Sign in to use this feature.

Years

Between: -

Subjects

remove_circle_outline
remove_circle_outline
remove_circle_outline
remove_circle_outline
remove_circle_outline
remove_circle_outline
remove_circle_outline
remove_circle_outline
remove_circle_outline

Journals

remove_circle_outline
remove_circle_outline
remove_circle_outline
remove_circle_outline
remove_circle_outline

Article Types

Countries / Regions

remove_circle_outline
remove_circle_outline
remove_circle_outline

Search Results (278)

Search Parameters:
Keywords = digital light processing 3D printing

Order results
Result details
Results per page
Select all
Export citation of selected articles as:
29 pages, 10582 KB  
Article
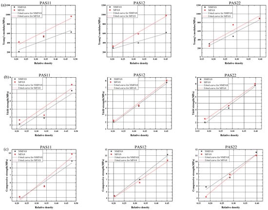
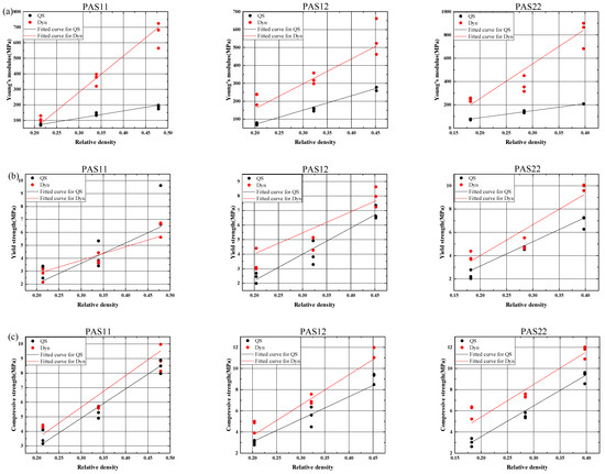
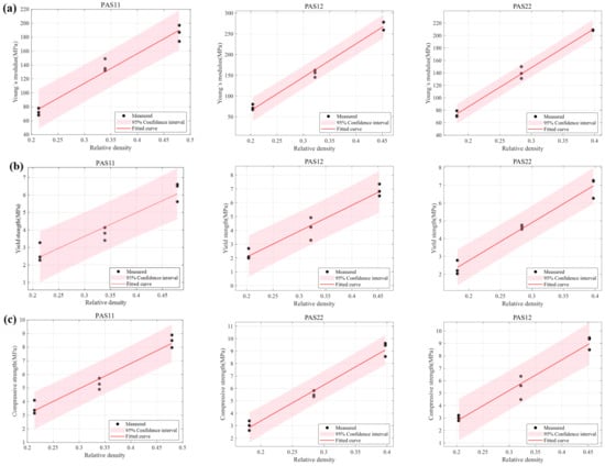
Mechanical Responses of 3D Printed Periodic Arch-Inspired Structures Doped with NdFeB Powder
by Yangsen Wang, Bin Huang and Yan Guo
Mathematics 2026, 14(2), 284; https://doi.org/10.3390/math14020284 - 13 Jan 2026
Abstract
This work explores the mechanical responses of 3D-printed periodic arch-inspired structures (PASs) and PASs doped with NdFeB powder to advance their application in lightweight structural load-bearing and future structure–function integration. Three PAS configurations were fabricated via digital light processing (DLP), and magnetic PASs [...] Read more.
This work explores the mechanical responses of 3D-printed periodic arch-inspired structures (PASs) and PASs doped with NdFeB powder to advance their application in lightweight structural load-bearing and future structure–function integration. Three PAS configurations were fabricated via digital light processing (DLP), and magnetic PASs (MPASs) were produced by dispersing NdFeB powder (1–3 g/200 mL) into photosensitive resin. Under quasi-static compression, key mechanical properties—Young’s modulus (E), yield strength (σy), and compressive strength (σc)—of non-magnetic PASs increase linearly with relative density (ρ* = 0.18–0.48): for PAS22, E rises from 68.1 to 200.3 MPa (+194%), σy from 2.18 to 6.75 MPa (+210%), and σc from 2.98 to 9.07 MPa (+204%). Under dynamic impact (~100 s−1), mechanical enhancement is even more pronounced: E of PAS22 surges to 814.8 MPa (3.2× higher than quasi-static), and σc reaches 11.54 MPa. Finite element simulations reveal that the Ideal Plastic Model best predicts quasi-static brittle fracture, whereas the Hardening Function Model captures dynamic behavior most accurately. Stress and plastic strain concentrate at the straight–arc junctions—identified as critical weak points. MPASs exhibit higher stiffness and yield strength (e.g., E of MPAS22 up to 896.5 MPa under impact) but lower compressive strength (e.g., 11.01 MPa vs. 11.54 MPa for NMPAS22), attributed to NdFeB-induced brittleness that shifts the failure mode from “local damage accumulation” to “rapid overall failure”. This study establishes quantitative doping–structure–property correlations, providing design guidelines for next-generation functional arch-inspired metamaterials toward magnetically responsive, load-bearing applications. Full article
Show Figures

