Sign in to use this feature.

Years

Between: -

Subjects

remove_circle_outline
remove_circle_outline
remove_circle_outline
remove_circle_outline
remove_circle_outline
remove_circle_outline
remove_circle_outline
remove_circle_outline
remove_circle_outline

Journals

remove_circle_outline
remove_circle_outline
remove_circle_outline
remove_circle_outline
remove_circle_outline
remove_circle_outline
remove_circle_outline
remove_circle_outline
remove_circle_outline
remove_circle_outline
remove_circle_outline
remove_circle_outline
remove_circle_outline
remove_circle_outline
remove_circle_outline
remove_circle_outline
remove_circle_outline
remove_circle_outline
remove_circle_outline
remove_circle_outline
remove_circle_outline
remove_circle_outline
remove_circle_outline
remove_circle_outline
remove_circle_outline
remove_circle_outline
remove_circle_outline
remove_circle_outline
remove_circle_outline
remove_circle_outline
remove_circle_outline
remove_circle_outline
remove_circle_outline
remove_circle_outline
remove_circle_outline
remove_circle_outline

Article Types

Countries / Regions

remove_circle_outline
remove_circle_outline
remove_circle_outline
remove_circle_outline
remove_circle_outline
remove_circle_outline
remove_circle_outline
remove_circle_outline
remove_circle_outline

Search Results (4,115)

Search Parameters:
Keywords = direct projection

Order results
Result details
Results per page
Select all
Export citation of selected articles as:
16 pages, 2069 KB  
Article
Suppression Mechanism of Early-Age Autogenous Shrinkage Cracking in Low Water-to-Binder Ratio Cement-Based Materials Incorporating Ground Granulated Blast-Furnace Slag and Silica Fume
by Shuangxi Li, Guanglang You, Gang Yu, Chunmeng Jiang, Xinguang Xia and Dongzheng Yu
Materials 2026, 19(1), 131; https://doi.org/10.3390/ma19010131 (registering DOI) - 30 Dec 2025
Abstract
In hydraulic structures such as water control projects, spillway tunnels, and overflow dams that are subjected to high-velocity flow erosion, Concrete is required to exhibit high resistance to abrasion and cracking. While low water-to-binder ratio concrete can meet strength requirements, its inherent high [...] Read more.
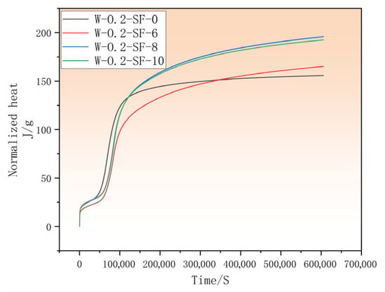
In hydraulic structures such as water control projects, spillway tunnels, and overflow dams that are subjected to high-velocity flow erosion, Concrete is required to exhibit high resistance to abrasion and cracking. While low water-to-binder ratio concrete can meet strength requirements, its inherent high shrinkage propensity often leads to cracking, seriously compromising long-term safety and durability under severe operating conditions. To address this engineering challenge, this study focuses on optimizing concrete performance through the synergistic combination of slag (GGBS) and silica fume (SF). This study systematically investigated the effects of incorporating GGBS (20–24%) and SF (6–10%) in a low water-to-binder ratio system with a fixed 70% cement content on key concrete properties. The evaluation was conducted through comprehensive tests including compressive strength, drying shrinkage, autogenous shrinkage, and hydration heat analysis. The results demonstrate that the blended system successfully achieves a synergistic improvement in both “high strength” and “low cracking risk.” Specifically, the incorporation of silica fume significantly enhances the compressive strength at all ages, providing a solid mechanical foundation for resisting high-velocity flow erosion. More importantly, compared to the pure cement system, the blended system not only delays the onset but also reduces the rate of early-age shrinkage, and lowers its ultimate autogenous shrinkage value. This characteristic is crucial for controlling the combined effects of thermal and shrinkage stresses from the source and preventing early-age cracking. Simultaneously, hydration heat analysis reveals that the blended system retards the heat release process, which helps mitigate the risk of thermal cracking. This study elucidates the regulatory mechanism of the GGBS-SF combination and provides a critical mix design basis and theoretical support for producing high-strength, high-abrasion-resistant, and low-shrinkage concrete in high-velocity flow environments, offering direct practical implications for engineering applications. Full article
(This article belongs to the Section Construction and Building Materials)
Show Figures

