Next Article in Journal
Low-Complexity Numerical Approach for the Diffusion Equation with Variable Diffusion Coefficient
Previous Article in Journal
Multi-Scale Decomposition and Autocorrelation Modeling for Classical and Machine Learning-Based Time Series Forecasting
 
 
Font Type:
Arial Georgia Verdana
Font Size:
Aa Aa Aa
Line Spacing:
Column Width:
Background:
Article

Mechanical Responses of 3D Printed Periodic Arch-Inspired Structures Doped with NdFeB Powder

by
Yangsen Wang
1,
Bin Huang
1,* and
Yan Guo
2,*
1
Zhejiang-Italy Joint Lab for Smart Materials and Advanced Structures, Ningbo University, Ningbo 315211, China
2
College of Science & Technology, Ningbo University, Ningbo 315300, China
*
Authors to whom correspondence should be addressed.
Mathematics 2026, 14(2), 284; https://doi.org/10.3390/math14020284
Submission received: 15 December 2025 / Revised: 8 January 2026 / Accepted: 11 January 2026 / Published: 13 January 2026

Abstract

This work explores the mechanical responses of 3D-printed periodic arch-inspired structures (PASs) and PASs doped with NdFeB powder to advance their application in lightweight structural load-bearing and future structure–function integration. Three PAS configurations were fabricated via digital light processing (DLP), and magnetic PASs (MPASs) were produced by dispersing NdFeB powder (1–3 g/200 mL) into photosensitive resin. Under quasi-static compression, key mechanical properties—Young’s modulus (E), yield strength (σy), and compressive strength (σc)—of non-magnetic PASs increase linearly with relative density (ρ* = 0.18–0.48): for PAS22, E rises from 68.1 to 200.3 MPa (+194%), σy from 2.18 to 6.75 MPa (+210%), and σc from 2.98 to 9.07 MPa (+204%). Under dynamic impact (~100 s−1), mechanical enhancement is even more pronounced: E of PAS22 surges to 814.8 MPa (3.2× higher than quasi-static), and σc reaches 11.54 MPa. Finite element simulations reveal that the Ideal Plastic Model best predicts quasi-static brittle fracture, whereas the Hardening Function Model captures dynamic behavior most accurately. Stress and plastic strain concentrate at the straight–arc junctions—identified as critical weak points. MPASs exhibit higher stiffness and yield strength (e.g., E of MPAS22 up to 896.5 MPa under impact) but lower compressive strength (e.g., 11.01 MPa vs. 11.54 MPa for NMPAS22), attributed to NdFeB-induced brittleness that shifts the failure mode from “local damage accumulation” to “rapid overall failure”. This study establishes quantitative doping–structure–property correlations, providing design guidelines for next-generation functional arch-inspired metamaterials toward magnetically responsive, load-bearing applications.

1. Introduction

Driven by the interdisciplinary development of materials science and structural mechanics, the development of material-structural systems and manufacturing technologies that integrate excellent mechanical properties with specialized functionalities has become a hot research focus [1,2]. On one hand, modern engineering has an increasingly urgent demand for “structure-function integration”. For instance, protective engineering requires both load-bearing capacity and impact resistance, while intelligent equipment demands the synergy of structural support and controllable actuation. On the other hand, traditional manufacturing technologies struggle to achieve the precise integration of complex structures and functional materials. As a disruptive additive manufacturing technology, 3D printing converts digital models into physical entities through layer-by-layer deposition, breaking the limitations of traditional manufacturing on complex structures [3]. It not only enables the fabrication of customized complex structures with reduced material waste but also adapts to the processing of various materials such as metals and composites [4,5,6], providing core technical support for the integrated forming of “functional materials-complex structures”.
Arch structures, as classical mechanical structures, have a design history dating back to the tombs and temples of ancient Egyptian and Greek civilizations [7]. In modern architecture, they are also widely used in large-scale bridges, opera houses, and other structures. By converting vertical loads into axial compressive forces and transferring them along curved paths to the foundation, such structures offer advantages including high mechanical efficiency, strong stability, broad material adaptability, and high space utilization [8,9], making them extensively applicable in construction, transportation, and other fields [10,11,12,13]. The periodic arch-inspired structures (PAS) developed based on this design, which are composed of regularly repeated arch units, further amplify the advantages of mechanical performance [14]. For example, they have high load-bearing capacity and can outperform other structures with the same material consumption. Zhang et al. [15] verified the feasibility of large-span construction using arc-shaped hingeless arch structures through a model of the overlying arch in the shallow buried section of a mountain tunnel. The arch geometry forms a self-stabilization mechanism, and the collaboration of multiple units can absorb energy from dynamic loads. The meta-arch structure (MAS) proposed by Sun et al. [16] and the straight-arch-straight (SAS) series-connected quasi-zero stiffness (QZS) structure proposed by Liu et al. [17] both demonstrated vibration reduction and isolation effects. Moreover, energy can be dissipated through unit deformation when subjected to transient loads. Rafiee et al. [18] conducted numerical studies on masonry arches under seismic loads, and the results showed that arches with relatively weak internal structures could still resist strong dynamic excitations effectively.
Notably, endowing PASs with magnetic functionality can expand their applications in fields such as magnetically controlled protection and intelligent load-bearing. For example, magnetically controlled anti-seismic structures can adjust the horizontal thrust at the arch feet via magnetic fields, while load-bearing components of magnetic soft robots need to balance support and magnetic actuation capabilities [19,20]. As a material with high magnetic energy product, neodymium–iron–boron (NdFeB) has been widely used in soft robots, biomedicine, and other fields [21,22]. Researchers have also explored the applicability of different 3D printing processes for NdFeB materials, including selective laser sintering [23], fused deposition modeling (FDM) [24], and 3D gel printing [25,26]. Han et al. [27] designed a magnetically driven soft crawling robot capable of four-directional movement by combining unidirectional magnetic field actuation and leg friction differences. The robot’s legs were made of a composite material of NdFeB particles and silicone, and its torso was fabricated from polyimide film. Li et al. [28] dispersed NdFeB magnetic particles in a polydimethylsiloxane (PDMS) matrix to design and manufacture an integrated bionic robot with both actuation and sensing functions, confirming the potential of combining NdFeB with 3D printing. Appiah et al. [29] used 3D printing technology to prepare various Ti-6Al-4V triply periodic minimal surface (TPMS) scaffolds, and the results showed that these scaffolds met the mechanical performance and cytocompatibility requirements for tibial weight-bearing implants.
However, integrating NdFeB powder into PASs and fabricating them via 3D printing still faces multiple challenges [30]. NdFeB itself has high hardness and brittleness, which easily leads to cracks and deformation during 3D printing. A study by Slapnik et al. [31] found that NdFeB/PA12 magnets have significant warpage and fracture risks during printing. In addition, the precise control of the material’s microstructure and magnetic properties during the printing process remains an urgent issue to be addressed. Pigliaru et al. [32] prepared NdFeB–polyetheretherketone (PEEK) composite filaments with different filling contents (25%, 50%, 75%wt) and used FDM 3D printing for forming. They found that the printed samples contained pores, and some NdFeB powder was oxidized during printing, resulting in reduced magnetic properties. Hajra et al. [33] discovered that 3D printing introduces high porosity into bonded NdFeB magnets, which in turn leads to decreases in the residual magnetization and magnetic energy product of the magnets. Atomized spherical powder, in particular, is more prone to forming micro-pores, thereby significantly impairing the magnets’ performance. The 3D printing of PASs also presents unique technical difficulties, such as the control of interlayer precision for curved units and the adjustment of unit stress uniformity after powder doping. Currently, relevant research lacks exploration into the combination of PASs and NdFeB doping, and the correlation law between NdFeB doping ratio, microstructure, and the mechanical properties of periodic arches has not been clarified.
In response to the above challenges, subsequent research has achieved certain progress. In terms of process optimization, Sun et al. [34] improved the refinement degree of raw materials through an ultra-fine powder reduction process and optimized the sintering process to enhance the material’s microstructure and densification, thereby significantly suppressing the occurrence of cracks and deformation. The results showed that this method not only improved the mechanical strength and fracture toughness of the magnets but also maintained their excellent magnetic properties. Wang et al. [35] applied a local magnetic field during printing to reorient NdFeB particles along the printing path, ultimately achieving alignment between the magnetization direction and the printing trajectory. Compared with previous discrete magnetization designs, this method effectively avoids problems such as poor interface bonding and discontinuous magnetization. Damnjanović et al. [36] found that plasma treatment can significantly improve the mechanical properties of FDM-printed NdFeB/PA12 magnets while ensuring the magnets maintain good magnetic properties and environmental stability. Pigliaru et al. [37] developed bonded magnets that are both feasible for 3D printing and possess good magnetic properties. Zhou et al. [38] successfully prepared NdFeB/AlSi10Mg composites. Their work indicated that in the future, particle orientation can be regulated via magnetic field-assisted printing, and composition can be optimized to reduce Al-Nd reactions, thereby improving both the magnetic and mechanical properties of the material. Therefore, 3D-printed periodic structures doped with NdFeB powder exhibit unique advantages and enormous application potential.
Previous studies on the mechanical properties of periodic structures have mainly focused on structures made of traditional materials, covering mechanical responses under static and dynamic loads, including load-bearing capacity, deformation characteristics, stability, and energy absorption mechanisms [39,40,41,42,43]. Through theoretical analysis, numerical simulation, and experimental investigation, researchers have established a series of computational models and theoretical systems for the mechanical properties of periodic structures. Li et al. [44] established a multi-scale TPMS scaffold design model using signed distance fields, interpolation merging methods, and an improved Allen–Cahn equation, and proposed a volume merging algorithm with low computational complexity. The results showed that their method can generate porous structures with smooth transitions and constant mean curvature, suitable for additive manufacturing and topology optimization. Gawronska et al. [45] established a numerical model based on strain–stress relationships and geometric conditions and conducted finite element analysis. The results showed that geometric factors of the structure have a significant impact on its stress distribution and thermal conductivity, and such structures exhibit lower stress concentration and better load-bearing performance than cubic reference structures. In terms of numerical simulation, Ghafoorian et al. [46] investigated the heat transfer performance of four TPMS aluminum structures filled with the organic phase change material in a microgravity environment via numerical simulation. They concluded that the Neovius structure has the highest heat transfer efficiency and strongest energy absorption capacity, making it most suitable for passive thermal management. Zhang et al. [47] prepared Ti-6Al-4V alloy and its lattice structures using selective laser melting (SLM), and established a finite element model by combining low-cycle fatigue experiments with constitutive and damage models. This method accurately predicted the fatigue life of the material and structure, and it was found that the diamond lattice has better low-cycle fatigue resistance than the gyroid lattice. Xia et al. [48] performed mechanical simulations on two-dimensional periodic heterogeneous materials using the extended multi-scale isogeometric analysis method (EmsIGA). They found that this method can accurately describe the geometry of smooth inclusions, improve computational efficiency and accuracy, and serve as a new model for the analysis of periodic heterogeneous structures. Liu et al. [49] prepared TPMS structures from Ti-6Al-4V powder via electron beam melting (EBM), established a theoretical model of the effects of topological structure, surface quality, and defects on the stress distribution and fatigue performance of TPMS scaffolds. They proposed that porous scaffolds with excellent fatigue performance under cyclic compressive loads can be obtained by adjusting the topological structure and increasing buckling components. Zhang et al. [50] prepared Ti-6Al-4V lattice structures using SLM and investigated the effects of different node reinforcement methods on mechanical properties. They found that variable cross-section rods achieved the best results, significantly improving the elastic modulus and yield strength while achieving more uniform stress distribution. Qi et al. [51] prepared 3D octahedral trusses and truncated octahedral lattice structures using selective laser melting, and investigated the effects of conical rods on mechanical properties by combining compression experiments, SEM fracture analysis, and finite element simulation. They found that node reinforcement can significantly increase the structural modulus and reduce anisotropy.
In summary, current studies on 3D-printed PASs and NdFeB powder doped PASs lack an understanding of the influence of structural parameters and NdFeB doping on the structural mechanical behaviors. Therefore, this work aims to explore the mechanical responses of 3D-printed PASs and NdFeB powder doped PASs. The work will systematically investigate the effects of NbFeB powder doping, wall thickness, relative density, and other factors on structural mechanical properties (including strength, modulus, yield strength, etc.) through quasi-static compression experiment, dynamic impact experiment, and numerical calculations based on different constitutive models. The relationship and mechanism between each influencing factor and structural mechanical properties are revealed. By predicting the mechanical responses of different structures through unit-cell design, periodic structure design, magnetic powder doping design, etc., it can provide theoretical guidance and technical reference for the integrated design and performance improvement of functional structures of PASs.

