Sign in to use this feature.

Years

Between: -

Subjects

remove_circle_outline
remove_circle_outline
remove_circle_outline
remove_circle_outline
remove_circle_outline
remove_circle_outline

Journals

Article Types

Countries / Regions

Search Results (25)

Search Parameters:
Keywords = direct and orthogonal sum

Order results
Result details
Results per page
Select all
Export citation of selected articles as:
22 pages, 6372 KB  
Article
Numerical Study on Hydraulic Fracture Propagation in Sand–Coal Interbed Formations
by Xuanyu Liu, Liangwei Xu, Xianglei Guo, Meijia Zhu and Yujie Bai
Processes 2025, 13(10), 3128; https://doi.org/10.3390/pr13103128 - 29 Sep 2025
Viewed by 410
Abstract
To investigate hydraulic fracture propagation in multi-layered porous media such as sand–coal interbedded formations, we present a new phase-field-based model. In this formulation, a diffuse fracture is activated only when the local element strain exceeds the rock’s critical strain, and the fracture width [...] Read more.
To investigate hydraulic fracture propagation in multi-layered porous media such as sand–coal interbedded formations, we present a new phase-field-based model. In this formulation, a diffuse fracture is activated only when the local element strain exceeds the rock’s critical strain, and the fracture width is represented by orthogonal components in the x and y directions. Unlike common PFM approaches that map the permeability directly from the damage field, our scheme triggers fractures only beyond a critical strain. It then builds anisotropy via a width-to-element-size weighting with parallel mixing along and series mixing across the fracture. At the element scale, the permeability is constructed as a weighted sum of the initial rock permeability and the fracture permeability, with the weighting coefficients defined as functions of the local width and the element size. Using this model, we examined how the in situ stress contrast, interface strength, Young’s modulus, Poisson’s ratio, and injection rate influence the hydraulic fracture growth in sand–coal interbedded formations. The results indicate that a larger stress contrast, stronger interfaces, a greater stiffness, and higher injection rates increase the likelihood that a hydraulic fracture will cross the interface and penetrate the barrier layer. When propagation is constrained to the interface, the width within the interface segment is markedly smaller than that within the coal-seam segment, and interface-guided growth elevates the fluid pressure inside the fracture. Full article
(This article belongs to the Section Energy Systems)
Show Figures

Figure 1

15 pages, 246 KB  
Article
Decompositions for Based Algebras with Bilinear Forms: A Graph Theory Connection
by Antonio J. Calderón Martín and Diouf Mame Cheikh
Axioms 2025, 14(9), 709; https://doi.org/10.3390/axioms14090709 - 20 Sep 2025
Viewed by 318
Abstract
We consider the category of based algebras with bilinear forms and show that any object in this category decomposes as a direct sum of irreducible orthogonal ideals. By associating an adequate graph with a based algebra with a bilinear form, this decomposition can [...] Read more.
We consider the category of based algebras with bilinear forms and show that any object in this category decomposes as a direct sum of irreducible orthogonal ideals. By associating an adequate graph with a based algebra with a bilinear form, this decomposition can be recovered from a graph theory viewpoint. Full article
(This article belongs to the Special Issue Advances in Linear Algebra with Applications, 2nd Edition)
Show Figures

