Next Article in Journal
Analyzing Flexural Integrity Enhancement in Continuous Reinforced Concrete Beams Using NSM-BFRP Ropes: Experimental and Numerical Approach
Previous Article in Journal
Parametric Study of the Physical Responses of NSM CFRP-Strengthened RC T-Beams in the Negative Moment Region
 
 
Font Type:
Arial Georgia Verdana
Font Size:
Aa Aa Aa
Line Spacing:
Column Width:
Background:
Article

Evaluation of Non-Proprietary Ultra-High-Performance Concrete (UHPC) to Resistance of Freeze–Thaw

1
Civil Engineering Department, Jubail Industrial College, Royal Commission for Jubail and Yanbu, Jubail Industrial City 31961, Saudi Arabia
2
School of Engineering and Computer Science, University of Evansville,1800 Lincoln Ave., Evansville, IN 47722, USA
3
Department of Civil Engineering, University of Hail, Hail 55476, Saudi Arabia
4
Engineering School of Sustainable Infrastructure & Environment, University of Florida, 1949 Stadium Road, Gainesville, FL 32611, USA
*
Author to whom correspondence should be addressed.
CivilEng 2025, 6(4), 57; https://doi.org/10.3390/civileng6040057
Submission received: 3 July 2025 / Revised: 26 September 2025 / Accepted: 13 October 2025 / Published: 23 October 2025
(This article belongs to the Section Construction and Material Engineering)

Abstract

UHPC has been found to have excellent freeze–thaw durability in cold regions. Previous UHPC testing performed has mostly focused on concrete with compressive strength above 21 ksi (145 MPa). In this study, testing was conducted to determine at what strength level concrete transitions to provide excellent freeze–thaw (F–T) performance. Non-proprietary concrete samples were made for freeze–thaw durability from four different concrete mixture designs: 12–15 ksi, 15–18 ksi, 18–21 ksi, and 21+ ksi (83–145+ MPa), and these were tested according to ASTM C666, using 1.5% steel fibers. The samples were made for three different curing regimens: limewater curing in a fog room, simulated precast curing, and steam curing. Low-temperature differential scanning calorimetry (DSC) and mercury intrusion porosimetry (MIP) tests were carried out to reveal the freeze–thaw mechanism of the concrete samples. All mixtures with compressive strength above 15 ksi (103 MPa) performed excellent in freeze–thaw testing with no damage seen. Steam curing was found to negatively affect the freeze–thaw performance at the lowest strength level tested.

1. Introduction

Due to very low connected porosity of ultra-high-performance concrete (UHPC), it is reported to have excellent performance against deterioration mechanisms that involve water or ion ingress into concrete, including freeze–thaw deterioration [1,2].
In conventional concretes, freeze–thaw resistance is typically enhanced by modifying the air-void system. Traditional air-entraining agents (AEAs) generate stable micro-bubbles, while polymeric microspheres have more recently been used to provide uniform and thermo-stable voids. Several studies have examined the microstructural evolution of such systems during cyclic freeze–thaw damage using mercury intrusion porosimetry (MIP) and micro-CT imaging. These works show that the presence and stability of the void system are critical to durability [3,4,5]. However, air entrainment is precluded from being used in UHPC because it would unacceptably reduce its strength. In contrast to normal-strength concrete without air entrainment, UHPC has been shown to have excellent freeze–thaw durability. The low permeability and porosity of UHPC are thought to keep the concrete from becoming critically saturated [6].
Several studies have been conducted to investigate the freeze–thaw performance of UHPC. Ahlborn et al. performed freeze–thaw cycling on UHPC in accordance with ASTM C666, Procedure B (freezing in air, thawing in water) for 300 cycles with no degradation measured [7]. Similarly, Acker and Behloul reported that UHPC showed no degradation after 400 cycles of freezing and thawing [8]. Russell and Graybeal showed that both untreated and steam cured UHPC specimens showed at least a 96% relative dynamic modulus of elasticity after 690 cycles of freeze–thaw, conducted according to ASTM C666 Procedure A when freezing and thawing in water [9]. Another study measured the resistance of UHPC to freeze–thaw in the presence of a NaCl solution, conducted according to CEN/TS 12390-9, that showed an extremely low mass loss after 112 freeze–thaw cycles [10]. Another study performed on UHPC with 2.5% steel fibers found a 15.8% increase in loading capacity after 600 freeze and thaw cycles [11]. Freeze–thaw testing of concrete made with locally produced materials having a 14,100 psi (97 MPa) of compressive strength showed no freeze–thaw damage up to 600 cycles. Between 600 and 1500 cycles, minor damage was observed, resulting in exposed steel fibers and reduced first-cracking strength [12]. UHPC specimens with compressive strengths ranging from 18 ksi (124 MPa) (ambient cured) to 28 ksi (193 MPa) (steam cured) showed high resistance to freeze–thaw and scaling. Durability testing confirmed that UHPC with strengths above 18 ksi maintained integrity under F–T cycles [13]. UHPC specimens with compressive strengths exceeding ~21.7 ksi (150 MPa) retained over 90% RDME after 600 F–T cycles, indicating excellent durability, while normal-strength concrete showed only 55% RDME under the same conditions [11].
UHPC has been found to have excellent field durability in cold climates. At the Cattenom power plant in France, UHPC was used to replace some of its beams. After six years of exposure in the aggressive environment with natural freeze–thaw cycles, there was no noticeable degradation of the beams [14]. In another case, UHPC samples were cured at lab temperature for a week, followed by heat curing at 194 °F (90 °C) for 4 days in water and 2 days in air, after which they were placed at the Treat Island, Maine exposure site maintained by the U.S. Army Corps of Engineers. Tide levels vary by as much as 22 feet at this site, with the temperature during the winter ranging from −10 °F to −37 °F (−23 °C to −38 °C), making this site an ideal place to test UHPC performance. After several years of exposure and hundreds of freeze–thaw cycles, no evidence of deterioration or mass loss was seen on any samples [15].
ASTM C1856 requires UHPC freeze–thaw testing to be conducted according to ASTM C666 Procedure A for at least 300 cycles or until its relative dynamic modulus of elasticity reaches 90% [16]. ASTM C666 requires the concrete to be cured in limewater for 14 days before testing, or 2 days if saw-cut from hardened concrete [17]. No changes are recommended for UHPC curing or saturation level. If UHPC freeze–thaw durability comes from a low degree of saturation, this may not be reliable in the long term.
While theories exist on the mechanism responsible for UHPC freeze–thaw durability, testing is needed to validate these theories. This will provide guidance to mixture design and test methods required for freeze–thaw performance. Previous UHPC testing performed to date has mostly focused on concrete with compressive strength above 21 ksi (145 MPa). It is also not known at what strength level UHPC transitions to excellent freeze–thaw performance. Therefore, in this study, testing was conducted to determine if this excellent performance extended to the lower strength levels ranging from high performance to ultra-high-performance concrete.
In this study, four non-proprietary UHPC mixtures with different mixture proportions, including different water-cementitious material ratios (w/cm), were made to test the performance of UHPC against freeze–thaw cycling. The mixtures were designed for multiple strength classes and curing methods to determine how mixture design components, compressive strength, and curing methods affected the concrete F–T resistance. Samples for freeze–thaw durability were made and tested using 1.5% steel fibers for all the different strength classes tested [18]. The samples were tested for up to 330 cycles to determine at which strength level the UHPC F–T performance becomes acceptable without the use of air entrainment. Low-temperature differential scanning calorimetry (DSC) and mercury intrusion porosimetry (MIP) tests were also used to reveal the freeze–thaw mechanism of the concrete samples.

