A Reliable and Simple Voltammetric Method for Analysis of Brilliant Blue FCF
Abstract
1. Introduction
2. Materials and Methods
2.1. Measurment Apparatus and Software
2.2. Chemicals and Glassware
2.3. Standard Procedure of Measurements
2.4. Analysis of Brilliant Blue FCF in Beverages
3. Results
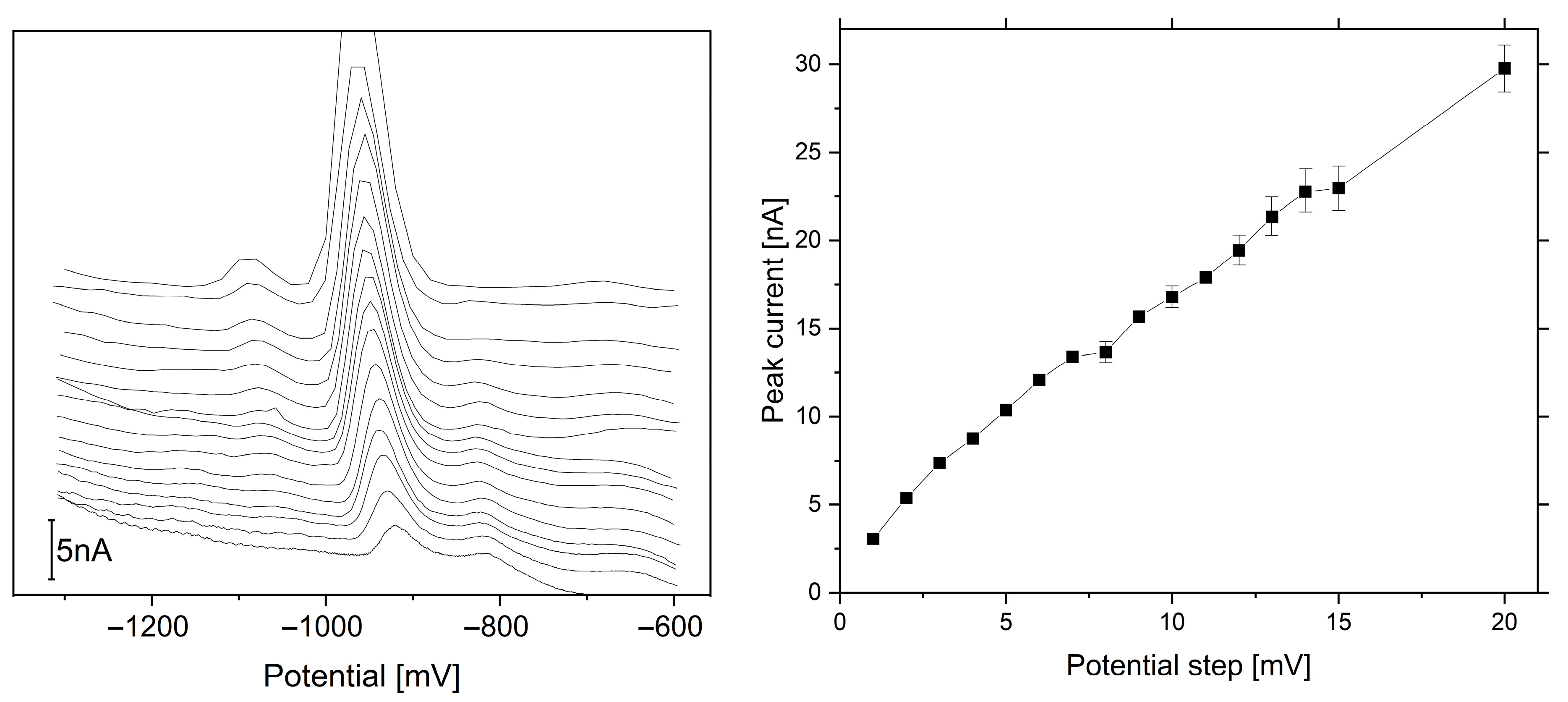
3.1. Effect of DPV Parameters on Brilliant Blue FCF Peak Characteristics
3.2. Effect of Type of Supporting Electrolyte and pH on Brillant Blue Peak
3.3. Influence of the Surface Area of the Hg(Ag)FE Electrode on Brilliant Blue FCF Peak
3.4. Analytical Performance
3.5. Interference
4. Conclusions
Supplementary Materials
Author Contributions
Funding
Institutional Review Board Statement
Informed Consent Statement
Data Availability Statement
Conflicts of Interest
References
- Silva, M.M.; Reboredo, F.H.; Lidon, F.C. Food Colour Additives: A Synoptical Overview on Their Chemical Properties, Applications in Food Products, and Health Side Effects. Foods 2022, 11, 379. [Google Scholar] [CrossRef]
- Warner, J.O. Artificial Food Additives: Hazardous to Long-Term Health? Arch. Dis. Child. 2024, 109, 882–885. [Google Scholar] [CrossRef] [PubMed]
- Spence, C. What’s the Story with Blue Steak? On the Unexpected Popularity of Blue Foods. Front. Psychol. 2021, 12, 638703. [Google Scholar] [CrossRef] [PubMed]
- Wijesekara, T.; Xu, B. A Critical Review on the Stability of Natural Food Pigments and Stabilization Techniques. Food Res. Int. 2024, 179, 114011. [Google Scholar] [CrossRef]
- Dou, R.; Li, W.; Nan, G.; Wang, X.; Zhou, Y. How Can Manufacturers Make Decisions on Product Appearance Design? A Research on Optimal Design Based on Customers’ Emotional Satisfaction. J. Manag. Sci. Eng. 2021, 6, 177–196. [Google Scholar] [CrossRef]
- Spence, C.; Levitan, C.A.; Shankar, M.U.; Zampini, M. Does Food Color Influence Taste and Flavor Perception in Humans? Chemosens. Percept. 2010, 3, 68–84. [Google Scholar] [CrossRef]
- Alegbe, E.O.; Uthman, T.O. A Review of History, Properties, Classification, Applications and Challenges of Natural and Synthetic Dyes. Heliyon 2024, 10, e33646. [Google Scholar] [CrossRef]
- Spence, C.; Velasco, C.; Knoeferle, K. A Large Sample Study on the Influence of the Multisensory Environment on the Wine Drinking Experience. Flavour 2014, 3, 8. [Google Scholar] [CrossRef]
- Aguilar, F.; Dusemund, B.; Galtier, P. Scientific Opinion on the Re-Evaluation of Brilliant Blue FCF (E 133) as a Food Additive. EFSA J. 2010, 8, 1853. [Google Scholar] [CrossRef]