Figure 1

15 pages, 355 KB  
Article
A UAV-Assisted STAR-RIS Network with a NOMA System
by Jiyin Lan, Yuyang Peng, Mohammad Meraj Mirza and Fawaz AL-Hazemi
Mathematics 2025, 13(13), 2063; https://doi.org/10.3390/math13132063 - 21 Jun 2025
Viewed by 734
Abstract
In this paper, we investigate a simultaneous transmitting and reflecting reconfigurable intelligent surface (STAR-RIS)-assisted non-orthogonal multiple access (NOMA) communication system where the STAR-RIS is mounted on an unmanned aerial vehicle (UAV) with adjustable altitude. Due to severe blockages in urban environments, direct links [...] Read more.
In this paper, we investigate a simultaneous transmitting and reflecting reconfigurable intelligent surface (STAR-RIS)-assisted non-orthogonal multiple access (NOMA) communication system where the STAR-RIS is mounted on an unmanned aerial vehicle (UAV) with adjustable altitude. Due to severe blockages in urban environments, direct links from the base station (BS) to users are assumed unavailable, and signal transmission is realized via the STAR-RIS. We formulate a joint optimization problem that maximizes the system sum rate by jointly optimizing the UAV’s altitude, BS beamforming vectors, and the STAR-RIS phase shifts, while considering Rician fading channels with altitude-dependent Rician factors. To tackle the maximum achievable rate problem, we adopt a block-wise optimization framework and employ semidefinite relaxation and gradient descent methods. Simulation results show that the proposed scheme achieves up to 22% improvement in achievable rate and significant reduction in bit error rate (BER) compared to benchmark schemes, demonstrating its effectiveness in integrating STAR-RIS and UAV in NOMA networks. Full article
(This article belongs to the Special Issue Mathematical Modelling for Cooperative Communications)
Show Figures

Figure 1

21 pages, 1171 KB  
Article
Statistical Analysis of the Sum of Double Random Variables for Security Applications in RIS-Assisted NOMA Networks with a Direct Link
by Sang-Quang Nguyen, Phuong T. Tran, Bui Vu Minh, Tran Trung Duy, Anh-Tu Le, Lubos Rejfek and Lam-Thanh Tu
Electronics 2025, 14(2), 392; https://doi.org/10.3390/electronics14020392 - 20 Jan 2025
Cited by 3 | Viewed by 1610
Abstract
Next- generation wireless communications are projected to integrate reconfigurable intelligent surfaces (RISs) to perpetrate enhanced spectral and energy efficiencies. To quantify the performance of RIS-aided wireless networks, the statistics of a single random variable plus the sum of double random variables becomes a [...] Read more.
Next- generation wireless communications are projected to integrate reconfigurable intelligent surfaces (RISs) to perpetrate enhanced spectral and energy efficiencies. To quantify the performance of RIS-aided wireless networks, the statistics of a single random variable plus the sum of double random variables becomes a core approach to reflect how communication links from RISs improve wireless-based systems versus direct ones. With this in mind, the work applies the statistics of a single random variable plus the sum of double random variables in the secure performance of RIS-based non-orthogonal multi-access (NOMA) systems with the presence of untrusted users. We propose a new communication strategy by jointly considering NOMA encoding and RIS’s phase shift design to enhance the communication of legitimate nodes while degrading the channel capacity of untrusted elements but with sufficient power resources for signal recovery. Following that, we analyze and derive the closed-form expressions of the secrecy effective capacity (SEC) and secrecy outage probability (SOP). All analyses are supported by extensive Monte Carlo simulation outcomes, which facilitate an understanding of system communication behavior, such as the transmit signal-to-noise ratio, the number of RIS elements, the power allocation coefficients, the target data rate of the communication channels, and secure data rate. Finally, the results demonstrate that our proposed communication can be improved significantly with an increase in the number of RIS elements, irrespective of the presence of untrusted proximate or distant users. Full article
(This article belongs to the Special Issue Wireless Sensor Network: Latest Advances and Prospects)
Show Figures

