Sign in to use this feature.

Years

Between: -

Subjects

remove_circle_outline
remove_circle_outline
remove_circle_outline
remove_circle_outline
remove_circle_outline
remove_circle_outline
remove_circle_outline
remove_circle_outline
remove_circle_outline

Journals

Article Types

Countries / Regions

Search Results (29)

Search Parameters:
Keywords = decomposition odor

Order results
Result details
Results per page
Select all
Export citation of selected articles as:
26 pages, 2632 KB  
Article
CAGM-Seg: A Symmetry-Driven Lightweight Model for Small Object Detection in Multi-Scenario Remote Sensing
by Hao Yao, Yancang Li, Wenzhao Feng, Ji Zhu, Haiming Yan, Shijun Zhang and Hanfei Zhao
Symmetry 2025, 17(12), 2137; https://doi.org/10.3390/sym17122137 - 12 Dec 2025
Viewed by 357
Abstract
In order to address challenges in small object recognition for remote sensing imagery—including high model complexity, overfitting with small samples, and insufficient cross-scenario generalization—this study proposes CAGM-Seg, a lightweight recognition model integrating multi-attention mechanisms. The model systematically enhances the U-Net architecture: First, the [...] Read more.
In order to address challenges in small object recognition for remote sensing imagery—including high model complexity, overfitting with small samples, and insufficient cross-scenario generalization—this study proposes CAGM-Seg, a lightweight recognition model integrating multi-attention mechanisms. The model systematically enhances the U-Net architecture: First, the encoder adopts a pre-trained MobileNetV3-Large as the backbone network, incorporating a coordinate attention mechanism to strengthen spatial localization of min targets. Second, an attention gating module is introduced in skip connections to achieve adaptive fusion of cross-level features. Finally, the decoder fully employs depthwise separable convolutions to significantly reduce model parameters. This design embodies a symmetry-aware philosophy, which is reflected in two aspects: the structural symmetry between the encoder and decoder facilitates multi-scale feature fusion, while the coordinate attention mechanism performs symmetric decomposition of spatial context (i.e., along height and width directions) to enhance the perception of geometrically regular small targets. Regarding training strategy, a hybrid loss function combining Dice Loss and Focal Loss, coupled with the AdamW optimizer, effectively enhances the model’s sensitivity to small objects while suppressing overfitting. Experimental results on the Xingtai black and odorous water body identification task demonstrate that CAGM-Seg outperforms comparison models in key metrics including precision (97.85%), recall (98.08%), and intersection-over-union (96.01%). Specifically, its intersection-over-union surpassed SegNeXt by 11.24 percentage points and PIDNet by 8.55 percentage points; its F1 score exceeded SegFormer by 2.51 percentage points. Regarding model efficiency, CAGM-Seg features a total of 3.489 million parameters, with 517,000 trainable parameters—approximately 80% fewer than the baseline U-Net—achieving a favorable balance between recognition accuracy and computational efficiency. Further cross-task validation demonstrates the model’s robust cross-scenario adaptability: it achieves 82.77% intersection-over-union and 90.57% F1 score in landslide detection, while maintaining 87.72% precision and 86.48% F1 score in cloud detection. The main contribution of this work is the effective resolution of key challenges in few-shot remote sensing small-object recognition—notably inadequate feature extraction and limited model generalization—via the strategic integration of multi-level attention mechanisms within a lightweight architecture. The resulting model, CAGM-Seg, establishes an innovative technical framework for real-time image interpretation under edge-computing constraints, demonstrating strong potential for practical deployment in environmental monitoring and disaster early warning systems. Full article
Show Figures