Figure 1

23 pages, 2963 KB  
Article
Compressive-Sensing-Based Fast Acquisition Algorithm Using Gram-Matrix Optimization via Direct Projection
by Fangming Zhou, Wang Wang, Yin Xiao and Chen Zhou
Electronics 2026, 15(1), 171; https://doi.org/10.3390/electronics15010171 (registering DOI) - 30 Dec 2025
Abstract
This paper proposes a compressive-sensing (CS) acquisition algorithm for low-power, high-dynamic GNSS receivers based on low-dimensional time-domain measurements, a non-iterative compressive-domain direct-projection peak-search pipeline, and a coherence-optimized sensing-matrix design. Unlike most existing GNSS-CS acquisition approaches that rely on explicit sparse-recovery formulations (e.g., OMP/BP/LS-type [...] Read more.
This paper proposes a compressive-sensing (CS) acquisition algorithm for low-power, high-dynamic GNSS receivers based on low-dimensional time-domain measurements, a non-iterative compressive-domain direct-projection peak-search pipeline, and a coherence-optimized sensing-matrix design. Unlike most existing GNSS-CS acquisition approaches that rely on explicit sparse-recovery formulations (e.g., OMP/BP/LS-type iterative reconstruction) to identify the delay–Doppler support—often incurring substantial computational burden and acquisition latency—the proposed method performs peak detection directly in the compressive measurement domain and is supported by unified Gram-matrix optimization and perturbation/detection analyses. Specifically, the measurement Gram matrix is optimized on the symmetric positive-definite (SPD) manifold to obtain a diagonally dominant and well-conditioned structure with reduced inter-column correlation, thereby bounding reconstruction-induced perturbations and preserving the main correlation peak. Simulation results show that the proposed scheme retains the low online complexity characteristic of direct-projection baselines while achieving a 2–3 dB acquisition sensitivity gain, and it requires substantially fewer operations than iterative OMP-based CS acquisition schemes whose cost scales approximately linearly with the sparsity level K. The proposed framework enables robust, low-latency acquisition suitable for resource-constrained GNSS receivers in high-dynamic environments. Full article
(This article belongs to the Section Microwave and Wireless Communications)
Show Figures

Figure 1

21 pages, 5372 KB  
Article
Hydrological Response of an Enclosed Karst Groundwater System to Drainage Induced by Tunnel Excavation in a Typical Anticline Geo-Structure
by Xiantao Xu, Qian Zhao, Xiangsheng Kong, Lei Zhang, Xiaojie Zhang, Tao Yu, Xiaowei Zhang and Qiang Xia
Water 2026, 18(1), 87; https://doi.org/10.3390/w18010087 (registering DOI) - 29 Dec 2025
Abstract
The drainage of groundwater in mountainous tunnel projects always leads to substantial decline of the regional water table, which may induce numerous environmental issues, such as spring depletion, surface subsidence, vegetation degradation, and impacts on local water supplies, especially in the enclosed karst [...] Read more.
The drainage of groundwater in mountainous tunnel projects always leads to substantial decline of the regional water table, which may induce numerous environmental issues, such as spring depletion, surface subsidence, vegetation degradation, and impacts on local water supplies, especially in the enclosed karst aquifers of anticlines in the area, such as the Jura mountain type. A systematic hydrological monitoring was conducted during the excavation of the Wufu Tunnel in Chongqing, China. The monitoring data includes discharge rate and water level collected from tunnels, boreholes, coal mines, springs, and ponds, respectively. Hydrological responses of karst aquifers and surface water bodies to tunnel drainage and precipitation were investigated by statistical analysis, Mann–Kendall test, heat map, and wavelet analysis. Results show that the enclosed karst water system has strong hydraulic connections and good water storage conditions. Tunnel drainage is the dominant factor causing dynamic changes at monitoring points, while the influence of rainfall is relatively limited. Borehole water levels and coal mine drainage have a close correlation with tunnel inflow, while springs are influenced by both rainfall and tunnel drainage. Few pond monitoring points are related to rainfall. Tunnel drainage has transformed the regional groundwater dynamic conditions, causing local groundwater flow direction reversal and reconstructing the groundwater recharge-flow-discharge pattern. Full article
Show Figures

