Mould-Free Microneedles in a Single Step: 3D Printing with Photopolymer Resins for Transdermal Delivery
Abstract
1. Introduction
2. Materials and Methods
2.1. Materials
2.2. Optimisation of CAD Design and DLP Printing Parameters
2.3. Ink Preparation by Screening of Polymers
2.4. Rheological Characterisation of the Inks
2.5. Fabrication of MN Arrays via DLP 3D Printing
2.6. Fourier-Transform Infrared Spectroscopic Analysis
2.7. Proton Nuclear Magnetic Resonance Detection of Residual Monomers
2.8. Thermal Analysis
2.8.1. Thermogravimetric Analysis
2.8.2. Differential Scanning Calorimetry
2.9. Morphological and Physical Characterisation of MN Arrays
2.10. Mechanical and Insertion Performance of MNs
2.10.1. Parafilm®-Based Insertion Analysis
2.10.2. Ex Vivo Insertion on Porcine Skin and Chicken Breast Models
2.11. Dissolution Behaviour, Swelling Dynamics, and Degradation Analysis of MNs
2.11.1. Dissolution Behaviour
2.11.2. Swelling Study
2.11.3. Degradation Analysis
2.12. Surface Wettability Assessment by Contact Angle Goniometry
2.13. Statistical Analysis
3. Results and Discussion
3.1. Optimisation of CAD Design and DLP Printing Parameters
3.2. Ink Preparation by Screening of Polymers
3.3. Rheological Characterisation of the Ink
3.4. Fabrication of MN Arrays via DLP 3D Printing
3.5. Fourier-Transform Infrared Spectroscopic Analysis
3.6. Proton Nuclear Magnetic Resonance Detection of Residual Monomers
3.7. Thermal Analysis
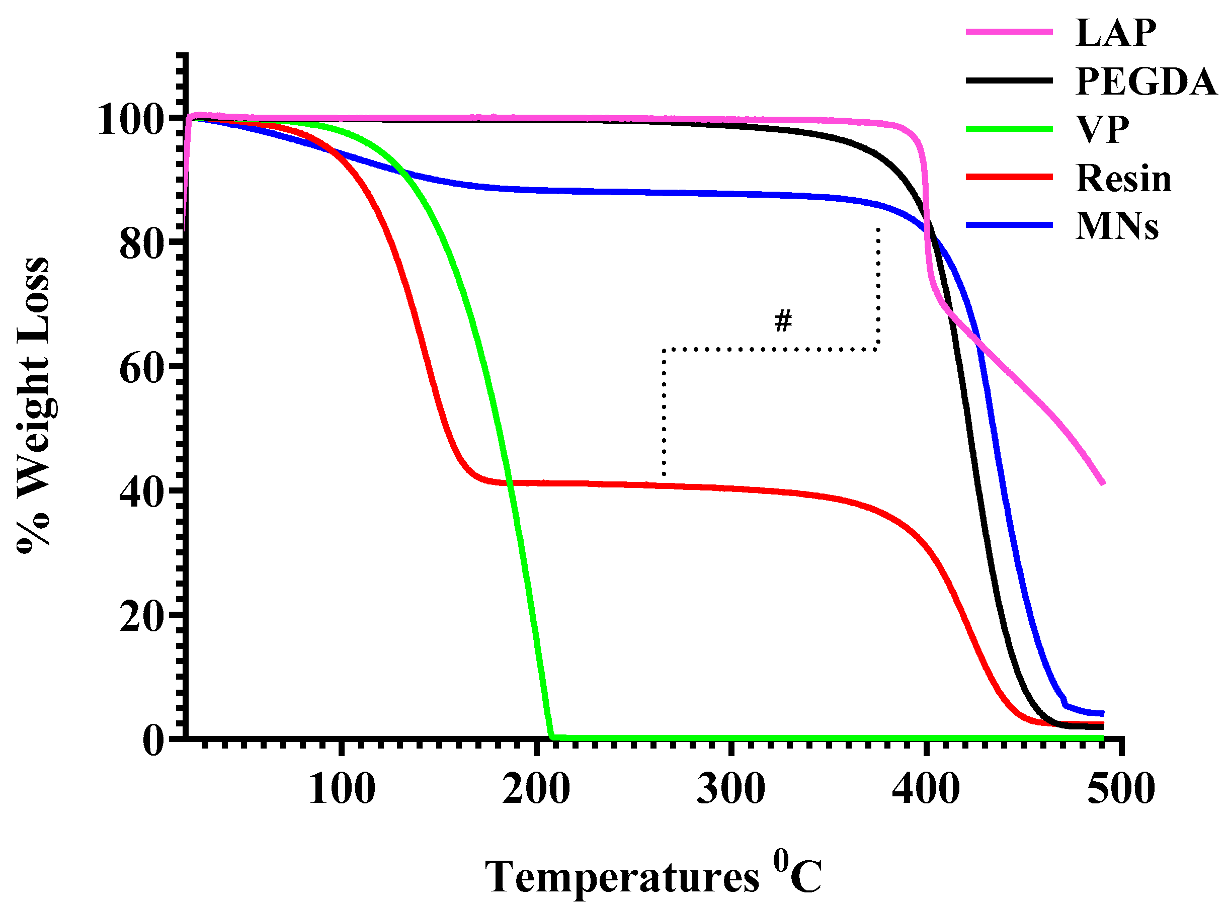
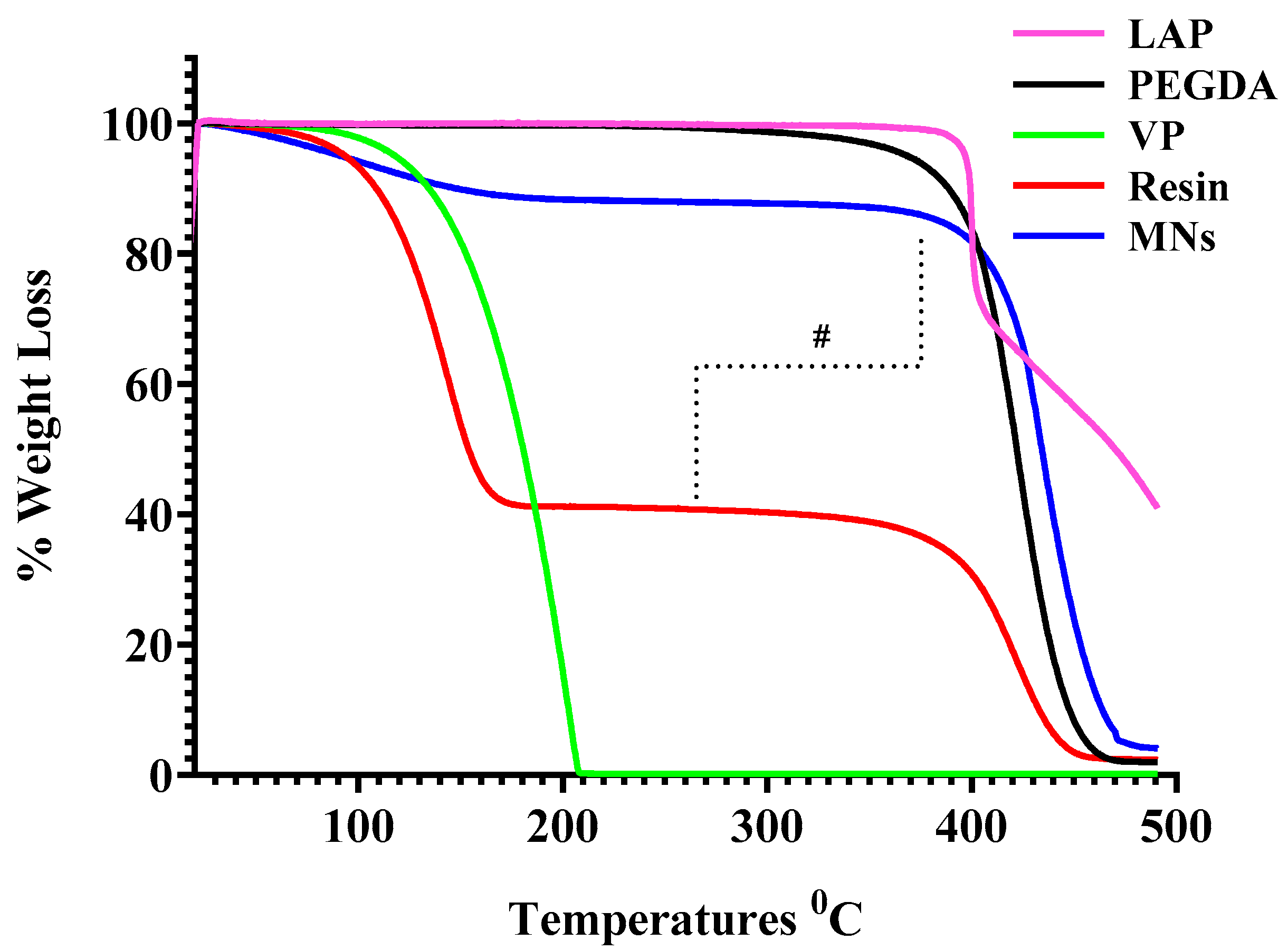
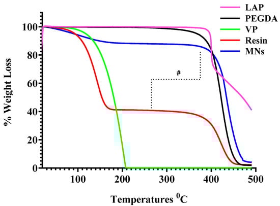
3.7.1. Thermogravimetric Analysis
3.7.2. Differential Scanning Calorimetry
3.8. Morphological and Physical Characterisation of MN Arrays
3.9. Mechanical and Insertion Performance of MNs
3.9.1. Parafilm®-Based Insertion Analysis
3.9.2. Ex Vivo Insertion on Porcine Skin and Chicken Breast Models
3.10. Dissolution Behaviour, Swelling Dynamics, and Degradation Analysis of MNs
3.10.1. Dissolution Behaviour
3.10.2. Swelling Study
3.10.3. Degradation Analysis