Figure 1

19 pages, 304 KB  
Article
The Computational Complexity of Subclasses of Semiperfect Rings
by Huishan Wu
Mathematics 2024, 12(22), 3608; https://doi.org/10.3390/math12223608 - 19 Nov 2024
Cited by 1 | Viewed by 959
Abstract
This paper studies the computational complexity of subclasses of semiperfect rings from the perspective of computability theory. A ring is semiperfect if the identity can be expressed as a sum of mutually orthogonal local idempotents. Semisimple rings and local rings are typical subclasses [...] Read more.
This paper studies the computational complexity of subclasses of semiperfect rings from the perspective of computability theory. A ring is semiperfect if the identity can be expressed as a sum of mutually orthogonal local idempotents. Semisimple rings and local rings are typical subclasses of semiperfect rings that play important roles in noncommutative algebra. First, we define a ring to be semisimple if the left regular module can be decomposed as a finite direct sum of simple submodules and prove that the index set of computable semisimple rings is Σ20-hard within the index set of computable rings. Second, we define local rings by using equivalent properties of non-left invertible elements of rings and show that the index set of computable local rings is Π20-hard within the index set of computable rings. Finally, based on the Π20 definition of local rings, computable semiperfect rings can be described by Σ30 formulas. As a corollary, we find that the index set of computable semiperfect rings can be both Σ20-hard and Π20-hard within the index set of computable rings. Full article
16 pages, 5373 KB  
Communication
Joint Beamforming Design and User Clustering Algorithm in NOMA-Assisted ISAC Systems
by Qingqing Yang, Runpeng Tang and Yi Peng
Sensors 2024, 24(20), 6633; https://doi.org/10.3390/s24206633 - 15 Oct 2024
Cited by 1 | Viewed by 2034
Abstract
To enhance the performance of non-orthogonal multiple access (NOMA)-assisted integrated sensing and communication (ISAC) systems in multi-user distributed scenarios, an improved Gaussian Mixture Model (GMM)-based user clustering algorithm is proposed. This algorithm is tailored for ISAC systems, significantly improving bandwidth reuse gains and [...] Read more.
To enhance the performance of non-orthogonal multiple access (NOMA)-assisted integrated sensing and communication (ISAC) systems in multi-user distributed scenarios, an improved Gaussian Mixture Model (GMM)-based user clustering algorithm is proposed. This algorithm is tailored for ISAC systems, significantly improving bandwidth reuse gains and reducing serial interference. First, using the Sum of Squared Errors (SSE), the algorithm reduces sensitivity to the initial cluster center locations, improving clustering accuracy. Then, direction weight factors are introduced based on the base station position and a penalty function involving users’ Euclidean distances and sensing power. Modifications to the EM algorithm in calculating posterior probabilities and updating the covariance matrix help align user clusters with the characteristics of NOMAISAC systems. This improves users’ interference resistance, lowers decoding difficulty, and optimizes the system’s sensing capabilities. Finally, a fractional programming (FP) approach addresses the non-convex joint beamforming design problem, enhancing power and channel gains and achieving co-optimizing sensing and communication signals. The simulation results show that, under the improved GMM user clustering algorithm and FP optimization, the NOMA-ISAC system improves user spectral efficiency by 4.3% and base station beam intensity by 5.4% compared to traditional ISAC systems. Full article
(This article belongs to the Section Communications)
Show Figures

Figure 1

25 pages, 1876 KB  
Article
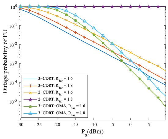
Multi-Node Joint Jamming Scheme for Secure UAV-Aided NOMA-CDRT Systems: Performance Analysis and Optimization
by Yao Xu, Shaobo Jia, Jichong Guo, Jianyue Zhu, Lilan Liu and Zhizhong Zhang
Drones 2024, 8(9), 449; https://doi.org/10.3390/drones8090449 - 1 Sep 2024
Cited by 2 | Viewed by 1600
Abstract
Unmanned aerial vehicle (UAV) communication using non-orthogonal multiple access-based coordinated direct and relay transmission (NOMA-CDRT) supports both massive connectivity and wide-area coverage, becoming a key technology for future emergency rescue communications. However, relay forwarding and high-quality line-of-sight links may subject UAV-aided NOMA-CDRT to [...] Read more.
Unmanned aerial vehicle (UAV) communication using non-orthogonal multiple access-based coordinated direct and relay transmission (NOMA-CDRT) supports both massive connectivity and wide-area coverage, becoming a key technology for future emergency rescue communications. However, relay forwarding and high-quality line-of-sight links may subject UAV-aided NOMA-CDRT to multiple eavesdropping attempts by saboteurs. Therefore, we propose a multi-node joint jamming scheme using artificial noise (AN) for the UAV-assisted NOMA-CDRT to improve the system’s physical layer security. In the proposed scheme, the base station directly serves a nearby user while using a UAV relay to serve a disaster-affected user, and both the users and the UAV relay utilize AN to jointly interfere with eavesdroppers around the users. To accurately characterize and maximize the ergodic secrecy sum rate (ESSR) of the proposed scheme, we derive the corresponding closed-form expressions and design a joint power allocation and interference control (JPAIC) algorithm using particle swarm optimization. Simulations verify the correctness of the theoretical analysis, the ESSR advantage of the proposed scheme compared with the conventional NOMA-CDRT, and the effectiveness of the proposed JPAIC. Full article
(This article belongs to the Special Issue Physical-Layer Security in Drone Communications)
Show Figures