2. Material and Methodology

This section elaborates in detail on the design and fabrication (Section 2.1), material characterization (Section 2.2), design mechanism (Section 2.3), constitutive models used (Section 2.4), and finite element analysis method (Section 2.5) of PASs. In the study, basic mechanical parameters of the material are obtained through tensile tests, and structural specimens with relative densities ranging from 0.18 to 0.48 are constructed by adjusting the wall thicknesses of the PASs. In the mechanical response tests, the mechanical response characteristics of the PASs are acquired through quasi-static compression test and dynamic impact test.

2.1. Structural Design and Fabrication

The design process of the PAS is illustrated in Figure 1, with the design steps as follows. Step 1: Construct the basic unit. Taking the structural form of bridges as a design reference, an arch beam unit is built to serve as the core load-bearing unit of the structure. Step 2: Form the connected framework. Four arch beams of the same specification are enclosed to construct a closed four-arch connected framework. Step 3: Optimize the stiffened framework. A “cross-shaped” member is added in the central area of the connected framework to form a stiffened framework, so as to realize the dispersion of node stress and improve the structural stability. Step 4: Assemble the unit cell and cell body. Six identical stiffened frameworks are combined according to the spatial orthogonal relationship to form a cubic unit cell; two cubic unit cells are stacked along the axial axis of the unit cell to form a two-layer cell body. Step 5: Form the two-period structure. With four two-layer cell bodies as the basic units, an array arrangement method is adopted to finally form a PAS with two-period characteristics. In this work, experimental tests are carried out on the unit cell, two-layer cell, and two-period structure, respectively, which are named PAS11, PAS12, and PAS22 correspondingly.
All specimens in this work were fabricated using a YDM-L1001 digital light processing (DLP) stereolithography 3D printer (Yidimu, Shenzhen, China) and rigid photosensitive resin. During the fabrication process, through the selective light transmission control of the LCD screen combined with ultraviolet (UV) irradiation, the liquid photosensitive resin was cured layer by layer and stacked to eventually form a 3D structure. The fabrication process of the magnetic periodic arch-inspired structure (MPAS) doped with neodymium–iron–boron (NdFeB) powder is as follows: 1 g of NdFeB powder was weighed using an electronic balance and added to 600 mL of rigid photosensitive resin in the resin tank. The mixture was then fully stirred using a mechanical stirrer to ensure uniform dispersion of the powder. Finally, the homogeneously mixed NdFeB-resin composite was poured into the 3D printer’s material tank, and the specimen was printed according to the preset model parameters. During the specimen preparation process, the relative density of the structure was adjusted by changing its wall thickness. The relative density is defined as ρ ¯ = ρ/ρ_s, where ρ represents the structural density and ρ_s denotes the density of the solid material. The geometric parameters of the PASs with different wall thicknesses are presented in Table 1. In addition to the 1 g/600 mL ratio, we also prepared resin composites with NdFeB powder at ratios of 1 g/200 mL, 2 g/200 mL, and 3 g/200 mL. Specimens fabricated from these three composites were characterized using a vibrating sample magnetometer (VSM). When the external magnetic field was increased to 20 kOe, the saturation magnetization (Ms) of the samples increased with the NdFeB content, reaching 0.41 emu/g, 0.62 emu/g, and 0.99 emu/g for the 1 g/200 mL, 2 g/200 mL, and 3 g/200 mL samples, respectively. A quantitative analysis indicates that the saturation magnetization increases nearly linearly with NdFeB content in this range; for example, increasing the NdFeB content from 1 g/200 mL to 2 g/200 mL results in approximately a 51% increase in Ms, while increasing from 2 g/200 mL to 3 g/200 mL leads to approximately a 60% increase. These results demonstrate that the magnetic response of the resin composite can be effectively tuned by adjusting the NdFeB content.

2.2. Material Characterization

To meet the material parameter requirements for subsequent finite element analysis, quasi-static tensile tests were conducted on the cured photosensitive resin to obtain its basic mechanical properties. Figure 2 shows the quasi-static and dynamic experimental equipment used in this study. The tensile specimens adopted dumbbell-shaped standard parts, with the following dimensional parameters: total length of 75 mm, thickness of 2 mm, and gauge length of 20 mm. The speed of the tensile test was set to be 1 mm/min. During the test, the force-displacement curve was recorded in real time and converted into an engineering strain–stress curve after test. Here, the engineering stress is calculated as σ = F/S, where F is the load recorded during the test and S is the cross-sectional area of the specimen’s gauge section. The engineering strain is calculated as ε = Δl/l0, where Δl is the tensile deformation of the gauge section and l0 is the initial length of the gauge section.
Figure 3 shows the tensile test process and strain–stress curves, where the stretching process of Test 3 in Figure 3b is depicted in Figure 3a. To ensure the reliability and repeatability of the experimental data, each group of tensile tests was repeated 5 times (Figure 3b), and the average values of the 5 test results were used as the final material property parameters (Figure 3c). Based on the average strain–stress curve, the linear elastic stage of the curve was selected, and the slope of this stage was calculated via linear fitting, which is defined as the Young’s modulus (E) of the material. Using the fitted straight line of the elastic stage as a reference, a parallel line shifted 0.2% to the right along the strain axis was drawn. The stress value corresponding to the intersection of this parallel line and the strain–stress curve is defined as the yield stress σy of the material. The final material parameters of the photosensitive resin are presented in Table 2.

2.3. Design Mechanism

To clarify the influence of “cross-shaped” stiffeners on the mechanical responses of the structures, comparative analyses of the connected framework and stiffened framework were conducted using COMSOL Multiphysics 6.2. In the simulation, the bottom surface of the framework was set to be fully fixed, and a specified vertical displacement load was applied to the top surface. For the design mechanism analysis, the Hardening Function Model was adopted to describe the plastic behavior of the material, with model parameters derived from the tensile test of the photosensitive resin in Section 2.2. Finally, equivalent plastic strains and von Mises stresses were used as core evaluation indices to analyze the stress distribution characteristics and plastic deformations of the two frameworks.
The finite element models of the four-arch connected framework and the stiffened framework, along with their maximum von Mises stress results, are presented in Table 3. In the finite element analyses, all models were discretized using free tetrahedral meshes with four levels of mesh density: normal, fine, finer, and extra fine. The isotropic material model is used for the finite element analysis of both PAS and MPAS in this work. By comparing the results obtained with different mesh densities, it can be observed that the maximum von Mises stress gradually converges as the mesh is refined, indicating good convergence of the finite element solutions. The results reported in this paper correspond to the extra fine mesh. Since the difference in the maximum von Mises stress between the finer and extra fine meshes is negligible, further mesh refinement has a minimal effect on the results. Therefore, to ensure computational efficiency without compromising accuracy, the finer mesh was adopted for all subsequent finite element analyses of the PASs.
From the perspective of structural mechanics, when the top surface of the stiffened framework is subjected to a compressive load, it can be simplified as a planar force system. In the main force transmission path, the vertically and horizontally distributed “cross-shaped” member form core force transmission channel, through which external pressure can be dispersed and transmitted upward, downward, leftward, and rightward. Due to the geometric mutation between the arc segment and the straight segment, stress concentration tends to occur at their junction. Among them, the stress distribution in the straight members (especially the “cross-shaped” intersection area) is relatively uniform. While the arc segment, affected by the curvature effect, exhibits compressive stress on the inner side and tensile stress on the outer side, which conforms to the mechanical characteristics of curved beams. In addition, the connection nodes between arc segments and straight segments (e.g., arc endpoints) are potential stress concentration areas, which are prone to fatigue damage or plastic deformation preferentially under load. In terms of overall deformation characteristics, the framework tends to “concave downward” and compressively shorten in-plane under compressive loads. Since the flexural stiffness of the arc segment is relatively lower than that of the straight segment, its deformation is more significant. When the material’s own stiffness is insufficient, the structure may experience local buckling failure, such as outward bulging of arc segments and lateral bending of straight segments.
Based on the above analysis, Figure 4 presents the influence of structures with and without cross-shaped stiffener on the distributions of equivalent plastic strains under different strain conditions. For the connected framework without stiffener, the maximum equivalent plastic strain is concentrated at the vertical arch crown, as indicated by the star in Figure 4a. When the overall strain reaches 20%, the maximum equivalent plastic strain at this location is 0.46. Under the same strain condition, the equivalent plastic strain at the vertical arch crown of the stiffened framework decreases to 0.36, which is 0.1 lower than that of the connected framework. This indicates that the cross-shaped stiffeners can alleviate the accumulation of plastic deformation in the vertical arch crown. However, the location of the maximum equivalent plastic strain in the stiffened framework shifts significantly, moving to the joint between the straight beam on the upper side of the arch and the arch, as indicated by the star in Figure 4b. The equivalent plastic strain at this location reaches 0.65, which is 0.19 higher than the maximum equivalent plastic strain of the connected framework, making this location prone to shear failure.
Figure 5 illustrates the evolution of von Mises stress in the two frameworks under different strain levels, while Figure 6 further presents the relationship between strain and von Mises stress at the locations of maximum stress. The results show that, for both the connected framework and the stiffened framework, the locations of maximum von Mises stress coincide with those of maximum equivalent plastic strain. Although the stiffened and unstiffened frameworks exhibit nearly identical peak von Mises stresses (~71.17 MPa vs. 71.11 MPa)—a reflection of the material’s intrinsic strength limit governed by the hardening–softening constitutive behavior (peak at ~12% strain, per Figure 3b)—the introduction of the cross-shaped stiffener fundamentally alters the structural response: it does not enhance absolute load capacity, but instead redistributes internal forces and plastic deformation. Specifically, stress and equivalent plastic strain—whose maxima coincide spatially—shift from the vertical arch crowns (in the unstiffened frame) to the straight–arc junctions (in the stiffened frame), suppressing local damage in the former while intensifying plastic strain accumulation in the latter. This subtle 0.06 MPa stress reduction at the global peak belies a significant change in failure mechanism: the stiffened structure exhibits more localized plastic zones and a more controllable, geometry-directed failure pathway. Thus, structural performance cannot be judged by peak stress alone; rather, the spatial evolution, localization, and extent of plasticity govern reliability, energy dissipation, and failure sequence—highlighting a key design principle for PAS optimization: balancing global stiffness gains with targeted mitigation of stress concentrations at geometric singularities.