3.11. Surface Wettability Assessment by Contact Angle Goniometry
4. Conclusions
Supplementary Materials
Author Contributions
Funding
Institutional Review Board Statement
Informed Consent Statement
Data Availability Statement
Conflicts of Interest
Abbreviations
| 1H NMR | Proton Nuclear Magnetic Resonance |
| ANOVA | Analysis of Variance |
| ATR-FTIR | Attenuated Total Reflectance Fourier-Transform Infrared |
| CAD | Computer-Aided Design |
| CAG | Contact Angle Goniometry |
| DMNs | Dissolving Microneedles |
| DLP | Digital Light Processing |
| DMSO-d6 | Deuterated Dimethyl Sulfoxide |
| DSC | Differential Scanning Calorimetry |
| FTIR | Fourier-Transform Infrared Spectroscopy |
| FIB-SEM | Focused Ion-Beam Scanning Electron Microscopy |
| LAP | Lithium Phenyl(2,4,6-Trimethylbenzoyl) phosphinate |
| MN | Microneedle |
| MNs | Microneedles |
| NA | Not Applicable |
| PBS | Phosphate-Buffered Saline |
| PEGDA | Polyethylene Glycol Diacrylate |
| PVP | Polyvinylpyrrolidone |
| SEM | Scanning Electron Microscopy |
| TA | Texture Analyser |
| TGA | Thermogravimetric Analysis |
| TMS | Tetramethylsilane |
| UV | Ultraviolet |
| VP | Vinylpyrrolidone |
| 3DP | Three-Dimensional Printing |
References
- Kolarsick, P.A.J.; Kolarsick, M.A.; Goodwin, C. Anatomy and Physiology of the Skin. J. Dermatol. Nurses’ Assoc. 2011, 3, 203–213. [Google Scholar] [CrossRef]
- Andrews, S.; Lee, J.W.; Prausnitz, M. Recovery of skin barrier after stratum corneum removal by microdermabrasion. AAPS PharmSciTech 2011, 12, 1393–1400. [Google Scholar] [CrossRef] [PubMed][Green Version]
- Yu, Y.Q.; Yang, X.; Wu, X.F.; Fan, Y.B. Enhancing Permeation of Drug Molecules Across the Skin via Delivery in Nanocarriers: Novel Strategies for Effective Transdermal Applications. Front. Bioeng. Biotechnol. 2021, 9, 646554. [Google Scholar] [CrossRef]
