Abstract
In this work, we study a linear operator f on a pre-Euclidean space by using properties of a corresponding graph. Given a basis of , we present a decomposition of as an orthogonal direct sum of certain linear subspaces , each one admitting a basis inherited from , in such way that . Each is a linear operator satisfying certain conditions with respect to . Considering this new hypothesis, we assure the existence of an isomorphism between the graphs of f relative to two different bases. We also study the minimality of by using the graph of f relative to .
MSC:
47A65; 47B37; 05C90
1. Introduction
This paper is motivated by the following problem: If we consider a family of linear operators, where any is a pre-Euclidean space, then we can construct a new linear operator in a natural way
as , where is the pre-Euclidean space defined by componentwise operations. However, what about the converse? That is, if
is a linear operator in a pre-Euclidean space, could we find a family of pre-Euclidean spaces and a family of linear operators in such a way that the following equations are true?
The aim of the present work is to study this problem by giving a positive answer. A pre-Euclidean space is simply a linear space provided with a bilinear form, hence our work covers a wide range of structures. As a tool for our study, we use the techniques of graphs. This allows us to determine the decomposition (1) in an easy way, by looking at a graph of f (and a fixed basis). This result gives us the opportunity to recover a (possible) large linear operator from a family of easier linear operators in a visual and computable way, which we hope will be useful in dealing with linear operators in a vector space endowed with a bilinear map. In recent years, the use of graphs has increased in order to apply them to other areas [1,2,3,4,5]. The application of graphs has been used for the study of linear operators and algebras [6,7,8,9,10,11,12]. As some recently published articles show, this topic is currently very active [13,14,15,16,17,18,19,20,21,22].
For a linear operator in a pre-Euclidean space with a fixed basis , we obtain its decomposition as the orthogonal direct sum of certain linear subspaces , with each one admitting a basis inherited from . This way, f is decomposed as , with each being a linear operator satisfying certain conditions relative to . In addition, for the linear operator f, we present conditions in order to guarantee the existence of an isomorphism between the graphs of f relative to two different bases of . Finally, we analyze the minimality property for by using the graph of f relative to .
The paper is organized as follows. Section 2 contains basic notions needed for the following sections. In Section 3, we associate a graph to any linear operator f, defined in a pre-Euclidean space with a fixed basis . In addition, we introduce the notion of f-indecomposable, in order to characterize it using the connectivity of . In Section 4, we give a definition of f-equivalence, under which the graphs and are isomorphic for two different bases, and of . Moreover, we relate these properties with a definition of equivalent decomposition for f. In Section 5, we analyze the minimality property for by using , the graph of f relative to . Finally, we present our conclusions, where we critically highlight our contributions, and identify strengths and weaknesses to propose paths for future research.
2. Basic Definitions
Throughout this paper, denotes an arbitrary field and all vector spaces are assumed to be arbitrary dimensional and over base field .
Definition 1.
A pre-Euclidean space is a pair , where is an -vector space and is a bilinear form.
Example 1.
endowed with the bilinear form given as , for and fixed is a pre-Euclidean space.
A pre-Euclidean space over the field endowed with an scalar product is a pre-Hilbert space. Therefore, the results in this paper apply to pre-Hilbert spaces. A pre-Euclidean subspace of is a linear subspace U of endowed with the bilinear form . Additionally, given two pre-Euclidean spaces and , a morphism from to is a linear map , satisfying for . An isomorphism is a bijective morphism from to . Moreover, an automorphism is an isomorphism from to itself.
Definition 2.
Let be a pre-Euclidean space.
- i.
- We say that two elements, , are orthogonal if .
- ii.
- The vector subspaces U and W of are orthogonal if for . In this case, we denote it as .
- iii.
- is an orthogonal direct sum of linear subspaces of , with , denoted asif decomposes as a direct sum of linear subspaces , such that whenever .
3. Linear Operator in a Pre-Euclidean Space and Graphs: Decomposition Theorem
We recall that a (directed) graph is a pair , where V is a set of vertices and is a set of (directed) edges connecting the vertices.
Definition 3.
Let be a linear operator in a pre-Euclidean space with a fixed basis . The directed graph of f relative to is , where and
We say that is the (directed) graph associated to f relative to basis .
Example 2.
Let be the pre-Euclidean space over with a fixed basis , such that and the rest zero. Let be the linear operator, defined as
Then, the associated graph is: 