Figure 1

21 pages, 5797 KB  
Article
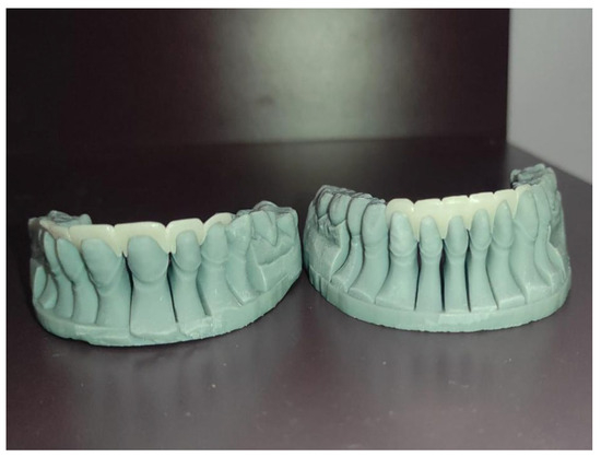
Dental Preparation Guides—From CAD to PRINT and CAM
by Florina Titihazan, Tareq Hajaj, Andreea Codruța Novac, Daniela Maria Pop, Cosmin Sinescu, Meda Lavinia Negruțiu, Mihai Romînu and Cristian Zaharia
Oral 2026, 6(1), 12; https://doi.org/10.3390/oral6010012 - 12 Jan 2026
Abstract
Objectives: The aim of this study was to present and describe a digital workflow integrating Digital Smile Design (DSD) with computer-aided design/computer-aided manufacturing (CAD/CAM) and additive manufacturing technologies for the fabrication of dental preparation guides, focusing on workflow feasibility, design reproducibility, and [...] Read more.
Objectives: The aim of this study was to present and describe a digital workflow integrating Digital Smile Design (DSD) with computer-aided design/computer-aided manufacturing (CAD/CAM) and additive manufacturing technologies for the fabrication of dental preparation guides, focusing on workflow feasibility, design reproducibility, and clinical handling. Materials and Methods: A digital workflow was implemented using intraoral scanning and Exocad DentalCAD 3.1 Elefsina software to design dental preparation guides based on digitally planned restorations. Preparation margins, insertion paths, and minimal material thickness were defined virtually. The guides were fabricated using both subtractive (PMMA milling) and additive (stereolithographic-based 3D printing) manufacturing techniques. Post-processing included chemical cleaning, support removal, additional light curing, and manual finishing. The evaluation was qualitative and descriptive, based on visual inspection, workflow performance, and guide adaptation to printed models. Results: The proposed digital workflow was associated with consistent fabrication of preparation guides and predictable transfer of the virtual design to the manufactured guides. Digital planning facilitated clear visualization of preparation margins and insertion axes, supporting controlled and minimally invasive tooth preparation. The workflow demonstrated good reproducibility and efficient communication between clinician and dental technician. No quantitative measurements or statistical analyses were performed. Conclusions: Within the limitations of this qualitative feasibility study, the integration of DSD with CAD/CAM and 3D printing technologies represents a viable digital approach for designing and fabricating dental preparation guides. The workflow shows potential for improving predictability and communication in restorative dentistry. Full article
Show Figures