- Phoka, T.; Thanuthanakhun, N.; Visitchanakun, P.; Dueanphen, N.; Wanichwecharungruang, N.; Leelahavanichkul, A.; Palaga, T.; Ruxrungtham, K.; Wanichwecharungruang, S. Detachable-dissolvable-microneedle as a potent subunit vaccine delivery device that requires no cold-chain. Vaccine X 2023, 15, 100398. [Google Scholar] [CrossRef]
- Park, J.; Lee, H.; Lim, G.-S.; Kim, N.; Kim, D.; Kim, Y.-C. Enhanced Transdermal Drug Delivery by Sonophoresis and Simultaneous Application of Sonophoresis and Iontophoresis. AAPS PharmSciTech 2019, 20, 96. [Google Scholar] [CrossRef]
- Panda, P.; Mohanty, T.; Mohapatra, R. Advancements in Transdermal Drug Delivery Systems: Harnessing the Potential of Macromolecular Assisted Permeation Enhancement and Novel Techniques. AAPS PharmSciTech 2025, 26, 29. [Google Scholar] [CrossRef]
- Han, M.; Hyun, D.H.; Park, H.H.; Lee, S.S.; Kim, C.H.; Kim, C. A novel fabrication process for out-of-plane microneedle sheets of biocompatible polymer. J. Micromechanics Microengineering 2007, 17, 1184–1191. [Google Scholar] [CrossRef]
- Aldawood, F.K.; Andar, A.; Desai, S. A Comprehensive Review of Microneedles: Types, Materials, Processes, Characterizations and Applications. Polymers 2021, 13, 2815. [Google Scholar] [CrossRef]
- Rahman, M.; Sahoo, A.; Almalki, W.H.; Almujri, S.S.; Altamimi, A.S.A.; Alhamyani, A.; Akhter, S. Peptide spiders are emerging as novel therapeutic interventions for nucleic acid delivery. Drug Discov. Today 2024, 29, 104021. [Google Scholar] [CrossRef]
- Pires, L.R.; Amado, I.R.; Gaspar, J. Dissolving microneedles for the delivery of peptides—Towards tolerance-inducing vaccines. Int. J. Pharm. 2020, 586, 119590. [Google Scholar] [CrossRef]
- Chen, H.; Wu, B.; Zhang, M.; Yang, P.; Yang, B.; Qin, W.; Wang, Q.; Wen, X.; Chen, M.; Quan, G.; et al. A novel scalable fabrication process for the production of dissolving microneedle arrays. Drug Deliv. Transl. Res. 2019, 9, 240–248. [Google Scholar] [CrossRef] [PubMed]
- Bagde, A.; Dev, S.; Madhavi, K.S.L.; Spencer, S.D.; Kalvala, A.; Nathani, A.; Salau, O.; Mosley-Kellum, K.; Dalvaigari, H.; Rajaraman, S.; et al. Biphasic burst and sustained transdermal delivery in vivo using an AI-optimized 3D-printed MN patch. Int. J. Pharm. 2023, 636, 122647. [Google Scholar] [CrossRef] [PubMed]