Example 3. 
Let be the pre-Euclidean space over with basis and the bilinear form defined as
Let be the linear operator, given as
Thus, the graph is:

Given two vertices , an undirected path from to is a sequence of vertices with , , such that either or , for . We may introduce an equivalence relation in V: we say that is related to in V, and denote if either or there exists an undirected path from to . In this case, we assert that and are connected and the equivalence class of , denoted by , corresponds to a connected component of the graph . Therefore,
To any , we can associate the linear subspace
Definition 4.
Let be a pre-Euclidean space with basis . A linear subspace U of admits a basis inherited from , if is a basis of U satisfying .
Definition 5.
Let be a linear operator on a pre-Euclidean space with basis . The space is f-decomposable with respect to if , being non-zero linear subspaces admitting a basis inherited from and , . Otherwise, is said to be f-indecomposable with respect to .
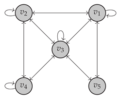
Example 4.
The pre-Euclidean space over of Example 2 is f-indecomposable with respect to .
Example 5.
Let be the pre-Euclidean space defined by the 5-dimensional -vector space with basis , and the bilinear form defined as
and the rest zero. We consider the linear operator given as
and zero on the rest. Then, by denoting as the -linear subspaces of with bases , , respectively, we easily see that
and is f-decomposable with respect to . The associated graph is: 

A graph is connected if any two vertices are connected. Equivalently, a graph is connected if and only if for every partition of its vertices into two non-empty sets, there is an edge with an endpoint in each set.
Theorem 1.
Let be a linear operator on a pre-Euclidean space with basis . Then, the following statements are equivalent.
- i.
- The graph is connected.
- ii.
- is f-indecomposable with respect to .
Proof.
First, we suppose that the graph is connected. Let us assume that is f-decomposable with respect to . Thus, is the orthogonal direct sum
of two linear subspaces and , admitting each one a basis and , respectively, inherited from such that and . Hence, Fix some and . As the graph is connected, it follows that is connected to . Thus, there exists an undirected path
from to . From here, there are and , such that either or . As , we have either or , where is the projection of onto the linear subspace U. Hence, we have either or , where in both cases, it is a contradiction. Therefore, is f-indecomposable with respect to .
Conversely, let us suppose that is f-indecomposable with respect to and is not connected. Then, there exists a partition , such that both and are not in E, for any or . Set and . Then, we have for any and . Moreover, and . Thus, is the orthogonal direct sum
of two linear subspaces and , admitting each one a basis and , respectively, inherited from . Thus, is f-decomposable with respect to , which is a contradiction. □
Corollary 1.
Let be a linear operator in a pre-Euclidean space with the basis . Then, for each , the linear subspace of is f-indecomposable with respect to .
We illustrate our results with a simple example.
Example 6. 
Let be the pre-Euclidean space over with a fixed basis , such that , , and zero on the rest. Let be the linear operator, defined as
Then, the associated graph is:

We have , where are the subspaces with bases and , respectively. As the graph is not connected, we conclude that is f-decomposable with respect to . However, and are f-indecomposable with respect to and , respectively.
Theorem 2.
Let be a linear operator in a pre-Euclidean space . Then, for a fixed basis of , it holds that
with each being a linear subspace of admitting as a basis inherited from . In addition, we have
with each being a linear operator in the pre-Euclidean space , for , such that
Further, for each , is -indecomposable with respect to .
Proof.
Let . Then, from Equations (2) and (3), we can assert that is the direct sum of the family of linear subspaces , and is the basis for , with . Thus, if then , and hence, for any , . From here, it follows that for any . That is, .
Assuming now that for , where is the projection of onto . Then, there exist and , such that with and . As , we have , and therefore, , i.e. . As and , we have , and so, , which is a contradiction. Thus, , and we conclude that . Consequently, each linear subspace of admits a basis inherited from .
As , for each we define the linear operator as and , so .
Now, let us show that each is -indecomposable with respect to . We assume that
where and are non-zero linear subspaces of admitting the -basis and , inherited from , respectively. That is,
Fix some and . As is connected to , there exists an undirected path
from to . From here, there are and , such that either or . As , we have either or . Therefore, we have either or . In both cases, it is a contradiction and the proof is completed. □
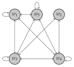
Example 7. 
Let , the 6-dimensional -vector space with basis , and bilinear form be defined as
and the rest zero, with . We consider the linear operator , given as
and zero on the rest, with being the same previous scalars. By denoting , and as the linear subspaces of with bases , , , respectively, we have being f-decomposable with respect to , as
The associated graph is:

Moreover, for , we define as , , , , and zero on the rest ( being the same previous non-zero scalars). We show that
satisfies the condition of Theorem 2, and then is -indecomposable with respect to , for . Clearly, is f-decomposable with respect to .
To identify the components of the decomposition given in Theorem 2, we only need to focus on the connected components of the associated graph.
4. Relating the Graphs Given by Different Choices of Bases
In general, for a linear operator in a pre-Euclidean space , two different bases of determine associated graphs to be not isomorphic, which can give rise to a different decomposition of f, as in Theorem 2. We recall that two graphs, and , are isomorphic if there exists a bijection , such that if and only if . This is shown in the next example.
Example 8.
For the linear operator and pre-Euclidean space of Example 3, if we consider , , , , and for the basis , we get
and also,
Thus, we obtain the associated graph : 

Clearly, is not isomorphic to the associated graph , as stated in Example 3.
Next, we give a condition under which the graphs associated to a linear operator in a pre-Euclidean space , performed by two different bases, are isomorphic. As a consequence, we establish a sufficient condition under which two decompositions of f, induced by two different bases, are equivalent.
Definition 6.
Let be a linear operator in a pre-Euclidean space . Two bases, and of , are f-equivalent if there exists an automorphism satisfying and .
Lemma 1.
Let be a linear operator in a pre-Euclidean space with the basis . Consider the two bases and of . If and are f-equivalent bases, then the associated graphs and are isomorphic.
Proof.
Let us suppose that and are two f-equivalent bases of . Then, there exists an automorphism satisfying and
for , in such a way that for every , there exists a unique verifying .
Let us denote by and the set of vertices and edges of and , respectively. Taking into account that and , and the fact , we have that defines a bijection from V to . Given , we want to show that if and only if . Supposing that , either or . If , then by Equation (4), we have . If , applying to this relation, we would find that . Thus, . The same argument using shows that if , then , because . This fact concludes the proof that and are isomorphic via . □
The following concept is borrowed from the theory of graded algebras (see [23] for examples).
Definition 7.
Let be a pre-Euclidean space and let
be two decompositions of as the orthogonal direct sums of linear subspaces. It is said that Υ and are equivalent if there exists an automorphism , and a bijection , such that for all .
Theorem 3.
Let be a linear operator in a pre-Euclidean space . Then, for the two bases and of , consider the following assertions:
- i.
- The bases and are f-equivalent.
- ii.
- The graphs and are isomorphic.
- iii.
- The decomposition of the linear operator with respect to isgiven bywith , , and the decomposition of f with respect to beingperformed bywith , , are equivalent.
Then, i. implies ii. and iii.
Proof.
The implication from i. to ii. was shown in Lemma 1. Let us prove the implication from i. to iii. Suppose that is an automorphism satisfying and . By the implication from i. to ii., we know that and are isomorphic via , and thus for all . It follows that for all , which proves that the decomposition of corresponding to and are equivalent. □
Remark 1. 
In general, the implication of ii. to i. of Theorem 3 (as well the converse of Lemma 1) is not valid. That is, the fact that the graphs associated with the two bases are isomorphic does not imply that these two bases are f-equivalent. Let be a pre-Euclidean space with the basis , endowed with a bilinear form defined as
and zero on the rest. By denoting , , and , we consider the basis ; thus, we obtain
Therefore, for a zero linear operator f, the associated graphs and are isomorphic:

However, and are not f-equivalent. Indeed, if there exists an isomorphism , such that , we get, for instance,
but
5. Characterization of the Minimality and Weak Symmetry
Let be a graph. Given , we say that a directed path from to is a sequence of vertices satisfying and , such that , for . We also say that is symmetric if for all . Thus, we present the next (weaker) concept in the following section.
Definition 8.
A graph is weakly symmetric if, for any , there exists a directed path from to .
Of course, every symmetric graph is weakly symmetric.
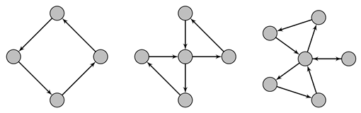
Example 9.
The following graphs are weakly symmetric: 