Figure 1

27 pages, 1397 KB  
Review
Synthetic Cadaver Odorants and the Sulfur Gap: Linking Chemistry and Canine Olfaction in Human Remains Detection
by Iwona Kowalczyk-Jabłońska, Bartłomiej Zieniuk and Magdalena Pawełkowicz
Molecules 2025, 30(20), 4066; https://doi.org/10.3390/molecules30204066 - 13 Oct 2025
Viewed by 1659
Abstract
Human remains detection (HRD) dogs are vital tools in forensic science and disaster response, but their training is limited by the restricted availability of human material. Synthetic odorants such as Sigma Pseudo™ formulations provide safer, standardized alternatives, yet current products reproduce only a [...] Read more.
Human remains detection (HRD) dogs are vital tools in forensic science and disaster response, but their training is limited by the restricted availability of human material. Synthetic odorants such as Sigma Pseudo™ formulations provide safer, standardized alternatives, yet current products reproduce only a fraction of the volatile organic compound (VOC) profile of decomposition. In particular, sulfur-containing volatiles, which are highly odor-active and consistently present in human remains, are often missing, reducing biological fidelity. Here, we integrate analytical chemistry with canine olfactory genetics and molecular biology to explain these limitations. Dogs possess one of the largest olfactory receptor (OR) repertoires among mammals, with high allelic diversity and specialized trace amine-associated receptors (TAARs) tuned to cadaveric amines. Together with olfactory binding proteins (OBPs) and ciliary signal transduction cascades, these molecular mechanisms highlight why incomplete VOC mixtures may fail to activate the full receptor network required for reliable odor imprinting. We propose the “sulfur gap hypothesis” and suggest hybrid training strategies combining improved synthetics with ethically sourced biological samples to enhance HRD dog performance. Full article
Show Figures

Graphical abstract

18 pages, 1503 KB  
Article
Investigation of Distinct Odor Profiles of Blood over Time Using Chemometrics and Detection Canine Response
by Fantasia Whaley, Valerie Albizu, Jordi Cruz, Rushali Dargan and Lauryn DeGreeff
Chemosensors 2025, 13(9), 349; https://doi.org/10.3390/chemosensors13090349 - 11 Sep 2025
Viewed by 4710
Abstract
The detection of blood by human remains detection (HRD) canines and blood detection dogs (BDDs) is crucial to both search and rescue (SAR) and crime scene investigation. They can be used to find both missing persons and to detect otherwise undetectable blood evidence [...] Read more.
The detection of blood by human remains detection (HRD) canines and blood detection dogs (BDDs) is crucial to both search and rescue (SAR) and crime scene investigation. They can be used to find both missing persons and to detect otherwise undetectable blood evidence at crime scenes. An added level of difficulty with training occurs as blood volatile organic compounds (VOCs) are drastically affected by time. Previous studies have shown this, with a focus on a longer timescale (weeks/months). Little data exists on the changes in the first 48 h, the most crucial time in SAR, something this study aims to rectify. Data was collected using headspace solid-phase microextraction/gas chromatography–mass spectrometry, which was then analyzed using chemometrics and confirmed with canine trials. The results of the laboratory analysis indicated that there were multiple, distinct odor profiles between the 1 h and 2-week time windows—namely, the fresh, intermediate, and aged stages of decomposition. The noted changes in the odor profiles were validated with HRD canine trials. Canines had difficulty detecting the fresh blood (1–2 h old) and had the greatest detection rate for the aged blood (34–36 h old). Both the chemical analysis and canine behavior data displayed a clear change in the odor profile within the first 48 h. This information will assist SAR, HRD, and BBD training to ensure they train on all distinct odor profiles. Full article
(This article belongs to the Special Issue Detection of Volatile Organic Compounds in Complex Mixtures)
Show Figures

