Sign in to use this feature.

Years

Between: -

Subjects

remove_circle_outline
remove_circle_outline
remove_circle_outline
remove_circle_outline
remove_circle_outline
remove_circle_outline
remove_circle_outline
remove_circle_outline
remove_circle_outline

Journals

remove_circle_outline
remove_circle_outline
remove_circle_outline
remove_circle_outline
remove_circle_outline
remove_circle_outline
remove_circle_outline
remove_circle_outline
remove_circle_outline

Article Types

Countries / Regions

remove_circle_outline
remove_circle_outline
remove_circle_outline
remove_circle_outline
remove_circle_outline

Search Results (1,361)

Search Parameters:
Keywords = decomposition coefficients

Order results
Result details
Results per page
Select all
Export citation of selected articles as:
18 pages, 4696 KB  
Article
Research on the Prediction of Cement Precalciner Outlet Temperature Based on a TCN-BiLSTM Hybrid Neural Network
by Mengjie Deng and Hongtao Kao
Processes 2025, 13(12), 4068; https://doi.org/10.3390/pr13124068 - 16 Dec 2025
Abstract
As the global cement industry moves toward energy efficiency and intelligent manufacturing, refined control of key processes like precalciner outlet temperature is critical for improving energy use and product quality. The precalciner’s outlet temperature directly affects clinker calcination quality and heat consumption, so [...] Read more.
As the global cement industry moves toward energy efficiency and intelligent manufacturing, refined control of key processes like precalciner outlet temperature is critical for improving energy use and product quality. The precalciner’s outlet temperature directly affects clinker calcination quality and heat consumption, so developing a high-accuracy prediction model is essential to shift from empirical to intelligent control. This study proposes a TCN-BiLSTM hybrid neural network model for the accurate prediction and regulation of the outlet temperature of the decomposition furnace. Based on actual operational data from a cement plant in Guangxi, the Spearman correlation coefficient method is employed to select feature variables significantly correlated with the outlet temperature, including kiln rotation speed, high-temperature fan speed, temperature A at the middle-lower part of the decomposition furnace, temperature B of the discharge from the five-stage cyclone, exhaust fan speed, and tertiary air temperature of the decomposition furnace. This method effectively reduces feature dimensionality while enhancing the prediction accuracy of the model. All selected feature variables are normalized and used as input data for the model. Finally, comparative experiments with RNN, LSTM, BiLSTM, TCN, and TCN-LSTM models are performed. The experimental results indicate that the TCN-BiLSTM model achieves the best performance across major evaluation metrics, with a Mean Relative Error (MRE) as low as 0.91%, representing an average reduction of over 1.1% compared to other benchmark models, thereby demonstrating the highest prediction accuracy and robustness. This approach provides high-quality predictive inputs for constructing intelligent control systems, thereby facilitating the advancement of cement production toward intelligent, green, and high-efficiency development. Full article
(This article belongs to the Section Chemical Processes and Systems)
Show Figures