Figure 1

24 pages, 4151 KB  
Article
Technical and Economic Impact of Geometallurgical Variables in a Mining Project
by Leone Freire da Silva, Kelly Cristina Ferreira, Leonardo Junior Fernandes Campos and Douglas Batista Mazzinghy
Minerals 2026, 16(1), 40; https://doi.org/10.3390/min16010040 (registering DOI) - 29 Dec 2025
Abstract
The inherent complexity of the decision-making process in early-stage mining projects demands high-risk investments, often based on limited and low-confidence data. The geometallurgical approach offers an opportunity to mitigate uncertainties through the development of mathematical models to predict key process variables, such as [...] Read more.
The inherent complexity of the decision-making process in early-stage mining projects demands high-risk investments, often based on limited and low-confidence data. The geometallurgical approach offers an opportunity to mitigate uncertainties through the development of mathematical models to predict key process variables, such as recovery and specific energy. This research quantifies the economic and technical impact of incrementally increasing the number of variables in a geometallurgical model of a copper-gold-silver polymetallic deposit during the Pre-Feasibility Study (PFS) phase. Regression models were developed to correlate grades (copper, gold, and silver) and metallurgical variables (recovery and specific energy). The models were applied to eight geometallurgical block models, and technical and economic results were generated using Direct Block Sequencing (DBS). Across all scenarios, increased model complexity had a modest effect on production metrics but caused notable variation in Net Present Value (NPV), reaching a 6.92% difference between scenarios. Thus, adding more geometallurgical variables is justified not by higher production tonnage but by the potential to enhance and stabilize NPV through improved sequencing based on key value drivers (costs, recoveries and processing time). These findings highlight the value of early geometallurgical modeling, even with limited data, for producing a more integrated and improved economic assessment. Full article
(This article belongs to the Special Issue Geometallurgy Applied to Mine Planning)
Show Figures

Figure 1

24 pages, 1212 KB  
Article
Assessing the Performance of Green Office Buildings in Major US Cities
by Svetlana Pushkar
Buildings 2026, 16(1), 158; https://doi.org/10.3390/buildings16010158 (registering DOI) - 29 Dec 2025
Abstract
This study examines LEED certification strategies for Existing Buildings 4.1 (LEED-EB v4.1)-certified office projects in major US cities and their relationship with local green building policies. LEED-EB v4.1 is the latest program with an appropriate sample size to conduct significance tests and draw [...] Read more.
This study examines LEED certification strategies for Existing Buildings 4.1 (LEED-EB v4.1)-certified office projects in major US cities and their relationship with local green building policies. LEED-EB v4.1 is the latest program with an appropriate sample size to conduct significance tests and draw robust statistical inferences. LEED-EB v4.1 features six performance indicators: “transportation”, “water”, “energy”, “waste”, “indoor environmental quality (IEQ)”, and “overall LEED”. The purpose of this study was to evaluate LEED-EB v4.1 gold-certified office projects in San Francisco (SF), New York City (NYC), and Washington, D.C. (DC). Exact Wilcoxon–Mann–Whitney and Cliff’s δ tests were used to compare the same LEED variables between two cities. Pearson’s or Spearman’s correlation tests were used to assess the strength/direction between two LEED variables, and a simple linear regression (SLR) model was applied to predict the overall LEED variable. It was found that SF outperforms NYC in “IEQ” (δ = 0.53 and p = 0.009) and outperforms both NYC and DC in “overall LEED” (δ = 0.66 and p = 0.001; δ = 0.59 and p = 0.001). “Energy” and “waste” were positively and significantly correlated with “overall LEED” in NYC (r = 0.61 and p = 0.001; r = 0.40 and p = 0.044, respectively) and DC (r = 0.83 and p < 0.001; r = 0.65 and p = 0.009, respectively). The SLR results showed that one-point increases in “energy” and “waste” scores resulted in an increase in NYC’s overall LEED scores by approximately 0.78 and 1.72 points, respectively, and one-point increases in “energy” and “waste” scores resulted in an increase in DC’s overall LEED score by approximately 0.96 and 1.97 points, respectively. It is hypothesized that the difference in the “IEQ” of LEED-EB-certified office buildings between SF and NYC may be due to differences in these cities’ green building policies. According to the “overall LEED” indicator, office buildings in SF are more sustainable than those in NYC and DC. “Energy” and “waste” showed a stronger positive relationship with “overall LEED” in NYC and DC than the other indicators. However, the correlation analysis for SF presented in the Limitations Section is speculative due to the small sample size (n = 11). Full article
(This article belongs to the Section Building Energy, Physics, Environment, and Systems)
Show Figures

