Sign in to use this feature.

Years

Between: -

Subjects

remove_circle_outline
remove_circle_outline
remove_circle_outline
remove_circle_outline
remove_circle_outline
remove_circle_outline
remove_circle_outline
remove_circle_outline
remove_circle_outline

Journals

remove_circle_outline
remove_circle_outline
remove_circle_outline
remove_circle_outline
remove_circle_outline
remove_circle_outline
remove_circle_outline
remove_circle_outline

Article Types

Countries / Regions

remove_circle_outline
remove_circle_outline
remove_circle_outline
remove_circle_outline
remove_circle_outline
remove_circle_outline

Search Results (728)

Search Parameters:
Keywords = determination of mercury

Order results
Result details
Results per page
Select all
Export citation of selected articles as:
16 pages, 2616 KB  
Article
Mercury Pollution in Terrestrial Ecosystems of North Macedonia: Insights from an 18-Year Moss Biomonitoring Programme
by Katerina Bačeva Andonovska, Robert Šajn, Jasminka Alijagić, Trajče Stafilov and Lambe Barandovski
Atmosphere 2026, 17(1), 12; https://doi.org/10.3390/atmos17010012 - 22 Dec 2025
Abstract
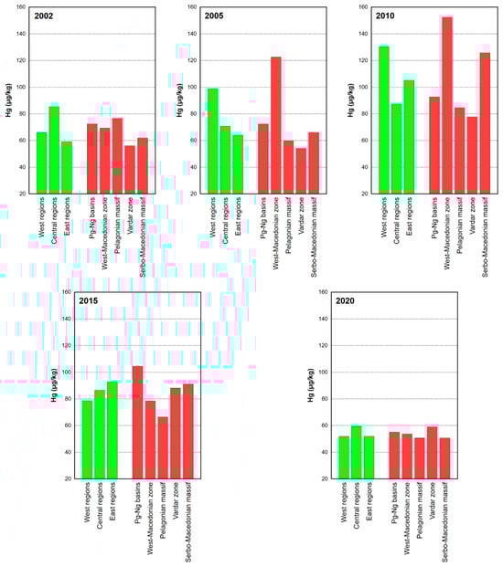
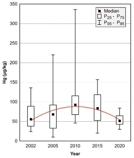
Moss biomonitoring was conducted in 2002, 2005, 2010, 2015 and 2020 to evaluate atmospheric mercury (Hg) deposition across N. Macedonia as part of a comprehensive survey of potentially toxic elements (PTEs). More than 70 samples of the dominant moss species Hypnum cupressiforme and [...] Read more.
Moss biomonitoring was conducted in 2002, 2005, 2010, 2015 and 2020 to evaluate atmospheric mercury (Hg) deposition across N. Macedonia as part of a comprehensive survey of potentially toxic elements (PTEs). More than 70 samples of the dominant moss species Hypnum cupressiforme and Homalothecium lutescens were collected during the summer field campaigns. Mercury concentrations were determined using cold vapour atomic absorption spectrometry and inductively coupled plasma mass spectrometry (ICP-MS). The results revealed marked temporal fluctuations: median Hg content increased from 56 µg/kg in 2002 to 68 µg/kg in 2005, peaked at 93 µg/kg in 2010, then decreased to 84 µg/kg in 2015, and further to 52 µg/kg in 2020. Over the study period, Hg concentrations ranged from 10 to 595 µg/kg, with the highest variability observed in 2010. Spatial distribution maps and regional comparisons indicate that elevated Hg contents correspond predominantly to anthropogenic sources, particularly in industrialised zones and regions affected by mining and metallurgical activities. The 2020 dataset shows a significantly lower median value (52 µg/kg) compared to previous surveys, indicating a slight improvement in air quality, although local hotspots persist. These results highlight the importance of long-term moss biomonitoring as a cost-effective approach for tracking atmospheric mercury trends and informing national environmental policy. Full article
(This article belongs to the Section Air Quality)
Show Figures