Figure 1

19 pages, 3393 KB  
Article
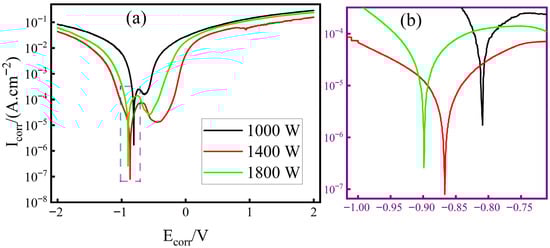
Effect of Laser Power on the Microstructure and Wear and Corrosion Resistance of Ni25 Alloy Coatings
by Jingquan Wu, Jianwen Zhang, Bohao Chen, Gui Wang, Jiang Huang, Wenqing Shi, Fenju An and Xianglin Wu
Lubricants 2025, 13(12), 549; https://doi.org/10.3390/lubricants13120549 - 16 Dec 2025
Abstract
This study systematically investigates the influence of laser power (1000 W, 1400 W, 1800 W) on the microstructure and properties of Ni25 alloy coatings prepared by laser cladding to optimize process parameters for enhanced comprehensive performance. Through the analysis of multi-dimensional characterization, it [...] Read more.
This study systematically investigates the influence of laser power (1000 W, 1400 W, 1800 W) on the microstructure and properties of Ni25 alloy coatings prepared by laser cladding to optimize process parameters for enhanced comprehensive performance. Through the analysis of multi-dimensional characterization, it is found that the laser power significantly changes the thermal cycle, thus determining the evolution of microstructure. At 1000 W, a fine dendritic structure with dispersed hard phases (BNi3, BFe3Ni3, CrB2, Cr7C3) yielded the highest hardness (442.52 HV) but poor wear (volume loss: 0.3346 mm3) and corrosion resistance (Icorr: 2.75 × 10−4 A·cm−2) due to microstructural inhomogeneity. The 1400 W coating, featuring a uniform γ-Ni dendrite/eutectic network and increased B solid solubility, achieved an optimal balance with the lowest wear rate (0.0685 mm3), superior corrosion resistance (Icorr: 2.34 × 10−5; A·cm−2), and a stable friction coefficient (0.816), despite lower hardness (342.00 HV). At 1800 W, grain coarseness and Cr7C3 decomposition led to blocky hard phases, recovering hardness (415.36 HV) and reducing the friction coefficient (0.757), but resulting in intermediate wear and corrosion resistance. This study demonstrates that the uniformity and continuity of the microstructure are the key determinants governing the comprehensive service properties of the laser cladding layer, with their importance outweighing a single hardness index. 1400 W is identified as the optimal laser power, providing critical insights for fabricating high-performance Ni25 coatings in demanding service environments. Full article
Show Figures

Figure 1

29 pages, 8041 KB  
Article
Estimating Endmember Backscattering Coefficients Within the Mixed Pixels Based on the Microwave Backscattering Contribution Decomposition Model
by Yubin Song, Zhitong Zhang, Hongwei Zheng, Xiaojie Hou, Jiaqiang Lei, Xin Gao and Olaf Hellwich
Sensors 2025, 25(24), 7587; https://doi.org/10.3390/s25247587 - 14 Dec 2025
Viewed by 69
Abstract
The complexity of land types and the limited spatial resolution of Synthetic Aperture Radar (SAR) imagery have led to widespread mixed-pixel contamination in radar backscatter images. The radar backscatter echo signals from a mixed pixel are often a combination of backscattering contributions from [...] Read more.
The complexity of land types and the limited spatial resolution of Synthetic Aperture Radar (SAR) imagery have led to widespread mixed-pixel contamination in radar backscatter images. The radar backscatter echo signals from a mixed pixel are often a combination of backscattering contributions from multiple endmembers. The signal mixture of endmembers within mixed pixels hinders the establishment of accurate relationships between pure endmembers’ parameters and the corresponding backscatter coefficient, thereby significantly reducing the accuracy of surface parameter inversion. However, few studies have focused on decomposing and estimating the pure backscatter signals within mixed pixels. This paper proposes a novel approach based on hyperspectral unmixing techniques and the microwave backscatter contribution decomposition (MBCD) model to estimate the pure backscatter coefficients of all Endmembers within mixed pixels. Experimental results demonstrate that the model performance varied significantly with endmember abundance. Specifically, high accuracy was achieved in estimating soil backscattering coefficients when vegetation coverage was below 25% (R20.88, with 98% of pixels showing relative errors within 0–20%); however, this accuracy declined as vegetation coverage increased. For grass endmembers, the model maintained high estimation precision across the entire grassland area (vegetation coverage 0.2–0.8), yielding an of 0.80 with 83% of pixels falling within the 0–20% relative error range. In addition, the model performance is influenced by the number of endmembers. Full article
(This article belongs to the Section Remote Sensors)
Show Figures