2.4. Constitutive Models

To accurately describe the mechanical behavior of the material and verify the applicability of the simulation model, four different constitutive models were adopted in this work to simulate the experimental process, namely the Ideal Plastic Model, Bilinear Model, Johnson–Cook Model, and Hardening Function Model. Then, the material parameters of the following constitutive equations were obtained through fitting based on the aforementioned tensile test data, as presented in Table 2.

2.4.1. Ideal Plastic Model

The Ideal Plastic Model refers to a model where after the material reaches the yield stress, the stress remains constant at the yield limit while the strain can increase continuously. The model is expressed as Equation (1).
σ = E ε ,                     σ σ y σ y ,                       σ > σ y
where σ denotes stress, ε denotes strain, σ y denotes yield stress, and E denotes Young’s modulus.

2.4.2. Bilinear Model

The Bilinear Model describes the material as exhibiting a two-stage linear behavior. In the elastic stage, the strain–stress curve starts from the origin and increases linearly, with the slope being the Young’s modulus of the material. When the stress reaches the yield stress, the curve continues to increase linearly at a different slope. The model is expressed as Equation (2) below.
σ = E ε ,                             σ σ y σ y + E t ε ,         σ > σ y
where E and Et represent Young’s modulus and tangent modulus, respectively.

2.4.3. Johnson–Cook Model (J-C Model)

The Johnson–Cook (J-C) Model is a constitutive model suitable for conditions of high strain rate, large deformation, and high temperature. Its plastic flow equation is given by Equation (3).
σ = A + B ε n 1 + C ln ε ˙ * 1 T h m
where A is the yield stress, B and n are the hardening modulus and hardening exponent, and C is the strain rate sensitivity coefficient, obtained by fitting the tensile stress–strain curve. The dimensionless strain rate ε ˙ * = ε ˙ / ε ˙ 0 , where ε ˙ is the effective plastic strain rate and ε ˙ 0 is the reference strain rate, often 1 s−1. The normalized temperature T h m =   ( T T 0 ) / ( T m T 0 ) , where T0 is the reference temperature, Tm is the melting temperature, T is the current temperature, m is the thermal softening exponent. When the effect of temperature is not considered, a simplified version of the J-C Model can be used, as shown in Equation (4).
σ = A + B ε n 1 + C ln ε ˙ *

2.4.4. Hardening Function Model

Hardening Function Model is a mathematical expression that describes how the yield stress σ y changes with plastic deformation after the material enters the plastic stage, and it is given by Equation (5).
σ y = σ y 0 + σ h ε
where σy0 denotes the initial yield stress. In this work, after the material reaches the initial yield stress, the measured strain–stress curve of the material was used as the hardening function σ h ε and imported into the numerical model for simulation.

2.5. Finite Element Analysis

All finite element simulations in this study were carried out using COMSOL Multiphysics 6.2. For the quasi-static compression simulations, the bottom surface of the arch structure was fully fixed, and a prescribed downward displacement was applied to the top surface. Global engineering strain was defined as the ratio of the applied displacement to the initial specimen height, consistent with the experimental protocol. The global compressive stress was computed as the total axial reaction force on the fixed bottom boundary divided by the nominal cross-sectional area, which is equivalent to area-averaging the normal stress over the bottom surface. This definition ensures force equilibrium and direct comparability with experimental engineering stress–strain curves. The resulting global stress–strain relationship was then constructed by plotting the computed stress against the prescribed strain.
To ensure the accuracy and reliability of the numerical results, a mesh refinement study was conducted by progressively increasing the mesh density from normal and fine to finer and extra fine. The results indicate that key mechanical indicators, such as the maximum von Mises stress, gradually converge with mesh refinement, demonstrating good mesh convergence of the finite element solutions. Considering both computational accuracy and efficiency, the finer mesh was adopted for most simulations, as further refinement to the extra fine mesh resulted in negligible changes in the calculated results.
The boundary conditions employed in the dynamic compression simulations were generally consistent with those used in the quasi-static simulations, with the primary difference being the analysis type. The quasi-static compression simulations were performed using a stationary (steady-state) analysis to represent slow loading under low strain-rate conditions. In contrast, the dynamic compression simulations were conducted using a transient analysis approach. The total simulation time was set to 0.00045 s for PAS11 and 0.00065 s for PAS12 and PAS22, corresponding to loading velocities of 1.6 m/s and 3.0 m/s, respectively. The time domain was discretized using a time step of 5 × 10−5 s to accurately capture the dynamic mechanical responses of the structures under high strain-rate loading. Post-processing of energy histories confirms that kinetic energy accounts for >10% of internal energy at early loading stages, verifying the necessity of transient (inertial) analysis for the given impact velocity (1.6–3.0 m/s).

3. Results

Taking the strain–stress curve as the core analysis carrier, this section systematically studies the mechanical responses of the PASs in quasi-static compression and dynamic impact tests, and further deduces the variations in key mechanical properties such as Young’s modulus, yield stress, and compressive strength.