Figure 1

16 pages, 4616 KB  
Article
Design of the Pore Structure of Sponge-Structured Cement Pastes with Both Absorption and Storage Functions
by Tong Li, Guojun Du, Hefang Zhang, Dongli Wang, Xiangwang Tao and Jinqiu Zhang
Materials 2025, 18(24), 5537; https://doi.org/10.3390/ma18245537 - 10 Dec 2025
Viewed by 219
Abstract
This study uses fly ash and slag as the main raw materials to replace 80% of the cement, and prepares a sponge-structured cement paste with storage and absorption functions. This paste is then used to bind the coarse aggregate of permeable concrete to [...] Read more.
This study uses fly ash and slag as the main raw materials to replace 80% of the cement, and prepares a sponge-structured cement paste with storage and absorption functions. This paste is then used to bind the coarse aggregate of permeable concrete to improve the water absorption and storage performance of the permeable concrete. This research examined the influence of mineral admixture ratios on mechanical strength, capillary absorption and storage capacity, and analyzed the formation mechanisms of microporous structure. Sponge structure cement stone was prepared with a cementitious material ratio of 70% grade II fly ash, 10% slag and 20% cement. The findings indicate an optimal mix proportion that provides enhanced compressive strength, capillary water absorption, and volumetric water storage capacity. Compared with standard curing, water-bath curing was found to be unfavorable for enhancing the water absorption performance of sponge-structured cement paste; therefore, standard curing is recommended for its preparation. The pore structure of sponge-structured cement paste was analyzed using the Bruker–Emmett–Taylor (BET) method, scanning electron microscopy (SEM), Image-Pro Plus (IPP) image processing technology, and mercury intrusion porosimetry (MIP). Results indicated that the volume fraction of capillary pores in the 100–1000 nm range was positively correlated with water absorption and storage performance. The exponential relationship model between the content of grade II fly ash and the capillary pore content of sponge-structured cement stone was determined. Full article
(This article belongs to the Section Construction and Building Materials)
Show Figures

Figure 1

27 pages, 4305 KB  
Article
Biomarker Responses and Trophic Dynamics of Metal(loid)s in Prussian Carp and Great Cormorant: Mercury Biomagnifies; Arsenic and Selenium Biodilute
by Dora Bjedov, Željka Lončarić, Sandra Ečimović, Alma Mikuška, Sabina Alić, Jorge Bernal-Alviz, Nataša Turić, Zoran Marčić, Rocco Nekić, Lucija Sara Kovačić, Tanja Marković and Mirna Velki
Fishes 2025, 10(12), 635; https://doi.org/10.3390/fishes10120635 - 10 Dec 2025
Viewed by 264
Abstract
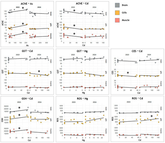
Trace metals and metalloids pose persistent threats to freshwater ecosystems, yet their trophic transfer and sublethal effects across food webs remain poorly understood. We investigated bioaccumulation patterns and biomarker responses in a predator–prey system comprising Prussian carp (Carassius gibelio) and Great [...] Read more.
Trace metals and metalloids pose persistent threats to freshwater ecosystems, yet their trophic transfer and sublethal effects across food webs remain poorly understood. We investigated bioaccumulation patterns and biomarker responses in a predator–prey system comprising Prussian carp (Carassius gibelio) and Great Cormorant (Phalacrocorax carbo) nestlings from the Danube floodplain wetland Kopački rit Nature Park (Croatia) during 2023–2024. Concentrations of arsenic (As), selenium (Se), cadmium (Cd), mercury (Hg) and lead (Pb) were determined in Prussian carp liver and in Great Cormorant whole blood. The activities of acetylcholinesterase (AChE), carboxylesterase (CES), glutathione S-transferase (GST) and the levels of reactive oxygen species (ROS) and reduced glutathione (GSH) were measured in brain, muscle and gill tissues of Prussian carp, as well as in plasma and S9 blood fractions of Great Cormorants. In addition, tissue-specific metal concentration ratios (TSMCR) were calculated to assess the relative magnitude of recent dietary exposure in the predator compared to the prey. Biomarker activity showed strong tissue- and fraction-specific variation, with temporal differences. Exposure–response modelling revealed significant associations between As, Cd, and Hg and specific biomarkers, particularly in gill and plasma. Cross-species comparisons indicated elevated TSMCR as a proxy for recent trophic exposure only for Hg in 2023, whereas As and Se exhibited lower TSMCR. These findings demonstrate that metal exposure in floodplain systems induces physiological responses and Hg poses the greatest prey-to-predator exposure risk, highlighting the value of integrating pollutant measurements with mechanistic biomarker endpoints to evaluate ecosystem-level impacts. Full article
(This article belongs to the Special Issue The Impact of Contamination on Fishes)
Show Figures