Figure 1

18 pages, 295 KB  
Article
The Impact of Agricultural Hukou on Migrants’ Home Purchasing in Destination Cities of China
by Wei Wei and Jie Chen
Sustainability 2025, 17(24), 11072; https://doi.org/10.3390/su172411072 - 10 Dec 2025
Viewed by 157
Abstract
The dual Hukou system, originating in China’s planned economy period, structured Chinese society into separate urban and rural segments, thereby generating distinct sets of rights and benefits for agricultural and non-agricultural residents regarding land, social security, education, and healthcare. Urban home purchase is [...] Read more.
The dual Hukou system, originating in China’s planned economy period, structured Chinese society into separate urban and rural segments, thereby generating distinct sets of rights and benefits for agricultural and non-agricultural residents regarding land, social security, education, and healthcare. Urban home purchase is a pivotal indicator of social integration for rural–urban migrants in destination cities. While the literature has extensively examined migrants’ residential conditions in China, the institutional impact of the agricultural hukou system—a core constraint—on their urban homeownership, along with its underlying mechanisms and heterogeneity, remains underexplored. To address this gap, this study adopts a twofold approach: theoretically, it employs the separating equilibrium model in housing markets with incomplete information to verify that agricultural hukou acts as an institutional barrier to migrants’ local home purchases; empirically, it uses data from the China Migrants Dynamic Survey (CMDS) and applies the Fairlie decomposition method to quantify the constraint effect. The empirical results suggest that agricultural hukou exerts a 29.72% suppressive effect on migrants’ urban home purchase behavior. This effect operates indirectly by weakening migrants’ long-term settlement intention, which serves as a mediating variable. Moreover, the hindrance of agricultural hukou varies heterogeneously across groups, differing in education level, generational cohort, and regional distribution. To advance the fair and sustainable development of the real estate market, we advocate accelerating hukou reform by decoupling public services from residence status, fostering inclusive urbanization, and ensuring equitable development of housing markets. Full article
21 pages, 3854 KB  
Article
Model Updating of an Offshore Wind Turbine Support Structure Based on Modal Identification and Bayesian Inference
by Chi Yu, Jiayi Deng, Chao Chen, Mumin Rao, Congtao Luo and Xugang Hua
J. Mar. Sci. Eng. 2025, 13(12), 2354; https://doi.org/10.3390/jmse13122354 - 10 Dec 2025
Viewed by 130
Abstract
Offshore wind turbine support structures are in harsh and unsteady marine environments, and their dynamic characteristics could change gradually after long-term service. To better understand the status and improve remaining life estimation, it is essential to conduct in situ measurement and update the [...] Read more.
Offshore wind turbine support structures are in harsh and unsteady marine environments, and their dynamic characteristics could change gradually after long-term service. To better understand the status and improve remaining life estimation, it is essential to conduct in situ measurement and update the numerical models of these support structures. In this paper, the modal properties of a 5.5 MW offshore wind turbine were first identified by a widely used operational modal analysis technique, frequency-domain decomposition, given the acceleration data obtained from eight sensors located at four different heights on the tower. Then, a finite element model was created in MATLAB R2020a and a set of model parameters including scour depth, foundation stiffness, hydrodynamic added mass and damping coefficients was updated in a Bayesian inference frame. It is found that the posterior distributions of most parameters significantly differ from their prior distributions, except for the hydrodynamic added mass coefficient. The predicted natural frequencies and damping ratios with the updated parameters are close to those values identified with errors less than 2%. But relatively large differences are found when comparing some of the predicted and identified mode shape coefficients. Specifically, it is found that different combinations of the scour depth and foundation stiffness coefficient can reach very similar modal property predictions, meaning that model updating results are not unique. This research demonstrates that the Bayesian inference framework is effective in constructing a more accurate model, even when confronting the inherent challenge of non-unique parameter identifiability, as encountered with scour depth and foundation stiffness. Full article
Show Figures