- Miller, M.D.; Steinmaus, C.; Golub, M.S.; Castorina, R.; Thilakartne, R.; Bradman, A.; Marty, M.A. Potential Impacts of Synthetic Food Dyes on Activity and Attention in Children: A Review of the Human and Animal Evidence. Environ. Health 2022, 21, 45. [Google Scholar] [CrossRef] [PubMed]
- Rambler, R.M.; Rinehart, E.; Boehmler, W.; Gait, P.; Moore, J.; Schlenker, M.; Kashyap, R. A Review of the Association of Blue Food Coloring with Attention Deficit Hyperactivity Disorder Symptoms in Children. Cureus 2022, 14, e29241. [Google Scholar] [CrossRef] [PubMed]
- Kus, E.; Eroglu, H.E. Genotoxic and Cytotoxic Effects of Sunset Yellow and Brilliant Blue, Colorant Food Additives, on Human Blood Lymphocytes. Pak. J. Pharm. Sci. 2015, 28, 227–230. [Google Scholar] [PubMed]
- Han, Q.; Sun, Y.; Shen, K.; Yan, Y.; Kang, X. Rapid Determination of Seven Synthetic Dyes in Casual Snacks Based on Packed-Fibers Solid-Phase Extraction Coupled with HPLC-DAD. Food Chem. 2021, 347, 129026. [Google Scholar] [CrossRef]
- Spence, C. Just How Much of What We Taste Derives from the Sense of Smell? Flavour 2015, 4, 30. [Google Scholar] [CrossRef]
- Sarfaraz, S.; Bano, T.; Fatima, W.; Amjad, R.; Mehak, A.; Iqbal, M.; Naseem, K. Popularity of Soft Drinks: Colored versus Non-Colored and Risks Associated with Their Prolonged Use. RADS J. Pharm. Pharm. Sci. 2017, 5, 13–19. [Google Scholar]
- Spence, C. Multisensory Flavor Perception. Cell 2015, 161, 24–35. [Google Scholar] [CrossRef]
- Harrar, V.; Piqueras-Fiszman, B.; Spence, C. There’s More to Taste in a Coloured Bowl. Perception 2011, 40, 880–882. [Google Scholar] [CrossRef]
- European Parliament and Council of the European Union. Regulation (EC) No 1333/2008 of the European Parliament and of the Council of 16 December 2008 on Food Additives. Off. J. Eur. Union 2008, L354, 16–33. [Google Scholar]
- Tang, T.X.; Xu, X.J.; Wang, D.M.; Zhao, Z.M.; Zhu, L.P.; Yang, D.P. A Rapid and Green Limit Test Method for Five Synthetic Colorants in Foods Using Polyamide Thin-Layer Chromatography. Food Anal. Methods 2015, 8, 459–466. [Google Scholar] [CrossRef]
- U.S. Food and Drug Administration Electronic Code of Federal Regulations (ECFR), Title 21, Part 74—Listing of Color Additives Subject to Certification. Available online: https://www.ecfr.gov/current/title-21/chapter-I/subchapter-A/part-74 (accessed on 3 September 2025).