Figure 1

20 pages, 4266 KB  
Article
Phytoremediation of Mercury-Contaminated Salvinia natans: Toxicity Thresholds and Sustainable Use of Spent Phytoremediation Biomass
by Magdalena Sitarska and Wiktoria Filarowska
Sustainability 2025, 17(24), 10955; https://doi.org/10.3390/su172410955 - 8 Dec 2025
Viewed by 188
Abstract
The use of mercury in industry causes its continuous increase in nature. A pro-ecological technology that can reduce mercury levels in aquatic environments is phytoremediation using the plant Salvinia natans. The study aimed to determine the maximum mercury concentration for effective phytoremediation [...] Read more.
The use of mercury in industry causes its continuous increase in nature. A pro-ecological technology that can reduce mercury levels in aquatic environments is phytoremediation using the plant Salvinia natans. The study aimed to determine the maximum mercury concentration for effective phytoremediation using Salvinia natans. The study aimed to determine the threshold for effective phytoremediation using Salvinia natans. A Microtox screening test was performed for concentrations ranging from 0.15 to 0.50 mg Hg·L−1. For the same concentrations, the effect of contamination on the physiological condition of the plant was tested by observing changes in the presence of chlorosis and necrosis. Analysis of enzymatic activity using the API ZYM test for plants exposed to mercury did not show any significant changes. The phytoremediation process produces a significant amount of spent phytoremediation biomass containing large amounts of mercury. Sustainable management in the form of a mixture with soil substrate, uncontaminated with mercury, was proposed. Microtox toxicity analysis of water extracts from soil containing biomass, with a final mercury content in the substrate of 1 mg Hg·kg−1 of soil, showed no toxicity to the environment. However, microbiological analysis of the same soil substrate showed changes in the total number of bacteria, actinomycetes, fungi, moulds, and yeasts compared to the control samples. Full article
Show Figures

Figure 1

15 pages, 2279 KB  
Article
A Comparative Study of Waste Red-Clay Brick Powder (WRCBP) and Fly Ash (FA) as Precursors for Geopolymer Production
by Yifang He, Wei Tang, Chunran Wu, Baojun Zhao and Shicong Kou
Buildings 2025, 15(24), 4409; https://doi.org/10.3390/buildings15244409 - 5 Dec 2025
Viewed by 193
Abstract
Utilizing waste red-clay brick powder (WRCBP) as a precursor for manufacturing geopolymers is increasingly popular due to its environmental and economic benefits. However, the geopolymerization of this waste remains insufficiently explored. This study evaluates the differences in physical–mechanical properties and microstructural evolution of [...] Read more.
Utilizing waste red-clay brick powder (WRCBP) as a precursor for manufacturing geopolymers is increasingly popular due to its environmental and economic benefits. However, the geopolymerization of this waste remains insufficiently explored. This study evaluates the differences in physical–mechanical properties and microstructural evolution of WRCBP- and fly ash (FA)-based geopolymers to determine the reactivity of WRCBP. Mineral admixtures, including granulated blast furnace slag (GF) and metakaolin (MT), were incorporated with WRCBP to fabricate geopolymer pastes, while FA was used in parallel for comparison. The effects of activator modulus (1.2 and 1.4 for Na2SiO3) and curing conditions (65 °C and 90 °C) on the mechanical and microstructural performance of the prepared pastes were investigated through water demand analysis, compressive strength testing, mercury intrusion porosimetry (MIP), and scanning electron microscopy (SEM). The results indicate that WRCBP-based pastes achieved a comparable compressive strength (39.8 MPa) under appropriate alkali-activated and curing conditions relative to FA-based pastes (42.5 MPa). The modulus of the alkaline activator exerted a greater influence on strength development than the raw material composition. For both WRCBP- and FA-based pastes, 65 °C was identified as a more suitable curing temperature. Moreover, compared with FA-based pastes, pastes produced using WRCBP provide enhanced social and economic benefits. Overall, this study confirms that high-performance binders can be engineered by incorporating WRCBP, thereby supporting the development of sustainable low-carbon construction materials. Full article
(This article belongs to the Section Building Materials, and Repair & Renovation)
Show Figures