Figure 1

12 pages, 3385 KB  
Article
Palatal Vault Depth Affects the Accuracy of the Intaglio Surface of Complete Maxillary Denture Bases Manufactured Through Additive Manufacturing
by Ben J. Smith, Louis George, Duman Davari, Jeremy Collins, Jordan Orth, Mahmoud M. Bakr, Santosh Kumar Tadakamadla and Andrew B. Cameron
Oral 2026, 6(1), 7; https://doi.org/10.3390/oral6010007 - 6 Jan 2026
Viewed by 97
Abstract
Background/Objectives: The purpose of this in vitro study is to evaluate the effect varying palatal vault depths have on the accuracy of complete maxillary denture bases fabricated using additive manufacturing technology. Methods: One hundred complete maxillary denture bases were manufactured on [...] Read more.
Background/Objectives: The purpose of this in vitro study is to evaluate the effect varying palatal vault depths have on the accuracy of complete maxillary denture bases fabricated using additive manufacturing technology. Methods: One hundred complete maxillary denture bases were manufactured on two different digital light processing (DLP) dental 3D printers at five different palatal depths. After manufacturing, the denture bases were post-cured, scanned, and then analyzed in metrology software. Statistically significant differences were determined using two-way ANOVA tests for normally distributed data and the Kruskal–Wallis test for non-normally distributed data. Color deviation maps were used to give clinical relevance to the results. Results: Significant differences were found for both printers among some groups for the different palatal depths. In relation to the negative mean deviation, the data revealed that the NextDent printers were the least accurate (0.047 ± 0.004) in the group with the deepest palate. The positive mean deviation revealed the most deviation (0.077 ± 0.009) in the group with the deepest palate, which was also mirrored in the Asiga printer (0.050 ± 0.002). The color deviation maps revealed areas of positive and negative average deviation in all groups. The effect of the printer model (p = 0.007) and palatal depth (p = 0.04) on negative average deviation was significant. The effect of the interaction of printer and palatal depth was also significant (p = 0.001). Conclusion: Deeper palatal vaults are associated with higher deviation in DLP 3D-printed complete maxillary denture bases manufactured through additive manufacturing. Full article
(This article belongs to the Collection Digital Dentistry: State of the Art and Future Perspectives)
Show Figures

Figure 1

45 pages, 6602 KB  
Review
Four-Dimensional Printing of Shape Memory Polymers for Biomedical Applications: Advances in DLP and SLA Manufacturing
by Raj Kumar Pittala, Marc Anthony Torres, Neha Reddy, Sara Swank and Melanie Ecker
Polymers 2026, 18(1), 24; https://doi.org/10.3390/polym18010024 - 22 Dec 2025
Viewed by 610
Abstract
Shape memory polymers (SMPs) represent an innovative class of materials that possess programmed, reversible shape-changing capabilities in response to external stimuli. The recent emergence of SMPs’ advanced manufacturing, specifically 4D printing, has created exceptional opportunities for use in biomedical engineering. This review presents [...] Read more.
Shape memory polymers (SMPs) represent an innovative class of materials that possess programmed, reversible shape-changing capabilities in response to external stimuli. The recent emergence of SMPs’ advanced manufacturing, specifically 4D printing, has created exceptional opportunities for use in biomedical engineering. This review presents a critical synthesis of the latest advances in the chemistry, biomedical applications, manufacturing strategies, and clinical translation of SMPs, highlighting vat photopolymerization techniques, such as stereolithography (SLA) and digital light processing (DLP). Notably, 4D-printed SMPs can promote spatiotemporally controlled architectures, and applications include minimally invasive implants, dynamic tissue scaffolds, and multifunctional drug delivery. This paper focuses on recent advances in resin design, multi-responsive and nanocomposite resins, AI-guided material discovery, and emerging biocompatible and biodegradable formulations, while outlining current roadblocks to clinical implementation, including cytotoxicity, sterilization, regulatory compliance, and device shelf-life. Our goal is to elucidate the relationship between material design, processing, and biomedical performance to inform researchers of potential future directions for 4D-printed SMPs and next-generation, patient-centered medical devices. Full article
Show Figures

Graphical abstract

16 pages, 6990 KB  
Article
Role of Heat Treatment Atmosphere on the Microstructure and Surface Morphology of DLP-Fabricated High-Entropy Alloy Components
by Jui-Ting Liang, Ting-Hsiang Lin, Vivekanandan Alangadu Kothandan and Shih-Hsun Chen
Materials 2025, 18(24), 5607; https://doi.org/10.3390/ma18245607 - 13 Dec 2025
Viewed by 252
Abstract
AlCrFeNiSi high-entropy alloy (HEA) components were fabricated using digital light processing (DLP) 3D printing, followed by debinding under oxygen-rich and oxygen-deficient atmospheres and sintering at various temperatures. The influence of atmosphere on microstructural evolution, elemental redistribution, and mechanical consolidation was systematically investigated. Oxygen-rich [...] Read more.
AlCrFeNiSi high-entropy alloy (HEA) components were fabricated using digital light processing (DLP) 3D printing, followed by debinding under oxygen-rich and oxygen-deficient atmospheres and sintering at various temperatures. The influence of atmosphere on microstructural evolution, elemental redistribution, and mechanical consolidation was systematically investigated. Oxygen-rich debinding induced oxidation-driven gas formation and surface cracking, whereas oxygen-deficient debinding preserved residual carbon that reduced porosity and enabled earlier densification. The layered microstructure progressively vanished with temperature, and full consolidation was achieved at 1100 °C in oxygen-rich and 1050 °C in oxygen-deficient environments. Correspondingly, both processing conditions yielded similar maximum compressive strengths (~5 MPa), although the oxygen-deficient condition attained this strength at a lower temperature. These findings demonstrate that controlling oxygen exposure during debinding provides an effective pathway to reduce the sintering temperature while maintaining the mechanical performance of DLP-printed AlCrFeNiSi HEA components. Full article
(This article belongs to the Special Issue New Advances in High Entropy Alloys)
Show Figures