- Antakli, S.; Nejem, L.; Katran, S. Simultaneous Determination Of Tartrazine And Brilliant Blue In Foodstuffs By Spectrophotometric Method. Int. J. Pharm. Pharm. Sci. 2015, 7, 214–218. [Google Scholar]
- Bişgin, A.T. Simultaneous Spectrophotometric Determination of Brilliant Blue and Tartrazine in Diverse Sample Matrices after Solid Phase Extraction. J. AOAC Int. 2020, 103, 1478–1485. [Google Scholar] [CrossRef]
- Erek, F.; Lanjwani, M.F.; Tuzen, M. A Sensitive Determination of Brilliant Blue FCF in Some Food Samples Using Hydrophillic Deep Eutectic Solvent-Assisted Magnetic Nano Gel-Based Dispersive Solid Phase Microextraction Prior to Spectrophotometric Analysis. Food Chem. 2024, 453, 139632. [Google Scholar] [CrossRef]
- Ishikawa, F.; Oishi, M.; Kimura, K.; Yasui, A.; Saito, K. Determination of Synthetic Food Dyes in Food by Capillary Electrophoresis. J. Food Hyg. Soc. Jpn. 2004, 45, 150–155. [Google Scholar] [CrossRef]
- Baranowska, I.; Zydroń, M.; Szczepanik, K. TLC in the Analysis of Food Additives. JPC-J. Planar Chromatogr.-Mod. TLC 2007, 17, 54–57. [Google Scholar] [CrossRef]
- Dmitrieva, E.; Gashimova, E. Simultaneous Quantification of 13 Synthetic Food Dyes in Dietary Supplements and Sports Nutrition by High-Performance Thin-Layer Chromatography with Densitometric Detection. Food Human. 2025, 4, 100548. [Google Scholar] [CrossRef]
- Guo, J.; Wu, H.; Du, L.; Fu, Y. Determination of Brilliant Blue FCF in Food and Cosmetic Samples by Ionic Liquid Independent Disperse Liquid-Liquid Micro-Extraction. Anal. Methods 2013, 5, 4021–4026. [Google Scholar] [CrossRef]
- Wu, H.; Guo, J.B.; Du, L.M.; Tian, H.; Hao, C.X.; Wang, Z.F.; Wang, J.Y. A Rapid Shaking-Based Ionic Liquid Dispersive Liquid Phase Microextraction for the Simultaneous Determination of Six Synthetic Food Colourants in Soft Drinks, Sugar- and Gelatin-Based Confectionery by High-Performance Liquid Chromatography. Food Chem. 2013, 141, 182–186. [Google Scholar] [CrossRef]
- Li, J.; Huang, C.; Liang, G.; Xiao, Y.; Ge, L.; Gong, J.; He, D. Determination of Indigo and Brilliant Blue in Different Types of Food Products by High Performance Liquid Chromatography with Solid Phase Extraction. J. Hyg. Res. 2017, 46, 318–323. [Google Scholar]
- Lipskikh, O.I.; Korotkova, E.I.; Barek, J.; Vyskocil, V.; Saqib, M.; Khristunova, E.P. Simultaneous Voltammetric Determination of Brilliant Blue FCF and Tartrazine for Food Quality Control. Talanta 2020, 218, 121136. [Google Scholar] [CrossRef]
- Wang, W.; Chen, Y.; Zhang, J.; Wang, X.; Chen, Z. Electrochemical Determination of Brilliant Blue and Tartrazine Based on an Ionic Liquid-Modified Expanded Graphite Paste Electrode. J. AOAC Int. 2015, 98, 817–821. [Google Scholar] [CrossRef]