Figure 1

34 pages, 3811 KB  
Article
Wavelet Estimation for Density and Copula Functions
by Heni Boubaker and Houcem Belgacem
Mathematics 2025, 13(24), 3932; https://doi.org/10.3390/math13243932 - 9 Dec 2025
Viewed by 114
Abstract
This article investigates the problem of univariate and bivariate density estimation using wavelet decomposition techniques. Special attention is given to the estimation of copula functions, which capture the dependence structure between random variables independent of their marginals. We consider two distinct frameworks: the [...] Read more.
This article investigates the problem of univariate and bivariate density estimation using wavelet decomposition techniques. Special attention is given to the estimation of copula functions, which capture the dependence structure between random variables independent of their marginals. We consider two distinct frameworks: the case of independent and identically distributed (i.i.d.) variables and the case where variables are dependent, allowing us to highlight the impact of the dependence structure on the performance of wavelet-based estimators. Building on this framework, we propose a novel iterative thresholding method applied to the detail coefficients of the wavelet transform. This iterative scheme aims to enhance noise reduction while preserving significant structural features of the underlying density or copula function. Numerical experiments illustrate the effectiveness of the proposed method in both univariate and bivariate settings, particularly in capturing localized features and discontinuities in the presence of varying dependence patterns. Full article
(This article belongs to the Special Issue Probability Statistics and Quantitative Finance)
Show Figures

Figure 1

36 pages, 4738 KB  
Article
Interpretation of the Pile Static Load Test Using Artificial Neural Networks
by Artur Sławomir Góral and Marek Lefik
Buildings 2025, 15(24), 4414; https://doi.org/10.3390/buildings15244414 - 6 Dec 2025
Viewed by 134
Abstract
This study presents a novel approach for interpreting static load tests (SLT) of piles using Artificial Neural Networks (ANNs) integrated with the Meyer and Kowalow load-settlement mathematical model. Reliable estimation of pile bearing capacity and settlement behavior is critical for safe and economical [...] Read more.
This study presents a novel approach for interpreting static load tests (SLT) of piles using Artificial Neural Networks (ANNs) integrated with the Meyer and Kowalow load-settlement mathematical model. Reliable estimation of pile bearing capacity and settlement behavior is critical for safe and economical geotechnical design, particularly given the nonlinear and heterogeneous nature of soils. Traditional SLT interpretation methods, such as Chin-Kondner, Decourt, and hyperbolic fitting approaches, provide useful extrapolation of the ultimate capacity but are sensitive to test termination levels and parameter estimation uncertainties. The Meyer and Kowalow function offers a robust mathematical representation of the load-settlement curve, allowing decomposition of the total pile resistance into the shaft and base components. In this work, ANN models were trained to solve both the direct and inverse forms of the Meyer and Kowalow problem, enabling rapid identification of constitutive parameters (initial stiffness, nonlinearity coefficient, and ultimate capacity) from measured SLT data. Numerical experiments demonstrated that networks with a single hidden layer achieved accurate predictions with low RMSE for both training and test sets. The proposed ANN-based framework facilitates improved parameter identification, supports partial-load SLT interpretation, and provides a practical tool for engineers seeking the reliable prediction of pile performance under service loads. Full article
(This article belongs to the Section Building Structures)
Show Figures

Figure 1

21 pages, 2478 KB  
Article
Road Adhesion Coefficient Estimation Method for Distributed Drive Electric Vehicles Based on SR-UKF
by Jinhui Li, Xinyu Wei and Hui Peng
Vehicles 2025, 7(4), 154; https://doi.org/10.3390/vehicles7040154 - 6 Dec 2025
Viewed by 136
Abstract
To improve recognition accuracy, convergence speed, and numerical stability in estimating the road adhesion coefficient for distributed-drive electric vehicles, a nonlinear seven-degree-of-freedom vehicle dynamics model was developed based on a modified Dugoff tire model. Using the Unscented Kalman Filter (UKF) as a foundation, [...] Read more.
To improve recognition accuracy, convergence speed, and numerical stability in estimating the road adhesion coefficient for distributed-drive electric vehicles, a nonlinear seven-degree-of-freedom vehicle dynamics model was developed based on a modified Dugoff tire model. Using the Unscented Kalman Filter (UKF) as a foundation, a Square-Root Unscented Kalman Filter (SR-UKF) algorithm was derived through covariance-square-root processing and Singular Value Decomposition (SVD). A co-simulation platform was built with CarSim and Simulink, and a vehicle speed-following model was developed for simulation analysis. The results show that the SR-UKF algorithm for road identification consistently maintains matrix positive definiteness, ensures numerical stability, speeds up convergence, and fully utilizes measurement information. Simulations under various road conditions (high-adhesion, low-adhesion, split-μ, and opposite-μ) and driving scenarios demonstrate that, compared to the traditional UKF, the SR-UKF converges faster and provides higher estimation accuracy, enabling real-time, accurate estimation of the road adhesion coefficient across multiple scenarios. Final results confirm that the SR-UKF exhibits excellent estimation accuracy and robustness on low-adhesion surfaces, confirming its superiority under high-risk conditions. This offers a dependable basis for improving vehicle active safety. Full article
(This article belongs to the Topic Dynamics, Control and Simulation of Electric Vehicles)
Show Figures

