Hydrological Response of an Enclosed Karst Groundwater System to Drainage Induced by Tunnel Excavation in a Typical Anticline Geo-Structure
Abstract
1. Introduction
2. General Situation of Study Area
2.1. Geographical Background
2.2. Geological Condition


3. Methods
3.1. Mann–Kendall Test
3.2. Principle of Heatmat
3.3. Wavelet Analysis
4. Hydrological Monitoring During Tunnel Excavation
4.1. Monitoring Networks
4.2. Monitoring Results
- Precipitation and tunnel drainages
- 2.
- Water table in boreholes and discharge rates of coalmine adits
- 3.
- Discharge rates of springs
- 4.
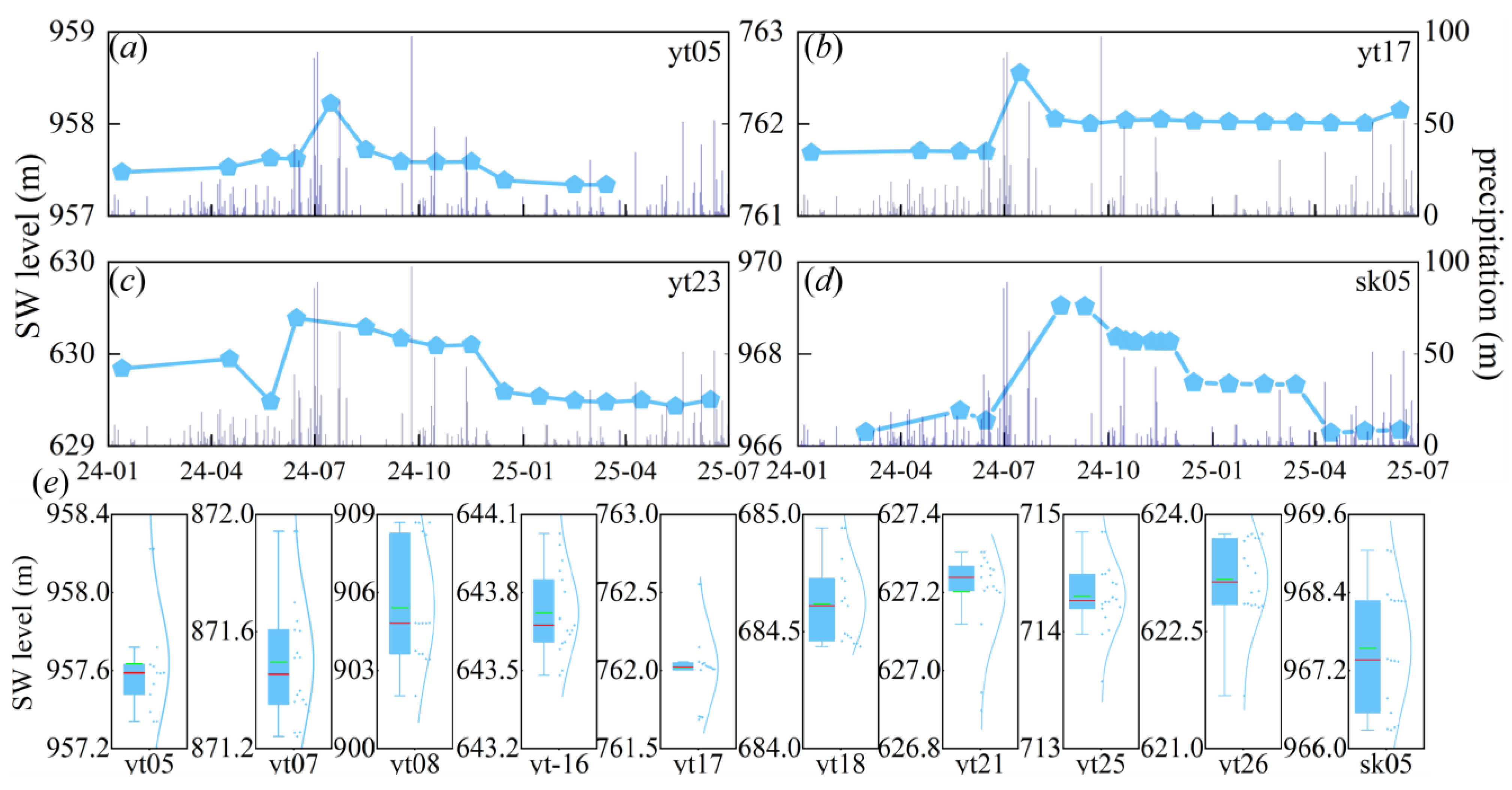
- Surface water levels
5. Characteristics of Groundwater Dynamics
5.1. Mann–Kendall Abrupt Change Test
5.2. Correlations Between Measurements by Heatmaps


5.3. Wavelet Analysis Results
6. Discussion
6.1. Spatial Pattern of Responses by Monitoring Point
6.2. Groundwater Dynamics Revealed by Observations
7. Conclusions
Author Contributions
Funding
Data Availability Statement
Conflicts of Interest
References
- Gokdemir, C.; Li, Y.D.; Rubin, Y.; Li, X.J. Stochastic modeling of groundwater drawdown response induced by tunnel drainage. Eng. Geol. 2022, 297, 106529. [Google Scholar] [CrossRef]
- Xu, G.; Chen, Y.; Cui, H.; Li, N.; Ren, S. A Study on the Hydrogeological Effects and Environmental Impacts of Tunnel Construction: A Case Study of the Gaochuan Slope Section of the Yuelongmen Tunnel on the Chengdu—Lanzhou Railway. J. West. Resour. 2022, 52–56. [Google Scholar] [CrossRef]
- Chiu, Y.C.; Chia, Y. The impact of groundwater discharge to the Hsueh-Shan tunnel on the water resources in northern Taiwan. Hydrogeol. J. 2012, 20, 1599–1611. [Google Scholar] [CrossRef]
- Kim, M.G.; Kim, M.; Jeong, G.; Lee, J.; Chung, I.-M. Evaluation of Groundwater Level Decline and Water Quality Due to Tunnel Excavation. J. Eng. Geol. 2019, 29, 113–122. [Google Scholar]