Figure 1

15 pages, 3628 KB  
Article
Functional Divergence of Two General Odorant-Binding Proteins to Sex Pheromones and Host Plant Volatiles in Adoxophyes orana (Lepidoptera: Tortricidae)
by Shaoqiu Ren, Yuhan Liu, Xiulin Chen, Kun Luo, Jirong Zhao, Guangwei Li and Boliao Li
Insects 2025, 16(9), 880; https://doi.org/10.3390/insects16090880 - 24 Aug 2025
Cited by 1 | Viewed by 939
Abstract
Adoxophyes orana (Lepidoptera: Tortricidae) is a significant polyphagous leafroller that damages trees and shrubs in Rosaceae and other families. However, the molecular mechanisms by which this pest recognizes sex pheromones and host plant volatiles remain largely unknown. Tissue expression profiles indicated that two [...] Read more.
Adoxophyes orana (Lepidoptera: Tortricidae) is a significant polyphagous leafroller that damages trees and shrubs in Rosaceae and other families. However, the molecular mechanisms by which this pest recognizes sex pheromones and host plant volatiles remain largely unknown. Tissue expression profiles indicated that two general odorant-binding proteins (AoraGOBP1 and AoraGOBP2) were more abundant in the antennae and wings of both sexes, with AoraGOBP1 being rich in the female head and abdomen. Temporal expression profiles showed that AoraGOBP1 was expressed at the highest level in 5 day-nmated adults, while AoraGOBP2 exhibited high expression in 5 day-unmated, 7 day-unmated, and mated female adults. Fluorescence competitive binding assays of heterologous expressed AoraGOBPs demonstrated that AoraGOBP2 strongly bound to the primary sex pheromone Z9-14:Ac, and two minor sex pheromones Z9-14:OH and Z11-14:OH, whereas AoraGOBP1 only showed a high binding affinity to Z9-14:Ac. What is more, AoraGOBP1 exhibited a broader binding spectrum for host plant volatiles than AoraGOBP2. Molecular dockings, molecular dynamic simulations, and per-residue binding free decompositions indicated that the van der Waals interaction was the predominant contributor to the binding free energy. Electrostatic interactions between aldehydes, or alcohols and AoraGOBPs stabilized the conformational structures. Phe12 from AoraGOBP1, and Phe13 from AoraGOBP2 were identified as the most important residues that contributed to bind free energy. Our findings provide a comprehensive insight into the molecular mechanisms of olfactory recognition in A. orana, facilitating the development of chemical ecology-based approaches for the control. Full article
(This article belongs to the Section Insect Molecular Biology and Genomics)
Show Figures

Figure 1

13 pages, 1832 KB  
Article
The Impact of Entomological Sample Handling Techniques on a Single Larva Odor Profile
by Ana Zoe Monogan, Joshua L. Smith and Paola A. Prada-Tiedemann
Forensic Sci. 2025, 5(2), 21; https://doi.org/10.3390/forensicsci5020021 - 14 May 2025
Viewed by 1977
Abstract
Background: Chemical odor profiling within forensic entomology is an emerging tool given its potential for species identification and larval aging and its ability to identify decomposition stages. A volatile analysis of larval masses across species of distinctive developmental stages was carried out with [...] Read more.
Background: Chemical odor profiling within forensic entomology is an emerging tool given its potential for species identification and larval aging and its ability to identify decomposition stages. A volatile analysis of larval masses across species of distinctive developmental stages was carried out with extraction techniques to identify odor signatures. However, it is unknown how larval sample handling (i.e., live samples in research vs. hot-water-killed samples in casework) affects odor signatures or the possibility of obtaining relevant volatiles from a single larva. Method: This study utilized solid-phase microextraction (SPME) with gas chromatography–mass spectrometry (GC/MS) for the analysis of odor volatiles emanating from single larval samples of Cochliomyia macellaria. Fifty (50) larvae (25 live; 25 boiled) were analyzed. Results: The SPME-GC/MS method allowed for odor volatile detection from a single maggot regardless of the sample handling group. The main compounds identified across both groups included those previously reported as emanating from larvae and decomposition substrates. When comparing treatments, the boiled larval samples had a 6-fold decrease in compound abundance compared to the live samples. The identified odor volatiles observed in the hot-water-killed treatment group included indole, p-cresol, and phenol. Conclusions: These results suggest that the handling technique impacts odor detection. Additionally, the heterocyclic aromatics and alcohols identified in the boiled samples are potentially odor markers of a higher intrinsic nature to the maggot rather than a cross-transfer from the decomposition substrate given their survival post elevated temperature treatment. This work shows the plausibility of carrying out an odor analysis of a single maggot following both common research and casework handling practices. Full article
(This article belongs to the Special Issue Microbial Forensics: Opportunities and Limitations)
Show Figures