- Ghoreishi, S.M.; Behpour, M.; Golestaneh, M. Simultaneous Voltammetric Determination of Brilliant Blue and Tartrazine in Real Samples at the Surface of a Multi-Walled Carbon Nanotube Paste Electrode. Anal. Methods 2011, 3, 2842–2847. [Google Scholar] [CrossRef]
- Gimadutdinova, L.; Ziyatdinova, G.; Davletshin, R. Selective Voltammetric Sensor for the Simultaneous Quantification of Tartrazine and Brilliant Blue FCF. Sensors 2023, 23, 1094. [Google Scholar] [CrossRef]
- Wang, M.; Yang, M.; Sun, Q.; Gao, Y.; Zhao, J. Development of a Facile Sensor for the Determination of Brilliant Blue FCF in Beverages. Int. J. Environ. Anal. Chem. 2015, 95, 969–979. [Google Scholar] [CrossRef]
- Murali, A.S.; Saraswathyamma, B. Innovative Electrochemical Quantification of Brilliant Blue Dye with Polyvinylpyrrolidone-Stabilized MoS2. Mater. Chem. Phys. 2025, 332, 130–155. [Google Scholar] [CrossRef]
- Karami, M.; Shabani-Nooshabadi, M. Electrochemical Analysis of Sunset Yellow, Brilliant Blue, and Tartrazine Using Sensor Amplified with CuNiFe2O4 Hollow Spheres. J. Electrochem. Soc. 2023, 170, 087510. [Google Scholar] [CrossRef]
- Ion, B.C.; van Staden, J.K.F.; Georgescu-State, R.; Comnea-Stancu, I.R. An Ultrasensitive Electrochemical Platform Based on Copper Oxide Nanoparticles and Poly (Crystal Violet) for the Detection of Brilliant Blue FCF from Soft Drinks. Food Chem. 2024, 437, 137751. [Google Scholar] [CrossRef]
- Kaliyaraj Selva Kumar, A.; Zhang, Y.; Li, D.; Compton, R.G. A Mini-Review: How Reliable Is the Drop Casting Technique? Electrochem. Commun. 2020, 121, 106867. [Google Scholar] [CrossRef]
- Baś, B.; Kowalski, Z. Preparation of Silver Surface for Mercury Film Electrode of Prolonged Analytical Application. Electroanalysis 2002, 14, 1067–1071. [Google Scholar] [CrossRef]
- Smajdor, J.; Piech, R.; Paczosa-Bator, B. Voltammetric Determination of Drospirenone on Mercury Film Electrode. J. Electrochem. Soc. 2017, 164, H311–H315. [Google Scholar] [CrossRef]
- Szlósarczyk, M.; Piech, R.; Milc, A.; Hubicka, U. Fast and Sensitive Voltammetric Method for the Determination of Rifampicin on Renewable Amalgam Film Electrode. Sensors 2021, 21, 5792. [Google Scholar] [CrossRef]
- Górska, A.; Paczosa-Bator, B.; Szlósarczyk, M.; Piech, R. Highly Sensitive Voltammetric Determination of Captopril on Renewable Amalgam Film Electrode. Talanta 2022, 237, 122937. [Google Scholar] [CrossRef] [PubMed]
- Jędrejko, K.; Kała, K.; Sułkowska-Ziaja, K.; Krakowska, A.; Zięba, P.; Marzec, K.; Szewczyk, A.; Sękara, A.; Pytko-Polończyk, J.; Muszyńska, B. Cordyceps Militaris—Fruiting Bodies, Mycelium, and Supplements: Valuable Component of Daily Diet. Antioxidants 2022, 11, 1861. [Google Scholar] [CrossRef] [PubMed]






| Electrode Type | Electrolyte (pH) | Linearity Range | LOQ [µM] | LOD [µM] | Ref. |
|---|---|---|---|---|---|
| CuNiFe2O4 | PBS (3) | 5–700 ** | 5.3 | 1.6 | [36] |
| CI/CBPCE | BR (10) | 0.025–2.5 | 4 × 10−2 | 1 × 10−2 | [30] |