Figure 1

27 pages, 1571 KB  
Article
Improved Doubly Robust Inference with Nonprobability Survey Samples Using Finite Mixture Models: Application to Health Monitoring SMS Survey Data
by Ziying Yang, Xu Wang, Wenjing Wu and Jing Gu
Mathematics 2026, 14(1), 118; https://doi.org/10.3390/math14010118 - 28 Dec 2025
Viewed by 42
Abstract
Nonprobability sampling has been increasingly used in epidemiologic research, yet direct inference based on such samples is subject to selection bias. Current adjustment methods commonly rely on a reference probability-based survey sample that shares a set of covariates with the nonprobability sample. However, [...] Read more.
Nonprobability sampling has been increasingly used in epidemiologic research, yet direct inference based on such samples is subject to selection bias. Current adjustment methods commonly rely on a reference probability-based survey sample that shares a set of covariates with the nonprobability sample. However, these common covariates are often limited and may bias estimates in the presence of population heterogeneity. Existing methods generally assume population homogeneity in models and fail to address such heterogeneity adequately. To overcome this limitation, we propose the Nonprobability Heterogeneity-adjusted Doubly Robust (NHDR) method, a novel inference framework that explicitly accounts for population heterogeneity during selection bias adjustment. NHDR proceeds in three stages: (1) identifying latent subpopulations via finite mixture modeling; (2) incorporating the resulting latent-class structure as a grouping variable into mixed-effects models for both the propensity score and outcome projection; and (3) constructing a doubly robust estimator that integrates these adjusted models. The key methodological contribution of NHDR is its formal integration of latent-class-based population structure into a doubly robust estimation framework, which enables more reliable inference under heterogeneous population settings. Simulation studies demonstrate that the proposed method control the coverage probabilities well in most scenarios. Under heterogeneous conditions, NHDR consistently outperforms existing methods achieving an average reduction in relative bias of approximately 1.8–4.5% and a corresponding decrease in mean squared error of about 5.1–15.5 compared to the benchmark method. We illustrate the practical utility of NHDR by applying it to estimate nine health indicators using data from the Health Monitoring SMS Survey in Guangzhou, China, with the seventh Guangdong Health Service Survey serving as the reference sample. Full article
(This article belongs to the Section D: Statistics and Operational Research)
Show Figures

Figure 1

20 pages, 1339 KB  
Review
Blockchain for Safety Compliance in Construction: A Comprehensive Literature Review
by Ratan Lal, Ahmed Osama Daoud, Ahmed Gouda Mohamed and Mohamed Nabawy
Buildings 2026, 16(1), 143; https://doi.org/10.3390/buildings16010143 - 28 Dec 2025
Viewed by 46
Abstract
The construction industry continues to grapple with persistently high accident rates and fragmented workforce management systems, where manual record-keeping and siloed data impede effective safety compliance. While digital interventions exist, they often rely on centralized databases that are vulnerable to manipulation and opaque. [...] Read more.
The construction industry continues to grapple with persistently high accident rates and fragmented workforce management systems, where manual record-keeping and siloed data impede effective safety compliance. While digital interventions exist, they often rely on centralized databases that are vulnerable to manipulation and opaque. This systematic literature review critically examines the application of blockchain technology as a decentralized infrastructure for enhancing safety compliance in construction. Adhering to the PRISMA 2020 guidelines, this study synthesizes findings from 115 peer-reviewed articles (2020–2025) retrieved from Scopus, Web of Science, IEEE Xplore, and Google Scholar. The analysis focuses on three core mechanisms: (1) the creation of immutable, timestamped safety logs to prevent retroactive data tampering; (2) the integration of IoT sensors for real-time, trustless hazard monitoring; and (3) the deployment of smart contracts to automate compliance verification and incentive distribution. The review juxtaposes theoretical frameworks with empirical evidence from global case studies, including pilot projects in North America and the Asia-Pacific, to quantify benefits such as reduced reporting latency and improved data integrity. Despite promising results, the analysis reveals significant barriers to widespread adoption, notably the “oracle problem,” scalability limitations of consensus protocols, and the lack of legal recognition for blockchain records. This paper concludes that while blockchain is not a panacea, it offers a necessary layer of trust and accountability absent in traditional Common Data Environments (CDEs). Future research directions are proposed to address interoperability with BIM standards (ISO 19650) and to develop energy-efficient consensus mechanisms suitable for resource-constrained construction sites. Full article
Show Figures