Graphical abstract

22 pages, 10256 KB  
Article
Comparative Study on the Wear Resistance of C&B-Type Polymer Materials for Temporary Crowns Manufactured Using 3D DLP Printing Technology
by Marcel Firlej, Daniel Pieniak, Andrzej Snarski-Adamski, Barbara Biedziak, Agata Niewczas, Jana Petru, Jonas Matijošius, Zbigniew Krzysiak and Katarzyna Zaborowicz
Materials 2025, 18(24), 5478; https://doi.org/10.3390/ma18245478 - 5 Dec 2025
Viewed by 395
Abstract
DLP (Digital Light Processing) 3D printing enables precise fabrication of temporary crowns. Tribological properties of these materials affect clinical durability, wear resistance, and masticatory function. This study compared three C&B-type photopolymers for DLP-printed temporary crowns: Gr-17.1 temporary It, Gr-17 temporary (Pro3dure), and VarseoSmile [...] Read more.
DLP (Digital Light Processing) 3D printing enables precise fabrication of temporary crowns. Tribological properties of these materials affect clinical durability, wear resistance, and masticatory function. This study compared three C&B-type photopolymers for DLP-printed temporary crowns: Gr-17.1 temporary It, Gr-17 temporary (Pro3dure), and VarseoSmile Temp (BEGO). Samples were printed, post-processed, and polished. Surface topography (Sa, Sz) was measured via white light interferometry, and scratch resistance was evaluated with a Rockwell indenter. Sliding wear tests under wet conditions (37 °C, 90% RH) were conducted using an SRV 4 tester at 25 N for 20,000 cycles. VarseoSmile Temp showed the highest scratch and sliding wear resistance, with the lowest mean volumetric wear (0.025 mm3) and residual scratch depth, reflecting its higher inorganic filler content (30–50 wt%). Gr-17.1 had the most stable coefficient of friction (~0.3), while Gr-17 experienced the greatest wear (0.235 mm3). No direct correlation between friction and wear was observed. These findings indicate that wear resistance depends on microstructure and filler content, supporting tribological testing as a tool to evaluate the durability of 3D-printed temporary crowns. Full article
Show Figures