- Lim, S.H.; Kathuria, H.; Amir, M.H.B.; Zhang, X.; Duong, H.T.T.; Ho, P.C.; Kang, L. High resolution photopolymer for 3D printing of personalised microneedle for transdermal delivery of anti-wrinkle small peptide. J. Control Release 2021, 329, 907–918. [Google Scholar] [CrossRef]
- Bedir, T.; Kadian, S.; Shukla, S.; Gunduz, O.; Narayan, R. Additive manufacturing of microneedles for sensing and drug delivery. Expert Opin. Drug Deliv. 2024, 21, 1053–1068. [Google Scholar] [CrossRef]
- Bagde, A.; Mosley-Kellum, K.; Spencer, S.; Singh, M. 3D DLP-printed cannabinoid microneedles patch and its pharmacokinetic evaluation in rats. J. Pharm. Pharmacol. 2024, 76, 616–626. [Google Scholar] [CrossRef]
- Huang, P.; Fu, H.; Tan, M.W.M.; Jiang, Y.; Lee, P.S. Digital Light Processing 3D-Printed Multilayer Dielectric Elastomer Actuator for Vibrotactile Device. Adv. Mater. Technol. 2023, 9, 2301642. [Google Scholar] [CrossRef]
- Wojcik, T.; Chai, F.; Hornez, V.; Raoul, G.; Hornez, J.C. Engineering Precise Interconnected Porosity in beta-Tricalcium Phosphate (beta-TCP) Matrices by Means of Top-Down Digital Light Processing. Biomedicines 2024, 12, 736. [Google Scholar] [CrossRef]
- Petrova, E.; Chvila, S.; Stepanek, F.; Zbytovska, J.; Lamprou, D.A. Imiquimod nanocrystal-loaded dissolving microneedles prepared by DLP printing. Drug Deliv. Transl. Res. 2025, 15, 158–170. [Google Scholar] [CrossRef]
- Pitzanti, G.; Mohylyuk, V.; Corduas, F.; Byrne, N.M.; Coulter, J.A.; Lamprou, D.A. Urethane dimethacrylate-based photopolymerizable resins for stereolithography 3D printing: A physicochemical characterisation and biocompatibility evaluation. Drug Deliv. Transl. Res. 2024, 14, 177–190. [Google Scholar] [CrossRef]
- Basic Criteria for the In Vitro Assessment of Dermal Absorption of Cosmetic Ingredients; Scientific Committee on Consumer Safety: Brussels, Belgium, 2010; pp. 1–14.