Figure 1

14 pages, 509 KB  
Article
Secure User Pairing and Power Allocation for Downlink Non-Orthogonal Multiple Access against External Eavesdropping
by Yuxuan Li, Yanqiu Chen and Xiaopeng Ji
Entropy 2024, 26(1), 64; https://doi.org/10.3390/e26010064 - 11 Jan 2024
Cited by 1 | Viewed by 1897
Abstract
We propose a secure user pairing (UP) and power allocation (PA) strategy for a downlink Non-Orthogonal Multiple Access (NOMA) system when there exists an external eavesdropper. The secure transmission of data through the downlink is constructed to optimize both UP and PA. This [...] Read more.
We propose a secure user pairing (UP) and power allocation (PA) strategy for a downlink Non-Orthogonal Multiple Access (NOMA) system when there exists an external eavesdropper. The secure transmission of data through the downlink is constructed to optimize both UP and PA. This optimization aims to maximize the achievable sum secrecy rate (ASSR) while adhering to a limit on the rate for each user. However, this poses a challenge as it involves a mixed integer nonlinear programming (MINLP) problem, which cannot be efficiently solved through direct search methods due to its complexity. To handle this gracefully, we first divide the original problem into two smaller issues, i.e., an optimal PA problem for two paired users and an optimal UP problem. Next, we obtain the closed-form optimal solution for PA between two users and UP in a simplified NOMA system involving four users. Finally, the result is extended to a general 2K-user NOMA system. The proposed UP and PA method satisfies the minimum rate constraints with an optimal ASSR as shown theoretically and as validated by numerical simulations. According to the results, the proposed method outperforms random UP and that in a standard OMA system in terms of the ASSR and the average ASSR. It is also interesting to find that increasing the number of user pairs will bring more performance gain in terms of the average ASSR. Full article
(This article belongs to the Section Multidisciplinary Applications)
Show Figures

Figure 1

14 pages, 749 KB  
Article
Sum Rate Maximization for Intelligent Reflecting Surface-Assisted UAV-Enabled NOMA Network
by Songchao Chen, Fang Liu and Yuanan Liu
Electronics 2023, 12(17), 3616; https://doi.org/10.3390/electronics12173616 - 27 Aug 2023
Cited by 3 | Viewed by 2069
Abstract
In the next-generation network, intelligent reflecting surface (IRS), non-orthogonal multiple access (NOMA), and simultaneous wireless information and power transfer (SWIPT) are promising wireless communication techniques to effectively improve system sum rates. In traditional unmanned aerial vehicles (UAV) communication systems, the sum rate and [...] Read more.
In the next-generation network, intelligent reflecting surface (IRS), non-orthogonal multiple access (NOMA), and simultaneous wireless information and power transfer (SWIPT) are promising wireless communication techniques to effectively improve system sum rates. In traditional unmanned aerial vehicles (UAV) communication systems, the sum rate and coverage are greatly affected when there is an occlusion on the direct transmission link. To solve this problem, the IRS technology is introduced to improve the poor channel conditions. However, most of the previous research on IRS-assisted UAV to optimize system sum rate only considers frameworks that utilize the partially joint-combining techniques of IRS, NOMA, and SWIPT. In this paper, in order to further improve the sum rate of the system, we simultaneously integrate IRS, NOMA, and SWIPT technologies and establish a sum rate maximization optimization problem when the direct link is blocked. Then, an alternative optimization (AO) algorithm based on the maximizing system sum rate is proposed to solve the non-convex optimization problem, in which the IRS location and phase, the reflecting amplitude coefficient, UAV forwarding altitude, and power splitting factor are considered. To let the non-convex and non-linear function be transformed into a convex one, we first use an iterative approach to optimize the position of the IRS. After that, an optimization problem is constructed to maximize the system sum rate with the constraints of the IRS phase shifts, successful successive interference cancellation (SIC), maximum transmit power of base station (BS), and UAV. Numerical results show that the proposed algorithm outperforms the traditional orthogonal multiple access (OMA) and algorithms without IRS-assisted links in terms of the system sum rate. Full article
Show Figures