Figure 1

20 pages, 6810 KB  
Article
Integrated Volatile Compounds and Transcriptional Gene Analysis Elucidate the Deterioration Mechanism of Embryo Rice During Storage
by Xiyuan Yang, Tingting Su, Lixue Ma, Xindi Mu, Hui Wang, Lei Xu, Lidong Wang, Baijun Wang, Di Yao and Changyuan Wang
Foods 2025, 14(9), 1482; https://doi.org/10.3390/foods14091482 - 24 Apr 2025
Cited by 1 | Viewed by 1142
Abstract
Embryo rice, as a product of processing rice, improves palatability and retains the nutritional characteristics of brown rice. However, the storage period of embryo rice is only 30 d at room temperature. To delay the deterioration in the quality of embryo rice during [...] Read more.
Embryo rice, as a product of processing rice, improves palatability and retains the nutritional characteristics of brown rice. However, the storage period of embryo rice is only 30 d at room temperature. To delay the deterioration in the quality of embryo rice during storage, this study used polyethylene terephthalate/aluminum foil/polyethylene (PET/AL/PE) to vacuum-package embryo rice, and analyzed the quality changes under 25 or 4 °C storage conditions. At the same time, volatile compound analysis and transcriptomic analysis were integrated to explore the quality deterioration mechanism of embryo rice during storage. The electronic nose results showed that the odor of embryo rice changed significantly during different storage periods (p < 0.05). A total of 72 volatile compounds were identified by Headspace–Solid-Phase Micro-Extraction–Gas Chromatography–Mass Spectrometry (HS-SPME-GC-MS), with 2-pentylfuran, naphthalene, and styrene contributing the most in the early stage, and 2-hexenal, nonanal, trans-2-nonenal, and ethanol contributing more in the later stage. Correlation analysis showed that fatty acids, malondialdehyde (MDA), lipase, and ferric-reducing antioxidant power (FRAP) were positively correlated with aldehydes and acids (p < 0.05), while catalase (CAT) and 2,2-diphenyl-1-picrylhydrazyl (DPPH) were negatively correlated (p < 0.05). This was mainly because the oxidative decomposition of lipids and the weakening of antioxidant capacity would lead to the accumulation of aldehydes. In the Mantel test analysis, color had the strongest correlation with volatile compounds, followed by taste value, and finally texture. In transcriptomic analysis, lipid synthesis and metabolism were key pathways for the storage deterioration of embryo rice, and the LOX gene played an important regulatory role. These results can provide a theoretical basis for the evaluation of quality and selection of storage method of embryo rice. Full article
(This article belongs to the Section Food Packaging and Preservation)
Show Figures

Figure 1

24 pages, 3198 KB  
Article
Performance of a Novel Electronic Nose for the Detection of Volatile Organic Compounds Relating to Starvation or Human Decomposition Post-Mass Disaster
by Emily J. Sunnucks, Bridget Thurn, Amber O. Brown, Wentian Zhang, Taoping Liu, Shari L. Forbes, Steven Su and Maiken Ueland
Sensors 2024, 24(18), 5918; https://doi.org/10.3390/s24185918 - 12 Sep 2024
Cited by 3 | Viewed by 6517
Abstract
There has been a recent increase in the frequency of mass disaster events. Following these events, the rapid location of victims is paramount. Currently, the most reliable search method is scent detection dogs, which use their sense of smell to locate victims accurately [...] Read more.
There has been a recent increase in the frequency of mass disaster events. Following these events, the rapid location of victims is paramount. Currently, the most reliable search method is scent detection dogs, which use their sense of smell to locate victims accurately and efficiently. Despite their efficacy, they have limited working times, can give false positive responses, and involve high costs. Therefore, alternative methods for detecting volatile compounds are needed, such as using electronic noses (e-noses). An e-nose named the ‘NOS.E’ was developed and has been used successfully to detect VOCs released from human remains in an open-air environment. However, the system’s full capabilities are currently unknown, and therefore, this work aimed to evaluate the NOS.E to determine the efficacy of detection and expected sensor response. This was achieved using analytical standards representative of known human ante-mortem and decomposition VOCs. Standards were air diluted in Tedlar gas sampling bags and sampled using the NOS.E. This study concluded that the e-nose could detect and differentiate a range of VOCs prevalent in ante-mortem and decomposition VOC profiles, with an average LOD of 7.9 ppm, across a range of different chemical classes. The NOS.E was then utilized in a simulated mass disaster scenario using donated human cadavers, where the system showed a significant difference between the known human donor and control samples from day 3 post-mortem. Overall, the NOS.E was advantageous: the system had low detection limits while offering portability, shorter sampling times, and lower costs than dogs and benchtop analytical instruments. Full article
(This article belongs to the Special Issue Electronic Noses III)
Show Figures