Figure 1

19 pages, 1261 KB  
Article
The Value of Off-Grid Renewable Electricity’s Non-Market Benefits in Rural Sumba, Indonesia
by Hafidz Wibisono, Jon C. Lovett, Cheng Wen, Siti Suryani and Muhammad Galang Ramadhan Al Tumus
Energies 2026, 19(1), 142; https://doi.org/10.3390/en19010142 - 26 Dec 2025
Viewed by 189
Abstract
Off-grid renewable energy systems have become a cost-effective way to supply electricity in remote rural areas, contributing to achieving universal energy access as mandated by Sustainable Development Goal 7 (SDG7). However, benefits are often compromised by limitations in the financial and technical capacity [...] Read more.
Off-grid renewable energy systems have become a cost-effective way to supply electricity in remote rural areas, contributing to achieving universal energy access as mandated by Sustainable Development Goal 7 (SDG7). However, benefits are often compromised by limitations in the financial and technical capacity and capabilities of rural beneficiaries to operate and maintain the technology, raising concerns about the cost-effectiveness of investment in the systems. This study examines the non-economic social benefits of providing electricity through off-grid renewable systems and whether these benefits justify investment in the efforts and costs borne by rural communities. Using the case study of the community-managed Kalilang micro-hydro power plant (MHPP) operating on Sumba Island, Indonesia, we estimate the value of non-market benefits of off-grid renewable electricity in rural Indonesia. By applying a mixed-methods approach, this research qualitatively identified perceived non-market benefits through 16 key informant interviews and subsequently employed contingent valuation (CV) with 105 households to estimate their willingness-to-pay (WTP) for these benefits. The results suggest that off-grid renewable projects remain socially viable even when direct economic returns are lacking. Inclusion of these social values into project evaluation and appraisals is needed to better reflect the contribution of off-grid renewable energy systems to community well-being. Full article
(This article belongs to the Special Issue Social Dimensions of Sustainable Household Energy Consumption)
Show Figures

Figure 1

18 pages, 655 KB  
Review
Climate Change Education in Secondary Schools: Gaps, Challenges and Transformative Pathways
by Gerard Guimerà-Ballesta, Genina Calafell-Subirà, Gregorio Jiménez-Valverde and Mireia Esparza-Pagès
Encyclopedia 2026, 6(1), 8; https://doi.org/10.3390/encyclopedia6010008 - 26 Dec 2025
Viewed by 173
Abstract
Climate change education (CCE) is increasingly recognized as a key lever for responding to the climate crisis, yet its implementation in schools often remains fragmented and weakly transformative. This review synthesizes international research on CCE in secondary education, focusing on four interconnected domains: [...] Read more.
Climate change education (CCE) is increasingly recognized as a key lever for responding to the climate crisis, yet its implementation in schools often remains fragmented and weakly transformative. This review synthesizes international research on CCE in secondary education, focusing on four interconnected domains: students’ social representations of climate change (SRCC), curricular frameworks, teaching practices and teacher professional development, and emerging pathways towards transformative, justice-oriented CCE. A narrative review of empirical and theoretical studies reveals that students’ SRCC are generally superficial, fragmented and marked by persistent misconceptions, psychological distance and low perceived agency. Curricular frameworks tend to locate climate change mainly within natural sciences, reproduce deficit-based and behaviorist models and leave social, political and ethical dimensions underdeveloped. Teaching practices remain predominantly transmissive and science-centered, while teachers report limited training, time and institutional support, especially for addressing the affective domain and working transdisciplinarily. At the same time, the literature highlights promising directions: calls for an “emergency curriculum” and deeper curricular environmentalization, the potential of socio-scientific issues and complexity-based approaches, narrative and arts-based strategies, school gardens and community projects, and growing attention to emotions, hope and climate justice. Drawing on a narrative and integrative review of empirical and theoretical studies, the article identifies recurrent patterns and gaps in current CCE research and outlines priorities for future inquiry. The review argues that bridging the knowledge–action gap in schools requires aligning curriculum, pedagogy and teacher learning around four key principles—climate justice, collective agency, affective engagement and global perspectives—and outlines implications for policy, practice and research to support more transformative and socially just CCE. Full article
(This article belongs to the Section Social Sciences)
Show Figures