Figure 1

18 pages, 1298 KB  
Article
Budgeted Bandits for Power Allocation and Trajectory Planning in UAV-NOMA Aided Networks
by Ramez Hosny, Sherief Hashima, Ehab Mahmoud Mohamed, Rokaia M. Zaki and Basem M. ElHalawany
Drones 2023, 7(8), 518; https://doi.org/10.3390/drones7080518 - 7 Aug 2023
Cited by 6 | Viewed by 2192
Abstract
On one hand combining Unmanned Aerial Vehicles (UAVs) and Non-Orthogonal Multiple Access (NOMA) is a remarkable direction to sustain the exponentially growing traffic requirements of the forthcoming Sixth Generation (6G) networks. In this paper, we investigate effective Power Allocation (PA) and Trajectory Planning [...] Read more.
On one hand combining Unmanned Aerial Vehicles (UAVs) and Non-Orthogonal Multiple Access (NOMA) is a remarkable direction to sustain the exponentially growing traffic requirements of the forthcoming Sixth Generation (6G) networks. In this paper, we investigate effective Power Allocation (PA) and Trajectory Planning Algorithm (TPA) for UAV-aided NOMA systems to assist multiple survivors in a post-disaster scenario, where ground stations are malfunctioned. Here, the UAV maneuvers to collect data from survivors, which are grouped in multiple clusters within the disaster area, to satisfy their traffic demands. On the other hand, while the problem is formulated as Budgeted Multi-Armed Bandits (BMABs) that optimize the UAV trajectory and minimize battery consumption, challenges may arise in real-world scenarios. Herein, the UAV is the bandit player, the disaster area clusters are the bandit arms, the sum rate of each cluster is the payoff, and the UAV energy consumption is the budget. Hence, to tackle these challenges, two Upper Confidence Bound (UCB) BMAB schemes are leveraged to handle this issue, namely BUCB1 and BUCB2. Simulation results confirm the superior performance of the proposed BMAB solution against benchmark solutions for UAV-aided NOMA communication. Notably, the BMAB-NOMA solution exhibits remarkable improvements, achieving 60% enhancement in the total number of assisted survivors, 80% improvement in convergence speed, and a considerable amount of energy saving compared to UAV-OMA. Full article
(This article belongs to the Special Issue AI-Powered Energy-Efficient UAV Communications)
Show Figures