Figure 1

44 pages, 7915 KB  
Article
Geochemistry of Water and Bottom Sediments in Mountain Rivers of the North-Eastern Caucasus (Russia and Azerbaijan)
by Olga Chuzhikova, Vladimir Tabunshchik, Roman Gorbunov, Vladislav Proskurnin, Tatiana Gorbunova, Natalia Mirzoeva, Elena Tikhonova, Oleg Mironov, Artem Paraskiv, Veronika Voitsekhovskaya, Ibragim Kerimov and Ekaterina Chuprina
Water 2025, 17(23), 3390; https://doi.org/10.3390/w17233390 - 28 Nov 2025
Viewed by 521
Abstract
This study provides a comprehensive assessment of the geoecological status of selected mountain rivers in the North-Eastern Caucasus—specifically, the Sunzha, Sulak, Ulluchay, Karachay, and Atachay—through an analysis of chemical element concentrations, including heavy metals (HMs), in surface water, suspended particulate matter (SPM), and [...] Read more.
This study provides a comprehensive assessment of the geoecological status of selected mountain rivers in the North-Eastern Caucasus—specifically, the Sunzha, Sulak, Ulluchay, Karachay, and Atachay—through an analysis of chemical element concentrations, including heavy metals (HMs), in surface water, suspended particulate matter (SPM), and bottom sediments. The elemental composition was determined using inductively coupled plasma mass spectrometry (ICP-MS) on a PlasmaQuant MS Elite instrument (Analytik Jena, Germany), enabling high-precision quantification of 70 chemical elements. Element concentrations in surface water were compared against regulatory limits (e.g., maximum permissible concentrations (MPCs)) defined in international and national guidelines; concentrations in SPM were assessed relative to global average riverine values; and those in bottom sediments were evaluated with reference to average upper continental crust abundances (Clarke values). To trace potential sources of heavy metals entering the riverine systems, enrichment factors (EFs) were calculated for bottom sediments. The results indicate that surface water, suspended particulate matter, and bottom sediments in the investigated rivers exhibit enrichment in numerous chemical elements to levels exceeding their respective reference values (MPCs, global river means, or crustal Clarke values). Significant regional variations in abiotic parameters were observed. Water temperature ranges were 4.6–28 °C (Russian rivers) and 6.9–13.6 °C (Azerbaijan rivers). The pH of Russian rivers was circumneutral to mildly alkaline (7.12–8.83), whereas Azerbaijani rivers were distinctly alkaline, with values reaching 9.88. Reducing conditions in sediments (Eh as low as −206 mV) were prevalent at several stations across both regions. This enrichment reflects an overall unfavorable geoecological status of the studied river systems. Elevated concentrations of several rare earth elements (REEs), observed across multiple sampling locations, suggest a substantial lithogenic contribution linked to the geological structure of the catchments, including the composition of the drained rocks and the presence of ore-bearing formations. Furthermore, localized increases in the concentrations of key heavy metals—such as copper, zinc, cadmium, arsenic, and mercury—point to anthropogenic inputs, most likely associated with mining operations, industrial activities, or other human-induced sources. Full article
(This article belongs to the Special Issue Water Environment Pollution and Control, 4th Edition)
Show Figures

Figure 1

11 pages, 1138 KB  
Article
Ultra-Sensitive Detection of Mercury by Using Field-Effect Transistor Biosensors Based on Single-Walled Carbon Nanotubes
by Chao Lu, Qiuxiang Lv, Yuanwei Lin and Li Gao
Biosensors 2025, 15(12), 779; https://doi.org/10.3390/bios15120779 - 26 Nov 2025
Viewed by 315
Abstract
In recent years, the amount of mercury discharged by human activities has continued to increase. Most of the mercury in surface water settles into the sediment, where it can be directly or indirectly transformed into mercury ion (Hg2+) compounds (such as [...] Read more.
In recent years, the amount of mercury discharged by human activities has continued to increase. Most of the mercury in surface water settles into the sediment, where it can be directly or indirectly transformed into mercury ion (Hg2+) compounds (such as dimethylmercury) under the action of microorganisms. Hg2+ display high toxicity and bioaccumulation in food, such as fish and rice, and thus the contamination of mercury ion is a serious concern for human health. Practical Hg2+ detection methods are usually limited by the sensitivity and selectivity of the used methods, such as colorimetric determination and fluorescence biosensor based on the solution phase. Therefore, it is urgent to develop Hg2+ detection methods in the practical environment with high sensitivity and selectivity. DNA is low-cost, relatively stable, and has been used for different fields. In this study, DNA for Hg2+detection was absorbed on the surface of single-walled carbon nanotubes (SWNTs) by using 1,5-diaminonaphthalene (DAN) based on field-effect transistor (FET) biosensors. The interaction between DNA and Hg2+ can be directly converted into electrical signals based on the SWNTs biosensors. The experimental results showed that the limit of detection (LOD) of Hg2+ without the phase-locked amplifier was about 42.6 pM. The function of the phase-locked amplifier is to achieve fast detection of the biosensor with strong anti-noise ability. Intriguingly, the sensitivity of the biosensor combined with a phase-locked amplifier to detect Hg2+ was further improved to be 5.14 pM compared with some current methods of biosensors. Furthermore, this biosensor has an excellent selectivity and practical detection in tap water, which demonstrates its high performance and low cost in practical application in Hg2+ detection. These results show this method for Hg2+ detection using SWNTs biosensors with a phase-locked amplifier is promising. Full article
Show Figures