2. Materials and Methods

2.1. UHPC Materials

A natural siliceous, locally available, fine masonry sand was procured for use in this project from Edgar Minerals. The specific gravity and absorption as shown in Table 1 were measured according to ASTM C128 [19]. The particle size distribution as shown in Table 2 was measured according to ASTM C136 [20]. The fineness modulus of the sand was found to be 1.40.
Steel fibers are the predominant fibers used in UHPC mixtures due to their high modulus, strength, and ductility. Bekaert straight fibers were used with the properties shown in Table 3.
Two types of cements and various types of supplementary cementitious materials (SCMs) were used in this project. Because the focus of this project involved the use of locally available materials in non-proprietary UHPC, an ASTM C150 Type III cement [21], an ASTM C595 type IL cement [22], and an ASTM C989 slag cement (slag) [23] were procured. An ASTM C1240 dark gray silica fume [24], an ASTM C1240 white silica fume, and silica flour were also used. The particle size distributions of the cements and the cementitious materials were determined using laser particle size analysis as shown in Figure 1. The silica fume was sonicated for 7.5 min prior to testing and showed a bimodal distribution which is likely due to incomplete breakdown of the densified silica fume agglomerates [25]. The chemical composition of the cementitious materials was determined using a Rigaku Supermini X-ray fluorescence (XRF) [26]. Glass beads were made from the samples and used in the XRF testing. Table 4 shows the XRF results. The phases present in the cements were quantified using X-ray diffraction (XRD) as shown in Table 5. The XRD scan was performed using Cu Kα. radiation and a 2θ step size of 0.008° lasting 10 s per step. The current used was 40 mA, and the voltage used was 45 kV. For the Rietveld refinement analysis, the Profex software was used to determine the percentage of each of the crystalline phases present in the cement.

2.2. UHPC Mixture Design and Curing Methods

Twenty-four samples were made and analyzed for freeze–thaw testing from four different mixture designs with four different strength classes that ranged from 12 ksi to 21+ ksi (83–145+ MPa). Type III cement was only used for the 21+ ksi (145+ MPa) mixture to improve particle packing and achieve higher strength. Seventy-five percent of the water used for this mixture was ice to offset the temperature rise expected from the high mixing energy used. The mixture designs used were named for their target strengths in ksi and the mixture proportions for the mixtures with strengths of up to 21 ksi are provided in Table 6, while Table 7 shows specimens with mixture classes above 21 ksi. The admixture water contents were included in the w/cm calculations. The mixture made with 0.40 w/cm was only used for the low-temperature DSC and MIP experiments.
For the freeze–thaw testing, all of the UHPC batches used 1.5% steel fibers by volume. Additionally, 1.5% steel fiber was identified as the optimal dosage for balancing workability, interfacial bond strength, and freeze–thaw resistance [18]. A large pan mixer with orbital mixing action was used to make the UHPC for freeze–thaw tests. The samples were removed from the molds at 24 ± 2 h after mixing and cured using three different methods: limewater curing in a fog room at lab temperature after demolding at 24 h, steam curing following demolding at 24 h, and precast curing during the first 24 h. The limewater-cured samples were put in a limewater bath in a moist curing room meeting ASTM C511 [27] that was kept at 70–77 °F (21–25 °C) and above 95% relative humidity after demolding. After demolding at 24 h, the steam-cured specimens were placed in a covered pan above water and put in an oven with a set temperature of 194 °F (90 °C) for two days of steam curing, followed by curing in limewater in the moist room until testing. Duct tape was used to seal the cover to the pan and prevent the samples from drying out without allowing pressure to build up in the pan. The precast-cured specimens followed a regimen intended to simulate the temperature development of a beam made in a precast facility. The high heat of hydration provided by the high cementitious material content can significantly heat up the beam during curing, accelerating the curing and changing the concrete properties. Specimens cured using the precast curing method were first cured in their molds at lab temperature for 4 h. After 4 h, they were placed in a covered pan, while they were still in their molds, in an oven with a temperature of 158 °F (70 °C). They were then removed at 22 h of age from the oven, demolded, and placed in the limewater in the moist curing room until they were ready for testing. Figure 2 shows target temperatures with the time for the three curing regimes. Two samples were made for each curing method, giving six samples per mixture design tested in freeze–thaw.
Samples were made for low-temperature differential scanning calorimetry (DSC) from the same mixture designs used for freeze–thaw tests to determine the temperature at which water freezes in UHPC pores and to determine if the freezing point depression is sufficient to prevent ice formation at temperatures experienced by UHPC in service. A mortar mixture was also made at a 0.40 w/cm for comparison. Companion samples to those evaluated with differential scanning calorimetry were evaluated with mercury intrusion porosimetry (MIP). For the low-temperature DSC testing, all the mixtures used the mixture proportions shown in Table 6 and Table 7, and they were made in a mortar mixer meeting ASTM C305 [28] with a batch size of 0.05 ft3 (0.0014 m3) with no fibers. The material properties of the fine aggregate used are given in Table 1. After mixing, 2 × 4 in. (50 × 100 mm) molds were filled and cured using the same three types of curing used for the freeze–thaw samples. The samples were stored in limewater until they reached 14 days of age to give equivalent curing to that of the freeze–thaw samples. The same 2 × 4 in. (50 × 100 mm) cylindrical specimens were sampled for both DSC and MIP.