Figure 1

14 pages, 2813 KB  
Article
Effects of Bio-Coal Briquette for Residential Combustion on Brown Carbon Emission Reduction
by Juan Qi and Jianjun Wu
Processes 2023, 11(6), 1834; https://doi.org/10.3390/pr11061834 - 16 Jun 2023
Viewed by 2956
Abstract
Biomass burning is an important source of brown carbon (BrC) which poses high-risk threats to human health and the environment. In this study, bio-coal briquette (coal mixed with biomass), a promising solid fuel for residential combustion, is proven to be a clean fuel [...] Read more.
Biomass burning is an important source of brown carbon (BrC) which poses high-risk threats to human health and the environment. In this study, bio-coal briquette (coal mixed with biomass), a promising solid fuel for residential combustion, is proven to be a clean fuel which can effectively reduce BrC emission. First of all, an orthogonal experiment with three factors and three levels on the physical property of bio-briquette was carried out to identify the optimal preparation conditions including the ratio of biomass to anthracite, particle size and molding pressure. Then a combustion experiment of the bio-coal briquetted was implemented in a simulated residential combustion system. BrC emission factors (EFs) were calculated based on the detected black carbon (BC) concentration by an aethalometer, and other optical characteristics for organic components of extract samplers, such as mass absorption efficiency (MAE) and absorption angstrom index (AAE), were also explored. Lastly, composition analysis of BrC by a gas chromatography (GC) tandem mass spectrometer (MS) and direct visible images by scanning electron microscopy (SEM) were investigated to provide more detail information on BrC EFs and property change. It was shown that bio-coal briquette had such low BrC EFs that 70–81% BrC was reduced in comparison with an interpolation value of 100% biomass and 100% coal. Furthermore, the composition of BrC from bio-coal briquette burning was different, which consisted of more substances with strong wavelength dependence. Consequently, although MAE declined by 60% at a 540 nm wavelength, the AAE value of bio-coal briquette only decreased slightly compared with interpolation values. To be more specific, tar balls, the main existing form of BrC, were distributed much more sparsely in the SEM image of bio-coal briquette. To sum up, a positive reduction effect on BrC was discovered in bio-coal briquette. It is evident that bio-coal briquette can serve as an alternative solid fuel for residential combustion, which is beneficial for both human health and the atmosphere. Full article
(This article belongs to the Section Environmental and Green Processes)
Show Figures

Figure 1

12 pages, 286 KB  
Article
Decomposition of Linear Operators on Pre-Euclidean Spaces by Means of Graphs
by Hani Abdelwahab, Elisabete Barreiro, Antonio J. Calderón and José M. Sánchez
Mathematics 2023, 11(3), 725; https://doi.org/10.3390/math11030725 - 1 Feb 2023
Viewed by 1699
Abstract
In this work, we study a linear operator f on a pre-Euclidean space V by using properties of a corresponding graph. Given a basis B of V, we present a decomposition of V as an orthogonal direct sum of certain linear subspaces [...] Read more.
In this work, we study a linear operator f on a pre-Euclidean space V by using properties of a corresponding graph. Given a basis B of V, we present a decomposition of V as an orthogonal direct sum of certain linear subspaces {Ui}iI, each one admitting a basis inherited from B, in such way that f=iIfi. Each fi is a linear operator satisfying certain conditions with respect to Ui. Considering this new hypothesis, we assure the existence of an isomorphism between the graphs of f relative to two different bases. We also study the minimality of V by using the graph of f relative to B. Full article
(This article belongs to the Special Issue Functional Analysis, Topology and Quantum Mechanics II)
20 pages, 7231 KB  
Article
Simultaneous Coded Plane-Wave Imaging Using an Advanced Ultrasound Forward Model
by Frank Nicolet, Denis Bujoreanu, Ewen Carcreff, Hervé Liebgott, Denis Friboulet and Barbara Nicolas
Appl. Sci. 2022, 12(24), 12809; https://doi.org/10.3390/app122412809 - 13 Dec 2022
Cited by 12 | Viewed by 2917
Abstract
In the quest for higher acquisition rates of ultrasound images, the simultaneous emission of encoded waves has the potential to overcome the trade-off between acquisition time and image quality. However, the lack of fully orthogonal codes has led to the use of forward [...] Read more.
In the quest for higher acquisition rates of ultrasound images, the simultaneous emission of encoded waves has the potential to overcome the trade-off between acquisition time and image quality. However, the lack of fully orthogonal codes has led to the use of forward models and inverse problem approaches to estimate the imaged medium. Nonetheless, due to some simplifying assumptions on which these models rely, the previously stated trade-off still appears in these acquisition/reconstruction schemes. In this paper, a forward model for ultrasound wave propagation inside a scattering medium is developed for the simultaneous coded emission of plane waves. The tissue reflectivity function of the imaged medium is estimated by solving an 1-regularized version of the corresponding inverse problem. The proposed method is evaluated in silico and in vitro. We demonstrate that this method outperforms the conventional technique that consists of successive emissions of plane waves, reconstruction using delay and sum (DAS), and coherent compounding. In silico, the ability to separate close scatterers is improved by a factor of four in the axial direction and by a factor of 2.5 in the lateral direction. In vitro, the spatial resolution at −6 dB is decreased by a factor of seven. These results suggest that the proposed method could be a valuable tool, particularly for ultrasound imaging of sparse mediums such as in ultrasound localization microscopy. Full article
(This article belongs to the Special Issue Advanced Medical Signal Processing and Visualization)
Show Figures