Figure 1

14 pages, 2263 KB  
Article
Influence of Aeration, Introduction of Probiotics, and Supply of Water on Landfill Gas Production—Study of Models
by Rasa Vaiškūnaitė and Alvydas Zagorskis
Processes 2024, 12(9), 1859; https://doi.org/10.3390/pr12091859 - 31 Aug 2024
Cited by 1 | Viewed by 1861
Abstract
When municipal solid waste (MSW) is placed in a landfill, it undergoes anaerobic decomposition, leading to the production of landfill gas, which primarily consists of methane (CH4) and carbon dioxide (CO2). Reducing methane emissions is essential in the fight [...] Read more.
When municipal solid waste (MSW) is placed in a landfill, it undergoes anaerobic decomposition, leading to the production of landfill gas, which primarily consists of methane (CH4) and carbon dioxide (CO2). Reducing methane emissions is essential in the fight against climate change. It must be implemented at global and European levels, as set out in 2030 in the impact assessment of the climate goal plan. This assessment states that to achieve the goal by 2030 and to reduce greenhouse gas emissions by at least 55%, the methane emissions must be reduced, considering the goals of the Paris Agreement. The Glasgow Climate Pact includes a global mitigation target of the year 2030: to reduce CO2 emissions by 45%, and the emissions of methane and other greenhouse gasses. For that purpose, looking for new, more advanced ways of managing such waste is necessary. The main objective of this experimental study was to evaluate the influence of aeration, probiotic introduction, and water supply on the production of landfill gasses (CO2, CH4, N2, H2, etc.) in five different landfill models during the management of MSW and to propose the best solutions for reducing environmental pollution. The results of the research showed that the first and second models of landfills, using only anaerobic conditions, can be used for the treatment of MSW for the production of biogas (CH4, CO2), as up to 40–60% of it was released during the 120-experiment period. The third landfill model can be applied in old, already closed landfills, where the rapid stabilization and aeration of MSW are required to minimize pollutant emissions (N2, etc.) and unwanted odors and shorten biodegradation processes. The results of the fourth and fifth landfill models, in which aerobic–anaerobic conditions were applied, showed that the developing nitrification–denitrification processes resulted in complete nitrogen removal (from 20% to 0%), and overall waste stabilization improved the biodegradation of the MSW. Later, relatively good (on average, 30%) results of biogas (CH4, CO2) emissions are achieved during anaerobic condition formation results. Summarizing all experiment results of all landfill models for the further evaluation of the processes, all models can be applied in real practice depending on where they will be used and what result they want to achieve. Full article
(This article belongs to the Section Environmental and Green Processes)
Show Figures

Figure 1

14 pages, 1831 KB  
Article
Insights into the Synergistic Effect and Inhibition Mechanism of Composite Conditioner on Sulfur-Containing Gases during Sewage Sludge Pyrolysis
by Shan Cheng, Lianghui Chen, Shaoshuo Wang, Kehui Yao and Hong Tian
Molecules 2024, 29(17), 4110; https://doi.org/10.3390/molecules29174110 - 29 Aug 2024
Cited by 3 | Viewed by 1178
Abstract
Sewage sludge odorous gas release is a key barrier to resource utilization, and conditioners can mitigate the release of sulfur-containing gases. The gas release characteristics and sulfur compound distribution in pyrolysis products under both single and composite conditioning strategies of CaO, Fe2 [...] Read more.
Sewage sludge odorous gas release is a key barrier to resource utilization, and conditioners can mitigate the release of sulfur-containing gases. The gas release characteristics and sulfur compound distribution in pyrolysis products under both single and composite conditioning strategies of CaO, Fe2O3, and FeCl3 were investigated. This study focused on the inhibition mechanisms of these conditioners on sulfur-containing gas emissions and compared the theoretical and experimental sulfur content in the products to evaluate the potential synergistic effects of the composite conditioners. The findings indicated that at 650 °C, CaO, Fe2O3, and FeCl3 inhibited H2S release by 35.8%, 23.2%, and 9.1%, respectively. Notably, the composite of CaO with FeCl3 at temperatures ranging from 350 to 450 °C and the combination of Fe2O3 with FeCl3 at 650 °C were found to exert synergistic suppression on H2S emissions. The strongly alkaline CaO inhibited the metathesis reaction between HCl, a decomposition product of FeCl3, and the sulfur-containing compounds within the sewage sludge, thereby exerting a synergistic suppression on the emission of H2S. Conversely, at temperatures exceeding 550 °C, the formation of Ca-Fe compounds, such as FeCa2O4, appeared to diminish the sulfur-fixing capacity of the conditioners, resulting in increased H2S emissions. For instance, the combination of CaO and FeCl3 at 450 °C was found to synergistically reduce H2S emissions by 56.3%, while the combination of CaO and Fe2O3 at 650 °C synergistically enhances the release of H2S by 23.6%. The insights gained from this study are instrumental in optimizing the pyrolysis of sewage sludge, aiming to minimize its environmental footprint and enhance the efficiency of resource recovery. Full article
(This article belongs to the Special Issue Renewable Energy, Fuels and Chemicals from Biomass)
Show Figures