2.3. UHPC Testing Methodology

2.3.1. Compressive Strength

The UHPC mixtures were designed to range in compressive strength from 12 ksi to over 21 ksi at 28 days in order to investigate how the F–T performance would be impacted. The compressive strength was measured according to ASTM C39 with a load rate of 35 ± 7 psi/s (0.25 ± 0.05 MPa/s) for samples that were expected to have a compressive strength below 17 ksi (120 MPa) [29]. ASTM C1856 was followed with a load rate of 145 ± 7 psi/s (1.0 ± 0.05 MPa/s) for samples that were expected to have a compressive strength above 17 ksi (120 MPa) [16]. Three specimens with a dimension of 3 × 6 in. (75 × 150 mm) for each strength class and curing method were tested at 14 days to follow the same curing age for the F–T samples.

2.3.2. Freeze–Thaw Testing

ASTM C666 Procedure A was used to determine the resistance of concrete specimens to repeated cycles of freeze–thaw [17]. Two 3 × 4 × 16 in. (75 × 100 × 400 mm) concrete specimens were made for each curing method for each UHPC mixture.
Prior to testing, the specimens were brought to a temperature within −2 °F and +4 °F (−1 °C and +2 °C) of the target thaw temperature of 39 °F (4 °C), and tested for fundamental transverse frequency according to ASTM C215 [30]. The specimens were then weighed, and the cross-section dimensions were measured. The specimens were then placed in the stainless-steel trays used to hold the samples during freeze–thaw testing, with clean water added to cover the specimens from all sides.
A 0.04 to 0.12 in. (1 to 3 mm) water-filled space was maintained around all sides of the specimens during testing. The specimens were removed from the machine during thawing every 33 cycles, and the transverse frequencies were measured after weighing. The specimens were then returned to the machine to continue testing until they reached the target of 330 cycles. The concrete relative dynamic modulus of elasticity (RDME) was calculated using Equation (1) [17].
P N = n N n 0 2 × 100
where PN is the relative dynamic modulus of elasticity at N cycles (%), nN is the resonant frequency at N cycles of freezing and thawing (Hz), and n0 is the resonant frequency at 0 cycles of freezing and thawing (Hz).

2.3.3. Low-Temperature DSC Testing

After the DSC samples were cured, they were cut into ~0.2 × 0.2 × 0.04 in. (~5 × 5 × 1 mm) thick samples to fill the crucible. Prior to testing, the samples were weighed, and silver iodide was sprinkled on top as an ice nucleation agent [31]. The samples’ temperature profile cycled from +15 °C to −60 °C and back to +15 °C at a rate of 1 °C per min.
The samples were tested using low-temperature differential scanning calorimetry (DSC) to determine the temperature at which water freezes in UHPC to test the hypothesis that the pores in UHPC are too small for the water in them to freeze at temperatures used in freeze–thaw testing. DSC is a thermal analysis technique in which the heat flow into or out of a sample is measured. When the water freezes (exothermic phase transition) inside the sample pores, the phase change is measured as heat flowing out of the sample. The pore size at which a freezing event is occurring after 1 cycle of freezing can be calculated using Equation (2) [31,32].
r p = 64.67 Δ T + 0.57
where rp is pores radius in nm, and Δ T is the change in liquid-freezing temperature or the freezing point depression or undercooling from the liquid being in the pores.

2.3.4. Mercury Intrusion Porosimetry (MIP) Testing

MIP was performed for all of the DSC samples. For each curing method, the samples were cut into small pieces using a wafer saw with maximum dimensions of 0.12 × 0.98 × 0.39 in. (3 × 25 × 10 mm). After that, the samples were immersed in a 2 × 4 in. (50 × 100 mm) plastic container with isopropanol for 7 days. Solvent exchange with isopropanol was used to remove any water in the pores. After the samples were immersed in isopropanol, the samples were placed in a vacuum desiccator to remove the isopropanol and store the samples without carbonation until testing. The testing was conducted using a Quantachrome PoreMaster 60 at a pressure range of 135 kPa to 415 MPa. The relationship between the pore size and the applied pressure is given by the Washburn equation. The surface tension of mercury γ used was 0.48 N/m. The contact angle θ was assumed to be 120° based on the work presented by Muller and Scrivener using a comparison between MIP results and NMR relaxometry [33].

3. Results and Discussion

3.1. Compressive Strength

The average compressive strength, standard deviation, and coefficient of variation for each mixture are presented in Table 8. p-values were also calculated from 2-factor t-tests comparing compressive strength results of each sample group to each other group. p-values of less than 0.05 were obtained, showing that the curing methods had a significant impact on compressive strength. Even though the mixtures were designed to meet the strength target for 28 days of curing, most of the limewater-cured samples and all the steam-cured samples met the target strength at 14 days. The steam curing increased the compressive strength for all mixtures except for the lowest strength class mixture. The precast curing lowered the concrete strength for all mixtures, showing the importance of the pre-curing before steam curing in forming a good microstructure [34]. Also, the precast curing may accelerate hydration unevenly, leading to microstructural inconsistencies that reduce compressive strength [34].

3.2. Freeze–Thaw Testing

ASTM C666 [17] was followed to study the freeze–thaw durability of concrete made for four different strength classes and three different curing methods. The UHPC relative dynamic modulus of elasticity (RDME) with increasing cycles is shown in Figure 3, and the mass change is shown in Figure 4. After 330 cycles, the 12 ksi mixture showed higher mass gains of 0.03%, 0.25%, and 0.44% for the limewater-cured, steam-cured, and precast-cured samples, respectively. This could indicate internal cracks that absorbed water during the testing [35]. The relative dynamic modulus was observed to increase at least slightly for all mixtures cured in limewater. This expected increase is because of increased hydration with exposure to moisture during the test and is in agreement with experimental results found by others [35,36,37]. The steam-cured samples showed the lowest values with cycling because the steam curing likely increased the degree of reaction, leaving less space available for additional hydration. The precast-cured samples showed RDME in between that of the limewater-cured and steam-cured samples. The steam-cured specimens for the lowest strength class started to show a decrease in the relative dynamic modulus by 165 freeze–thaw cycles, and were close to falling below the ASTM C1856 limit of 90% at the 300 cycles [16]. This was manifest visually as some light surface scaling. Figure 5 shows a picture of a 12 ksi steam-cured sample at the end of testing, clearly showing surface scaling. The 12 ksi samples had the highest initial water content: 15%, 24%, and 45% higher than the 15 ksi, 18 ksi, and 21+ ksi samples, respectively. The surface scaling might be from an interfacial layer, high in cementitious material, between the UHPC and the sides of the mold that formed during placement that is vulnerable to scaling. A study by Lee Ming showed a similar trend to this observation as they found that when compared to samples that had undergone standard curing, the steam-cured samples had slightly lower relative dynamic modulus [38,39]. Another study performed by Graybeal showed that the RDME decreased slightly for the steam-treated specimens compared to a significant increase for the untreated specimens, as the untreated UHPC had more unhydrated cementitious particles and space available for continued hydration [40]. In general, this indicates that the steam-cured samples exhibited higher levels of hydration before testing.