3.1. Mechanical Responses of the Periodic Arch-Inspired Structures

3.1.1. Quasi-Static Compression Test

The quasi-static compression test was conducted using MTS810 material testing machine (Figure 2a, MTS Systems Corporation, Eden Prairie, MN, USA). The testing machine has a load range of ±50 kN and can perform static tensile, compressive, and bending tests on materials under room temperature and high-temperature environments, which meets the requirements of this work for characterizing the quasi-static mechanical properties of the structure. During the test, the force-displacement curve of the structure was recorded and converted into an engineering strain–stress curve using Equations (6) and (7) to quantify the mechanical behavior of the structure.
σ = F S
ε = Δ h h 0
where Δ h is the displacement variation during compression (in mm), and h 0 is the initial height of the specimen (in mm).
Figure 7 presents the engineering strain–stress curves of three PASs (PAS11, PAS12, and PAS22) under a strain rate of 0.001 s−1. In the experiment, each structure was tested three times repeatedly to ensure data reliability. From the curve characteristics, it can be seen that the three structures exhibit consistent strain–stress evolutions. All undergo fracture failure shortly after entering the plastic stage, with failure strains all less than 10%. Additionally, for the same type of structure, as the wall thickness increases (i.e., the relative density of the structure increases), its compressive strength (stress peak) shows a significant upward trend, indicating that wall thickness is a key parameter for regulating the load-bearing capacity of the structure.
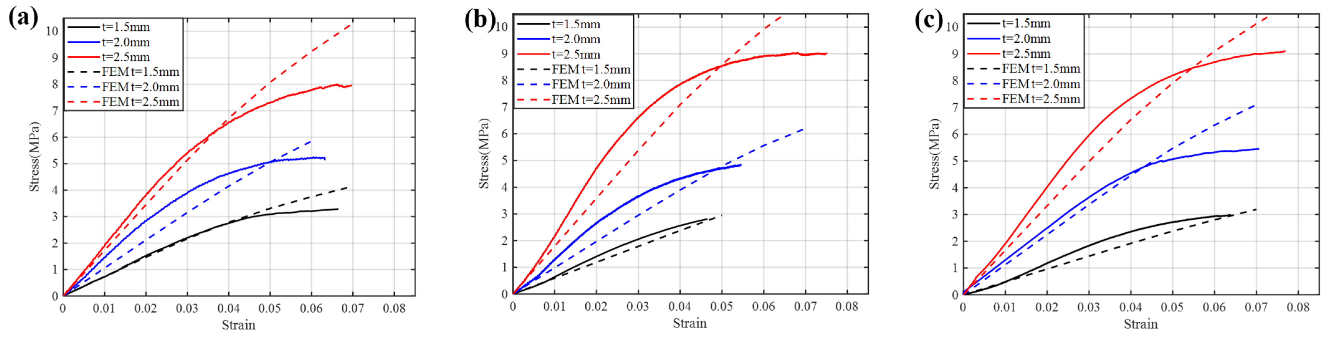
Next, the finite element calculation results using different plastic models were compared with the experimental data. The strain–stress curves from three repeated tests for each structure were averaged, and the results are shown in Figure 8, Figure 9, Figure 10 and Figure 11, where the dashed lines represent the simulation results and the solid lines represent the experimental averages. Through comparative analysis, it is found that in the elastic stage, except for the J–C Model, which has a large deviation from the experimental results, the simulation curves of the Ideal Plastic Model, Bilinear Model, and Hardening Function Model are basically consistent with the calculated Young’s modulus values of the experimental curves, with errors all less than 5%. After entering the plastic stage, only the simulation curve of the Ideal Plastic Model has a high degree of consistency with the trend of the experimental data. This model assumes that the stress does not increase significantly after the material reaches the yield stress, which is consistent with the experimental phenomenon that the structure fractures and fails rapidly after entering the plastic stage without significant stress increase. However, the Bilinear Model, J–C Model, and Hardening Function Model all assume that there is a stress hardening effect after material yielding, causing the simulation curves to show a continuous linear growth characteristic, which deviates greatly from the experimental results.
Figure 12 shows the equivalent plastic strain distribution of the three PASs with different wall thicknesses at a strain of 7%, calculated using the Ideal Plastic Model. Figure 13 presents the von Mises stress distributions of the three structures with a wall thickness of 2 mm at different strains, based on the Ideal Plastic Model. It can be observed from both figures that the von Mises stress distributions of structures with different wall thicknesses are highly consistent. The stress concentration areas coincide with the plastic deformation concentration areas, mainly distributed in the middle of the “cross-shaped” stiffeners and the arched arc segments, indicating that these areas are weak parts during the load-bearing process and prone to damage first. Based on the average strain–stress curve, a further analysis of the variation in the mechanical properties of the same type of structure with wall thickness reveals that the mechanical properties improve significantly with increasing wall thickness. The essential reason for this phenomenon is that the strength of PASs has a strong correlation with their relative density and increasing wall thickness directly leads to an increase in the relative density of the structure, thereby enhancing its load-bearing capacity.
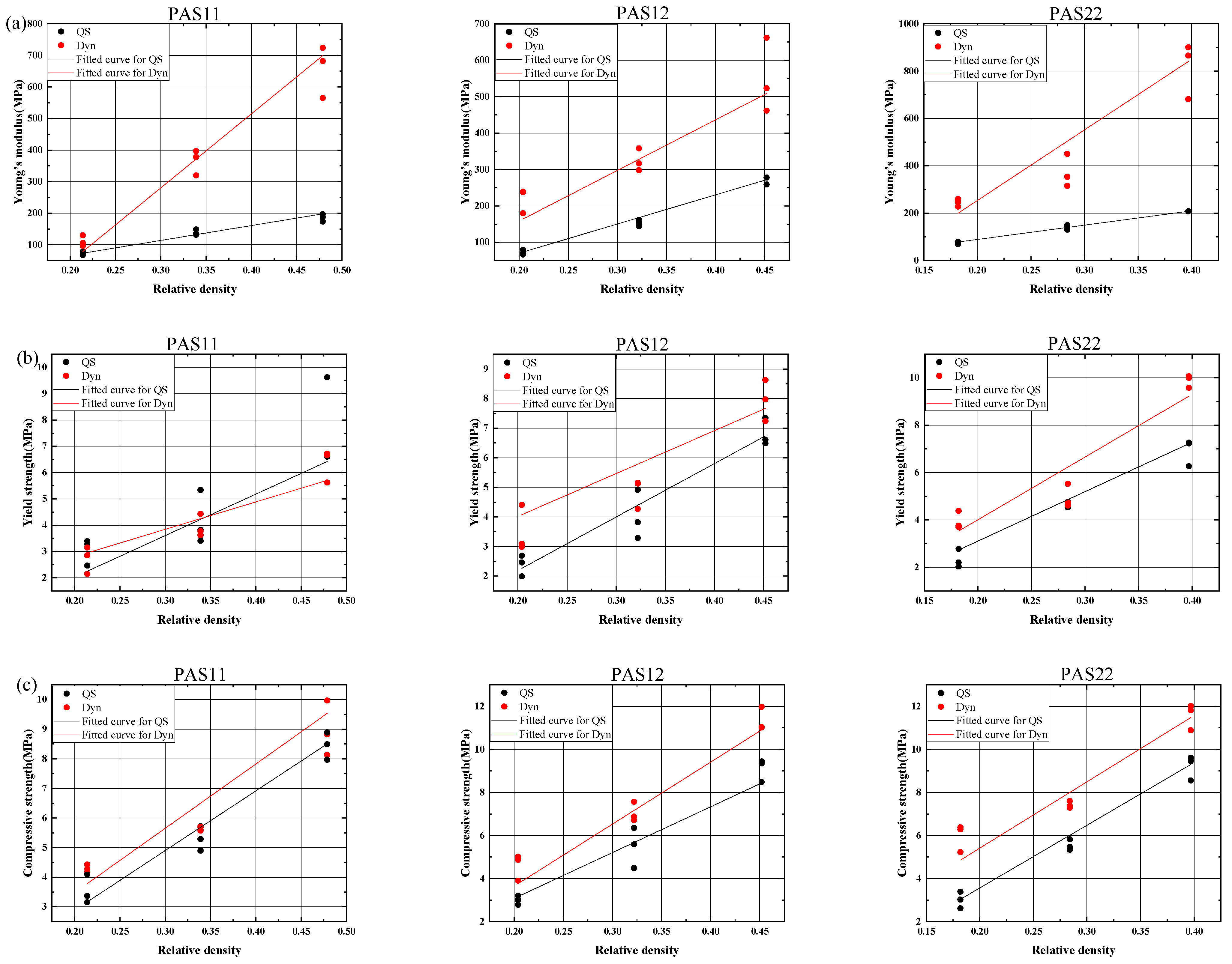
Figure 14 presents the correlation between Young’s modulus, yield strength, compressive strength, and relative density (the shaded area in the figure represents the 95% confidence interval of data fitting). Based on the average strain–stress curve, key mechanical indicators (Young’s modulus, yield strength, compressive strength) are statistically analyzed. The values of Young’s modulus, yield strength, and compressive strength are obtained from the linear fitting curves. For the PAS11, its Young’s modulus rises from 78.12 MPa to 190.79 MPa, yield strength climbs from 2.51 MPa to 6.08 MPa, and compressive strength increases from 3.32 MPa to 8.39 MPa. All three mechanical indicators showing steady growth with Young’s modulus nearly doubling. In comparison, the PAS12 exhibits more pronounced improvements: its Young’s modulus surges from 75.56 MPa to 272.33 MPa (a nearly 3.6-fold increase, the largest growth rate among the three structures), yield strength advanced from 2.18 MPa to 6.91 MPa, and compressive strength grows from 2.91 MPa to 8.95 MPa. Notably, its final compressive strength (8.95 MPa) exceeds that of PAS11 (8.39 MPa), despite having a lower initial compressive strength. As for the PAS22, it stands out in terms of yield strength performance: while its Young’s modulus increases moderately from 73.16 MPa to 212.28 MPa, its yield strength jumps from 2.49 MPa to 6.94 MPa reaching the highest final yield strength among the three structures. Its compressive strength also rises steadily, from 2.91 MPa to 9.06 MPa, ultimately becoming the structure with the strongest compressive resistance. In summary, the mechanical properties of the three PASs all show a significant linear enhancement trend with the increase in relative density, verifying the regulatory effect of relative density on the load-bearing capacity.
To predict the mechanical properties of structures with different relative densities, the Gibson–Ashby (G–A) Model, a classical mechanical model for porous materials, is used to fit and analyze the experimental data. This model can predict the Young’s modulus and yield stress of PASs through basic material parameters, with its expressions given by Equations (8) and (9).
E E s = C 1 ρ ¯ 2
σ * = σ C σ C , s = C 2 ρ ¯ 3 2
where σ* is the relative yield strength, σ C and σ C , s are the compressive yield strength of the PAS and the compressive yield strength of the solid structure, respectively. Es is the Young’s modulus of the solid matrix material. ρ ¯ is the relative density, and C1 and C2 are the dimensionless model fitting parameters.
Figure 15 shows the fitting results of the G–A Model for the experimental data. The fitting parameters of relative Young’s modulus and relative yield stress are discussed below. For PAS11, PAS12, and PAS22, the fitting coefficients C1 for relative Young’s modulus are 1.050, 1.679, and 1.589, respectively, and the fitting coefficients C2 for relative yield stress are 0.697, 0.834, and 1.096, respectively. The fitting results indicate that for the PAS11, when the relative density is lower than 0.35, there is a certain deviation between the model predictions and the experimental results, but the overall variation trend is consistent. The Young’s modulus fitting results of the PAS22 show a similar pattern to that of PAS11, with a small deviation in the low relative density range. In contrast, the yield stress fitting curves of PAS12 and PAS22 are in high agreement with the experimental data, indicating that the G–A Model has better prediction accuracy for the yield stress of these two structures.

3.1.2. Dynamic Impact Test

The dynamic impact test was performed using a split Hopkinson pressure bar (SHPB) device with a diameter of 40 mm (Liwei Machinery Technology Co., Ltd., Luoyang, China), as shown in Figure 2c. In the test, both the incident bar and the transmitted bar were made of aluminum alloy, and the specimen was tightly clamped between the two bars to ensure effective transmission of the applied load. Before the experiment, the air pressure of the chamber pressure controller was set between 0.37 and 0.4 MPa, and the strain rate during the test was controlled at approximately 100 s−1. Strain gauges attached to the surface of the bars were used to collect stress wave signals in real time, thereby obtaining the mechanical response data throughout the test.
The engineering strain–stress curves of three structures with the same wall thickness under impact load are shown in Figure 16. In the plastic stage, different structures exhibit differentiated variation trends. For the PAS11 and PAS12 with a thickness of 2.5 mm, the curves drop rapidly after the stress reaches the peak, indicating that their load-bearing capacity decreases sharply after reaching the compressive strength. However, structures with other thicknesses show a gradual decrease in stress during the plastic stage until final failure, demonstrating a certain degree of residual load-bearing capacity. In contrast, PAS22 can still maintain a relatively high stress level for a period after reaching the peak, resulting in a relatively gentle downward trend of the curve.
The strain–stress curves from multiple repeated tests for each structure were averaged, and numerical simulation was conducted based on these average curves. Three constitutive models were also used in the calculation process: J–C Model, Bilinear Model, and Hardening Function Model. Among them, the parameters of the J–C Model were obtained by fitting the average engineering strain–stress curve under impact load, as given in Table 4. Figure 17, Figure 18 and Figure 19 show the comparison between the strain–stress curves obtained using the three models and the experimental curves (solid lines in the figures represent experimental results, while dashed lines represent simulation results). The results indicate that although the simulation curve of the Hardening Function Model has a small deviation from the experimental result, the overall variation trend is highly consistent. In contrast, the curves of the Bilinear Model and the J–C Model in the plastic stage mostly fail to match the experimental curves, resulting in relatively poor model applicability.
Considering that the distributions of equivalent plastic strains and von Mises stresses of PASs with different wall thicknesses are basically consistent during the simulation. To simplify the description, this work only presents the equivalent plastic strain distributions and von Mises stress distributions of the PASs with a wall thickness of 2 mm under the Hardening Function Model within the strain range of 2–7%, as shown in Figure 20 and Figure 21. Within the applied strain range of 2–7%, that is, within the time range of 0.0002 s to 0.0007 s after the impact occurs, there are significant differences in the evolution of equivalent plastic strain and von Mises stress among the three PASs. For the PAS11, the maximum equivalent plastic strain increases significantly from 0.07 to 0.83. However, the maximum von Mises stress only increases slightly from 29.7 MPa to 30.6 MPa, with a variation amplitude of less than 3%, remaining stable overall. For the PAS12, the maximum equivalent plastic strain increases from 0.10 to 0.55, and the maximum von Mises stress shows a “first increase then decrease” trend. It rises from 30.7 MPa to 32.1 MPa and then drops to 31.4 MPa. The evolution trend of the PAS22 is consistent with that of PAS12. The maximum equivalent plastic strain increases from 0.10 to 0.63, and the maximum von Mises stress rises from 41.3 MPa to 42.3 MPa before falling back to 41.8 MPa. This conclusion is consistent with the trend of the strain–stress curve obtained using the Hardening Function Model in Figure 17. The use of the Hardening Function Model in the calculation is based on the direct import of the experimental engineering strain–stress curve, and the model parameters are highly correlated with the characteristics of the experimental curve. Among them, the experimental curve of the PAS11 tends to flatten after reaching the compressive strength in the plastic stage, with no significant stress decrease. Thus, the maximum von Mises stress obtained from the simulation remains basically stable. In contrast, the experimental curves of the PAS12 and PAS22 show a significant downward trend after reaching the peak in the plastic stage, leading to the “first increase then decrease” characteristic of von Mises stress in the simulation results.
To further clarify the influence of loading rate on the mechanical properties, a comparative analysis was conducted on the differences in mechanical properties of the PASs under quasi-static compression and dynamic conditions. Figure 22 shows the relationship between Young’s modulus, yield strength, and compressive strength of structures with different wall thicknesses and their relative density under two loading conditions. As can be seen from the figure, the overall mechanical properties of the structure under dynamic condition are significantly improved compared with those under quasi-static compression. Based on the average strain–stress curve of the dynamic impact test, the key mechanical indicators are also statistically analyzed. For the PAS11, its Young’s modulus rises from 79.26 MPa to 697.65 MPa, while its yield strength increases from 2.95 MPa to 5.67 MPa and its compressive strength climbs from 3.79 MPa to 9.53 MPa. In the case of the PAS12, Young’s modulus increases from 164.21 MPa to 508.67 MPa, with yield strength rising from 4.08 MPa to 7.66 MPa and compressive strength growing from 3.91 MPa to 10.83 MPa. As for the PAS22, its Young’s modulus surges from 200.10 MPa to 836.97 MPa, yield strength advances from 3.53 MPa to 9.23 MPa, and compressive strength increases from 4.86 MPa to 11.48 MPa. A comparison with the quasi-static compression results reveals that under dynamic impact condition, the Young’s modulus and compressive strength of all three structures are significantly improved, but the yield strength shows a certain degree of reduction. This phenomenon indicates that under a high-strain-rate loading, the PASs have higher stiffness and damage resistance. However, the material is more prone to yielding, and the triggering condition for yield behavior is more relaxed.