Figure 1

13 pages, 2141 KB  
Article
A Three-Phase CDRT Strategy Based on Successive Relay for Smart Grid
by Mofan Luo, Geng Liu, Jie Ren, Liang Yao, Ying Liu, Jianjian Song, Jian Chen and Yuchen Zhou
Electronics 2022, 11(22), 3673; https://doi.org/10.3390/electronics11223673 - 10 Nov 2022
Viewed by 1638
Abstract
In the vision of the future smart grid, the communication is often featured by wide range, massive connect, and low latency, which poses new requirements on the reachable distance and spectral efficiency of wireless communication. In this regard, this paper studies ergodic capacity [...] Read more.
In the vision of the future smart grid, the communication is often featured by wide range, massive connect, and low latency, which poses new requirements on the reachable distance and spectral efficiency of wireless communication. In this regard, this paper studies ergodic capacity enhancement by applying successive relay (SR) technology to a non-orthogonal multiple access (NOMA) based Coordinated Direct and Relay transmission (CDRT) system, where a base station (BS) communicates with a near user (NU) directly while communicating with a far user (FU) with the help of a group of relays. We design a novel three-phase CDRT strategy based on SR technology to overcome the half-duplex (HD) constrain without introducing additional noise. The proposed strategy can improve the spectral efficiency while expanding the communication coverage, which to some extent improves the communication quality of the edge users of the smart grid and reduces the communication delay. To analyze the performance of the proposed three-phase CDRT strategy, an exact and closed-form expression for ergodic capacity of the NU, the FU, and the whole system is derived. Finally, the numerical and simulation results validate the analysis results and show that the proposed strategy can improve the ergodic capacity of FU without reducing the capacity scaling of NU. Full article
(This article belongs to the Section Power Electronics)
Show Figures

Figure 1

18 pages, 481 KB  
Article
On Convergence of Support Operator Method Schemes for Differential Rotational Operations on Tetrahedral Meshes Applied to Magnetohydrodynamic Problems
by Yury Poveshchenko, Viktoriia Podryga and Parvin Rahimly
Mathematics 2022, 10(20), 3904; https://doi.org/10.3390/math10203904 - 20 Oct 2022
Viewed by 1471
Abstract
The problem of constructing and justifying the discrete algorithms of the support operator method for numerical modeling of differential repeated rotational operations of vector analysis (curlcurl) in application to problems of magnetohydrodynamics is considered. [...] Read more.
The problem of constructing and justifying the discrete algorithms of the support operator method for numerical modeling of differential repeated rotational operations of vector analysis (curlcurl) in application to problems of magnetohydrodynamics is considered. Difference schemes of the support operator method on the unstructured meshes do not approximate equations in the local sense. Therefore, it is necessary to prove the convergence of these schemes to the exact solution, which is possible after analyzing the error structure of their approximation. For this analysis, a decomposition of the space of mesh vector functions into an orthogonal direct sum of subspaces of potential and vortex fields is introduced. Generalized centroid-tensor metric representations of repeated operations of tensor analysis (div, grad, and curl) are constructed. Representations have flux-circulation properties that are integrally consistent on spatial meshes of irregular structure. On smooth solutions of the model magnetostatic problem on a tetrahedral mesh with the first order of accuracy in the rms sense, the convergence of the constructed difference schemes is proved. The algorithms constructed in this work can be used to solve physical problems with discontinuous magnetic viscosity, dielectric permittivity, or thermal resistance of the medium. Full article
Show Figures

Figure 1

Back to TopTop