Figure 1

22 pages, 356 KB  
Review
Transforming Dental Care, Practice and Education with Additive Manufacturing and 3D Printing: Innovations in Materials, Technologies, and Future Pathways
by Shilthia Monalisa, Mahdieh Alipuor, Debangshu Paul, Md Ataur Rahman, Nazeeba Siddika, Ehsanul Hoque Apu and Rubayet Bin Mostafiz
Dent. J. 2025, 13(12), 555; https://doi.org/10.3390/dj13120555 - 25 Nov 2025
Cited by 2 | Viewed by 1515
Abstract
Additive manufacturing (AM), commonly known as 3D printing, is revolutionizing modern dentistry, introducing high-precision, patient-specific, and digital-driven workflows across prosthodontics, orthodontics, implantology, and maxillofacial surgery. Extensive analysis explores the leading platforms in 3D printing such as stereolithography (SLA), fused deposition modeling (FDM), selective [...] Read more.
Additive manufacturing (AM), commonly known as 3D printing, is revolutionizing modern dentistry, introducing high-precision, patient-specific, and digital-driven workflows across prosthodontics, orthodontics, implantology, and maxillofacial surgery. Extensive analysis explores the leading platforms in 3D printing such as stereolithography (SLA), fused deposition modeling (FDM), selective laser sintering (SLS), digital light processing (DLP), and PolyJet which all achieve superior performance across multiple areas including resolution capabilities, material compatibility options, clinical application readiness, and cost-effectiveness. Additionally, an extensive overview of common materials, including biocompatible polymers (PLA, PMMA, PEEK), metals (titanium, cobalt-chromium), and ceramics (zirconia, alumina, glass-ceramics), sheds light on the critical role of material selection for patient safety, durability, and functional performance. The review explores new advancements such as 4D printing with shape-adaptive smart biomaterials as well as artificial intelligence-enabled digital processes and prosthesis design for the transformation of regenerative dentistry and intraoral drug delivery operations into new domains and the automation of clinical planning. Equally groundbreaking are 3D printing applications in pediatric dentistry, surgical simulation, and dental education. However, full-scale adoption of AM technology is not without challenges, including material toxicity, regulatory hurdles for approval, high initial investments, and the need for extensive digital expertise training. Sustainability concerns are also being addressed, with recycled materials and circular economy models gaining traction. In conclusion, this article advocates for a future where dentistry is shaped by interdisciplinary collaboration, intelligent automation, and hyper-personalized biocompatible solutions, with 3D printing firmly established as the backbone of next-generation dental care. Full article
(This article belongs to the Special Issue 3D Printing Technology in Dentistry)
27 pages, 4957 KB  
Article
Mould-Free Microneedles in a Single Step: 3D Printing with Photopolymer Resins for Transdermal Delivery
by Rutuja N. Meshram and Dimitrios A. Lamprou
Pharmaceutics 2025, 17(11), 1498; https://doi.org/10.3390/pharmaceutics17111498 - 19 Nov 2025
Viewed by 3136
Abstract
Background: Digital light processing (DLP) 3D printing has emerged as a rapid alternative to labour-intensive micro-moulding for producing microneedle (MN) arrays, yet its use in biodegradable, dissolving MNs has been limited by proprietary, non-degradable resins. Methods: The current study proposed an innovative, biocompatible [...] Read more.
Background: Digital light processing (DLP) 3D printing has emerged as a rapid alternative to labour-intensive micro-moulding for producing microneedle (MN) arrays, yet its use in biodegradable, dissolving MNs has been limited by proprietary, non-degradable resins. Methods: The current study proposed an innovative, biocompatible PEGDA–vinyl-pyrrolidone photo-resin with lithium phenyl(2,4,6-trimethylbenzoyl) phosphinate initiator, which systematically optimises its rheology and photo-reactivity for DLP printing. Resin formulations were evaluated through viscosity profiling, cure kinetics, FTIR, and 1H NMR, and MN arrays were printed using a desktop DLP platform and characterised by optical microscopy, mechanical testing, thermal analysis, and dissolution studies. Results: A 40% PEGDA up-to 100% VP blend with 0.4% initiator was identified as providing rapid photopolymerisation, low shrinkage and complete vinyl conversion. Using a desktop DLP platform, 6 × 6 MN patches were printed in a single step without moulds and analysed by optical and scanning electron microscopy. The printed MNs reproduced CAD dimensions with <3% deviation, achieving a height of 1.40 ± 0.02 mm and a base thickness of 1.00 ± 0.01 mm, and showed a tip radius consistent with sharp penetration. Compression testing measured an array force of 32 N, corresponding to ~0.9 N per needle, exceeding the 0.2 N threshold for skin insertion. FTIR and 1H NMR confirmed near-quantitative crosslinking, thermogravimetric and differential scanning calorimetry indicated stability at ambient conditions, and dissolution studies showed complete needle dissolution. Conclusions: An optimised PEGDA/VP resin yields geometrically precise, mechanically robust dissolving MNs in a single step, addressing the limitations of micro-moulding and paving the way for customisable, on-demand transdermal delivery of active molecules and biologics. Full article
(This article belongs to the Special Issue Recent Advances in 3D Printing of Pharmaceutical Dosage Forms)
Show Figures