Figure 1

18 pages, 5019 KB  
Article
Multi-Step Prediction of Airborne Load Separation Trajectory and Attitude Based on RCF-Transformer
by Xin Zheng, Xutong Zhang, Xue Zhang and Jingjie Li
Aerospace 2025, 12(12), 1086; https://doi.org/10.3390/aerospace12121086 - 4 Dec 2025
Viewed by 157
Abstract
Accurate and efficient data-driven prediction of embedded airborne load separation trajectories and attitudes can not only significantly improve the safety of the separation process but also substantially reduce reliance on costly aerodynamic simulations and wind tunnel testing. This paper proposes a real-time condition [...] Read more.
Accurate and efficient data-driven prediction of embedded airborne load separation trajectories and attitudes can not only significantly improve the safety of the separation process but also substantially reduce reliance on costly aerodynamic simulations and wind tunnel testing. This paper proposes a real-time condition fusion Transformer (RCF-Transformer) model for predicting the trajectory and attitude after load separation. Using wind-tunnel datasets of separation events obtained from Captive Trajectory Simulation (CTS), the model encodes historical sequence information while dynamically injecting real-time input conditions measured at the moment of separation into the decoder. Masked multi-head self-attention and cross-attention mechanisms are employed for collaborative learning, enabling multi-step, multi-output prediction of three-axis position and attitude. Experimental results show that, for a multi-step prediction horizon of up to T=5, the proposed model achieves an overall prediction accuracy of 95.28%. Furthermore, error-structure analyses based on Theil’s inequality coefficient decomposition, confidence intervals, and F-tests of residual variances demonstrate that the residuals are dominated by nonsystematic, high-frequency fluctuations and that the performance gains over the strongest baseline are statistically significant. These results indicate that the proposed method is highly stable and robust, providing an efficient and scalable data-driven solution for safety monitoring and decision support during the initial separation of airborne loads. Full article
Show Figures

Figure 1

21 pages, 4116 KB  
Article
Lactic Fermentation Spectral Analysis of Target Substrates and Food and Feed Wastes for Energy Applications
by Mariusz Adamski, Marcin Herkowiak, Przemysław Marek, Katarzyna Dzida, Magdalena Kapłan and Kamila E. Klimek
Energies 2025, 18(23), 6360; https://doi.org/10.3390/en18236360 - 4 Dec 2025
Viewed by 163
Abstract
The article deals with the creation of a calibration model of lactic acid content in an aqueous solution. The research concept included the preparation of a control tool for the process of modifying the properties of the food fraction for methane fermentation bacteria. [...] Read more.
The article deals with the creation of a calibration model of lactic acid content in an aqueous solution. The research concept included the preparation of a control tool for the process of modifying the properties of the food fraction for methane fermentation bacteria. The thesis was formulated that it is possible to prepare a systemic solution for real-time observation and monitoring of lactic acid secretion during the digestion of a hydrated mixture of food fractions. The scientific aim of the work was to develop and verify a calibration model of lactic acid content in an aqueous mixture with limited transparency for visible light waves. The research methodology was based on near-infrared spectroscopy with multivariate analysis. Stochastic modeling with noise reduction based on orthogonal decomposition was used. A calibration model was created using Gaussian processes (GP) to predict the lactic acid concentration in an aqueous solution or mixture using an NIR-Vis spectrophotometer. The design of the calibration model was based on absorbance spectra and computational data from selected wavelength ranges from 450 nm to 1900 nm. The measurement data in the form of spectra were limited from the initial wider range (400–2250 nm) to reduce interference. The generated calibration model achieved a mean error level not exceeding 2.47 g∙dm−3 of the identified lactic acid fraction. The coefficient of determination R2 was 0.996. The effect of absorbing the emitter waves was achieved despite the limited transparency of the mixture. Full article
(This article belongs to the Special Issue Advances in Power System and Renewable Energy)
Show Figures