Graphical abstract

16 pages, 3907 KB  
Article
Identifying the Early Post-Mortem VOC Profile from Cadavers in a Morgue Environment Using Comprehensive Two-Dimensional Gas Chromatography
by Darshil Patel, Rushali Dargan, Wesley S. Burr, Benoit Daoust and Shari Forbes
Separations 2023, 10(11), 566; https://doi.org/10.3390/separations10110566 - 10 Nov 2023
Cited by 8 | Viewed by 5308
Abstract
Understanding the VOC profile released during the early post-mortem period is essential for applications in training human remains detection dogs and urban search and rescue operations (USAR) to rapidly locate living and deceased victims. Human cadavers were sampled at the UQTR morgue within [...] Read more.
Understanding the VOC profile released during the early post-mortem period is essential for applications in training human remains detection dogs and urban search and rescue operations (USAR) to rapidly locate living and deceased victims. Human cadavers were sampled at the UQTR morgue within a 0–72 h post-mortem interval. VOC samples were collected from the headspace above the cadavers, using Tenax TA/Carbograph 5TD dual sorbent tubes, and analyzed using GC×GC-TOFMS. Multiple data processing steps, including peak table alignment and filtering, were undertaken using LECO ChromaToF and custom scripts in R programming language. This study identified 104 prevalent VOCs, some of which are linked to human decomposition, while others are connected to the persistence of living scent. Principal Component Analysis (PCA) further highlighted that VOC profiles can change dynamically over time, even in a controlled setting. The findings underscore the complexity and variability in VOC profiles during the early post-mortem period. This variability is influenced by multiple factors including the individual’s biological and physiological conditions. Despite the challenges in characterizing these profiles, the identified VOCs could potentially serve as markers in forensic applications. The study also highlights the need for additional research to build a dataset of VOCs for more robust forensic applications. Full article
(This article belongs to the Special Issue Chemical Separations in Criminalistics)
Show Figures

Figure 1

21 pages, 2709 KB  
Article
Chemical Analysis of Various Tea Samples Concerning Volatile Compounds, Fatty Acids, Minerals and Assessment of Their Thermal Behavior
by Thomas Dippong, Oana Cadar, Melinda Haydee Kovacs, Monica Dan and Lacrimioara Senila
Foods 2023, 12(16), 3063; https://doi.org/10.3390/foods12163063 - 15 Aug 2023
Cited by 20 | Viewed by 4178
Abstract
Tea is the most consumed drink worldwide due to its pleasant taste and various beneficial effects on human health. This paper assesses the physicochemical analysis of different varieties of tea (leaves, flowers, and instant) after prior drying and fine grinding. The thermal decomposition [...] Read more.
Tea is the most consumed drink worldwide due to its pleasant taste and various beneficial effects on human health. This paper assesses the physicochemical analysis of different varieties of tea (leaves, flowers, and instant) after prior drying and fine grinding. The thermal decomposition behavior of the tea components shows that the tea has three stages of decomposition, depending on temperature. The first stage was attributed to the volatilization of water, while the second stage involved the degradation of volatiles, polyphenols, and fatty acids. The degradation of cellulose, hemicellulose, and lignin content occurs at the highest temperature of 400 °C in the third stage. A total of 66 volatile compounds, divided into eight classes, were identified in the tea samples. The volatile compounds were classified into nine odor classes: floral, fruity, green, sweet, chemical, woody, citrus, roasted, and alcohol. In all flower and leaf tea samples, monounsaturated (MUFAs), polyunsaturated (PUFAs), and saturated fatty acids (SFAs) were identified. A high content of omega-6 was quantified in acacia, Saint John’s Wort, rose, and yarrow, while omega-3 was found in mint, Saint John’s Wort, green, blueberry, and lavender samples. The flower and leaf tea samples studied could be a good dietary source of polyphenolic compounds, essential elements. In instant tea samples, a low quantity of polyphenols and major elements were identified. The physicochemical analysis demonstrated that both flower and leaf teas have high-quality properties when compared to instant tea. Full article
(This article belongs to the Section Food Physics and (Bio)Chemistry)
Show Figures