| MnO2/NBE/GCE | PBS (7) | 0.25–2.5; 2.5–15 | 0.1 | 4 × 10−2 | [33] |
| MWCNT/CPE | PBS (2) | 0.5–0.8; 0.8–25 | 0.3 | 8 × 10−2 | [32] |
| MWCNT/GO-RTIL/GCE | BR (2) | 0.008–0.01; 0.01–0.1 | 1 × 10−2 | 4 × 10−3 | [34] |
| IL-EGPE * | BR (2) | 0.005–4 ** | 6 × 10−3 | 2 × 10−3 | [31] |
| MoS2/PVP/GCE | PBS (7) | 0.8–209; 255–1150 | 3 × 10−2 | 9 × 10−3 | [35] |
| Ag(Hg)FE | KNO3 (7) | 0.7–5.6 | 1 × 10−3 | 3 × 10−4 | This work |
| CV/CuONPs/CPE | KCl (7); PBS (3) | 1 × 10−5–1 × 10−3 | 1 × 10−4 | 3 × 10−5 | [37] |
| Added [µg] | Found [µg] | Recovery [%] | |
|---|---|---|---|
| Brilliant Blue FCF | - | 5.60 ± 0.24 | - |
| 4.5 | 10.22 ± 0.31 | 101.2 | |
| 5.6 | 11.03 ± 0.28 | 98.48 | |
| 6.7 | 12.28 ± 0.33 | 99.84 |
| Sample | DPV [µg mL−1] | UV-Vis [µg mL−1] | F-Test | t-Test |
|---|---|---|---|---|
| 4MOVE | 5.60 ± 0.24 | 5.27 ± 0.11 | 0.40 | <0.05 * |
| Garage | 8.28 ± 0.19 | 8.41 ± 0.38 | 0.20 | 0.20 |
| Izzy Kamikaze | 15.16 ± 0.35 | 15.39 ± 0.42 | 0.57 | 0.24 |
| Mirinda | 16.18 ± 0.32 | 16.10 ± 0.41 | 0.64 | 0.38 |
| drWitt | 1.99 ± 0.03 | 1.92 ± 0.01 | 0.18 | <0.05 * |
| Step’On | 4.04 ± 0.11 | 4.09 ± 0.10 | 0.93 | 0.27 |
| IsoFresh | 3.85 ± 0.10 | 3.82 ± 0.11 | 0.78 | 0.47 |
| Artificial saliva | 1.97 ± 0.04 (95.16) ** | 1.99 ± 0.04 (96.14) | 0.77 | 0.47 |
| Gastric juice | 1.73 ± 0.06 (83.57) | 1.38 ± 0.05 (66.67) | 0.86 | <0.05 * |
Disclaimer/Publisher’s Note: The statements, opinions and data contained in all publications are solely those of the individual author(s) and contributor(s) and not of MDPI and/or the editor(s). MDPI and/or the editor(s) disclaim responsibility for any injury to people or property resulting from any ideas, methods, instructions or products referred to in the content. |
© 2025 by the authors. Licensee MDPI, Basel, Switzerland. This article is an open access article distributed under the terms and conditions of the Creative Commons Attribution (CC BY) license (https://creativecommons.org/licenses/by/4.0/).
Share and Cite
Szlósarczyk, M.; Piech, R.; Pach, B.; Stolarczyk, M.; Hubicka, U. A Reliable and Simple Voltammetric Method for Analysis of Brilliant Blue FCF. Sensors 2025, 25, 6424. https://doi.org/10.3390/s25206424
Szlósarczyk M, Piech R, Pach B, Stolarczyk M, Hubicka U. A Reliable and Simple Voltammetric Method for Analysis of Brilliant Blue FCF. Sensors. 2025; 25(20):6424. https://doi.org/10.3390/s25206424
Chicago/Turabian StyleSzlósarczyk, Marek, Robert Piech, Bartłomiej Pach, Mariusz Stolarczyk, and Urszula Hubicka. 2025. "A Reliable and Simple Voltammetric Method for Analysis of Brilliant Blue FCF" Sensors 25, no. 20: 6424. https://doi.org/10.3390/s25206424
APA StyleSzlósarczyk, M., Piech, R., Pach, B., Stolarczyk, M., & Hubicka, U. (2025). A Reliable and Simple Voltammetric Method for Analysis of Brilliant Blue FCF. Sensors, 25(20), 6424. https://doi.org/10.3390/s25206424