Figure 1

22 pages, 3829 KB  
Article
The Crank-Nicolson Mixed Finite Element Scheme and Its Reduced-Order Extrapolation Model for the Fourth-Order Nonlinear Diffusion Equations with Temporal Fractional Derivative
by Jiahua Wang, Hong Li, Xuehui Ren and Xiaohui Chang
Fractal Fract. 2025, 9(12), 789; https://doi.org/10.3390/fractalfract9120789 - 1 Dec 2025
Viewed by 268
Abstract
This paper presents a Crank–Nicolson mixed finite element method along with its reduced-order extrapolation model for a fourth-order nonlinear diffusion equation with Caputo temporal fractional derivative. By introducing the auxiliary variable v=ε2Δu+f(u) [...] Read more.
This paper presents a Crank–Nicolson mixed finite element method along with its reduced-order extrapolation model for a fourth-order nonlinear diffusion equation with Caputo temporal fractional derivative. By introducing the auxiliary variable v=ε2Δu+f(u), the equation is reformulated as a second-order coupled system. A Crank–Nicolson mixed finite element scheme is established, and its stability is proven using a discrete fractional Gronwall inequality. Error estimates for the variables u and v are derived. Furthermore, a reduced-order extrapolation model is constructed by applying proper orthogonal decomposition to the coefficient vectors of the first several finite element solutions. This scheme is also proven to be stable, and its error estimates are provided. Theoretical analysis shows that the reduced-order extrapolation Crank–Nicolson mixed finite approach reduces the degrees of freedom from tens of thousands to just a few, significantly cutting computational time and storage requirements. Numerical experiments demonstrate that both schemes achieve spatial second-order convergence accuracy. Under identical conditions, the CPU time required by the reduced-order extrapolation Crank–Nicolson mixed finite model is only 1/60 of that required by the Crank–Nicolson mixed finite scheme. These results validate the theoretical analysis and highlight the effectiveness of the methods. Full article
(This article belongs to the Section Numerical and Computational Methods)
Show Figures

Figure 1

12 pages, 4164 KB  
Article
The Influence of Y2O3 Dosage on the Performance of Fe60/WC Laser Cladding Coating
by Haiyan Jiang, Dazhi Jiang, Chenguang Guo and Xiaodong Hong
Molecules 2025, 30(23), 4598; https://doi.org/10.3390/molecules30234598 - 29 Nov 2025
Viewed by 193
Abstract
To prepare a high-performance Fe-based laser cladding coating, herein, various Fe60/WC/Y2O3 coatings are deposited on the surface of 42CrMo steel plate via a laser cladding technique. The WC dosage is fixed as 10 wt%, while the dosage of Y2 [...] Read more.
To prepare a high-performance Fe-based laser cladding coating, herein, various Fe60/WC/Y2O3 coatings are deposited on the surface of 42CrMo steel plate via a laser cladding technique. The WC dosage is fixed as 10 wt%, while the dosage of Y2O3 ranges from 0 to 7.5 wt%. The influences of Y2O3 dosage on the coating hardness, wear resistance, and corrosion resistance are investigated. With the addition of Y2O3, the feature peak of WC disappears, and the peaks of M23C6 gradually weaken, indicating that Y2O3 promotes the decomposition of WC and suppresses the formation of new metal carbides. When the dosage of Y2O3 is 2.5 wt%, a grid-like structure is formed on the coating surface, suggesting uniform distribution of decomposed W within the Fe matrix. When the Y2O3 dosage exceeds 5 wt%, a large amount of CO2 gas is released, leading to an increase in surface pores. Through a comparison, the optimal dosage of Y2O3 is 2.5 wt%, and the resulting 3# coating has the highest hardness of 861.97 HV. Moreover, the 3# coating also shows the minimum friction coefficient and the minimum wear volume, reflecting its superior wear resistance. The polished coating serves as a working electrode, and the corrosion resistance is tested in 3.5% NaCl solution. The sample containing 2.5 wt% Y2O3 has the highest corrosion potential and the lowest corrosion current density, indicating excellent corrosion resistance. The enhanced performance is ascribed to the improved surface quality and the formation of a W-reinforced grid structure. The high-performance coating has promising application potential in material and component repair. Full article
(This article belongs to the Special Issue Electroanalysis of Biochemistry and Material Chemistry—2nd Edition)
Show Figures