- Golian, M.; Katibeh, H.; Singh, V.P.; Ostad-Ali-Askari, K.; Rostami, H.T. Prediction of tunnelling impact on flow rates of adjacent extraction water wells. Q. J. Eng. Geol. Hydrogeol. 2020, 53, 236–251. [Google Scholar] [CrossRef]
- Gisbert, J.; Vallejos, A.; González, A.; Pulido-Bosch, A. Environmental and hydrogeological problems in karstic terrains crossed by tunnels: A case study. Environ. Geol. 2009, 58, 347–357. [Google Scholar] [CrossRef]
- Vincenzi, V.; Gargini, A.; Goldscheider, N. Using tracer tests and hydrological observations to evaluate effects of tunnel drainage on groundwater and surface waters in the Northern Apennines (Italy). Hydrogeol. J. 2008, 17, 135–150. [Google Scholar] [CrossRef]
- Vincenzi, V.; Gargini, A.; Goldscheider, N.; Piccinini, L. Differential Hydrogeological Effects of Draining Tunnels Through the Northern Apennines, Italy. Rock Mech. Rock Eng. 2013, 47, 947–965. [Google Scholar] [CrossRef]
- Kværner, J.; Snilsberg, P. Groundwater hydrology of boreal peatlands above a bedrock tunnel—Drainage impacts and surface water groundwater interactions. J. Hydrol. 2011, 403, 278–291. [Google Scholar] [CrossRef]
- Li, J.; Cao, C.; Xu, M.; Fan, W.; Xia, Q. Spatiotemporal Characteristics of Water Inrush Events in the Zhongliangshan Tunnel Group, Chongqing. People’s Yangtze River 2023, 54, 119–127+135. [Google Scholar] [CrossRef]
- Hu, L. Hydrogeological Characteristics of the Nanshan Tunnel and Prediction of Tunnel Water Inflow and the Influence Range of Groundwater Drawdown. Diqu (Earth). 2016, pp. 106–109. Available online: https://kns.cnki.net/kcms2/article/abstract?v=IPzr95zWmwSnquXOxf6-xuIPRuPvriaTYeIGlOvbJChFxDvJ5d9kMhkT-Qs-vvIS-wd-fzIk516373iXem0tsbqMdIDP6Ex65ENHcjGlItsmqL5uO3YZoofSIK5ucrmmryXhJrZgQiruwNRPY4dtTljFQ2tahuqrsfX-rzw3D_AmDvs6qCgdWevrmenDB8VY&uniplatform=NZKPT&language=CHS (accessed on 20 December 2025).