Figure 1

18 pages, 2106 KB  
Article
Preparation and Characterization of the Composition of Volatile Compounds, Fatty Acids and Thermal Behavior of Paprika
by Thomas Dippong, Lacrimioara Senila and Laura Elena Muresan
Foods 2023, 12(10), 2041; https://doi.org/10.3390/foods12102041 - 18 May 2023
Cited by 21 | Viewed by 4557
Abstract
This study aimed to investigate the thermal behavior and composition of volatile compounds, fatty acids and polyphenols in paprika obtained from peppers of different countries. The thermal analysis revealed various transformations in the paprika composition, namely drying, water loss and decomposition of volatile [...] Read more.
This study aimed to investigate the thermal behavior and composition of volatile compounds, fatty acids and polyphenols in paprika obtained from peppers of different countries. The thermal analysis revealed various transformations in the paprika composition, namely drying, water loss and decomposition of volatile compounds, fatty acids, amino acids, cellulose, hemicellulose and lignin. The main fatty acids found in all paprika oils were linoleic (20.3–64.8%), palmitic (10.6–16.0%) and oleic acid (10.4–18.1%). A notable amount of omega-3 was found in spicy paprika powder varieties. The volatile compounds were classified into six odor classes (citrus (29%), woody (28%), green (18%), fruity (11%), gasoline (10%) and floral (4%)). The total polyphenol content ranged between 5.11 and 10.9 g GA/kg. Full article
Show Figures

Figure 1

14 pages, 3740 KB  
Article
Precise Identification of Food Smells to Enable Human–Computer Interface for Digital Smells
by Yaonian Li, Zhenyi Ye and Qiliang Li
Electronics 2023, 12(2), 418; https://doi.org/10.3390/electronics12020418 - 13 Jan 2023
Cited by 8 | Viewed by 3746
Abstract
Food safety technologies are important in maintaining physical health for everyone. It is important to digitize the scents of foods to enable an effective human–computer interface for smells. In this work, an intelligent gas-sensing system is designed and integrated to capture the smells [...] Read more.
Food safety technologies are important in maintaining physical health for everyone. It is important to digitize the scents of foods to enable an effective human–computer interface for smells. In this work, an intelligent gas-sensing system is designed and integrated to capture the smells of food and convert them into digital scents. Fruit samples are used for testing as they release volatile organic components (VOCs) which can be detected by the gas sensors in the system. Decision tree, principal component analysis (PCA), linear discriminant analysis (LDA), and one-dimensional convolutional neural network (1D-CNN) algorithms were adopted and optimized to analyze and precisely classify the sensor responses. Furthermore, the proposed system and data processing algorithms can be used to precisely identify the digital scents and monitor the decomposition dynamics of different foods. Such a promising technology is important for mutual understanding between humans and computers to enable an interface for digital scents, which is very attractive for food identification and safety monitoring. Full article
(This article belongs to the Special Issue Real-Time Visual Information Processing in Human-Computer Interface)
Show Figures