Graphical abstract

26 pages, 3396 KB  
Article
Effect of Printing Angle and Resin Type on the Flexural Strength of 3D-Printed Dental Materials
by Maria Francesca Sfondrini, Maurizio Pascadopoli, Michael Cerri, Claudia Todaro, Federica Gariboldi and Andrea Scribante
Appl. Sci. 2025, 15(22), 11858; https://doi.org/10.3390/app152211858 - 7 Nov 2025
Viewed by 1053
Abstract
Three-dimensional printing is growing rapidly in applied dentistry. To print faster, increase workflow, and minimise resin consumption, it is important to use the right printer and correct printing orientation. This report aims to analyse whether different printing orientations and types of printing materials [...] Read more.
Three-dimensional printing is growing rapidly in applied dentistry. To print faster, increase workflow, and minimise resin consumption, it is important to use the right printer and correct printing orientation. This report aims to analyse whether different printing orientations and types of printing materials could affect the flexural strength of a series of photopolymerisable resin samples. Seven different dental light-curing resins (Keyguide, C&B, Ivory, Vertysguide, Bite, Tera, and Nextdent Cast) and a single modern digital light processing (DLP) 3D printer (Moon Night) were used for this purpose. Different printing orientations (0°, 45°, and 90°) were evaluated. The resin specimens were designed using 3D Builder 20.0.4.0, MeshMixer 3.5.0 and Chitubox software 2.0.8. A total of 15 specimens (five for each orientation evaluated) in the shape of a rectangular parallelepiped with dimensions of 2 mm × 2 mm × 25 mm were produced for each of the seven selected resin materials with the Moon Night printer. After printing and post-processing (MoonWash 2 and MoonLight 2), each resin specimen was subjected to a mechanical test with a universal testing machine. After breaking the specimen, the flexural strength values were recorded using Bluehill computer software (Instron Corporation, Canton, MA, USA). According to the obtained results, the build angle does not affect the flexural strength of the printed products, whereas the difference occurs due to the different printing materials used. Full article
(This article belongs to the Special Issue Advanced Dental Materials and Its Applications)
Show Figures

Figure 1

12 pages, 2344 KB  
Article
Effect of Geometric Design on the Mechanical Performance of Digital Light Processing (DLP)-Printed Microneedles
by Tuba Bedir, Siba Sundar Sahoo, Sachin Kadian, Oguzhan Gunduz and Roger Narayan
Micromachines 2025, 16(11), 1221; https://doi.org/10.3390/mi16111221 - 27 Oct 2025
Viewed by 635
Abstract
This study describes the processing of microneedle (MN) arrays with three different heights of arrowhead (600 µm (A1), 800 µm (A2), and 1000 µm (A3)), pyramid (600 µm (P1), 800 µm (P2), and 1000 µm (P3)), and turret (600 µm (T1), 800 µm [...] Read more.
This study describes the processing of microneedle (MN) arrays with three different heights of arrowhead (600 µm (A1), 800 µm (A2), and 1000 µm (A3)), pyramid (600 µm (P1), 800 µm (P2), and 1000 µm (P3)), and turret (600 µm (T1), 800 µm (T2), and 1000 µm (T3)) designs using a digital light processing (DLP)-based 3D printing method. The 3D-printed MNs were examined for their morphological characteristics and mechanical performance. Scanning electron microscopy (SEM) imaging confirmed that all of the MNs were fabricated without fracture or bending. Each design exhibited distinct structural characteristics: arrowhead MNs displayed a well-defined morphology with sharp tips, pyramid MNs showed slight layering, and turret MNs, characterized by a wider base and sharp tips, had a smoother surface compared to the other designs. Mechanical tests revealed that the arrowhead MNs carried less load and were more prone to bending, while the pyramid and turret designs provided higher mechanical stability and penetration capacity. The pyramid design (P3) showed the highest mechanical strength, while turret MNs offered a more stable performance despite lower penetration capacity. These findings highlight the critical role of geometric design in optimizing MN performance for effective transdermal drug delivery. Full article
(This article belongs to the Special Issue Current Trends in Microneedles: Design, Fabrication and Applications)
Show Figures