Figure 1

15 pages, 1316 KB  
Article
A Novel DLLME-Based Approach for the Spectrophotometric Determination of Mercury in Environmental Samples Using the Fe(II) Phthalocyanine Sensor
by Yasemin Çağlar
Molecules 2025, 30(21), 4192; https://doi.org/10.3390/molecules30214192 - 27 Oct 2025
Viewed by 456
Abstract
In the present investigation, a novel dispersive liquid–liquid microextraction (DLLME) method was developed for the spectrophotometric determination of Hg2+. Fe(II) phthalocyanine (Fe(II)Pc) was employed as the sensor, chloroform (300 µL) as the extraction solvent, and ethanol (700 µL) as the dispersive [...] Read more.
In the present investigation, a novel dispersive liquid–liquid microextraction (DLLME) method was developed for the spectrophotometric determination of Hg2+. Fe(II) phthalocyanine (Fe(II)Pc) was employed as the sensor, chloroform (300 µL) as the extraction solvent, and ethanol (700 µL) as the dispersive solvent. Following the formation of the Hg2+:Fe(II)Pc complex, the sample was centrifuged at 1000 rpm for 2 min. The aqueous phase was discarded, and the extraction phase was diluted to 250 µL with methanol and transferred into a 250 µL quartz cell for spectrophotometric measurement at 276 nm. The method exhibited a linear range of 1–20 µg/L, with limits of detection (LOD) and quantification (LOQ) calculated as 1.44 µg/L and 4.80 µg/L, respectively. The enrichment factor was determined to be 105, and the optimum pH for the procedure was 2.0. Full article
(This article belongs to the Section Analytical Chemistry)
Show Figures

Figure 1

17 pages, 2427 KB  
Article
Evaluation of Non-Proprietary Ultra-High-Performance Concrete (UHPC) to Resistance of Freeze–Thaw
by Raid S. Alrashidi, Megan S. Voss, Ali Alsubeai, Emad Alshammari and Kyle A. Riding
CivilEng 2025, 6(4), 57; https://doi.org/10.3390/civileng6040057 - 23 Oct 2025
Viewed by 839
Abstract
UHPC has been found to have excellent freeze–thaw durability in cold regions. Previous UHPC testing performed has mostly focused on concrete with compressive strength above 21 ksi (145 MPa). In this study, testing was conducted to determine at what strength level concrete transitions [...] Read more.
UHPC has been found to have excellent freeze–thaw durability in cold regions. Previous UHPC testing performed has mostly focused on concrete with compressive strength above 21 ksi (145 MPa). In this study, testing was conducted to determine at what strength level concrete transitions to provide excellent freeze–thaw (F–T) performance. Non-proprietary concrete samples were made for freeze–thaw durability from four different concrete mixture designs: 12–15 ksi, 15–18 ksi, 18–21 ksi, and 21+ ksi (83–145+ MPa), and these were tested according to ASTM C666, using 1.5% steel fibers. The samples were made for three different curing regimens: limewater curing in a fog room, simulated precast curing, and steam curing. Low-temperature differential scanning calorimetry (DSC) and mercury intrusion porosimetry (MIP) tests were carried out to reveal the freeze–thaw mechanism of the concrete samples. All mixtures with compressive strength above 15 ksi (103 MPa) performed excellent in freeze–thaw testing with no damage seen. Steam curing was found to negatively affect the freeze–thaw performance at the lowest strength level tested. Full article
(This article belongs to the Section Construction and Material Engineering)
Show Figures