3.2. Mechanical Responses of PASs Doped with NdFeB Powder

To investigate the effect of magnetic powder doping on the mechanical properties of PASs, this section conducts mechanical performance tests and analyses on PASs doped with NdFeB powder, hereinafter referred to as magnetic periodic arch-inspired structures (MPAS). The focus is on comparing the response differences between these magnetic structures and non-magnetic periodic arch-inspired structures (NMPAS) under quasi-static compression and dynamic impact conditions.

3.2.1. Quasi-Static Compression Test

Figure 23 presents the engineering strain–stress curves of MPASs under quasi-static compression. To ensure the reliability and repeatability of experimental data, three repeated tests were also performed for each set of parameters of MPASs with different wall thicknesses. The strain–stress curves obtained from the three tests were averaged, and these average curves served as the basic data for the subsequent analyses.
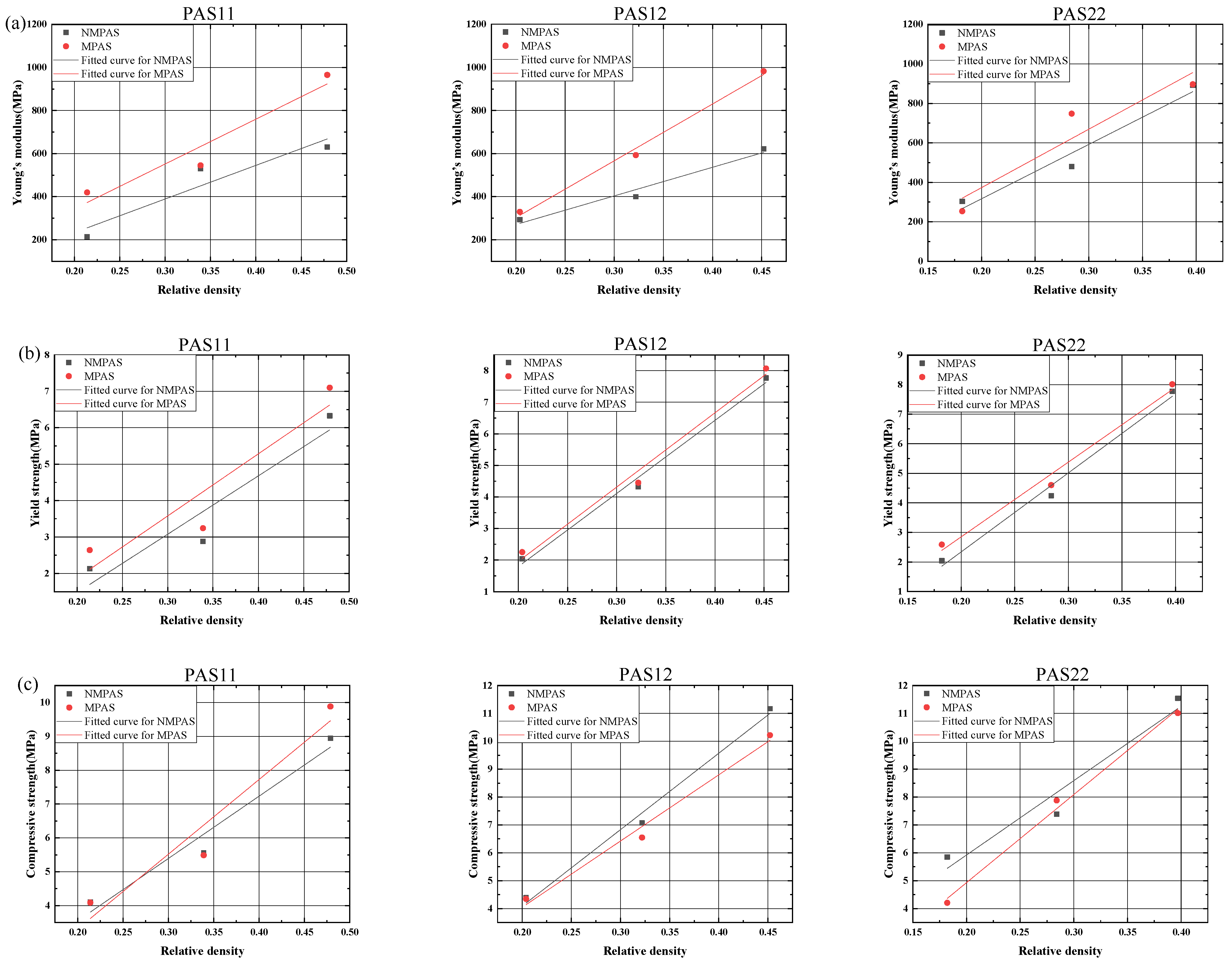
Figure 24 compares the relationships between Young’s modulus, yield strength, compressive strength, and relative density of MPASs and NMPASs. The black curves represent the linear fitting results of NMPAS, while the red curves represent those of MPAS. As shown in the figure, within the relative density range involved in this study (0.18–0.48), all material mechanical indicators of MPASs exhibit a significant linear growth trend with increasing relative density. Specifically, for the MPAS11, its key mechanical properties demonstrate steady growth with increasing relative density: Young’s modulus increases from 79.56 MPa to 194.91 MPa, yield strength rises from 1.45 MPa to 4.51 MPa, and compressive strength climbs from 2.66 MPa to 5.90 MPa. This consistent upward trend reflects the structure’s reliable mechanical response to changes in relative density. The MPAS12 exhibits more striking performance improvements particularly in Young’s modulus by contrast, which surges significantly from 77.65 MPa to 292.63 MPa, signaling a substantial boost in structural stiffness. Its yield strength also advances notably, rising from 1.65 MPa to 5.16 MPa, while compressive strength grew steadily from 2.29 MPa to 7.88 MPa, ultimately achieving the highest compressive strength among the three magnetic structures. As for the MPAS22, it stands out for its exceptional yield strength growth: starting from the lowest initial yield strength (1.29 MPa) among the three, it jumps to 6.05 MPa—a more dramatic increase than its counterparts. While its Young’s modulus increases moderately (from 68.06 MPa to 246.82 MPa), its compressive strength still rises steadily from 1.80 MPa to 8.06 MPa, underscoring a balanced mechanical performance despite its lower initial stiffness. A further comparison of the fitting curves between the two types of structures reveals two key observations: First, the linear fitting curve of “Young’s modulus vs. relative density” for MPAS lies entirely above that of NMPASs, indicating that doping with NdFeB powder can enhance the equivalent modulus of the structure. Second, the fitting curves of “yield stress vs. relative density” and “compressive strength vs. relative density” for MPASs are lower than those of NMPASs. The core reason for this phenomenon is that the uniform dispersion of NdFeB powder in the photosensitive resin matrix enhances the overall brittleness of the structure. This makes the structure more prone to brittle failure during load-bearing, thereby reducing its plastic load-bearing capacity which is manifested as decreases in yield stress and compressive strength.