3.3. Low-Temperature DSC Testing

The measured heat flow curves of freezing for the limewater-, steam-, and precast-cured samples for each strength class are shown in Figure 6, Figure 7, and Figure 8, respectively. The highest strength class mixture, the 21+ ksi mixture, showed the lowest heat flow (around 0.009 W/g) for all three types of curing. This indicates the very low volume of pores in the concrete and the small pore sizes present. For the limewater-cured samples shown in Figure 6, there is a peak close to −40 °C for the 0.40 w/cm, 12 ksi, and 15 ksi samples, which most likely corresponds with pore water. The highest strength class mixtures showed no peaks except for a small peak around −20 °C for the 18 ksi mixture, which could be from voids near the surface [41].
The steam-cured and precast-cured samples showed a similar pattern as the limewater-cured samples, except that the 21 ksi steam-cured sample had a peak around −45 °C instead of −40 °C which also indicates homogeneously nucleated pore water. There were multiple exothermic peaks located between −10 °C and −20 °C for the 12 ksi precast-cured samples and a peak close to −25 °C for the 0.4 w/cm sample which indicates the presence of many pores for these samples. The 12 ksi mixture is the only mixture with significant freezing events above ~−35 °C in the steam-cured and precast-cured concrete. This may explain the mass gain and beginning of damage seen in those two sets of concrete samples, while no other concrete samples showed significant mass gain or RDME decrease during freeze–thaw cycling.
Using Equation (2), the observed DSC peak freezing temperatures were converted into pore radii (nm). For illustration, freezing peaks at −40, −35, −20 and −10 °C correspond to pore radii of ≈2.19, 2.42, 3.80, and 7.04 nm (diameters ≈ 4.4, 4.8, 7.6 and 14.1 nm), respectively. These values are consistent with the very fine nanoscale pore network measured by MIP for the higher-strength mixtures, and support the interpretation that the observed early freezing peaks for the 12 ksi specimens indicate the presence of larger pores that can nucleate ice at higher temperatures, which is consistent with the slight scaling observed for the steam-cured 12 ksi samples.

3.4. Mercury Intrusion Porosimetry Testing

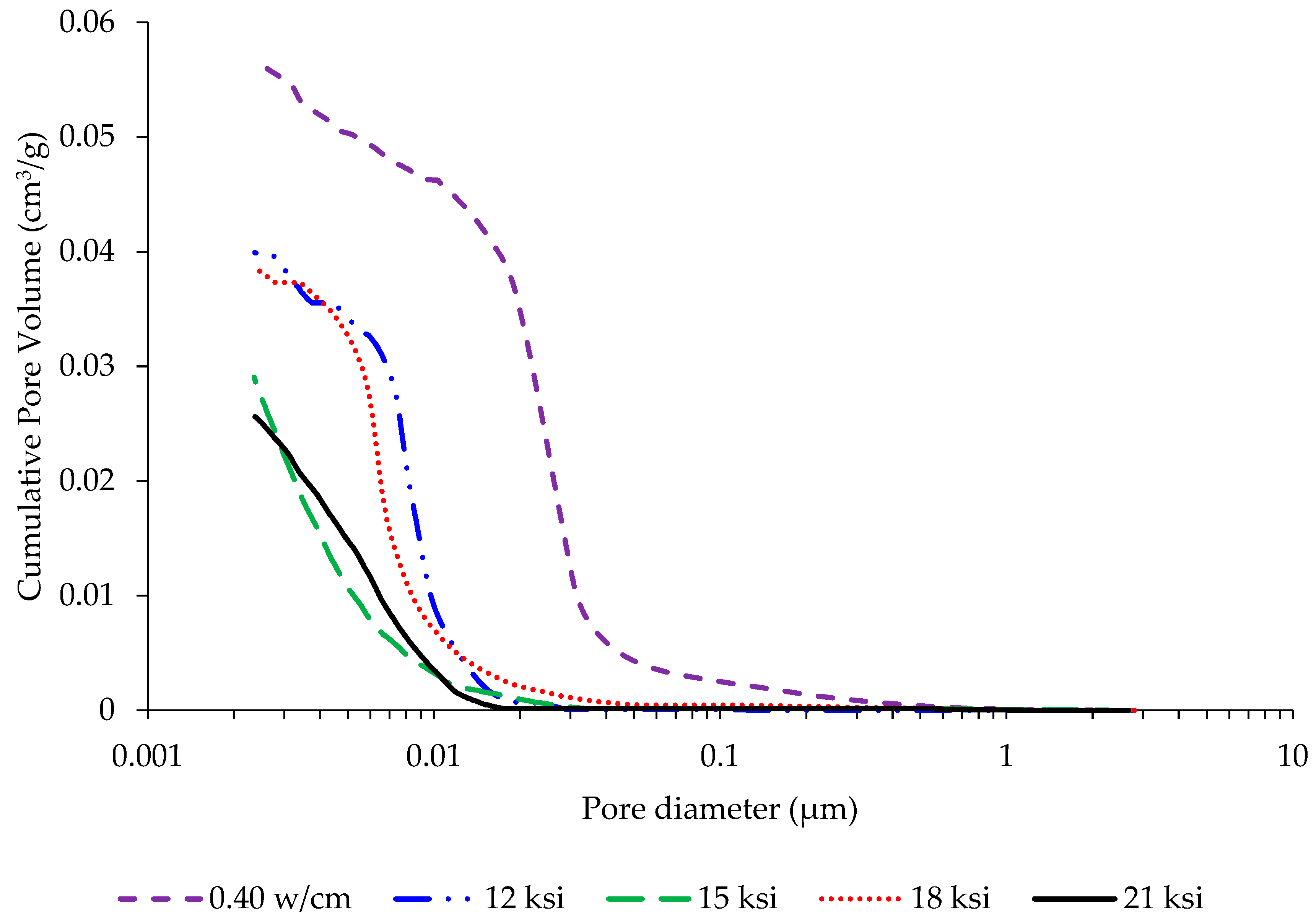
MIP was measured for all the mixtures and compared to a normal concrete mixture with a 0.40 w/cm. The cumulative pore volume and pore size distribution of the limewater-, steam-, and precast-cured samples are shown in Figure 9, Figure 10 and Figure 11, respectively. It can be clearly seen that the concrete mixtures for all the strength classes had lower porosities than the normal-strength concrete mixture, which confirms the refinement of their pore structures.
The critical pore diameter (dc) reflects the pore connectivity as it is the smallest pore size diameter of the subset of the largest pores which creates a connected path throughout the whole sample, and it can be obtained from the derivative of the pore distribution curve (the maximum of the dV/dP curve) [42]. It can be clearly seen that the pore size curve of the UHPC mixtures for all of the strength classes shifted towards smaller pore diameters when compared to the normal concrete. Therefore, the critical pore dimeters for the 0.40 w/cm concrete limewater-, steam-, and precast-cured samples (0.027 μm, 0.03 μm, and 0.032 μm) were almost two times greater than the critical pore diameters of the UHPC mixtures, which is consistent with lower permeability or penetrability of the UHPC samples.
It can be seen from the cumulative mercury intrusion data for all the curing types used that the strength was inversely related to the volume of intruded mercury. Samples for the highest strength mixture, 21+ ksi, had intruded volumes that were about one-third of those obtained for the 0.4 w/cm control concrete mixture (0.02 cm3/g and 0.06 cm3/g), respectively, which was expected as a higher water content leaves more void space as the free water is consumed by hydration or lost through evaporation.
Limewater-cured and precast-cured specimens showed a similar trend with respect to their pore sizes. The steam-cured specimens showed lower porosities for the higher-strength mixtures, 21, 18, and 15 ksi, compared to the other two curing methods. However, the steam-cured 12 ksi specimens showed a higher porosity and critical pore diameter than the samples cured by the other two methods, which correlate well with the increased mass gain and RDME reduction, and could explain why the steam-cured samples from that mixture showed some damage during freeze–thaw testing.
In general, when compared to normal concrete, the test results showed the UHPC samples had very small pore size diameters, less than 0.01 μm, confirming their dense microstructure [43,44,45]. For the concrete mixtures in this study, samples with higher strengths had lower mercury intrusion volumes and lower volumes of pores. When looking at the effect of curing methods on the samples, limewater and precast curing methods showed similar trends for their critical pore diameters. The precast curing method lowered the strength slightly, showing the negative effect of high temperature after placement. The steam curing method showed a positive effect in forming a good microstructure for all the mixtures except for the 12 ksi mixture, for which the samples’ permeabilities increased and the strengths decreased at later ages. Lower strengths and higher permeabilities are a typical consequence of high temperatures on normal and high strength concretes, however, not for UHPC. Therefore, the 12 ksi mixture may have suffered from the cross-over effect typically seen with normal-strength concrete when experiencing high temperature curing, with some pores with diameters in the 0.01 to 0.1 micrometer range. This is in line with some of the results of other studies conducted for UHPC with higher strengths than those used in this study [40,46].