Figure 1

17 pages, 6471 KB  
Article
Bio-Adhesive Lignin-Reinforced Epoxy Acrylate (EA)-Based Composite as a DLP 3D Printing Material
by Jeonghong Ha and Jong Wan Ko
Polymers 2025, 17(21), 2833; https://doi.org/10.3390/polym17212833 - 23 Oct 2025
Viewed by 1097
Abstract
Digital light processing (DLP) 3D printing is a powerful additive manufacturing technique but is limited by the relatively low mechanical strength of cured neat resin parts. In this study, a renewable bio-adhesive lignin was introduced as a reinforcing filler into a bisphenol A-type [...] Read more.
Digital light processing (DLP) 3D printing is a powerful additive manufacturing technique but is limited by the relatively low mechanical strength of cured neat resin parts. In this study, a renewable bio-adhesive lignin was introduced as a reinforcing filler into a bisphenol A-type epoxy acrylate (EA) photocurable resin to enhance the mechanical performance of DLP-printed components. Lignin was incorporated at low concentrations (0–0.5 wt%), and three dispersion methods—magnetic stirring, planetary mixing, and ultrasonication—were compared to optimize the filler distribution. Cure depth tests and optical microscopy confirmed that ultrasonication (40 kHz, 5 h) achieved the most homogeneous dispersion, yielding a cure depth nearly matching that of the neat resin. DLP printing of tensile specimens demonstrated that as little as 0.025 wt% lignin increased tensile strength by ~39% (from 44.9 MPa to 62.2 MPa) compared to the neat resin, while maintaining similar elongation at break. Surface hardness also improved by over 40% at this optimal lignin content. However, higher lignin loadings (≥0.05 wt%) led to particle agglomeration, resulting in diminished mechanical gains and impaired printability (e.g., distortion and incomplete curing at 1 wt%). Fractographic analysis of broken specimens revealed that well-dispersed lignin particles act to deflect and hinder crack propagation, thereby enhancing fracture resistance. Overall, this work demonstrates a simple and sustainable approach to reinforce DLP 3D-printed polymers using biopolymer lignin, achieving significant improvements in mechanical properties while highlighting the value of bio-derived additives for advanced photopolymer 3D printing applications. Full article
Show Figures

Figure 1

11 pages, 2044 KB  
Article
Effect of Debinding Process on Aluminum Nitride Ceramics Fabrication via Digital Light Processing 3D Printing
by Ning Kuang, Wenjie Zhao and Junfei Wu
Polymers 2025, 17(20), 2769; https://doi.org/10.3390/polym17202769 - 16 Oct 2025
Viewed by 846
Abstract
Aluminum nitride (AlN) ceramics exhibit exceptional properties, making them attractive for a wide range of applications. To address the growing need for customized and geometrically intricate AlN components, digital light processing (DLP) has garnered significant interest as a highly promising additive manufacturing technology. [...] Read more.
Aluminum nitride (AlN) ceramics exhibit exceptional properties, making them attractive for a wide range of applications. To address the growing need for customized and geometrically intricate AlN components, digital light processing (DLP) has garnered significant interest as a highly promising additive manufacturing technology. In this study, the effects of the sintering process on DLP 3D printing of AlN ceramics were investigated. An optimized slurry formulation with a solid loading of 52 vol% was developed, exhibiting excellent rheological properties. By applying a controlled sintering heating rate of 0.5 °C/min, dense AlN ceramic components were successfully fabricated, achieving a bending strength of 212.6 MPa. This provides a novel approach for optimizing the DLP additive manufacturing process of AlN ceramics. Full article
(This article belongs to the Special Issue Polymeric Materials and Their Application in 3D Printing, 2nd Edition)
Show Figures

Figure 1

19 pages, 4754 KB  
Article
Comparative Evaluation of SLA and DLP 3D Printing in Dental Implant Guides: Impact on Fabrication Accuracy, Speed, and Resin Usage
by Michel Beyer, Lena Scheller, Alexandru Victor Burde, Sead Abazi, Adelita Sommacal, Lukas Seifert, Neha Sharma and Florian Markus Thieringer
Dent. J. 2025, 13(10), 471; https://doi.org/10.3390/dj13100471 - 16 Oct 2025
Cited by 2 | Viewed by 1723
Abstract
Background: Three-dimensional (3D) printing technologies such as Stereolithography (SLA) and Digital Light Processing (DLP) are widely used in dental implantology for the fabrication of surgical guides. While both methods offer clinical viability, their comparative accuracy, efficiency, and material consumption remain subjects of [...] Read more.
Background: Three-dimensional (3D) printing technologies such as Stereolithography (SLA) and Digital Light Processing (DLP) are widely used in dental implantology for the fabrication of surgical guides. While both methods offer clinical viability, their comparative accuracy, efficiency, and material consumption remain subjects of debate. Objectives: To compare the dimensional accuracy, printing time, and material consumption of dental surgical guides fabricated using an SLA printer (Formlabs Form 3B) and a DLP printer (NextDent 5100) at various printing orientations. Methods: A standardized surgical guide was designed and printed on both printers across seven orientations (0–90°). Five guides per angle were fabricated per technology (n = 35 per printer), scanned, and compared with the CAD reference to evaluate dimensional accuracy. Printing time and resin consumption were recorded. Statistical analyses included the Shapiro–Wilk test and Mann–Whitney U test (α = 0.05). Results: Within the evaluated printers and resins, SLA-printed guides demonstrated slightly lower Root Mean Square (RMS) values in most regions, especially in occlusal and drill hole surfaces, while DLP guides tended to undersize Optimal accuracy was observed at 45° for SLA and 60° for DLP. Material consumption was lower for the SLA printer compared with the DLP printer, but SLA required longer printing time (90–200 min vs. 25–75 min for DLP). Conclusions: Both technologies produced clinically acceptable guides under the tested conditions. The tested SLA printer tended to offer slightly higher accuracy and material efficiency, whereas the DLP printer achieved shorter printing times, supporting its use in high-throughput workflows. Printing orientation significantly influenced accuracy and resource use. Full article
Show Figures