- Montgomery, S.M.; Demoly, F.; Zhou, K.; Qi, H.J. Pixel-Level Grayscale Manipulation to Improve Accuracy in Digital Light Processing 3D Printing. Adv. Funct. Mater. 2023, 33, 2213252. [Google Scholar] [CrossRef]
- Kundu, A.; Arnett, P.; Bagde, A.; Azim, N.; Kouagou, E.; Singh, M.; Rajaraman, S. DLP 3D Printed “Intelligent” Microneedle Array (iμNA) for Stimuli Responsive Release of Drugs and Its In Vitro and Ex Vivo Characterization. J. Microelectromechanical Syst. 2020, 29, 685–691. [Google Scholar] [CrossRef]
- Alafnan, A.; Seetharam, A.A.; Hussain, T.; Gupta, M.S.; Rizvi, S.M.D.; Moin, A.; Alamri, A.; Unnisa, A.; Awadelkareem, A.M.; Elkhalifa, A.O.; et al. Development and Characterization of PEGDA Microneedles for Localized Drug Delivery of Gemcitabine to Treat Inflammatory Breast Cancer. Materials 2022, 15, 7693. [Google Scholar] [CrossRef] [PubMed]
- Nguyen, A.K.; Goering, P.L.; Elespuru, R.K.; Sarkar Das, S.; Narayan, R.J. The Photoinitiator Lithium Phenyl (2,4,6-Trimethylbenzoyl) Phosphinate with Exposure to 405 nm Light Is Cytotoxic to Mammalian Cells but Not Mutagenic in Bacterial Reverse Mutation Assays. Polymers 2020, 12, 1489. [Google Scholar] [CrossRef]
- Shah, D.M.; Morris, J.; Plaisted, T.A.; Amirkhizi, A.V.; Hansen, C.J. Highly filled resins for DLP-based printing of low density, high modulus materials. Addit. Manuf. 2021, 37, 101736. [Google Scholar] [CrossRef]
- Hamid, Z.A.A.; Lim, K.W. Evaluation of UV-crosslinked Poly(ethylene glycol) Diacrylate/Poly(dimethylsiloxane) Dimethacrylate Hydrogel: Properties for Tissue Engineering Application. In Proceedings of the 5th International Conference on Recent Advances in Materials, Minerals and Environment (Ramm) & 2nd International Postgraduate Conference on Materials, Mineral and Polymer (Mamip), Kuala Trengganu, Malaysia, 15–17 March 2016; Volume 19, pp. 410–418. [Google Scholar] [CrossRef]
- Loría-Bastarrachea, M.I.; Herrera-Kao, W.; Cauich-Rodríguez, J.V.; Cervantes-Uc, J.M.; Vázquez-Torres, H.; Ávila-Ortega, A. A TG/FTIR study on the thermal degradation of poly(vinyl pyrrolidone). J. Therm. Anal. Calorim. 2010, 104, 737–742. [Google Scholar] [CrossRef]
- Sun, M.; Wu, Q.; Xu, J.; He, F.; Brown, A.P.; Ye, Y. Vapor-based grafting of crosslinked poly(N-vinyl pyrrolidone) coatings with tuned hydrophilicity and anti-biofouling properties. J. Mater. Chem. B 2016, 4, 2669–2678. [Google Scholar] [CrossRef]
- Sarsenbekova, A.Z.; Tuleuov, U.B.; Kazhmuratova, A.T.; Bolatbay, A.N.; Zhaparova, L.Z.; Tazhbayev, Y.M. Thermal Stability and Decomposition Mechanisms of PVA/PEGDA-PEGMA IPN-Hydrogels: A Multimethod Kinetic Approach. Polymers 2025, 17, 2805. [Google Scholar] [CrossRef]
- Leanza, M.; Carbone, D.C.; Poggi, G.; Rapisarda, M.; Baiamonte, M.; Spina, E.T.A.; Chelazzi, D.; Baglioni, P.; La Mantia, F.P.; Rizzarelli, P. PP-Based Blends with PVP-I Additive: Mechanical, Thermal, and Barrier Properties for Packaging of Iodophor Pharmaceutical Formulations. Polymers 2025, 17, 2442. [Google Scholar] [CrossRef]
- Shu, Z.; Cao, Y.; Tao, Y.; Liang, X.; Wang, F.; Li, Z.; Li, Z.; Gui, S. Polyvinylpyrrolidone microneedles for localized delivery of sinomenine hydrochloride: Preparation, release behavior of in vitro & in vivo, and penetration mechanism. Drug Deliv. 2020, 27, 642–651. [Google Scholar] [CrossRef]