Figure 1

38 pages, 9465 KB  
Review
Quantitative Detection of Toxic Elements in Food Samples by Inductively Coupled Plasma Mass Spectrometry (ICP-MS)
by Mengtian Huang and Xin Li
Processes 2025, 13(10), 3361; https://doi.org/10.3390/pr13103361 - 20 Oct 2025
Viewed by 2907
Abstract
With industrial development, food safety problems occur frequently. The contamination of harmful elements in food has received widespread attention, especially heavy metal elements such as lead, cadmium, mercury, arsenic, and other heavy metals proven toxic to human health. As one of the most [...] Read more.
With industrial development, food safety problems occur frequently. The contamination of harmful elements in food has received widespread attention, especially heavy metal elements such as lead, cadmium, mercury, arsenic, and other heavy metals proven toxic to human health. As one of the most sensitive and accurate analytical techniques for trace element detection, inductively coupled plasma mass spectrometry (ICP-MS) has become an indispensable key technology in the field of food safety testing due to its ability to accurately determine the ppb/ppt level toxic elements in food and analyze the morphology of the elements, and the number of applications in the literature continues to grow remarkably (e.g., the average annual growth rate in the last decade has reached 12–15%), which supports the risk assessment and regulation. It has become an indispensable key technology in this field. In this review, the research progress of ICP-MS in the detection of hazardous elements in food is summarized, focusing on the basic principles of the technique, sample pretreatment methods, and common interference issues. The specific applications of ICP-MS in different types of food (e.g., cereals, aquatic products, vegetables, and dairy products) are also summarized. The main challenges in the current application of ICP-MS are also discussed, including matrix effect, stability of morphological transformation, and standardization issues. It is expected that the development of ICP-MS in portability, automation, and high-throughput detection has brought potential for its applications in food safety detection. Full article
Show Figures

Figure 1

28 pages, 5701 KB  
Article
Temperature and Pressure Observations by Tommaso Temanza from 1751 to 1769 in Venice, Italy
by Dario Camuffo, Antonio della Valle and Francesca Becherini
Climate 2025, 13(10), 217; https://doi.org/10.3390/cli13100217 - 18 Oct 2025
Viewed by 859
Abstract
The study aims to recover, interpret, and analyze the daily meteorological observations made in Venice by Tommaso Temanza from 1751 to 1769. These records are relevant because they provide direct information about the climate of the Little Ice Age. Temanza used a barometer, [...] Read more.
The study aims to recover, interpret, and analyze the daily meteorological observations made in Venice by Tommaso Temanza from 1751 to 1769. These records are relevant because they provide direct information about the climate of the Little Ice Age. Temanza used a barometer, an air thermometer of Amontons’ type, and an additional mercury thermometer, i.e., Réaumur’s thermometer. These early instruments are presented and discussed in this study. The barometer readings needed standard corrections, which were unknown at that time. The scale of the air thermometer was arbitrary, and temperatures were measured in inches of mercury. For the Amontons thermometer, Temanza missed the calibration points and used a particular scale with the zero-point in the middle of the range. He gave two contradictory explanations for this choice, both of which are discussed in this paper. In the 18th century, the use of a singular value to represent the average temperature, called “Temperate”, was promoted by Michieli du Crest in Geneva and Toaldo in Padua. This work reconstructs the unknown scale, using contemporary observations by Giovanni Poleni and Giuseppe Toaldo in Padua (30 km west of Venice) and snowfall reported in the weather notes to determine the temperature point at 0 °C. A discussion is made about the calibration, validation, and conversion of readings from the original to modern units of pressure and temperature, i.e., hPa and °C, respectively. The recovered record of Venice is presented in comparison with Padua, Bologna, and Milan. The paper provides and analyzes the new dataset, and improves knowledge about the climate, history of science, instruments, and observations made in the mid-18th century. Full article
Show Figures