Figure 1

13 pages, 4195 KB  
Article
Impact of Rear-Hanging String-Cable-Bundle Shading on Performance Parameters of Bifacial Photovoltaic Modules
by Dan Smith, Scott Rand, Peter Hruby, Ben De Fresart, Paul Subzak, Sai Tatapudi, Nijanth Kothandapani and GovindaSamy TamizhMani
Energies 2026, 19(1), 126; https://doi.org/10.3390/en19010126 - 25 Dec 2025
Viewed by 136
Abstract
The 2025 International Technology Roadmap for Photovoltaics (ITRPV) projects that bifacial modules will dominate the photovoltaic (PV) market, reaching roughly 60–80% global share between 2024 and 2035, while monofacial PV modules will steadily decline. Current industry practice is to route the cable bundles [...] Read more.
The 2025 International Technology Roadmap for Photovoltaics (ITRPV) projects that bifacial modules will dominate the photovoltaic (PV) market, reaching roughly 60–80% global share between 2024 and 2035, while monofacial PV modules will steadily decline. Current industry practice is to route the cable bundles along structural members such as main beams or torque tubes, thereby preventing rear-side shading but resulting in two key drawbacks: increased cable length and decreased system reliability due to cable proximity with rotating members and pinch points. Both effects contribute to higher system costs and reduced cable reliability. An alternative method involves suspending cable bundles directly behind the modules using hangers. While this approach mitigates excess length and risk of cable snags, it introduces the possibility of partial rear-side shading, which could possibly cause performance loss and hot-spot formation due to shade-induced electrical mismatch. Experimental evidence indicates that this risk is minimal, as albedo irradiance typically represents only 10–30% of front-side irradiance as reported in the literature and is largely diffuse, thereby limiting the likelihood of significant directional shading. This study evaluates the performance and reliability impacts of hanger-supported cable bundles under varying experimental conditions. Performance metrics assessed include maximum power output (Pmax), short-circuit current (Isc), open-circuit voltage (Voc), and fill factor (FF), while hot-spot risk was evaluated through measurements of module temperature uniformity using infrared imaging. Each cable (1X) was 6 AWG with a total outer diameter of approximately 9 mm. Experiments covered different cable bundle counts/sizes (2X, 6X, 16X), mounting configurations (fixed-tilt and single-axis tracker), and albedo conditions (snow-covered and snow-free ground). Measurements were conducted hourly on clear days between 8:00 and 16:00 from June to September 2025. The results consistently show that hanger-supported cable bundles have a negligible shading impact across all hours of the day and throughout the measurement period. This indicates that rear-side cable shading can be safely and practically disregarded in performance modeling and energy-yield assessments for the tested configurations, including fixed-tilt systems and single-axis trackers with or without torque tube shading and with various hanger sizes and cable-bundle counts. Therefore, hanging cables behind modules is a cost- and reliability-friendly, safe and recommended practice. Full article
(This article belongs to the Section A2: Solar Energy and Photovoltaic Systems)
Show Figures

Figure 1

20 pages, 3329 KB  
Article
Site-Dependent Dynamic Life Cycle Assessment of Human Health Impacts from Industrial Air Pollutants: Inhalation Exposure to NOx, SO2, and PM2.5 in PVC Window Manufacturing
by Patrice Megange, Amir-Ali Feiz, Pierre Ngae, Thien Phu Le and Patrick Rousseaux
Toxics 2026, 14(1), 23; https://doi.org/10.3390/toxics14010023 - 25 Dec 2025
Viewed by 155
Abstract
Industrial air emissions are major contributors to human exposure to toxic pollutants, posing significant health risks. Life cycle assessment (LCA) is increasingly used to quantify human toxicity impacts from industrial processes. Conventional LCA often overlooks spatial and temporal variability, limiting its ability to [...] Read more.
Industrial air emissions are major contributors to human exposure to toxic pollutants, posing significant health risks. Life cycle assessment (LCA) is increasingly used to quantify human toxicity impacts from industrial processes. Conventional LCA often overlooks spatial and temporal variability, limiting its ability to capture actual inhaled doses and exposure-driven impacts. To address this, we developed a site-dependent dynamic LCA (SdDLCA) framework that integrates conventional LCA with Enhanced Structural Path Analysis (ESPA) and atmospheric dispersion modeling. Applied to the production of double-glazed PVC windows for a residential project, the framework generates high-resolution, site-specific emission inventories for three key pollutants: nitrogen oxides (NOx), sulfur dioxide (SO2), and fine particulate matter (PM2.5). Local concentration fields are compared with World Health Organization (WHO) air quality thresholds to identify hotspots and periods of elevated exposure. By coupling these fields with the ReCiPe 2016 endpoint methodology and localized demographic and meteorological data, SdDLCA quantifies human health impacts in Disability-Adjusted Life Years (DALYs), providing a direct measure of inhalation toxicity. This approach enhances LCA’s ability to capture exposure-driven effects, identifies populations at greatest risk, and offers a robust, evidence-based tool to guide industrial planning and operations that minimize health hazards from air emissions. Full article
Show Figures

