and reduces the maximum water levels of Wangmuguan, Fangqian, Jintan, and Changzhou (III) stations by 5 cm, 5 cm, 4 cm, and 4 cm, respectively. This model effectively overcomes technical bottlenecks such as conflicting multi-objectives and complex water system structures, providing theoretical and technical support for multi-objective coordinated scheduling of water resources in complex water networks. Full article
Show Figures

Figure 1

11 pages, 455 KB  
Study Protocol
Effectiveness of Cardiopulmonary Exercise Testing as an Incentive to Enhance Outpatient Cardiac Rehabilitation Participation in Acute Coronary Syndrome Survivors: A Study Protocol for a Randomized Controlled Trial with Determinant Analysis
by Yuchun Lee, Chin-Yin Huang, Hungchin Ho and Yuan-Yang Cheng
J. Clin. Med. 2026, 15(1), 319; https://doi.org/10.3390/jcm15010319 - 1 Jan 2026
Viewed by 328
Abstract
Background: Despite clear evidence supporting the benefits of outpatient cardiac rehabilitation for acute coronary syndrome survivors, participation rates remain low. Many patients face person-level and system-level barriers for outpatient rehabilitation, and their motivation often wanes soon after discharge. Cardiopulmonary exercise testing provides [...] Read more.
Background: Despite clear evidence supporting the benefits of outpatient cardiac rehabilitation for acute coronary syndrome survivors, participation rates remain low. Many patients face person-level and system-level barriers for outpatient rehabilitation, and their motivation often wanes soon after discharge. Cardiopulmonary exercise testing provides individualized physiological information and may act as an external cue that enhances engagement, yet no randomized trial has evaluated whether announcing a scheduled test can influence rehabilitation attendance. Methods: This single-center, parallel-group, single-blind randomized controlled trial investigates whether informing patients during hospitalization that a cardiopulmonary exercise test will be conducted at their first rehabilitation visit increases early outpatient attendance. Patients with acute coronary syndrome are randomized 1:1 to receive either standard discharge education or the same education plus an exercise testing announcement. All other clinical care follows routine practice. The primary endpoint is completion of the first rehabilitation clinic visit within 30 days. Secondary outcomes include attending at least six rehabilitation sessions within 12 weeks, actual exercise testing completion, and any safety events. The analyses will follow the intention-to-treat principle and will use logistic regression and time-to-event models. The planned sample size is 200 participants. Full article
Show Figures

Figure 1

18 pages, 2278 KB  
Article
V2G System Optimization for Photovoltaic and Wind Energy Utilization: Bilevel Programming with Dual Incentives of Real-Time Pricing and Carbon Quotas
by Junfeng Cui, Xue Feng, Hongbo Zhu and Zongyao Wang
Mathematics 2026, 14(1), 114; https://doi.org/10.3390/math14010114 - 28 Dec 2025
Viewed by 200
Abstract
Considering the global objective of carbon emission reduction, this paper focuses on optimizing the operational efficiency of grid-connected electric vehicles (EVs) and promoting sustainable energy integration and thus proposes a novel dual-incentive mechanism combining real-time pricing (RTP) and carbon quotas. A core of [...] Read more.
Considering the global objective of carbon emission reduction, this paper focuses on optimizing the operational efficiency of grid-connected electric vehicles (EVs) and promoting sustainable energy integration and thus proposes a novel dual-incentive mechanism combining real-time pricing (RTP) and carbon quotas. A core of this study is the development of a bilevel programming model that effectively captures the strategic interaction between power suppliers (PS) and microgrid (MG) users. At the upper level, the model enables the PS to optimize electricity prices, achieving both revenue maximization and grid balance maintenance; at the lower level, it supports MGs in rational scheduling of EV charging/discharging, photovoltaic and wind energy (PWE) utilization, and load consumption, ensuring the fulfillment of user demands while maximizing MG profits. To address the non-convex factors in the model that hinder an efficient solution, another key is the design of a bilevel distributed genetic algorithm, which realizes efficient decentralized decision making and provides technical support for the practical application of the model. Through comprehensive simulations, the study verifies significant quantitative outcomes. The proposed algorithm converges after only 61 iterations, ensuring efficient solution performance. The average purchase price of electricity from the PS for the MG is USD 1.1, while the selling price of PWE sources from MG for the PS is USD 0.6. This effectively promotes the MG to prioritize the consumption of PWE sources and encourages the PS to repurchase the electricity generated by PWE sources. On average, carbon emissions decreased by approximately 300 g each time slot, and the average amount of carbon trading was around USD 8. Ultimately, this research delivers a practical and impactful solution for the development of MGs and the advancement of carbon reduction goals. Full article
(This article belongs to the Special Issue Applied Machine Learning and Soft Computing)
Show Figures

Figure 1

19 pages, 2216 KB  
Article
Research on Bi-Level Optimal Scheduling Strategy for Agricultural Park Integrated Energy System Considering External Meteorological Environmental Uncertainty
by Zeyi Wang, Yao Wang, Li Xie, Hongyu Sun, Xueshan Ni and Hua Zheng
Processes 2026, 14(1), 95; https://doi.org/10.3390/pr14010095 - 26 Dec 2025
Viewed by 220
Abstract
The Agricultural Park Integrated Energy System (APIES) is a key platform for integrating distributed renewable energy (DRE) with agricultural production. However, its economic operation and the stability of crop growth environments are severely challenged by bidirectional uncertainties from external meteorology. These include the [...] Read more.
The Agricultural Park Integrated Energy System (APIES) is a key platform for integrating distributed renewable energy (DRE) with agricultural production. However, its economic operation and the stability of crop growth environments are severely challenged by bidirectional uncertainties from external meteorology. These include the inherent variability of wind-solar generation and critical agricultural loads, such as supplementary lighting and temperature control, a challenge that existing models with static environmental parameters fail to address. To solve this, a bi-level optimization scheduling model for APIES considering meteorological uncertainty is proposed. The upper layer minimizes operation costs by quantifying uncertainties via triangular fuzzy chance constraints, with core constraints on DRE output, energy storage charging-discharging, and load shifting, solved by YALMIP-Gurobi linear programming. The lower layer maximizes crop growth environment satisfaction using a dynamic weight adaptive mechanism and NSGA-II multi-objective algorithm. The two layers iterate alternately for coordination. Using a small agricultural park in Xinjiang, China, as a case study, the results indicate that the proposed two-layer optimal scheduling model reduces costs by 10.8% compared to the traditional single-layer optimization model, and improves environmental satisfaction by 4.3% compared to the fixed-weight two-layer optimization model. Full article
Show Figures

Figure 1

Back to TopTop