- Rodriguez-Rivera, G.J.; Green, M.; Shah, V.; Leyendecker, K.; Cosgriff-Hernandez, E. A user’s guide to degradation testing of polyethylene glycol-based hydrogels: From in vitro to in vivo studies. J. Biomed. Mater. Res. A 2024, 112, 1200–1212. [Google Scholar] [CrossRef]














| S.N. | Dimensions (mm) | Number of Needles | Geometry Type Patch | ||
|---|---|---|---|---|---|
| Patch (LWH) | Needle Height | Needle Base Radius | |||
| 1 | 14 × 14 × 1 | 1.3 | 1.0 | 16 | Pyramidal (Square) |
| 2 | 12 × 12 × 1.5 | 1.3 | 0.9 | 20 | Conical (Square) |
| 3 | 12 × 12 × 0.5 | 1.0 | 0.5 | 50 | Conical (Circle) |
| 4 | 10 × 10 × 1 | 1.5 | 0.3 | 16 | Conical (Square) |
| 5 | 10 × 10 × 1 | 1.5 | 0.3 | 36 | Conical (Square) |
| 6 | 8 × 8 × 2 | 1.0 | 0.4 | 21 | Conical (Circle) |
| 7 | 6 × 6 × 1 | 1.5 | 0.6 | 16 | Conical (Square) |
| Materials | Functional Group | Wavelength cm−1 | Reference |
|---|---|---|---|
| VP | −C stretching of the five-membered cyclic lactam structure | 1750 | - |
| C=C stretching of unsaturated groups (alkenes) | 1634 | ||
| C–H bending vibrations from CH3 groups | 1422–1382 | [27] | |
| =C−H stretching and bending vibrations | 845 | ||
| PEGDA | CH2 asymmetric stretch vibration | 2889 | [26] |
| C=O vibrations in acrylates | 1721 | ||
| C=C vibration of the aliphatic double bond | 1623 | ||
| C–O stretch vibration | 1110 | - | |
| CH2=CH symmetrical stretching and vibration | 960, 843 | ||
| C=N and C=C stretching vibration aromatic ring | 1429–1660 | ||
| vibration of the pyrimidine ring | 1348 | ||
| C−O and C−N stretching vibrations | 1180 | ||
| C−N stretching vibrations | 1246 | ||
| MNs | Overlapping ester carbonyl and C−N stretching vibrations | 1660 to 1740 | [18,28] |
| C−O−C linkage | 1000–1040 | - | |
| C=C aromatic stretching | 1454 | - |
Disclaimer/Publisher’s Note: The statements, opinions and data contained in all publications are solely those of the individual author(s) and contributor(s) and not of MDPI and/or the editor(s). MDPI and/or the editor(s) disclaim responsibility for any injury to people or property resulting from any ideas, methods, instructions or products referred to in the content. |
© 2025 by the authors. Licensee MDPI, Basel, Switzerland. This article is an open access article distributed under the terms and conditions of the Creative Commons Attribution (CC BY) license (https://creativecommons.org/licenses/by/4.0/).
Share and Cite
Meshram, R.N.; Lamprou, D.A. Mould-Free Microneedles in a Single Step: 3D Printing with Photopolymer Resins for Transdermal Delivery. Pharmaceutics 2025, 17, 1498. https://doi.org/10.3390/pharmaceutics17111498
Meshram RN, Lamprou DA. Mould-Free Microneedles in a Single Step: 3D Printing with Photopolymer Resins for Transdermal Delivery. Pharmaceutics. 2025; 17(11):1498. https://doi.org/10.3390/pharmaceutics17111498
Chicago/Turabian StyleMeshram, Rutuja N., and Dimitrios A. Lamprou. 2025. "Mould-Free Microneedles in a Single Step: 3D Printing with Photopolymer Resins for Transdermal Delivery" Pharmaceutics 17, no. 11: 1498. https://doi.org/10.3390/pharmaceutics17111498
APA StyleMeshram, R. N., & Lamprou, D. A. (2025). Mould-Free Microneedles in a Single Step: 3D Printing with Photopolymer Resins for Transdermal Delivery. Pharmaceutics, 17(11), 1498. https://doi.org/10.3390/pharmaceutics17111498