Graphical abstract

20 pages, 1348 KB  
Review
Sustainability Assessment of Circular Technologies in Agriculture: Overview of Evaluation Methodologies and Research Challenges
by Giulia Datola and Alessandra Oppio
Land 2026, 15(1), 44; https://doi.org/10.3390/land15010044 - 25 Dec 2025
Viewed by 145
Abstract
Global demand for food is expected to grow significantly by 2050, underlying the urgency of a sustainable transition in agriculture. In this context, the Circular Economy (CE) paradigm emerges as a promising strategy. This transition is still ongoing, underscoring the importance of sustainability [...] Read more.
Global demand for food is expected to grow significantly by 2050, underlying the urgency of a sustainable transition in agriculture. In this context, the Circular Economy (CE) paradigm emerges as a promising strategy. This transition is still ongoing, underscoring the importance of sustainability assessment as the first crucial step in supporting this process effectively. Therefore, comprehensive and robust evaluation tools and methodologies are necessary to support effective decision-making processes in this context. This study addresses this topic by conducting a literature review focused on the main evaluation methodologies adopted to assess the sustainability of circular technologies in agriculture, as well as to identify emerging research trends and to identify current knowledge gaps. Therefore, the main objective of this research is to establish a well-defined framework that starting from existing researches, it will support the development of future research directions. The performed review identifies Life Cycle Assessment (LCA) as the most applied methodology for environmental impact assessment, due to its ability to analyze environmental impacts and resources consumption throughout the entire life-cycle of a product, followed by Multi-Criteria Analysis (MCA) and performances-based models for their capacity of integrating and managing many dimensions (environmental, economic, and social) within the evaluation process. Emerging trends highlight the increasing adoption of computational approaches, such as System Dynamics (SD), facilitating a more comprehensive assessment of complex agricultural systems. Despite this increasing attention, the review addresses the significant gap, or rather, the limited management of stakeholders’ conflicts and synergies. This gap will inform potential research directions within the Agritech project, especially regarding the development of Social Multi-Criteria Evaluation (SMCE) to integrate stakeholders’ perspectives in the sustainability assessment of circular technologies. Full article
(This article belongs to the Section Land Use, Impact Assessment and Sustainability)
19 pages, 3223 KB  
Article
Research on Wave Environment and Design Parameter Analysis in Offshore Wind Farm Construction
by Guanming Zeng, Yuyan Liu, Xuanjun Huang, Bin Wang and Yongqing Lai
Energies 2026, 19(1), 115; https://doi.org/10.3390/en19010115 - 25 Dec 2025
Viewed by 114
Abstract
During the global transition of energy structures toward renewable sources, offshore wind power has experienced rapid advancement, coinciding with increasingly complex wave environments. This study focuses on the wave conditions of an offshore wind farm project in Vietnam. A dual-nested numerical framework (WAVEWATCH [...] Read more.
During the global transition of energy structures toward renewable sources, offshore wind power has experienced rapid advancement, coinciding with increasingly complex wave environments. This study focuses on the wave conditions of an offshore wind farm project in Vietnam. A dual-nested numerical framework (WAVEWATCH III + SWAN) is established, integrated with 32-year (1988–2019) high-resolution WRF wind fields and fused bathymetry data (GEBCO + in situ measurements). This framework overcomes the limitations of short-term datasets (10–22 years) in prior studies and achieves 1′ × 1′ (≈1.8 km) intra-farm resolution—critical for capturing topographic modulation of waves. A systematic analysis of the regional wave climate characteristics is performed, encompassing wave roses, joint distributions of significant wave height and spectral peak period, wave–wind direction correlations, and significant wave height–wind speed relationships. Extreme value theory, specifically the Pearson Type-III distribution, is applied to estimate extreme wave heights and corresponding periods for return periods ranging from 1 to 100 years, yielding critical design wave parameters for wind turbine foundations and support structures. Key findings reveal that the wave climate is dominated by E–SE (90°–120°) monsoon-driven waves (60% of Hs = 0.5–1.5 m), while extreme waves are uniquely concentrated at 120°—attributed to westward Pacific typhoon track alignment and long fetch. For the outmost site (A55, 7.18 m water depth), the 100-year return period significant wave height (Hs100 = 4.66 m, Tp100 = 13.05 s) is 38% higher than sheltered shallow-water sites (A28, Hs100 = 2.7 m), reflecting strong bathymetric control on wave energy. This study makes twofold contributions: (1) Methodologically, it validates a robust framework for long-term wave simulation in tropical monsoon–typhoon regions, combining 32-year high-resolution data with dual-nested models. (2) Scientifically, it reveals the directional dominance and spatial variability of waves in the Mekong estuary, advancing understanding of typhoon–wave–topography interactions. Practically, it provides standardized design parameters (compliant with DNV-OS-J101/IEC 61400-3) for offshore wind projects in Southeast Asia. Full article
(This article belongs to the Section A3: Wind, Wave and Tidal Energy)
Show Figures