4. Conclusions

This study investigated the freeze–thaw durability of non-proprietary UHPC mixtures designed for different strength classes and curing regimes. Based on the results, several key points can be highlighted:
  • All the samples were found to be freeze–thaw resistant and showed no damage, except for the 12 ksi steam-cured samples that were below the ASTM limit of 90% of RDME.
  • The 12 ksi mixture was affected negatively by the steam curing as it was the only mixture with a lower steam-cured 14-day compressive strength than the limewater-cured samples. This could be because only a small amount of additional hydration would be expected after the steam curing and during the freeze–thaw testing to offset a decrease in the RDME from microcracking.
  • The 12 ksi steam-cured and precast-cured concrete showed water freezing above −35 °C, which would indicate larger pore sizes than seen in the other higher-strength mixtures.
  • The MIP results showed that the 12 ksi mixture had some moderate-sized pores with diameters in the 0.01 to 0.1 micrometer range that could have contributed to some damage seen in the freeze–thaw testing.
  • DSC revealed multiple freezing peaks corresponding to pore radii between ~2–7 nm, consistent with MIP findings. Larger pore sizes correlated with higher RDME loss and surface damage, linking microstructure to freeze–thaw performance.
  • The results suggest that non-proprietary UHPC mixtures achieving ≥15 ksi compressive strength can deliver durable freeze–thaw performance without air entrainment. This finding has direct relevance for precast producers and cast-in-place applications in cold regions, enabling cost-effective, locally sourced UHPC solutions.

Author Contributions

R.S.A.: Investigation, writing—original draft, methodology, formal analysis, and data curation. M.S.V.: Investigation, data curation, writing—review and editing. A.A.: Writing—review and editing. E.A.: Writing—review and editing. K.A.R.: Project administration, validation, writing—review and editing, supervision, and funding acquisition. All authors have read and agreed to the published version of the manuscript.

Funding

This research was funded by the Florida Department of Transportation (FDOT) under contract number BDV31 977-434 105.

Data Availability Statement

Data will be made available upon request.

Acknowledgments

The Florida Department of Transportation (FDOT) is acknowledged for performing the low-temperature DSC measurements. The authors would also like to thank Taylor Rawlinson for help with the experimental setups used in this project.

Conflicts of Interest

The authors declare that they have no known competing financial interests or personal relationships that could have appeared to influence the work reported in this paper.