- Chi, Y.; Li, Q.; Chen, P. Karst Development in the Tongluoshan Area and the Characteristics of Tunnel-Induced Groundwater Drainage. Shanxi Archit. 2015, 41, 86–87. [Google Scholar] [CrossRef]
- Cheng, Y.; Feng, L.; Gong, J.; Liu, Y.; Liu, X.; Song, K. Evaluation of the Negative Effects of Tunnel Drainage on the Groundwater Environment Based on the Fuzzy Analytic Hierarchy Process: A Case Study of the Mingyue Mountain Tunnel. In Proceedings of the Annual Academic Conference of the Chinese Society for Environmental Sciences 2016, Haikou, China, 13–14 October 2016; p. 6. [Google Scholar]
- Li, H.; Wei, X.; Liu, C.; Li, L. Risk Assessment of Water Inrush Hazards in Karst Tunnels Based on a Variable-Weight Cloud Model: A Case Study of the Zhongliangshan Tunnel. Carsologica Sin. 2023, 42, 548–557+572. [Google Scholar]
- Teng, H. Dynamic Characteristics of Groundwater and Estimation of Aquifer Parameters During the Construction Period of Chongqing Xiema Tunnel. Master’s Dissertation, Chengdu University of Technology, Chengdu, China, 2019. [Google Scholar]
- Sang, Y.-F. A Practical Guide to Discrete Wavelet Decomposition of Hydrologic Time Series. Water Resour. Manag. 2012, 26, 3345–3365. [Google Scholar] [CrossRef]
- Wu, Z. Signal de-noising method based on particle swarm algorithm and wavelet transform. Teh. Vjesn. 2014, 21, 1001–1008. [Google Scholar]
- Guo, G.; Bao, H.; Lan, H.; Yan, C.; Zheng, H.; Tang, M. Research on the correlation between shallow surface moisture of loess high fill based on cross wavelet and wavelet coherence. J. Eng. Geol. 2022, 30, 1389–1402. [Google Scholar] [CrossRef]
- Cui, Y.; Liao, Z.; Wei, Y.; Xu, X.; Song, Y.; Liu, H. The Response of Groundwater Level to Climate Change and Human Activities in Baotou City, China. Water 2020, 12, 1078. [Google Scholar] [CrossRef]
- Li, H.; Lu, Y.; Zheng, C.; Zhang, X.; Zhou, B.; Wu, J. Seasonal and Inter-Annual Variability of Groundwater and Their Responses to Climate Change and Human Activities in Arid and Desert Areas: A Case Study in Yaoba Oasis, Northwest China. Water 2020, 12, 303. [Google Scholar] [CrossRef]
- Qi, P.; Zhang, G.; Xu, Y.J.; Wang, L.; Ding, C.; Cheng, C. Assessing the Influence of Precipitation on Shallow Groundwater Table Response Using a Combination of Singular Value Decomposition and Cross-Wavelet Approaches. Water 2018, 10, 598. [Google Scholar] [CrossRef]
- Qi, X.; Jiang, Z.; Luo, W. Cross wavelet analysis of precipitation and spring flow in typical surface karst water systems. Earth Environ. 2012, 40, 561–567. [Google Scholar] [CrossRef]
- Zhang, Z.; Lin, Q.; Yan, H.; Zhu, X.; Zhang, X.; Yang, S.; Huang, C.; Shi, Y.; Hu, J.; Li, X.; et al. Ground subsidence monitoring and prediction based on InSAR and CNN-BiGRU-Attention: A case study of Chengdu. Eng. Geol. 2025, 357, 108336. [Google Scholar] [CrossRef]
- Yang, F.-R.; Lee, C.-H.; Kung, W.-J.; Yeh, H.-F. The impact of tunneling construction on the hydrogeological environment of “Tseng-Wen Reservoir Transbasin Diversion Project” in Taiwan. Eng. Geol. 2009, 103, 39–58. [Google Scholar] [CrossRef]








Disclaimer/Publisher’s Note: The statements, opinions and data contained in all publications are solely those of the individual author(s) and contributor(s) and not of MDPI and/or the editor(s). MDPI and/or the editor(s) disclaim responsibility for any injury to people or property resulting from any ideas, methods, instructions or products referred to in the content. |
© 2025 by the authors. Licensee MDPI, Basel, Switzerland. This article is an open access article distributed under the terms and conditions of the Creative Commons Attribution (CC BY) license.
Share and Cite
Xu, X.; Zhao, Q.; Kong, X.; Zhang, L.; Zhang, X.; Yu, T.; Zhang, X.; Xia, Q. Hydrological Response of an Enclosed Karst Groundwater System to Drainage Induced by Tunnel Excavation in a Typical Anticline Geo-Structure. Water 2026, 18, 87. https://doi.org/10.3390/w18010087
Xu X, Zhao Q, Kong X, Zhang L, Zhang X, Yu T, Zhang X, Xia Q. Hydrological Response of an Enclosed Karst Groundwater System to Drainage Induced by Tunnel Excavation in a Typical Anticline Geo-Structure. Water. 2026; 18(1):87. https://doi.org/10.3390/w18010087
Chicago/Turabian StyleXu, Xiantao, Qian Zhao, Xiangsheng Kong, Lei Zhang, Xiaojie Zhang, Tao Yu, Xiaowei Zhang, and Qiang Xia. 2026. "Hydrological Response of an Enclosed Karst Groundwater System to Drainage Induced by Tunnel Excavation in a Typical Anticline Geo-Structure" Water 18, no. 1: 87. https://doi.org/10.3390/w18010087
APA StyleXu, X., Zhao, Q., Kong, X., Zhang, L., Zhang, X., Yu, T., Zhang, X., & Xia, Q. (2026). Hydrological Response of an Enclosed Karst Groundwater System to Drainage Induced by Tunnel Excavation in a Typical Anticline Geo-Structure. Water, 18(1), 87. https://doi.org/10.3390/w18010087