3.2.2. Dynamic Impact Test

Figure 25 shows the engineering strain–stress curves of three MPAS with different wall thicknesses under dynamic impact condition. Combined with the analysis conclusions of the quasi-static compression test, it can be seen that compared with NMPAS, MPAS exhibit higher brittleness due to the doping of NdFeB powder. This characteristic causes the plastic stage of their strain–stress curves to show more significant overall failure features during dynamic impact. After the stress reaches the peak compressive strength, the structure tends to undergo rapid overall failure, resulting in a sharp downward trend of the curve. Specifically, the MPAS11 with a wall thickness of 2 mm, as well as the MPAS12 and MPAS22 with a wall thickness of 2 mm, all show an obvious stress drop phenomenon after the stress reaches the compressive strength, further verifying the high brittle failure characteristic of MPAS.
To quantitatively analyze the dynamic mechanical properties of MPAS, the curves from multiple repeated tests for each structure were averaged. Based on these average curves, Young’s modulus, yield strength, and compressive strength were calculated, and the correlation between these three indicators and relative density was established, and the results are shown in Figure 26. As indicated in the figure, under dynamic impact condition, the mechanical properties of MPAS also show a significant upward trend with the increase in relative density. It should be noted that the ‘dynamic Young’s modulus’ is defined as the initial slope of the engineering stress–strain curve at 0.5% strain under SHPB loading. It reflects the combined influence of material elasticity, inertial confinement, and structural wave effects, and is not equivalent to the quasi-static elastic modulus. For the MPAS11, its mechanical properties exhibit substantial growth: Young’s modulus increases from 373.50 MPa to 921.01 MPa, yield strength rises from 2.13 MPa to 6.63 MPa, and compressive strength climbs from 3.62 MPa to 9.46 MPa with Young’s modulus achieving a nearly 2.4-fold increase, reflecting a dramatic enhancement in structural stiffness. Turning to the MPAS12, its performance follows a similar upward trend yet with distinct characteristics: Young’s modulus grows from 313.45 MPa to 966.78 MPa (a nearly 3.0-fold jump, the largest growth rate among the three), yield strength advances from 2.04 MPa to 7.86 MPa, and compressive strength increases from4.17 MPa to 10.02 MPa. Notably, its final compressive strength (10.02 MPa) outperforms that of MPAS11, even though it starts with a slightly higher initial compressive strength (4.17 MPa vs. 3.62 MPa). The MPAS22 stands out in terms of yield and compressive strength performance: while its Young’s modulus surges impressively from 320.15 MPa to 953.63 MPa, its yield strength also sees a notable rise, jumping from 2.41 MPa to 7.77 MPa reaching the highest final yield strength of the three MPAS. Additionally, its compressive strength climbs from 4.37 MPa to 11.11 MPa, making it the structure with the strongest final compressive resistance. A comparison between the dynamic mechanical properties of MPAS and NMPAS reveals that under dynamic impact conditions, the Young’s modulus and yield strength of MPAS are higher than those of NMPAS, while their compressive strength is lower. The core reason for this performance difference is that NdFeB powder, as brittle inorganic particles, when uniformly dispersed in the photosensitive resin matrix, significantly enhances the overall brittleness of the material. This transforms the failure mode of the structure under dynamic impact load from “local damage accumulation → overall failure” to “rapid overall failure,” which in turn manifests as a decrease in compressive strength. However, the material stiffness and yield response are improved due to the reinforcing effect of the rigid particles.

4. Conclusions

Based on the arch structures of bridges, monastery and palaces, this work designed and fabricated PASs and NdFeB doped PASs, and conducted structural design, fabrication, mechanical testing, and simulation analysis. In terms of design, using arch beams as the basic unit, a four-arch connected frame was formed by enclosing, with “cross-shaped” stiffener added. Through unit cell combination and array arrangement, three configurations were constructed: unit cell, two-layer cell, and two-period structure. The DLP stereolithography 3D printing technology was adopted to fabricate specimens using photosensitive resin. The relative density was adjusted within the range of 0.18–0.48 by controlling the wall thickness. Meanwhile, MPASs were prepared by doping NdFeB powder. In terms of mechanical properties, Young’s modulus, yield strength, and compressive strength all showed a linear positive correlation with relative density for NMPASs under both quasi-static compression and dynamic impact, and their properties were better under dynamic condition. Finite element calculations showed that the Ideal Plastic Model is suitable for simulating quasi-static brittle failure, while the Hardening Function Model is more applicable for dynamic response calculation. The weak parts of structural strength are the intersections between straight beams and arcs, as well as the arch crowns. For MPASs doped with NdFeB, their Young’s modulus and yield strength were higher than those of NMPASs under both loading conditions. However, their compressive strength decreased under dynamic impact, which transformed the failure mode from “local damage accumulation” to “rapid overall failure.” This work can provide support for the application of PASs in the field of structure-function integration design. In the future, the performance and integration of sensing functions can be further improved through topological optimization.

Author Contributions

Conceptualization, B.H.; Methodology, Y.W.; Formal analysis, Y.G.; Investigation, Y.W.; Writing—original draft, Y.W.; Writing—review & editing, B.H. and Y.G.; Supervision, B.H.; Funding acquisition, B.H. and Y.G. All authors have read and agreed to the published version of the manuscript.

Funding

This work was supported by Zhejiang Provincial Natural Science Foundation of China (Grant No. LQK26A020002), “Innovation Yongjiang 2035” Key R&D Programme (Grant No. 2024H015), Natural Science Foundation of Ningbo (Grant No. 2024J184), and Ningbo Major Research and Development Plan Project (Grant No. 2022Z210).

Data Availability Statement

The original contributions presented in this study are included in the article. Further inquiries can be directed to the corresponding authors.

Conflicts of Interest

The authors declare no conflicts of interest.