References

  1. Roux, N.; Andrade, C.; Sanjuan, M.A. Experimental Study of Durability of Reactive Powder Concretes. J. Mater. Civ. Eng. 1996, 8, 1–6. [Google Scholar] [CrossRef]
  2. Bonneau, O.; Vernet, C.; Moranville, M.; Aitcin, P. Characterization of the granular packing and percolation threshold of reactive powder concrete. Cem. Concr. Res. 2000, 30, 1861–1867. [Google Scholar] [CrossRef]
  3. Casas, J.R.; Frangopol, D.M.; Turmo, J. Bridge Safety, Maintenance, Management, Life-Cycle, Resilience and Sustainability. In Proceedings of the Eleventh International Conference on Bridge Maintenance, Safety and Management (IABMAS 2022), Barcelona, Spain, 11–15 July 2022. [Google Scholar]
  4. He, R. Freezing-Thawing Resistance and Microstructure of Cementitious Composites Air-Entrained By Polymeric Microspheres. Ph.D. Thesis, Purdue University, West Lafayette, IN, USA, December 2024. [Google Scholar]
  5. Shang, H.S.; Yi, T.H. Freeze-thaw durability of air-entrained concrete. Sci. World J. 2013, 2013, 650791. [Google Scholar] [CrossRef] [PubMed]
  6. Vernet, C. UHPC microstructure and related durability perfor-mance laboratory assessment and field experience examples. In Proceedings of the 2003 International Symposium on High Performance Concrete, Kassel, Germany, 19–22 October 2003. [Google Scholar]
  7. Ahlborn, T.; Harris, D.K.; Misson, D.L.; Peuse, E.J. Durability and Strength Characterization of Ultra-High Performance Concrete Under Variable Curing Regimes. In Proceedings of the Ultra High Performance Concrete: Proceedings of the Second International Symposium on Ultra High Performance Concrete, Kassel, Germany, 5–7 March 2008; pp. 197–204. [Google Scholar]
  8. Acker, P.; Behloul, M. Ductal® Technology: A Large Spectrum of Properties, A Wide Range of Applications. In Proceedings of the International Symposium on Ultra High Performance Concrete, Kassel, Germany, 6–8 March 2024; pp. 11–23. [Google Scholar]
  9. Russell, H.G.; Graybeal, B.A.; Henry, G.; Graybeal, B.A. Ultra-High Performance Concrete: A State-of-the-Art Report for the Bridge Community; Federal Highway Administration: Washington, DC, USA, 2013. [Google Scholar]
  10. Piérard, J.; Dooms, B.; Cauberg, N. Durability Evaluation of Different Types of UHPC. In Proceedings of the RILEM-Fib-AFGC International Symposium on Ultra-High Performance Fiber-Reinforced Concrete, Menton, France, 1–3 October 2013; pp. 275–284. [Google Scholar]
  11. Lee, M.; Lee, K.; Tia, M. UHPC Precast Product under Severe Freeze-Thaw Conditions. In Proceedings of the 13th International Conference of Fracture, Beijing, China, 16–21 June 2013; pp. 1–8. [Google Scholar]
  12. Zhou, Z. Development, Characterization and Modeling of Ultra-High Performance Concrete (UHPC) with Locally Available Materials. Ph.D. Thesis, Washington State University, Pullman, WA, USA, 2018; pp. 1–219. [Google Scholar]
  13. Graybeal, B.A. Material Property Characterization of Ultra-High Performance Concrete; No. FHWA-HRT-06-103; Federal Highway Administration: Washington, DC, USA; pp. 1–176.
  14. Vernet, C.P. Ultra-Durable Concretes: Structure at the Micro- and Nanoscale. MRS Bull. 2004, 29, 324–327. [Google Scholar] [CrossRef]
  15. Thomas, M.; Green, B.; O’Neal, E.; Perry, V.; Hayman, S.; Hossack, A. Marine performance of UHPC at Treat Island. In Proceedings of the Hipermat 2012 3rd International Symposium on UHPC and Nanotechnology for High Performance Construction Materials, Kassel, Germany, 7–9 March 2012; pp. 365–370. [Google Scholar]
  16. ASTM C1856; Standard Practice for Fabricating and Testing Specimens of Ultra-High Performance Concrete. ASTM International: West Conshohocken, PA, USA, 2017; pp. 1–4.
  17. ASTM C666; Standard Test Method for Resistance of Concrete to Rapid Freezing and Thawing. ASTM International: West Conshohocken, PA, USA, 2015; pp. 1–7.
  18. Chandru, R.; Manju, R. Comprehensive Review on the Effect of Steel Fibres in the Concrete. Int. J. Res. Publ. Rev. 2025, 6, 435–440. [Google Scholar]
  19. ASTM C128; Standard Test Method for Relative Density (Specific Gravity) and Absorption of Fine. ASTM International: West Conshohocken, PA, USA, 2020; pp. 1–6.
  20. ASTM C136; Standard Test Method for Sieve Analysis of Fine and Coarse Aggregates. ASTM International: West Conshohocken, PA, USA, 2019; pp. 1–5.
  21. ASTM C150; Standard Specification for Portland Cement. ASTM International: West Conshohocken, PA, USA, 2008; pp. 1–8.
  22. ASTM C595; Standard Specification for Blended Hydraulic Cements. ASTM International: West Conshohocken, PA, USA, 2019; pp. 1–8.
  23. ASTM C989; Standard Specification for Slag Cement for Use in Concrete and Mortars. ASTM International: West Conshohocken, PA, USA, 2018; pp. 1–7.
  24. ASTM C1240; Standard Specification for Silica Fume Used in Cementitious Mixtures. ASTM International: West Conshohocken, PA, USA, 2020; pp. 1–7.
  25. Rodríguez, E.D.; Soriano, L.; Payá, J.; Borrachero, M.V.; Monzó, J.M. Increase of the reactivity of densified silica fume by sonication treatment. Ultrason. Sonochem. 2012, 19, 1099–1107. [Google Scholar] [CrossRef] [PubMed]
  26. ASTM C1365; Standard Test Method for Determination of the Proportion of Phases in Portland Cement and Portland-Cement Clinker Using X-Ray Powder Diffraction Analysis. ASTM International: West Conshohocken, PA, USA, 2018.
  27. ASTM C511; Standard Specification for Mixing Rooms, Moist Cabinets, Moist Rooms, and Water Storage Tanks Used in the Testing of Hydraulic Cements and Concretes. ASTM International: West Conshohocken, PA, USA, 2019; pp. 1–3.
  28. ASTM C305; Standard Practice for Mechanical Mixing of Hydraulic Cement Pastes and Mortars of Plastic Consistency. ASTM International: West Conshohocken, PA, USA, 2020; pp. 1–7.
  29. ASTM C39; Standard Test Method for Compressive Strength of Cylindrical Concrete Specimens. ASTM International: West Conshohocken, PA, USA, 2018; pp. 1–7.
  30. ASTM C215; Standard Test Method for Fundamental Transverse, Longitudinal, and Torsional Resonant Frequencies of Concrete Specimens. ASTM International: West Conshohocken, PA, USA, 2019; pp. 1–7.
  31. Sun, Z.; Scherer, G.W. Pore size and shape in mortar by thermoporometry. Cem. Concr. Res. 2010, 40, 740–751. [Google Scholar] [CrossRef]
  32. Li, B.; Mao, J.; Nawa, T.; Han, T. Mesoscopic damage model of concrete subjected to freeze-thaw cycles using mercury intrusion porosimetry and differential scanning calorimetry (MIP-DSC). Constr. Build. Mater. 2017, 147, 79–90. [Google Scholar] [CrossRef]
  33. Muller, A.C.A.; Scrivener, K.L. A reassessment of mercury intrusion porosimetry by comparison with 1 H NMR relaxometry. Cem. Concr. Res. 2017, 100, 350–360. [Google Scholar] [CrossRef]
  34. Yousuf, S.; Shafigh, P.; Ibrahim, Z.; Hashim, H.; Panjehpour, M. Crossover Effect in Cement-Based Materials: A Review. Appl. Sci. 2019, 9, 2776. [Google Scholar] [CrossRef]
  35. Tanesi, J.; Graybeal, B.; Simon, M.; di Prisco, M.; Felicetti, R.; Plizzari, G. Effects of curing procedure on freeze–thaw durability of ultra-high performance concrete. In Proceedings of the 6th RILEM Symposium on Fiber Reinforced Concrete, Varenna, Italy, 20–22 September 2004; pp. 603–613. [Google Scholar]
  36. Foy, C.; Pigeon, M.; Banthia, N. Freeze-thaw durability and deicer salt scaling resistance of a 0.25 water-cement ratio concrete. Cem. Concr. Res. 1988, 18, 604–614. [Google Scholar] [CrossRef]
  37. Jacobsen, S.; Sellevold, E.J. Self healing of high strength concrete after deterioration by freeze/thaw. Cem. Concr. Res. 1996, 26, 55–62. [Google Scholar] [CrossRef]
  38. Lee, M.-G. Preliminary study for strength and freeze-thaw durability of microwave-and steam-cured concrete. J. Mater. Civ. Eng. 2007, 19, 972–976. [Google Scholar] [CrossRef]