Definition 9.
Let be a linear operator in a pre-Euclidean space with a basis . We say that is minimal if the unique pre-Euclidean subspaces U admit an inherited basis from , such that are .
Theorem 4.
Let be a linear operator in a pre-Euclidean space with the basis . If is minimal, then the associated graph of f relative to is weakly symmetric.
Proof. 
If is minimal, we know that is the unique non-zero pre-Euclidean subspace that satisfies . Let be the associated graph and take some . Therefore, either or or for some . The first two cases imply . In the last case, we have . Let us now define
As , we have . Thus, let U be the space spanned by . Let and . If , we get , and hence, there exists a directed path from to :

Thus, it implies , and therefore, . As and is minimal, we have , so we conclude and . Thus, there exists a directed path from to , as required. □
Corollary 2.
Let be a linear operator in a pre-Euclidean space with the basis . If is minimal, then the associated graph of f relative to is connected.
Proof.
This is an immediate consequence of Corollary 1 and Theorems 1 and 2. □
Remark 2.
In general, the converse of the previous results are not valid. As a counterexample, let be the pre-Euclidean space over , with the basis and a bilinear form, given as
Let be the linear operator, defined as for . Then, is not minimal, as, for instance, the pre-Euclidean subspace U with inherited basis from satisfies . However, the associated graph is clearly connected and weakly symmetric: 