Figure 1

10 pages, 2833 KB  
Article
Inhibitory Effects of Appropriate Addition of Zero-Valent Iron on NH3 and H2S Emissions during Sewage Sludge Composting
by Yuan Liu, Junwan Liu, Guodi Zheng, Junxing Yang and Yuan Cheng
Agriculture 2022, 12(12), 2002; https://doi.org/10.3390/agriculture12122002 - 24 Nov 2022
Cited by 4 | Viewed by 2040
Abstract
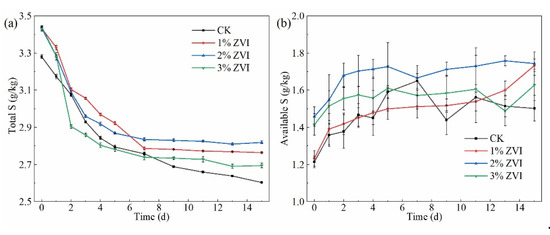
Large amounts of NH3 and H2S are emitted during sewage sludge composting, resulting in odor pollution. This composting experiment was carried out using sewage sludge mixed with sawdust, and different amounts of zero-valent iron (ZVI) were added to investigate the [...] Read more.
Large amounts of NH3 and H2S are emitted during sewage sludge composting, resulting in odor pollution. This composting experiment was carried out using sewage sludge mixed with sawdust, and different amounts of zero-valent iron (ZVI) were added to investigate the effect on volatile gases, such as NH3 and H2S, and to analyze the effect on the available sulfur, total sulfur, moisture content, and germination index of the compost. The results showed that the addition of ZVI during the composting process had noticeable effects on the emission of NH3 and H2S. ZVI could also increase the heating rate and peak temperature of the pile, reduce the available sulfur loss, and promote the dewatering and decomposition of the compost pile. The addition of 3% ZVI had the best effect on NH3 emissions; it reduced the peak concentration of NH3 release during composting by 21.0% compared to the blank group. However, the addition of 2% ZVI was the most effective for H2S emissions; it reduced the peak release concentration of H2S by 20.0%. A higher addition of ZVI was more effective in reducing the moisture content and increasing the germination index of the compost. Full article
(This article belongs to the Section Agricultural Technology)
Show Figures

Figure 1

17 pages, 3183 KB  
Article
Biopreservation of Refrigerated Mackerel (Auxis thazard) Slices by Rice Starch-Based Coating Containing Polyphenol Extract from Glochidion wallichianum Leaf
by Paramee Chumsri, Worawan Panpipat, Lingzhi Cheong, Atikorn Panya, Natthaporn Phonsatta and Manat Chaijan
Foods 2022, 11(21), 3441; https://doi.org/10.3390/foods11213441 - 30 Oct 2022
Cited by 10 | Viewed by 3259
Abstract
Both microbial decomposition and oxidative deterioration contribute to the qualitative degradation of fresh or minimally preserved fish, which negatively impacts the shelf-life of fish, especially those with dark flesh like mackerel. It is becoming more typical to use edible coatings to preserve the [...] Read more.
Both microbial decomposition and oxidative deterioration contribute to the qualitative degradation of fresh or minimally preserved fish, which negatively impacts the shelf-life of fish, especially those with dark flesh like mackerel. It is becoming more typical to use edible coatings to preserve the freshness of fish products. Herein, the effects of a rice starch (RS) based coating incorporated with dried crude, aqueous Mon-pu (Glochidion wallichianum) leaf extract (MPE) at varying concentrations (0, 0.02, 0.1, 0.5, and 1.0% w/w) on the quality characteristics of mackerel (Auxis thazard) slices during storage at 4 °C were investigated. Uncoated slices had a shelf-life of 6 days, whereas samples coated with RS and 0.5% MPE extended the shelf-life to 9 days by keeping the overall microbiological quality below the permitted level of 6 log CFU/g. The changes in thiobarbituric acid reactive substances (TBARS; <2 mg malondialdehyde equivalent/kg), propanal content, heme iron degradation, myoglobin redox instability, and surface discoloration (a* value and total color difference; ΔE) can all be delayed by this coating condition. Additionally, the RS-MPE coating can maintain the sensory quality of refrigerated mackerel slices and preserve the textural property (water holding capacity and hardness), as well as postpone the development of an off-odor as indicated by lowered contents of total volatile base-nitrogen (TVB-N; not exceeding the acceptable limit of 25 mg/100 g) and trimethylamine (TMA; not exceeding the acceptable limit of 10 mg/100 g). Therefore, a biopreservative coating made of RS and MPE, especially at 0.5%, can be employed to extend the shelf-life of refrigerated mackerel slices up to 9 days. Full article
(This article belongs to the Special Issue Edible Film and Coating Materials for Food Preservation)
Show Figures

Figure 1

Back to TopTop