Figure 1

14 pages, 1770 KB  
Article
Differences in the Amount of Litterfall and Mercury Concentration in Litterfall Leaves of Typical Forest Ecosystems in China
by Shuyu Han, Jingwei Zhang, Ran He, Donghuan Liu, Xiang Niu, Bing Wang and Zhangwei Wang
Forests 2025, 16(10), 1594; https://doi.org/10.3390/f16101594 - 17 Oct 2025
Viewed by 379
Abstract
Mercury, a global pollutant with both persistence and high toxicity, has remained a focal point in environmental science research over the past half-century. As a key pathway in the terrestrial mercury cycle, plants actively assimilate gaseous elemental mercury (Hg0) through leaf [...] Read more.
Mercury, a global pollutant with both persistence and high toxicity, has remained a focal point in environmental science research over the past half-century. As a key pathway in the terrestrial mercury cycle, plants actively assimilate gaseous elemental mercury (Hg0) through leaf stomata, constituting a critical pathway for terrestrial mercury cycling. The litterfall mercury concentration serves as a biological indicator to quantify vegetation’s mercury interception capacity, providing essential data for global mercury cycle modelling. To investigate this, 15 sampling sites throughout the country were selected, and litterfall was collected monthly for 12 consecutive months to determine the litterfall amount, composition, and leaf mercury dynamics. The results revealed that annual litterfall production ranged from 1.10–8.56 t·hm−2, with leaf components dominating (45.58%–89.11%). Furthermore, three seasonal litterfall patterns emerged: unimodal, bimodal, and irregular. Regarding mercury, the mercury concentration in leaf litter exhibited a certain seasonal variation trend, with the mercury content in leaves in most areas being higher in autumn and winter. Specifically, the mercury concentration in litterfall showed a significant negative correlation with latitude and a significant positive correlation with air temperature, precipitation, and litterfall amount (p < 0.05). Additionally, the concentration of Hg in dying leaves exhibited some geographical variations. Full article
(This article belongs to the Section Forest Ecophysiology and Biology)
Show Figures

Figure 1

19 pages, 8035 KB  
Article
Research on Shrinkage in Lithium Slag Geopolymer Mortar: Effects of Mix Proportions and a Shrinkage Prediction Model
by Lei Wang, Gao Pan, Cai Wu, Sidong Xu and Daopei Zhu
Materials 2025, 18(20), 4766; https://doi.org/10.3390/ma18204766 - 17 Oct 2025
Viewed by 448
Abstract
Lithium slag (LS), a solid waste generated during lithium smelting, exhibits significant potential for geopolymer preparation. However, the high shrinkage of lithium slag geopolymer mortar (LSGM) severely restricts its engineering application. Currently, research on the effects of mix proportions (GBFS-LS mass ratio, water–binder [...] Read more.
Lithium slag (LS), a solid waste generated during lithium smelting, exhibits significant potential for geopolymer preparation. However, the high shrinkage of lithium slag geopolymer mortar (LSGM) severely restricts its engineering application. Currently, research on the effects of mix proportions (GBFS-LS mass ratio, water–binder ratio, and binder–sand ratio) on LSGM’s shrinkage, and the correlation between shrinkage behavior and microstructures (pore structure and thermal behavior), remains insufficient. Additionally, there is a lack of targeted shrinkage prediction models for LSGM. To address these research gaps, this study systematically investigates the shrinkage characteristics of LSGM and develops a modified prediction model. Thermogravimetric analysis–differential thermal gravimetric analysis (TG-DTG) results show that a lower GBFS-LS ratio promotes the formation of dense sodium-alumino-silicate hydrate (N-A-S-H) gels. Meanwhile, mercury intrusion porosimetry (MIP) tests demonstrate that optimizing the water–binder ratio and binder–sand ratio refines the pore structure of LSGM, where the average pore size is reduced from 53.5 nm at a GBFS-LS ratio of 3 to 28.75 nm at a GBFS-LS ratio of 1.5.Quantitatively; compared with the group with a GBFS-LS ratio of 3, the 90-day shrinkage strain of the group with a GBFS-LS ratio of 1.5 decreases by 25.8%. When the water–binder ratio decreases from 0.57 to 0.27, the 90-day shrinkage strain reduces by 36.7%; in contrast, increasing the binder–sand ratio from 0.21 to 0.39 leads to a 39.8% increase in 90-day shrinkage strain. Based on the experimental data and the fundamental framework of the American Concrete Institute (ACI) model, this study introduces mix proportion influence coefficients and constructs a novel shrinkage prediction model tailored to LSGM. The coefficient of determination (R2) of the proposed model exceeds 0.98. This model provides a reliable quantitative tool for the mix proportion optimization and engineering application of LSGM. Full article
(This article belongs to the Special Issue Geopolymers and Fiber-Reinforced Concrete Composites (Second Edition))
Show Figures