Figure 1

29 pages, 3224 KB  
Article
Trend Prediction of Valve Internal Leakage in Thermal Power Plants Based on Improved ARIMA-GARCH
by Ruichun Hou, Lin Cong, Kaiyong Li, Zihao Guo, Xinghua Yuan and Chengbing He
Energies 2025, 18(23), 6275; https://doi.org/10.3390/en18236275 - 28 Nov 2025
Viewed by 165
Abstract
Accurate trend prediction of valve internal leakage is crucial for the safe and economical operation of thermal power units. To address the issues of prediction lag and insufficient accuracy in existing methods when dealing with the dynamic changes in internal leakage, this paper [...] Read more.
Accurate trend prediction of valve internal leakage is crucial for the safe and economical operation of thermal power units. To address the issues of prediction lag and insufficient accuracy in existing methods when dealing with the dynamic changes in internal leakage, this paper proposed an Improved Autoregressive Integrated Moving Average–Generalized Autoregressive Conditional Heteroskedasticity (IARIMA-GARCH) method that integrated Multi-Time-Scale Decomposition, an Improved ARIMA (IARIMA) model, and an Improved GARCH (IGARCH) model for accurate prediction of drain valve internal leakage. First, using a Multi-Time-Scale Decomposition method based on sampling at different time intervals, the original valve internal leakage time series were reconstructed into three characteristic subsequences—short-term, medium-term, and long-term—to capture the evolutionary features at various time scales. Then, an IARIMA model, employing the Huber loss function for robust parameter estimation, was constructed as the leakage prediction model to effectively suppress the interference of outliers. Simultaneously, an IGARCH model was built as the leakage volatility prediction model by introducing the previous moment’s volatility to correct the current residual, establishing a feedback mechanism between the mean and volatility equations, thereby enhancing the characterization of volatility clustering. Finally, using a weight coefficient dynamic calculation method based on RMSE, the Multi-Time-Scale prediction results of each subsequence were fused to obtain the final predicted valve internal leakage. Taking the main steam drain valve of a thermal power plant as the research object, and using Mean Absolute Error (MAE), Root-Mean-Squared Error (RMSE), Mean Absolute Percentage Error (MAPE), and symmetric Mean Absolute Percentage Error (sMAPE) as evaluation metrics, a case study on trend prediction of drain valve internal leakage was conducted, comparing the proposed method with ARIMA, Long Short-Term Memory networks (LSTM) and eXtreme Gradient Boosting (XGBoost) methods. The results showed that compared to ARIMA, LSTM and XGBoost, the proposed IARIMA-GARCH method achieved the lowest values on error metrics such as Mean Absolute Error (MAE), Root-Mean-Squared Error (RMSE), Mean Absolute Percentage Error (MAPE), and symmetric Mean Absolute Percentage Error (sMAPE), and its Coefficient of Determination (R2) is closest to 1. The standardized residual sequence most closely resembled a white noise sequence with zero mean and unit variance, and its distribution was the closest to a normal distribution. This proved that the IARIMA-GARCH method possessed higher prediction accuracy, stronger dynamic adaptability, and superior statistical robustness, providing an effective solution for valve condition prediction and predictive maintenance. Full article
Show Figures