  39. Lee, M.J.; Lee, M.G.; Wang, Y.C.; Huang, Y.; Wang, W.C. Study of steam and microwave curing of concretes containing slag, fly ash, or silica fume. J. Test. Eval. 2015, 43, 248–254. [Google Scholar] [CrossRef]
  40. Graybeal, B.; Tanesi, J. Durability of an Ultra high-Performance Concrete. J. Mater. Civ. Eng. 2007, 19, 848–854. [Google Scholar] [CrossRef]
  41. An, M.; Wang, Y.; Yu, Z. Damage mechanisms of ultra-high-performance concrete under freeze–thaw cycling in salt solution considering the effect of rehydration. Constr. Build. Mater. 2019, 198, 546–552. [Google Scholar] [CrossRef]
  42. Halamickova’, P.; Detwiler, R.J.; Bentz, D.P.; Garbocz, E.J. Water Permeability and Chloride Ion Diffusion in portland cement mortars: Relationship to sand content and critical pore diameter. Cem. Concr. Res. 1995, 25, 790–802. [Google Scholar] [CrossRef]
  43. Arora, A.; Aguayo, M.; Hansen, H.; Castro, C.; Federspiel, E.; Mobasher, B.; Neithalath, N. Microstructural packing- and rheology-based binder selection and characterization for Ultra-high Performance Concrete (UHPC). Cem. Concr. Res. 2018, 103, 179–190. [Google Scholar] [CrossRef]
  44. Kang, S.-H.; Lee, J.-H.; Hong, S.-G.; Moon, J. Microstructural Investigation of Heat-Treated Ultra-High Performance Concrete for Optimum Production. Materials 2017, 10, 1106. [Google Scholar] [CrossRef] [PubMed]
  45. Li, P.P.; Brouwers, H.J.H.; Chen, W.; Yu, Q. Optimization and characterization of high-volume limestone powder in sustainable ultra-high performance concrete. Constr. Build. Mater. 2020, 242, 118112. [Google Scholar] [CrossRef]
  46. Fehling, S.S.E.; Schmidt, M. Ultra High Performance Concrete (UHPC). In Proceedings of the Second International Symposium on Ultra High Performance Concrete, Kassel, Germany, 5–7 March 2008. [Google Scholar]
Figure 1. Particle size distribution.
Figure 1. Particle size distribution.
Civileng 06 00057 g001
Figure 2. Target temperatures with time for the three curing regimes.
Figure 2. Target temperatures with time for the three curing regimes.
Civileng 06 00057 g002
Figure 3. Relative dynamic modulus of freeze–thaw samples.
Figure 3. Relative dynamic modulus of freeze–thaw samples.
Civileng 06 00057 g003
Figure 4. Mass change in samples during freeze–thaw testing.
Figure 4. Mass change in samples during freeze–thaw testing.
Civileng 06 00057 g004
Figure 5. Photo of the 12 ksi steam-cured specimen after 330 cycles.
Figure 5. Photo of the 12 ksi steam-cured specimen after 330 cycles.
Civileng 06 00057 g005
Figure 6. Measured heat flow curve of freezing of the limewater-cured samples.
Figure 6. Measured heat flow curve of freezing of the limewater-cured samples.
Civileng 06 00057 g006
Figure 7. Measured heat flow curve of freezing of the steam-cured samples.
Figure 7. Measured heat flow curve of freezing of the steam-cured samples.
Civileng 06 00057 g007
Figure 8. Measured heat flow curve of freezing for the precast-cured samples.
Figure 8. Measured heat flow curve of freezing for the precast-cured samples.
Civileng 06 00057 g008
Figure 9. MIP cumulative pore volume of the limewater-cured samples at the age of 14 days.
Figure 9. MIP cumulative pore volume of the limewater-cured samples at the age of 14 days.
Civileng 06 00057 g009
Figure 10. MIP cumulative pore volume of the steam-cured samples at the age of 14 days.
Figure 10. MIP cumulative pore volume of the steam-cured samples at the age of 14 days.
Civileng 06 00057 g010
Figure 11. MIP cumulative pore volume of the precast-cured samples at the age of 14 days.
Figure 11. MIP cumulative pore volume of the precast-cured samples at the age of 14 days.
Civileng 06 00057 g011
Table 1. Fine aggregate relative density and absorption.
Table 1. Fine aggregate relative density and absorption.
PropertyValue
Relative Density (Specific Gravity) (Oven Dry)2.63
Relative Density (Specific Gravity) (Saturated Surface Dry)2.64
Apparent Relative Density (Specific Gravity)2.66
Absorption0.20%
Table 2. Fine aggregate particle size distribution.
Table 2. Fine aggregate particle size distribution.
Sieve SizePercent RetainedCumulative Percent Retained
No. 40.00.0
No. 80.10.1
No. 160.40.5
No. 303.74.2
No. 5037.141.4
No. 10052.794.1
No. 2005.699.7
Pan0.3100.0
Table 3. Fiber properties.
Table 3. Fiber properties.
ParameterBekaert Fibers
Diameter0.008 in. (0.2 mm)
Length0.5 in. (13 mm)
Coatingbrass
Shapestraight
Aspect Ratio65
Strength377.1 ksi (2600 MPa)
Table 4. Cements and SCMs and their chemical composition as measured by XRF (%).
Table 4. Cements and SCMs and their chemical composition as measured by XRF (%).
Chemical OxideCement ILCement IIISlagSilica FumeWhite Silica FumeSilica Flour
SiO218.822034.7980.4596.4998.88
TiO20.220.220.640.020.020.01
Al2O34.794.9013.170.481.370.17
Fe2O33.103.300.784.780.160.01
MnO0.060.130.320.440.000.01
MgO0.801.04.6610.430.010.01
CaO62.8563.3043.710.950.000.01
Na2O0.080.120.190.180.070.01
K2O0.250.380.410.770.020.02
P2O50.410.490.040.030.230.01
SO33.023.703.000.070.000.01
ZnO20.000.050.000.000.430.00
LOI5.452.440.022.930.660.27
Table 5. Cement phase composition as measured by XRD (%).
Table 5. Cement phase composition as measured by XRD (%).
PhaseType IL CementType III Cement
Alite44.353
Belite23.216.4
Aluminate4.24.1
Ferrite11.213.8
Bassanite0.55.2
Gypsum5.11.1
Calcite11.72.3
Anhydrite-1.6
Arcanite-0.5
Syngenite-0.9
Thenardite-0.5
Quartz-0.6
Table 6. Mixture proportions for lower strength mixtures.
Table 6. Mixture proportions for lower strength mixtures.
Material0.40 w/cm12–15 ksi15–18 ksi18–21 ksi
lb/yd3 (kg/m3)lb/yd3 (kg/m3)lb/yd3 (kg/m3)lb/yd3 (kg/m3)
Fine Masonry Sand2628 (1559)1856 (1101)1815 (1077)1588 (942)
Cement IL955 (567)1583 (939)1404 (833)1597 (947)
Slag--272 (161)309 (183)
Silica Fume-83 (49)136 (81)155 (92)
Water382 (227)417 (247)362 (215)335 (199)
HRWR admixture 1-10.9 (6.5)16.4 (9.7)30.9 (18.3)
WRER admixture 2-10.9 (6.5)16.4 (9.7)30.9 (18.3)
Surface-enhancing admixture-2.1 (1.2)3.4 (2.0)5.2 (3.1)
Total Cementitious Material955 (567)1666 (988)1812 (1075)2061 (1222)
Fines-to-Sand Ratio0.360.91.01.3
w/cm0.400.250.200.1625
1 high-range water-reducing; 2 water-reducing and workability-retaining.
Table 7. Mixture proportions for specimens with strength greater than 21 ksi.
Table 7. Mixture proportions for specimens with strength greater than 21 ksi.
Material21+ ksi
lb/yd3 (kg/m3)
Fine Masonry Sand1361 (807)
Cement, Type III1477 (876)
Silica Flour369 (219)
White Silica Fume369 (219)
Water 1288 (171)
HRWR admixture46.1 (27.4)
WRWR admixture40.4 (24.0)
Corrosion inhibitor admixture23.1 (13.7)
Total Cementitious Material2215 (1314)
Fines-to-Sand Ratio1.63
w/cm 20.13
1 75% of the water by mass was added as ice; 2 silica flour is included as cementitious material.
Table 8. Average compressive strengths for each mixture.
Table 8. Average compressive strengths for each mixture.
Mix TargetCuringStrengthStd. Dev.COV
(ksi) psi (MPa)psi (MPa)
Limewater13,820 (95.3)1345 (9.3)9.74%
12–15Steam12,430 (85.7)2392 (16.5)19.24%
Precast12,700 (87.6)1358 (9.4)10.69%
Limewater16,960 (117.0)525 (3.6)3.10%
15–18Steam18,190 (125.4)1307 (9.0)7.19%
Precast13,680 (94.3)555 (3.8)4.06%
Limewater16,460 (113.5)746 (5.1)4.53%
18–21Steam18,440 (127.2)1912 (13.2)10.37%
Precast13,990 (96.5)1111 (7.7)7.94%
Limewater19,880 (137.1)1696 (11.7)8.53%
21+Steam22,100 (152.4)761 (5.2)3.45%
Precast16,310 (112.5)1773 (12.0)10.87%
Disclaimer/Publisher’s Note: The statements, opinions and data contained in all publications are solely those of the individual author(s) and contributor(s) and not of MDPI and/or the editor(s). MDPI and/or the editor(s) disclaim responsibility for any injury to people or property resulting from any ideas, methods, instructions or products referred to in the content.