Figure 1

13 pages, 1501 KB  
Article
A Reliable and Simple Voltammetric Method for Analysis of Brilliant Blue FCF
by Marek Szlósarczyk, Robert Piech, Bartłomiej Pach, Mariusz Stolarczyk and Urszula Hubicka
Sensors 2025, 25(20), 6424; https://doi.org/10.3390/s25206424 - 17 Oct 2025
Viewed by 1025
Abstract
Synthetic food colourings are widely used because they are stable, inexpensive, reliable, and effective in shaping consumer perception and behaviour, even though some are under scrutiny for adverse health effects. In this work, we present a new sensitive voltammetric method for the determination [...] Read more.
Synthetic food colourings are widely used because they are stable, inexpensive, reliable, and effective in shaping consumer perception and behaviour, even though some are under scrutiny for adverse health effects. In this work, we present a new sensitive voltammetric method for the determination of brilliant blue FCF (BB) using a cyclic renewable silver-based mercury film electrode (Hg(Ag)FE). The experimental parameters, including pulse height, step potential, preconcentration potential and duration, and the composition of the supporting electrolyte, were systematically optimised. Under these conditions, the calibration curve exhibited linearity within the range of 0.7 up to 250 µg L−1. For an Hg(Ag)FE with a surface area of 10.9 mm2, with a short preconcentration step of 15 s, the limits of detection (LOD) and quantification (LOQ) of BB were 0.24 µg L−1 and 0.72 µg L−1, respectively. The repeatability of the method at a concentration level of the analyte as low as 2.0 µg L−1, expressed as RSD, was 2.39% (n = 6). The proposed method was successfully applied in the analysis of brilliant blue FCF in popular beverages and artificial juices. The obtained results not only verify that BB levels are within acceptable limits, but also enrich the limited data on the quantitative compositions of ‘popular’ beverages. Full article
(This article belongs to the Section Chemical Sensors)
Show Figures

Figure 1

25 pages, 15326 KB  
Article
Macro–Micro Quantitative Model for Deformation Prediction of Artificial Structural Loess
by Yao Zhang, Chuhong Zhou, Heng Zhang, Zufeng Li, Xinyu Fan and Peixi Guo
Buildings 2025, 15(20), 3714; https://doi.org/10.3390/buildings15203714 - 15 Oct 2025
Viewed by 521
Abstract
To overcome the limitations imposed by the anisotropy and heterogeneity of natural loess, this study establishes a novel quantitative macro–micro correlation framework for investigating the deformation mechanisms of artificial structural loess (ASL). ASL samples were prepared by mixing remolded loess with cement (0–4%) [...] Read more.
To overcome the limitations imposed by the anisotropy and heterogeneity of natural loess, this study establishes a novel quantitative macro–micro correlation framework for investigating the deformation mechanisms of artificial structural loess (ASL). ASL samples were prepared by mixing remolded loess with cement (0–4%) and NaCl (0–16%), followed by static compaction (95% degree) and 28-day curing (20 ± 2 °C, >90% RH) to replicate the structural properties of natural loess under controlled conditions. An integrated experimental methodology was employed, incorporating consolidation/collapsibility tests, particle size analysis, X-ray diffraction (XRD), and mercury intrusion porosimetry (MIP). A three-dimensional nonlinear model was proposed. The findings show that intergranular cementation, particle size distribution, and pore architecture are the main factors influencing loess’s compressibility and collapsibility. A critical transition from medium to low compressibility was observed at cement content ≥1% and moisture content ≤16%. A strong correlation (Pearson |r| > 0.96) was identified between the mesopore volume ratio and the collapsibility coefficient. The innovation of this study lies in the establishment of a three-dimensional nonlinear model that quantitatively correlates key microstructural parameters (fractal dimension value (D), clay mineral ratio (C), and large and medium porosity (n)) with macroscopic deformation indicators (porosity ratio (e) and collapsibility coefficient (δs)). The measured data and the model’s output agree quite well, with a determination coefficient (R2) of 0.893 for porosity and 0.746 for collapsibility, verifying the reliability of the model. This study provides a novel quantitative tool for loess deformation prediction, offering significant value for engineering settlement assessment in controlled cementation and moisture conditions, though its application to natural loess requires further validation. Full article
Show Figures

Figure 1

Back to TopTop