Figure 1

18 pages, 1715 KB  
Article
The Impact of Safety Training on Safety Behavior Among Multinational Construction Workers: The Mediating Role of Responsibility and the Moderating Role of Nationality
by Wael M. Alruqi, Md Nayeem Hoque, Shafayet Ahmed and Osama Abudayyeh
Buildings 2026, 16(1), 94; https://doi.org/10.3390/buildings16010094 - 25 Dec 2025
Viewed by 138
Abstract
The construction industry remains high-risk, and in Saudi Arabia, these risks are amplified by a multinational workforce. This study examines the relationship between safety training (ST) and two facets of safety behavior: safety compliance (SC) and safety participation (SP). It investigates whether this [...] Read more.
The construction industry remains high-risk, and in Saudi Arabia, these risks are amplified by a multinational workforce. This study examines the relationship between safety training (ST) and two facets of safety behavior: safety compliance (SC) and safety participation (SP). It investigates whether this effect operates through individual responsibility (IR) and varies by nationality. A questionnaire was administered to 252 construction workers across large projects. Data were analyzed in SPSS using descriptive statistics, reliability tests, correlations, multiple regression, and PROCESS with 5000 bootstraps. ST was positively associated with SC but not with SP. IR was positively related to SC. Mediation analysis revealed partial mediation of the ST to SC link via IR, suggesting that training enhances compliance both directly and by strengthening a personal sense of responsibility. Nationality did not significantly moderate the ST to IR path or the direct effects of ST on behavior, suggesting broadly similar training mechanisms across national groups. These findings support the integration of responsibility-building elements into safety training to enhance compliance, while separate organizational strategies (e.g., participatory programs, leadership engagement) may be necessary to foster discretionary participation. Limitations include reliance on self-report measures, a cross-sectional design, and limited subgroup sizes in moderation analyses. Future research should employ longitudinal designs, refine the measurement of responsibility, and test additional moderators (e.g., language proficiency, education, tenure). Full article
Show Figures

Figure 1

25 pages, 4439 KB  
Article
Bridging Gaps in Landslide Mapping: A Semi-Quantitative Empirical Framework for Delineating Key Areas to Improve Collection of Essential Field-Based and Supplementary Remote-Based Data
by Nicola Perilli, Massimiliano Lombardi, Nunziante Squeglia, Stefano Stacul and Stefano Pagliara
Infrastructures 2026, 11(1), 11; https://doi.org/10.3390/infrastructures11010011 - 25 Dec 2025
Viewed by 142
Abstract
Accurate landslide mapping near critical infrastructure requires not only data on landslide characteristics but also clear definitions of the spatial extent of surveyed areas. While national projects like Italian Landslide Inventory (IFFI) and Italian Guidelines for the classification and management of risk, safety [...] Read more.
Accurate landslide mapping near critical infrastructure requires not only data on landslide characteristics but also clear definitions of the spatial extent of surveyed areas. While national projects like Italian Landslide Inventory (IFFI) and Italian Guidelines for the classification and management of risk, safety assessment and monitoring of existing bridges (LLG 2022) provide a list of data to collect during a field visit survey, they lack clear specifications for buffer zones, limiting data comparability and risk assessment reliability. This study refines a hierarchical framework developed by the FABRE Geo Working Group, in alignment with LLG 2022, introducing five key zones—Landslide Inventory Reference Area, Diagnostic Area, Geomorphological Significant Area, Relevant Area and the Approach Zone, plus a newly defined Geomorphological Significant Area—Close Zone. By explicitly quantifying buffer zones and their hierarchical roles, the framework ensures consistent data collection across varied terrains and reduces ambiguity in landslide risk evaluation. Applied to 95 bridges in Tuscany and Basilicata, the framework offers standardized definitions and dimensions for Diagnostic Area, Geomorphological Significant Area and Relevant Area, based on detailed field surveys. Approach Zone and Geomorphological Significant Area—Close Zone are quantified as percentages of Relevant Area and Geomorphological Significant Area, supporting efficient, reproducible inspections using both manual and UAV-assisted methods. The Geomorphological Significant Area—Close Zone distinguishes core data, which requires direct surveys, from supplementary data that can be analyzed remotely or in the office. This distinction ensures that essential hazards are observed directly, while supplementary insights are efficiently integrated, enhancing field reliability and desk-based analysis. This integrated approach enhances the accuracy of landslide susceptibility assessment and the classification of attention levels, supporting the maintenance of the national IFFI. Ultimately, the comparison of IFFI catalog data, available in the Diagnostic Area, Geomorphological Significant Area, and Relevant Area, revealed previously unrecorded landslides in Matera and confirmed the reliability of the catalog in Lucca, highlighting that inventories can be systematically integrated only by using standardized areas with field verification to improve risk and infrastructure management. The structured framework bridges gaps between national inventory standards and localized survey needs, ensuring that both previously recorded and new landslide events are systematically captured. Full article
(This article belongs to the Section Infrastructures Inspection and Maintenance)
Show Figures

Figure 1

Back to TopTop