Figure 1

10 pages, 3119 KB  
Article
Printable Silicone-Based Emulsions as Promising Candidates for Electrically Conductive Glass-Ceramic Composites
by Annalaura Zilio and Enrico Bernardo
Crystals 2025, 15(10), 885; https://doi.org/10.3390/cryst15100885 - 14 Oct 2025
Cited by 1 | Viewed by 455
Abstract
The Na2O-SrO-SiO2 system shows promise in the development of glasses that can be transformed into electrically conductive glass ceramics. The conventional processing of such materials usually involves the synthesis of a parent glass, followed by a complex devitrification treatment. This [...] Read more.
The Na2O-SrO-SiO2 system shows promise in the development of glasses that can be transformed into electrically conductive glass ceramics. The conventional processing of such materials usually involves the synthesis of a parent glass, followed by a complex devitrification treatment. This study proposes a simplified approach based on the use of preceramic polymers, namely silicone resins combined with oxide fillers. These systems yield silicate-based ceramics through direct heat treatment, replicating the phase assembly of traditional glass ceramics with no need for prior glass melting. A printable formulation was developed by mixing a silicone resin with an acrylate-based photocurable resin, sodium nitrate and strontium carbonate. The resulting ‘suspension-emulsion’ was later shaped into monolithic components using digital light processing. After pyrolysis in nitrogen atmosphere, the components transformed into SrSiO3 crystals embedded in a composite matrix, in turn composed of glass and turbostratic carbon (the latter specifically offered by the silicone polymer). This combination of crystalline silicates and carbon resulted in measurable electrical conductivity. This study confirms that silicone-derived systems can serve as effective precursors for conductive glass-ceramic analogues, providing an alternative to conventional methods with single-step processing. This approach enables structural shaping through 3D printing and the development of functional properties suitable for electronic or electrochemical applications. Full article
(This article belongs to the Special Issue Advances in Glass-Ceramics)
Show Figures

Figure 1

15 pages, 535 KB  
Review
Rheology of Dental Photopolymers for SLA/DLP/MSLA 3D Printing
by Luka Šimunović, Luka Brenko, Antun Jakob Marić, Senka Meštrović and Tatjana Haramina
Polymers 2025, 17(19), 2706; https://doi.org/10.3390/polym17192706 - 8 Oct 2025
Cited by 4 | Viewed by 1991
Abstract
Vat photopolymerization 3D printing, including stereolithography (SLA), digital light processing (DLP), and masked SLA (mSLA), has transformed dental device fabrication by enabling precise and customizable components. However, the rheological behavior of photopolymer resins is a critical factor that governs the printability, accuracy, and [...] Read more.
Vat photopolymerization 3D printing, including stereolithography (SLA), digital light processing (DLP), and masked SLA (mSLA), has transformed dental device fabrication by enabling precise and customizable components. However, the rheological behavior of photopolymer resins is a critical factor that governs the printability, accuracy, and performance of printed parts. This review surveys the role of viscosity, shear-thinning, and thixotropy in defining the “printability window” of dental resins and explores the relationship between these properties and the formulation and final material performance. Rheological characterization using rotational rheometry provides key insights, with shear rate sweeps and thixotropy tests quantifying whether a resin behaves as Newtonian or pseudoplastic. The literature shows that optimal printability typically requires resins with low to moderate viscosity at shear, moderate thixotropy for stability, and formulations balanced between high-strength oligomers and low-viscosity diluents. The addition of fillers modifies the viscosity and dispersion, which can improve reinforcement but may reduce print resolution if not optimized. Thermal and optical considerations are also coupled with rheology, affecting the curing depth and accuracy. In conclusion, controlling resin rheology is essential for bridging material formulation with reliable clinical outcomes, guiding both resin design and printer process optimization in modern dental applications. Full article
(This article belongs to the Section Polymer Processing and Engineering)
Show Figures

Figure 1

Back to TopTop