Share and Cite

MDPI and ACS Style

Alrashidi, R.S.; Voss, M.S.; Alsubeai, A.; Alshammari, E.; Riding, K.A. Evaluation of Non-Proprietary Ultra-High-Performance Concrete (UHPC) to Resistance of Freeze–Thaw. CivilEng 2025, 6, 57. https://doi.org/10.3390/civileng6040057

AMA Style

Alrashidi RS, Voss MS, Alsubeai A, Alshammari E, Riding KA. Evaluation of Non-Proprietary Ultra-High-Performance Concrete (UHPC) to Resistance of Freeze–Thaw. CivilEng. 2025; 6(4):57. https://doi.org/10.3390/civileng6040057

Chicago/Turabian Style

Alrashidi, Raid S., Megan S. Voss, Ali Alsubeai, Emad Alshammari, and Kyle A. Riding. 2025. "Evaluation of Non-Proprietary Ultra-High-Performance Concrete (UHPC) to Resistance of Freeze–Thaw" CivilEng 6, no. 4: 57. https://doi.org/10.3390/civileng6040057

APA Style

Alrashidi, R. S., Voss, M. S., Alsubeai, A., Alshammari, E., & Riding, K. A. (2025). Evaluation of Non-Proprietary Ultra-High-Performance Concrete (UHPC) to Resistance of Freeze–Thaw. CivilEng, 6(4), 57. https://doi.org/10.3390/civileng6040057

Article Metrics

Back to TopTop