6. Conclusions
We were motivated by the following situation: If we consider a family of linear operators
where any is a pre-Euclidean space, we can then naturally construct a new linear operator
as , where is the pre-Euclidean space defined by componentwise operations.
In this paper, our purpose was to study the converse problem, and we gave a positive answer by proving in Theorem 2 that, given a linear operator in a pre-Euclidean space, it is possible to find a family of pre-Euclidean spaces , and a family of linear operators in such a way that and . In order to approach our question, we used the technique of graphs. This allowed us to obtain the above decomposition of the pre-Euclidean space and linear operator f in a very practical way, by simply looking at the graph associated to f (and a fixed basis ). In addition, the minimality of our structure was characterized in Theorem 4, which states that, for a linear operator in a minimal pre-Euclidean space (with the basis ), then the associated graph to f relative to is weakly symmetric.
Finally, we would like to note that future research on this topic should work to generalize this result for different classes of operators (not necessarily linear operators) and consider operators on structures different from pre-Euclidean spaces (for instance, Banach spaces).
Author Contributions
All authors have contributed in the: conceptualization; methodology; validation; formal analysis; investigation; writing—original draft preparation; writing—review and editing; supervision; project administration and funding acquisition. All authors have read and agreed to the published version of the manuscript.
Funding
The second author was supported by the Centre for Mathematics from the University of Coimbra—UIDB/00324/2020, funded by the Portuguese Government through FCT/MCTES. The third and fourth authors were supported by the PCI of the UCA ‘Teoría de Lie y Teoría de Espacios de Banach’ and by the PAI, with project number FQM298. The third author was also supported by the project FEDER-UCA18-107643, and by the Spanish project ‘Algebras no conmutativas y de caminos de Leavitt. Algebras de evolución. Estructuras de Lie y variedades de Einstein’.
Data Availability Statement
No new data were created or analyzed in this study. Data sharing is not applicable to this article.
Acknowledgments
The authors would like to thank the reviewers for the comments and suggestions that helped to improve the work.
Conflicts of Interest
The authors declare no conflict of interest.
References
- Barreiro, E.; Calderón, A.J.; Lopes, S.A.; Sánchez, J.M. Leibniz algebras and graphs. Linear Multilinear Algebra 2022. [Google Scholar] [CrossRef]
- Calderón, A.J.; Navarro, F.J. Bilinear maps and graphs. Discrete Appl. Math. 2019, 263, 69–78. [Google Scholar]
- Morales, J.V.S.; Palma, T.M. On quantum adjacency algebras of Doob graphs and their irreducible modules. J. Algebraic Combin. 2021, 54, 979–998. [Google Scholar] [CrossRef]
- Qaralleh, I.; Mukhamedov, F. Volterra evolution algebras and their graphs. Linear Multilinear Algebra 2021, 69, 2228–2244. [Google Scholar] [CrossRef]
- Zhilina, S. Orthogonality graphs of real Cayley-Dickson algebras. Part I: Doubly alternative zero divisors and their hexagons. Internat. J. Algebra Comput. 2021, 31, 663–689. [Google Scholar] [CrossRef]
- Ambrozie, C.; Bračič, J.; Kuzma, B.; Müller, V. The commuting graph of bounded linear operators on a Hilbert space. J. Funct. Anal. 2013, 264, 1068–1087. [Google Scholar] [CrossRef]
- Bailey, S.; Beasley, L.B. Linear operators on graphs which preserve the dot-product dimension. J. Combin. Math. Combin. Comput. 2016, 98, 31–42. [Google Scholar]
- Beasley, L.B. Linear operators on graphs: Genus preservers. Congr. Numer. 2018, 231, 5–13. [Google Scholar]
- Beasley, L.B.; Brown, D.E. Linear operators on graphs that preserve the clique cover number. Congr. Numer. 2015, 225, 83–94. [Google Scholar]
- Beasley, L.B.; Pullman, N.J. Linear operators preserving properties of graphs. Congr. Numer. 1990, 70, 105–112. [Google Scholar]
- Garber, A.I. Graphs of linear operators. Proc. Steklov Inst. Math. 2008, 263, 57–64. (In Russian) [Google Scholar] [CrossRef]
- Zeng, S.B.; Cao, J.L. Closed graph properties of set-valued linear operators. J. Tianjin Univ. 1994, 27, 799–803. (In Chinese) [Google Scholar]
- Yang, F.; Sun, Q.; Zhang, C. Semisymmetric Graphs Defined by Finite-Dimensional Generalized Kac–Moody Algebras. Bull. Malays. Math. Sci. Soc. 2022, 45, 3293–3305. [Google Scholar] [CrossRef]
- Belishev, M.I.; Kaplun, A.V. Canonical representation of the C*-algebra of eikonals related to the metric graph. Izv. Ross. Akad. Nauk Ser. Mat. 2022, 86, 3–50. (In Russian) [Google Scholar]
- Chhiti, M.; Kaiba, K. The total graph of amalgamated algebras. Indian J. Math. 2022, 64, 245–261. [Google Scholar]
- Christoffersen, N.J.; Dutkay, D.E. Representations of Cuntz algebras associated to random walks on graphs. J. Oper. Theory 2022, 88, 139–170. [Google Scholar] [CrossRef]
- Matsumoto, K. On simplicity of the C*-algebras associated with λ-graph systems. J. Math. Anal. Appl. 2022, 515, 126441. [Google Scholar] [CrossRef]
- Myers, T. Constructing Clifford algebras for windmill and dutch windmill graphs; a new proof of the friendship theorem. In Combinatorics, Graph Theory and Computing; Springer Proceedings in Mathematics & Statistics; Springer: Cham, Switzerland, 2022; Volume 388, pp. 47–81. [Google Scholar]
- Ramos, E. The graph minor theorem meets algebra. Notices Amer. Math. Soc. 2022, 69, 1297–1305. [Google Scholar] [CrossRef]
- Rastgar, Z.; Khashyarmanesh, K.; Afkhami, M. On the comaximal (ideal) graph associated with amalgamated algebra. Discrete Math. Lett. 2023, 11, 38–45. [Google Scholar]
- Reis, T.; Cadavid, P. Derivations of evolution algebras associated to graphs over a field of any characteristic. Linear Multilinear Algebra 2022, 70, 2884–2897. [Google Scholar] [CrossRef]
- Larson, D.M. Connectedness of graphs arising from the dual Steenrod algebra. J. Homotopy Relat. Struct. 2022, 17, 145–161. [Google Scholar] [CrossRef]
- Elduque, A.; Kochetov, M. Gradings on Simple Lie Algebras; Mathematical Surveys and Monographs, 189; American Mathematical Society: Providence, RI, USA; Atlantic Association for Research in the Mathematical Sciences (AARMS): Halifax, NS, USA, 2013. [Google Scholar]
Disclaimer/Publisher’s Note: The statements, opinions and data contained in all publications are solely those of the individual author(s) and contributor(s) and not of MDPI and/or the editor(s). MDPI and/or the editor(s) disclaim responsibility for any injury to people or property resulting from any ideas, methods, instructions or products referred to in the content. |
© 2023 by the authors. Licensee MDPI, Basel, Switzerland. This article is an open access article distributed under the terms and conditions of the Creative Commons Attribution (CC BY) license (https://creativecommons.org/licenses/by/4.0/).