References

  1. Schneider, J.; Ebert, M.; Tipireddy, R.; Krishnamurthy, V.R.; Akleman, E.; Kumar, S. Concurrent geometrico-topological tuning of nanoengineered auxetic lattices fabricated by material extrusion for enhancing multifunctionality: Multiscale experiments, finite element modeling and data-driven prediction. Addit. Manuf. 2024, 88, 104213. [Google Scholar]
  2. He, T.; Yang, D.; Chen, H.; Fu, X.; Yang, L.; Tao, Y.; Xiong, J.; Liu, J. A novel hybrid additive and subtractive manufacturing method of carbon fiber reinforced peek with enhanced strength. J. Mater. Res. Technol. 2025, 38, 926–935. [Google Scholar] [CrossRef]
  3. Nazir, A.; Gokcekaya, O.; Md Masum Billah, K.; Ertugrul, O.; Jiang, J.; Sun, J.; Hussain, S. Multi-material additive manufacturing: A systematic review of design, properties, applications, challenges, and 3D printing of materials and cellular metamaterials. Mater. Des. 2023, 226, 111661. [Google Scholar] [CrossRef]
  4. Chen, Q.; Zhao, L.; Xu, L.; Han, Y. Fabricating Ti2AlNb-based high temperature alloy via electron beam powder bed fusion. Mater. Today Commun. 2025, 48, 113682. [Google Scholar]
  5. Hou, X.; Yang, J.; Zhang, Y.; Yan, P.; Wang, Z. Selective laser melting of TiC microparticles strengthened 316 L composites for flexible mechanisms with enhanced mechanical properties. Mater. Today Commun. 2025, 48, 113527. [Google Scholar] [CrossRef]
  6. Shen, D.; Hao, J.; Liu, S.; Rahman, M.T.; Wang, S.; Jhatial, S.H. 3D-printed multilayer GelMA-PVA dual-network hydrogels with gradient andrographolide loading for antimicrobial wound healing: Fabrication, characterization, and in vitro evaluation. Mater. Today Commun. 2025, 48, 113638. [Google Scholar]
  7. Brencich, A.; Morbiducci, R. Masonry Arches: Historical rules and modern mechanics. Int. J. Archit. Herit. 2007, 1, 165–189. [Google Scholar]
  8. Marano, G.C.; Trentadue, F.; Petrone, F. Optimal arch shape solution under static vertical loads. Acta Mech. 2013, 225, 679–686. [Google Scholar] [CrossRef]
  9. Kalapodis, N.; Málaga-Chuquitaype, C.; Kampas, G. Structural efficiency of varying-thickness regolith-based lunar arches against inertial loading. Acta Astronaut. 2022, 191, 438–450. [Google Scholar]
  10. Li, C.; Zhuang, Y.; Lu, Y.; Zheng, G.; Zheng, Y.; Li, W.; Xue, C.; Guo, H.; Fang, Y. Experimental study of the mechanical behavior of a steel arch structure used in the main lining of a highway tunnel. Buildings 2024, 14, 2571. [Google Scholar] [CrossRef]
  11. Mrozek, M.; Mrozek, D.; Smolana, M.; Anguilano, L. Concept and preliminary structural analysis of a crater-covering dome for future lunar habitats. Sci. Rep. 2025, 15, 24744. [Google Scholar] [CrossRef]
  12. Sun, Z.; Zhang, Y.; Yang, D. Structural design, analysis, and experimental verification of an H-style deployable mechanism for large space-borne mesh antennas. Acta Astronaut. 2021, 178, 481–498. [Google Scholar]
  13. Jiang, B.; Xin, Z.; Zhang, X.; Deng, Y.; Wang, M.; Li, S.; Ren, W. Mechanical properties and influence mechanism of confined concrete arches in high-stress tunnels. Int. J. Min. Sci. Technol. 2023, 33, 829–841. [Google Scholar] [CrossRef]
  14. do Rosário, J.J.; Häntsch, Y.; Schneider, G.A.; Lilleodden, E.T. A combined compression and indentation study of mechanical metamaterials based on inverse opal coatings. Acta Mater. 2020, 195, 98–108. [Google Scholar] [CrossRef]
  15. Zhang, Y.-J.; Cao, J.; Xu, H. A design analysis method and its application in the cover arch of cut-and-cover tunnels. Front. Earth Sci. 2023, 11, 1092928. [Google Scholar]
  16. Sun, G.; An, X.; Jiang, R.; Yuan, X.; Hou, X.; Fan, H. Meta-arch structure: Designed reinforcement cage to enhance vibration isolation performance. Int. J. Mech. Sci. 2024, 281, 109692. [Google Scholar] [CrossRef]
  17. Liu, Z.; Lv, Q.; Li, D.; Huan, R.; Huang, Z. A straight-arch-straight beam tandem quasi-zero stiffness structure. Int. J. Mech. Sci. 2025, 286, 109818. [Google Scholar]
  18. Rafiee, A.; Vinches, M.; Bohatier, C. Application of the NSCD method to analyse the dynamic behaviour of stone arched structures. Int. J. Solids Struct. 2008, 45, 6269–6283. [Google Scholar] [CrossRef]
  19. Zareie, S.; Issa, A.S.; Seethaler, R.; Zabihollah, A.; Ahmad, R. A novel SMA-magnetorheological hybrid bracing system for seismic control. Eng. Struct. 2021, 244, 112709. [Google Scholar] [CrossRef]
  20. Qiao, Z.; Teng, X.; Yu, S.; Zhang, L.; Yang, W. A magnetically driven symmetrical leech-inspired soft robot for various applications. J. Magn. Magn. Mater. 2024, 609, 172465. [Google Scholar] [CrossRef]
  21. Bastola, A.; Parry, L.; Worsley, R.; Ahmed, N.; Lester, E.; Hague, R.; Tuck, C. Drop-on-demand 3D printing of programable magnetic composites for soft robotics. Addit. Manuf. Lett. 2024, 11, 100250. [Google Scholar]
  22. Shi, X.; Zhang, L.; Cheng, L.; Xiang, C.; Lee, A.; Ning, H.; Huang, K.; Liu, H.; Liao, H.; An, K.; et al. Multilayer self-sensing hydrogel soft robot prepared via stereolithography for on-demand drug delivery. Chem. Eng. J. 2025, 519, 164352. [Google Scholar] [CrossRef]
  23. Pelevin, I.; Lyange, M.; Fedorenko, L.; Chernyshikhin, S.; Tereshina, I. The laser powder bed fusion of Nd2Fe14B permanent magnets: The state of the art. Condens. Matter 2025, 10, 22. [Google Scholar] [CrossRef]
  24. Huber, C.; Abert, C.; Bruckner, F.; Groenefeld, M.; Schuschnigg, S.; Teliban, I.; Vogler, C.; Wautischer, G.; Windl, R.; Suess, D. 3D printing of polymer-bonded rare-earth magnets with a variable magnetic compound fraction for a predefined stray field. Sci. Rep. 2017, 7, 9419. [Google Scholar] [CrossRef]
  25. Shen, A.; Peng, X.; Bailey, C.P.; Dardona, S.; Ma, A.W.K. 3D printing of polymer-bonded magnets from highly concentrated, plate-like particle suspensions. Mater. Des. 2019, 183, 108133. [Google Scholar]
  26. Liu, C.; Li, Z.; Zhu, X.; Chen, H.; Wang, R.; Li, H.; Zhang, H.; Sun, W.; Lan, H.; Peng, Z. Direct ink writing 3D printing of special-shaped permanent magnets via room temperature fast-curing NdFeB slurry. Addit. Manuf. Front. 2025, 4, 200210. [Google Scholar] [CrossRef]
  27. Han, L.; Wang, K.; Wang, H.; Si, J.; Nie, M. A multi-directional magnetic-driven multifunctional soft crawling robot. Appl. Mater. Today 2024, 38, 102202. [Google Scholar]
  28. Li, Y.; Wang, R.; Li, P.; Chen, X.; Zhao, Y.; Yi, L.; Liu, Z.; Xia, R.; Liu, F. Driving-sensing integrated magnetic soft robots via laser thermal printing. Chem. Eng. J. 2024, 500, 157353. [Google Scholar] [CrossRef]
  29. Appiah, M.; Arafat, A.; Gupta, A.; Arjunan, A.; Baroutaji, A.; Robinson, J.; Wanniarachchi, C.T.; Singh, M.; Ashwood, N.; Vance, A. 3D printed titanium TPMS for personalised tibial bone implant. Biomed. Eng. Adv. 2025, 9, 100166. [Google Scholar] [CrossRef]
  30. Skalon, M.; Görtler, M.; Meier, B.; Arneitz, S.; Urban, N.; Mitsche, S.; Huber, C.; Franke, J.; Sommitsch, C. Influence of melt-pool stability in 3D printing of NdFeB magnets on density and magnetic properties. Materials 2019, 13, 139. [Google Scholar]
  31. Slapnik, J.; Pulko, I.; Rudolf, R.; Anžel, I.; Brunčko, M. Fused filament fabrication of Nd-Fe-B bonded magnets: Comparison of PA12 and TPU matrices. Addit. Manuf. 2021, 38, 101745. [Google Scholar]
  32. Pigliaru, L.; Rinaldi, M.; Ciccacci, L.; Norman, A.; Rohr, T.; Ghidini, T.; Nanni, F. 3D printing of high performance polymer-bonded PEEK-NdFeB magnetic composite materials. Funct. Compos. Mater. 2020, 1, 4. [Google Scholar] [CrossRef]
  33. Hajra, G.; Brunčko, M.; Gusel, L.; Anžel, I. Comparative analysis of a 3D printed polymer bonded magnet composed of a TPU-PA12 matrix and Nd-Fe-B atomised powder and melt spun flakes respectively. J. Mater. Res. Technol. 2025, 34, 748–760. [Google Scholar] [CrossRef]
  34. Sun, Z.; Li, L.; Yang, G.; Zheng, X. Evaluating the practical magnetic properties of permanent magnets in multi-source magnetic devices via cross-scale micromagnetic simulation method. J. Sci. Adv. Mater. Devices 2025, 10, 100940. [Google Scholar]
  35. Wang, C.; Zhao, Z.; Li, Z.; Jia, Y.; Sharma, A.A.; Zhang, X.S. Direct ink writing of magnetic soft materials with optimized printing path. Addit. Manuf. 2025, 105, 104770. [Google Scholar] [CrossRef]
  36. Damnjanović, A.; Primc, G.; Zaplotnik, R.; Mozetič, M.; Kovačević, N. The impact of plasma surface treatments on the mechanical properties and magnetic performance of FDM-printed NdFeB/PA12 magnets. Materials 2024, 17, 2275. [Google Scholar] [CrossRef]
  37. Pigliaru, L.; Paleari, L.; Bragaglia, M.; Nanni, F.; Ghidini, T.; Rinaldi, M. Poly-ether-ether-ketone—Neodymium-iron-boron bonded permanent magnets via fused filament fabrication. Synth. Met. 2021, 279, 116857. [Google Scholar]
  38. Zhou, J.; Chen, Q.; Ming, X.; Li, R. Laser powder bed fusion of NdFeB particles modified AlSi10Mg composites: Processing, microstructure and mechanical properties. J. Alloys Compd. 2025, 1038, 182780. [Google Scholar]
  39. Liu, Z.; Wang, M.; Guo, P.; Gao, D.; Gao, Y.; Yang, J. Bio-inspired wall thickness modulation of hybrid TPMS structures for enhanced energy absorption. Eng. Struct. 2025, 343, 121020. [Google Scholar] [CrossRef]
  40. Mancini, E.; Utzeri, M.; Farotti, E.; Lattanzi, A.; Sasso, M. DLP printed 3D gyroid structure: Mechanical response at meso and macro scale. Mech. Mater. 2024, 192, 104970. [Google Scholar] [CrossRef]
  41. Abueidda, D.W.; Bakir, M.; Abu Al-Rub, R.K.; Bergström, J.S.; Sobh, N.A.; Jasiuk, I. Mechanical properties of 3D printed polymeric cellular materials with triply periodic minimal surface architectures. Mater. Des. 2017, 122, 255–267. [Google Scholar] [CrossRef]
  42. Huffman, B.; Singh, A.; Koohbor, B.; Youssef, G. Vat photopolymerization 3D printing of glass microballoon-reinforced TPMS meta-structures. Compos. Part B Eng. 2024, 287, 111799. [Google Scholar]
  43. Zhou, B. An efficient method to estimate the structural stiffness of large periodic floating plate-like structures. Ocean Eng. 2025, 335, 121636. [Google Scholar] [CrossRef]
  44. Li, Y.; Xia, Q.; Kang, S.; Kwak, S.; Kim, J. A practical algorithm for the design of multiple-sized porous scaffolds with triply periodic structures. Math. Comput. Simul. 2024, 220, 481–495. [Google Scholar] [CrossRef]
  45. Gawronska, E.; Dyja, R. A numerical study of geometry’s impact on the thermal and mechanical properties of periodic surface structures. Materials 2021, 14, 427. [Google Scholar] [CrossRef]
  46. Ghafoorian, F.; Wang, Y.; Wan, H. Numerical analysis of thermal performance in triply periodic minimal surface structures with phase change material for passive thermal management. J. Energy Storage 2025, 134, 118093. [Google Scholar] [CrossRef]
  47. Zhang, P.; Zhang, D.Z.; Zhong, B. Constitutive and damage modelling of selective laser melted Ti-6Al-4V lattice structure subjected to low cycle fatigue. Int. J. Fatigue 2022, 159, 106800. [Google Scholar]
  48. Xia, Y.; Niu, H.; Zhang, Z.; Liu, H.; Wu, C. Extended multiscale isogeometric analysis for mechanical simulation of two-dimensional periodic heterogeneous materials. Compos. Struct. 2023, 315, 116988. [Google Scholar] [CrossRef]
  49. Liu, Z.; Gong, H.; Gao, J. Enhancement in the fatigue resistances of triply periodic surfaces-based scaffolds. Int. J. Mech. Sci. 2023, 245, 108119. [Google Scholar] [CrossRef]
  50. Zhang, X.; Zhang, Y.; Xie, L.; Shi, W.; Liu, B. Effect of node-strengthened shape on mechanical properties of body-centered-cubic lattice structures fabricated by selective laser melting. Powder Technol. 2025, 466, 121465. [Google Scholar] [CrossRef]
  51. Qi, D.; Yu, H.; Liu, M.; Huang, H.; Xu, S.; Xia, Y.; Qian, G.; Wu, W. Mechanical behaviors of SLM additive manufactured octet-truss and truncated-octahedron lattice structures with uniform and taper beams. Int. J. Mech. Sci. 2019, 163, 105091. [Google Scholar]
Figure 1. Design process of periodic arch-inspired structure: (a) Yuehu Bridge in Ningbo and Batalha Monastery, (b) design and fabrication process, (c) three structures with different thicknesses.
Figure 1. Design process of periodic arch-inspired structure: (a) Yuehu Bridge in Ningbo and Batalha Monastery, (b) design and fabrication process, (c) three structures with different thicknesses.
Mathematics 14 00284 g001