Figure 1

14 pages, 725 KB  
Article
Estimation for Longitudinal Varying Coefficient Partially Nonlinear Models Based on QR Decomposition
by Jiangcui Ge, Xiaoshuang Zhou and Cuiping Wang
Axioms 2025, 14(12), 875; https://doi.org/10.3390/axioms14120875 - 28 Nov 2025
Viewed by 198
Abstract
To address the estimation efficiency issues arising from multicollinearity and longitudinal data correlation in the varying coefficient partially nonlinear models (VCPNLM), a method based on QR decomposition and quadratic inference function (QIF) is proposed to obtain the orthogonality estimation of parameter components and [...] Read more.
To address the estimation efficiency issues arising from multicollinearity and longitudinal data correlation in the varying coefficient partially nonlinear models (VCPNLM), a method based on QR decomposition and quadratic inference function (QIF) is proposed to obtain the orthogonality estimation of parameter components and varying coefficient functions. QR decomposition eliminates the pathology of the design matrix, and combines the adaptive weighting of the relevant structures within the group by QIF to effectively capture the complex correlation structure of longitudinal data. The theoretical analysis proves the asymptotic nature of the estimator, and the efficiency of the estimation method proposed in this paper is verified by simulation experiments. Full article
(This article belongs to the Special Issue Computational Statistics and Its Applications, 2nd Edition)
Show Figures

Figure 1

27 pages, 11057 KB  
Article
A Variable-Speed and Multi-Condition Bearing Fault Diagnosis Method Based on Adaptive Signal Decomposition and Deep Feature Fusion
by Ting Li, Mingyang Yu, Tianyi Ma, Yanping Du and Shuihai Dou
Algorithms 2025, 18(12), 753; https://doi.org/10.3390/a18120753 - 28 Nov 2025
Viewed by 269
Abstract
To address the challenges in identifying effective fault features and achieving sufficient diagnostic accuracy and robustness in variable-speed printing press bearings, where complex mixed-condition vibration signals exhibit non-stationarity, strong nonlinearity, ambiguous time-frequency characteristics, and overlapping fault features across multiple operating conditions, this paper [...] Read more.
To address the challenges in identifying effective fault features and achieving sufficient diagnostic accuracy and robustness in variable-speed printing press bearings, where complex mixed-condition vibration signals exhibit non-stationarity, strong nonlinearity, ambiguous time-frequency characteristics, and overlapping fault features across multiple operating conditions, this paper proposes an adaptive optimization signal decomposition method combined with dual-modal time-series and image deep feature fusion for variable-speed multi-condition bearing fault diagnosis. First, to overcome the strong parameter dependency and significant noise interference of traditional adaptive decomposition algorithms, the Crested Porcupine Optimization Algorithm is introduced to adaptively search for the optimal noise amplitude and integration count of ICEEMDAN for effective signal decomposition. IMF components are then screened and reorganized based on correlation coefficients and variance contribution rates to enhance fault-sensitive information. Second, multidimensional time-domain features are extracted in parallel to construct time-frequency images, forming time-sequence-image bimodal inputs that enhance fault representation across different dimensions. Finally, a dual-branch deep learning model is developed: the time-sequence branch employs gated recurrent units to capture feature evolution trends, while the image branch utilizes SE-ResNet18 with embedded channel attention mechanisms to extract deep spatial features. Multimodal feature fusion enables classification recognition. Validation using a bearing self-diagnosis dataset from variable-speed hybrid operation and the publicly available Ottawa variable-speed bearing dataset demonstrates that this method achieves high-accuracy fault identification and strong generalization capabilities across diverse variable-speed hybrid operating conditions. Full article
(This article belongs to the Special Issue Machine Learning Algorithms for Signal Processing)
Show Figures

Figure 1

Back to TopTop