Figure 2. Experimental setup: (a) compression test, (b) bulk specimen, (c) split Hopkinson pressure bar (SHPB), (d) installed experimental specimen.
Figure 2. Experimental setup: (a) compression test, (b) bulk specimen, (c) split Hopkinson pressure bar (SHPB), (d) installed experimental specimen.
Mathematics 14 00284 g002
Figure 3. Tensile test: (a) tensile test at different tensile strains, (b) engineering strain–stress curves, (c) average strain–stress curve and tensile specimen.
Figure 3. Tensile test: (a) tensile test at different tensile strains, (b) engineering strain–stress curves, (c) average strain–stress curve and tensile specimen.
Mathematics 14 00284 g003
Figure 4. The distributions of equivalent plastic strains obtained under different strains: (a) four-arch connected framework, (b) stiffened framework.
Figure 4. The distributions of equivalent plastic strains obtained under different strains: (a) four-arch connected framework, (b) stiffened framework.
Mathematics 14 00284 g004
Figure 5. The distributions of von Mises stresses obtained under different strains: (a) four-arch connected framework, (b) stiffened framework.
Figure 5. The distributions of von Mises stresses obtained under different strains: (a) four-arch connected framework, (b) stiffened framework.
Mathematics 14 00284 g005
Figure 6. Curves of maximum von Mises stress for four-arch connected framework and stiffened framework.
Figure 6. Curves of maximum von Mises stress for four-arch connected framework and stiffened framework.
Mathematics 14 00284 g006
Figure 7. Strain–stress curves obtained from quasi-static experiment: (a) PAS11, (b) PAS12, (c) PAS22.
Figure 7. Strain–stress curves obtained from quasi-static experiment: (a) PAS11, (b) PAS12, (c) PAS22.
Mathematics 14 00284 g007
Figure 8. Comparison of the strain–stress curves between the results obtained by the Ideal Plastic Model and the average value of quasi-static experiment: (a) PAS11, (b) PAS12, (c) PAS22.
Figure 8. Comparison of the strain–stress curves between the results obtained by the Ideal Plastic Model and the average value of quasi-static experiment: (a) PAS11, (b) PAS12, (c) PAS22.
Mathematics 14 00284 g008
Figure 9. Comparison of the strain–stress curves between the results obtained by the Bilinear Model and the average value of quasi-static experiment: (a) PAS11, (b) PAS12, (c) PAS22.
Figure 9. Comparison of the strain–stress curves between the results obtained by the Bilinear Model and the average value of quasi-static experiment: (a) PAS11, (b) PAS12, (c) PAS22.
Mathematics 14 00284 g009
Figure 10. Comparison of the strain–stress curves between the results obtained by the J–C Model and the average value of quasi-static experiment: (a) PAS11, (b) PAS12, (c) PAS22.
Figure 10. Comparison of the strain–stress curves between the results obtained by the J–C Model and the average value of quasi-static experiment: (a) PAS11, (b) PAS12, (c) PAS22.
Mathematics 14 00284 g010
Figure 11. Comparison of the strain–stress curves between the results obtained by the Hardening Function Model and the average value of quasi-static experiment: (a) PAS11, (b) PAS1, (c) PAS22.
Figure 11. Comparison of the strain–stress curves between the results obtained by the Hardening Function Model and the average value of quasi-static experiment: (a) PAS11, (b) PAS1, (c) PAS22.
Mathematics 14 00284 g011
Figure 12. Equivalent plastic strains of three structures with different wall thicknesses at a strain of 7%, (a) PAS11, (b) PAS12, (c) PAS22.
Figure 12. Equivalent plastic strains of three structures with different wall thicknesses at a strain of 7%, (a) PAS11, (b) PAS12, (c) PAS22.
Mathematics 14 00284 g012
Figure 13. von Mises stress distributions of three structures with a wall thickness of 2 mm at different strains, (a) PAS11, (b) PAS12, (c) PAS22.
Figure 13. von Mises stress distributions of three structures with a wall thickness of 2 mm at different strains, (a) PAS11, (b) PAS12, (c) PAS22.
Mathematics 14 00284 g013
Figure 14. Relationship between relative density and Young’s modulus, yield strength, and compressive strength under quasi-static condition: (a) Young’s modulus, (b) yield strength, (c) compressive strength.
Figure 14. Relationship between relative density and Young’s modulus, yield strength, and compressive strength under quasi-static condition: (a) Young’s modulus, (b) yield strength, (c) compressive strength.
Mathematics 14 00284 g014
Figure 15. Results fitted by G–A Model: (a) relative Young’s modulus, (b) relative yield stress.
Figure 15. Results fitted by G–A Model: (a) relative Young’s modulus, (b) relative yield stress.
Mathematics 14 00284 g015
Figure 16. Engineering strain–stress curves of three structures with different wall thicknesses under impact load: (a) PAS11, (b) PAS12, (c) PAS22.
Figure 16. Engineering strain–stress curves of three structures with different wall thicknesses under impact load: (a) PAS11, (b) PAS12, (c) PAS22.
Mathematics 14 00284 g016
Figure 17. Comparison of the strain–stress curves between the results obtained by the Hardening Function Model and the average value of impact experiment: (a) PAS11, (b) PAS12, (c) PAS22.
Figure 17. Comparison of the strain–stress curves between the results obtained by the Hardening Function Model and the average value of impact experiment: (a) PAS11, (b) PAS12, (c) PAS22.
Mathematics 14 00284 g017
Figure 18. Comparison of the strain–stress curves between the results obtained by the Bilinear Model and the average value of impact experiment: (a) PAS11, (b) PAS12, (c) PAS22.
Figure 18. Comparison of the strain–stress curves between the results obtained by the Bilinear Model and the average value of impact experiment: (a) PAS11, (b) PAS12, (c) PAS22.
Mathematics 14 00284 g018
Figure 19. Comparison of the strain–stress curves between the results obtained by the J–C Model and the average value of impact experiment: (a) PAS11, (b) PAS12, (c) PAS22.
Figure 19. Comparison of the strain–stress curves between the results obtained by the J–C Model and the average value of impact experiment: (a) PAS11, (b) PAS12, (c) PAS22.
Mathematics 14 00284 g019
Figure 20. Equivalent plastic strain distributions of three structures with a wall thickness of 2 mm under different strains: (a) PAS11, (b) PAS12, (c) PAS22.
Figure 20. Equivalent plastic strain distributions of three structures with a wall thickness of 2 mm under different strains: (a) PAS11, (b) PAS12, (c) PAS22.
Mathematics 14 00284 g020
Figure 21. von-Mises stress distributions of three structures with a wall thickness of 2 mm under different strains: (a) PAS11, (b) PAS12, (c) PAS22.
Figure 21. von-Mises stress distributions of three structures with a wall thickness of 2 mm under different strains: (a) PAS11, (b) PAS12, (c) PAS22.
Mathematics 14 00284 g021
Figure 22. Relationship between the relative density and Young’s modulus, yield strength, and compressive strength of three arch structures under quasi-static and dynamic conditions: (a) Young’s modulus, (b) yield strength, (c) compressive strength.
Figure 22. Relationship between the relative density and Young’s modulus, yield strength, and compressive strength of three arch structures under quasi-static and dynamic conditions: (a) Young’s modulus, (b) yield strength, (c) compressive strength.
Mathematics 14 00284 g022
Figure 23. Engineering strain–stress curves of MPASs with different wall thicknesses under quasi-static condition: (a) PAS11, (b) PAS12, (c) PAS22.
Figure 23. Engineering strain–stress curves of MPASs with different wall thicknesses under quasi-static condition: (a) PAS11, (b) PAS12, (c) PAS22.
Mathematics 14 00284 g023
Figure 24. Relationship between the relative density and Young’s modulus, yield strength, and compressive strength of MPASs and NMPASs under quasi-static condition: (a) Young’s modulus, (b) yield strength, (c) compressive strength.
Figure 24. Relationship between the relative density and Young’s modulus, yield strength, and compressive strength of MPASs and NMPASs under quasi-static condition: (a) Young’s modulus, (b) yield strength, (c) compressive strength.
Mathematics 14 00284 g024
Figure 25. Engineering strain–stress curves of MPAS with different wall thicknesses under dynamic impact condition: (a) PAS11, (b) PAS12, (c) PAS22.
Figure 25. Engineering strain–stress curves of MPAS with different wall thicknesses under dynamic impact condition: (a) PAS11, (b) PAS12, (c) PAS22.
Mathematics 14 00284 g025
Figure 26. Relationship between the relative density and Young’s modulus, yield strength, and compressive strength of MPAS and NMPAS under dynamic impact condition: (a) Young’s modulus, (b) yield strength, (c) compressive strength.
Figure 26. Relationship between the relative density and Young’s modulus, yield strength, and compressive strength of MPAS and NMPAS under dynamic impact condition: (a) Young’s modulus, (b) yield strength, (c) compressive strength.
Mathematics 14 00284 g026
Table 1. Naming and geometric parameters of periodic arch-inspired structures.
Table 1. Naming and geometric parameters of periodic arch-inspired structures.
Structure
Name
Length
(mm)
Width
(mm)
Height
(mm)
Thickness
(mm)
Relative Density ( ρ ¯ )
PAS111616161.50.214
1616162.00.339
1616162.50.478
PAS121616301.50.204
1616302.00.332
1616302.50.452
PAS223030301.50.182
3030302.00.284
3030302.50.397
Table 2. Material parameters of photosensitive resin for different constitutive models.
Table 2. Material parameters of photosensitive resin for different constitutive models.
Constitutive ModelDensity
ρ (kg/m3)
Young’s Modulus
E (MPa)
Yield Strength
σy (MPa)
Poisson’s Ratio
-158283925.010.3
Ideal Plasticity ModelYoung’s modulus
E (MPa)
Yield Strength
σy (MPa)
839.1225.01
Bilinear ModelYoung’s modulus
E (MPa)
Yield strength
σy (MPa)
Tangent modulus
Et (MPa)
839.1238.2654.66
J-C ModelA (MPa)B (MPa)nC
25.01465.060.9560.014
Hardening Function ModelInitial yield strength
σy0 (MPa)
Hardening function
σh(ε)
25.01Real data
Table 3. Finite element model details of four-arch connected framework and stiffened framework.
Table 3. Finite element model details of four-arch connected framework and stiffened framework.
Element SizeMesh TypeNumber of ElementsMaximum Von Mises Stress (MPa)
Stiffened frameworkNormalFree Tetrahedral147671.1618
Fine11,88771.1607
Finer36,57371.1587
Extra fine127,76871.1111
Four-arch connected frameworkNormalFree Tetrahedral705371.1769
Fine977771.1709
Finer30,09671.1711
Extra fine103,79471.1711
Table 4. Material parameters for J-Model under dynamic condition.
Table 4. Material parameters for J-Model under dynamic condition.
Thickness
(mm)
NameA (MPa)B (MPa)nC
1.5PAS1125.0119.870.50380.0104
PAS1225.0145.030.71530.0115
PAS2225.0116.900.37850.010
2.0PAS1125.0116.710.34910.0023
PAS1225.0113.620.25360.0043
PAS2225.0112.360.21420.014
2.5PAS1125.0139.020.43650.0015
PAS1225.0140.950.44280.0159
PAS2225.0116.530.13000.010
Disclaimer/Publisher’s Note: The statements, opinions and data contained in all publications are solely those of the individual author(s) and contributor(s) and not of MDPI and/or the editor(s). MDPI and/or the editor(s) disclaim responsibility for any injury to people or property resulting from any ideas, methods, instructions or products referred to in the content.

Share and Cite

MDPI and ACS Style

Wang, Y.; Huang, B.; Guo, Y. Mechanical Responses of 3D Printed Periodic Arch-Inspired Structures Doped with NdFeB Powder. Mathematics 2026, 14, 284. https://doi.org/10.3390/math14020284

AMA Style

Wang Y, Huang B, Guo Y. Mechanical Responses of 3D Printed Periodic Arch-Inspired Structures Doped with NdFeB Powder. Mathematics. 2026; 14(2):284. https://doi.org/10.3390/math14020284

Chicago/Turabian Style

Wang, Yangsen, Bin Huang, and Yan Guo. 2026. "Mechanical Responses of 3D Printed Periodic Arch-Inspired Structures Doped with NdFeB Powder" Mathematics 14, no. 2: 284. https://doi.org/10.3390/math14020284

APA Style

Wang, Y., Huang, B., & Guo, Y. (2026). Mechanical Responses of 3D Printed Periodic Arch-Inspired Structures Doped with NdFeB Powder. Mathematics, 14(2), 284. https://doi.org/10.3390/math14020284

Note that from the first issue of 2016, this journal uses article numbers instead of page numbers. See further details here.

Article Metrics

Back to TopTop