Topic Editors

Dr. Xiang Chen
College of Energy and Power Engineering, Nanjing University of Aeronautics and Astronautics, Nanjing, China
Dr. Xiangyu Wang
School of Vehicle and Mobility, Tsinghua University, Beijing, China
Dr. Congzhi Liu
State Key Laboratory of Mechanical Transmissions, College of Mechanical and Vehicle Engineering, Chongqing University, Chongqing, China

Dynamics, Control and Simulation of Electric Vehicles

Abstract submission deadline
closed (31 March 2026)
Manuscript submission deadline
30 June 2026
Viewed by
6741

Topic Information

Dear Colleagues,

Vehicle engineering has become an intersectional discipline with the development of electrification, intelligence, networking, and sharing technologies. Suitable vehicle system dynamics and advanced control methods are playing an increasingly crucial role in vehicle design. These technologies address mechanical engineering, electronic, and electrical engineering, control engineering, signal processing, and artificial intelligence, among others.

This Topic focuses on advanced vehicle system design, modelling, dynamic analysis, and control methods. Its topics of interest include, but are not limited to, the following:

  • The advanced modelling and dynamic analysis of vehicle systems and their components, including steering, braking, suspension, chassis systems, and power train;
  • The application of advanced observation methods for vehicle key dynamic parameters and verification;
  • The application of intelligent vehicle fusion perception methods and advanced trajectory planning and control technology;
  • Human–machine co-driving technology, driver modelling, and analysis of human factor engineering characteristics;
  • Intelligent connected vehicles and road vehicle collaborative control technology.

Dr. Xiang Chen
Dr. Xiangyu Wang
Dr. Congzhi Liu
Topic Editors

Keywords

  • vehicle engineering
  • vehicle system design
  • vehicle system modelling
  • vehicle system dynamic analysis
  • vehicle system control
  • intelligent vehicles
  • trajectory planning
  • human–machine co-driving technology

Participating Journals

Journal Name Impact Factor CiteScore Launched Year First Decision (median) APC
Applied Mechanics
applmech
1.5 3.5 2020 24.5 Days CHF 1400 Submit
Energies
energies
3.2 7.3 2008 16.8 Days CHF 2600 Submit
Future Transportation
futuretransp
1.7 3.8 2021 21.7 Days CHF 1200 Submit
Machines
machines
2.5 4.7 2013 17.6 Days CHF 2400 Submit
Modelling
modelling
1.5 2.2 2020 24.9 Days CHF 1200 Submit
Technologies
technologies
3.6 8.5 2013 19.1 Days CHF 1800 Submit
Vehicles
vehicles
2.2 5.3 2019 21.4 Days CHF 1800 Submit

Preprints.org is a multidisciplinary platform offering a preprint service designed to facilitate the early sharing of your research. It supports and empowers your research journey from the very beginning.

MDPI Topics is collaborating with Preprints.org and has established a direct connection between MDPI journals and the platform. Authors are encouraged to take advantage of this opportunity by posting their preprints at Preprints.org prior to publication:

  1. Share your research immediately: disseminate your ideas prior to publication and establish priority for your work.
  2. Safeguard your intellectual contribution: Protect your ideas with a time-stamped preprint that serves as proof of your research timeline.
  3. Boost visibility and impact: Increase the reach and influence of your research by making it accessible to a global audience.
  4. Gain early feedback: Receive valuable input and insights from peers before submitting to a journal.
  5. Ensure broad indexing: Web of Science (Preprint Citation Index), Google Scholar, Crossref, SHARE, PrePubMed, Scilit and Europe PMC.

Published Papers (6 papers)

Order results
Result details
Journals
Select all
Export citation of selected articles as:
23 pages, 6200 KB  
Article
Braking Control Strategy for Battery Electric Buses Based on Dynamic Load Estimation
by Shuo Du, Jianguo Xi, Xianya Xu and Jingyuan Li
Modelling 2026, 7(2), 69; https://doi.org/10.3390/modelling7020069 - 30 Mar 2026
Viewed by 411
Abstract
In real-world operation, battery electric buses often encounter conditions with significant and rapid load variations. To improve regenerative braking energy recovery efficiency under such dynamic load conditions, this paper proposes a braking control strategy based on dynamic load estimation. First, a load estimation [...] Read more.
In real-world operation, battery electric buses often encounter conditions with significant and rapid load variations. To improve regenerative braking energy recovery efficiency under such dynamic load conditions, this paper proposes a braking control strategy based on dynamic load estimation. First, a load estimation method based on a time-varying interactive multiple-model unscented Kalman filter (TVIMM-UKF) is developed by leveraging the vehicle longitudinal dynamics model and IMU sensor data, achieving high-accuracy online load estimation. Second, a multi-objective constrained optimization model is established, and an improved artificial bee colony algorithm is introduced to realize optimal brake force distribution under time-varying loads. Based on this, a regenerative braking control strategy is designed by incorporating motor characteristics and system-level operational constraints, enabling precise adjustment of braking torque across the full load range. Finally, simulation studies are conducted under two typical driving cycles, CHTC-B and C-WTVC, to verify the effectiveness of the proposed strategy. The results show that under dynamic load conditions, the proposed strategy can effectively improve braking energy recovery efficiency in both driving cycles. Full article
(This article belongs to the Topic Dynamics, Control and Simulation of Electric Vehicles)
Show Figures

Graphical abstract

32 pages, 6959 KB  
Article
Handling Stability Control for Multi-Axle Distributed Drive Vehicles Based on Model Predictive Control
by Hongjie Cheng, Zhenwei Hou, Zhihao Liu, Jianhua Li, Jiashuo Zhang, Yuan Zhao and Xiuyu Liu
Vehicles 2026, 8(2), 26; https://doi.org/10.3390/vehicles8020026 - 1 Feb 2026
Viewed by 740
Abstract
Multi-axle vehicles are commonly used for heavy-duty special operations, which easily leads to high driving torque demands when adopting distributed electric drive configurations. This study achieves the objective of reducing the driving torque of each in-wheel motor while controlling the stability of multi-axle [...] Read more.
Multi-axle vehicles are commonly used for heavy-duty special operations, which easily leads to high driving torque demands when adopting distributed electric drive configurations. This study achieves the objective of reducing the driving torque of each in-wheel motor while controlling the stability of multi-axle vehicles. Taking a five-axle distributed drive test vehicle as the research object, a hierarchical control strategy integrating active all-wheel steering and direct yaw moment control is proposed. The upper layer is implemented based on model predictive control, with fuzzy control introduced to dynamically adjust control weights; the lower layer accomplishes the allocation of targets calculated by the upper layer through minimizing the objective function of tire load ratio. A linear parameter varying (LPV) tire model is introduced into the vehicle model to improve the calculation accuracy of tire lateral forces, and a neural network method is employed to solve the real-time performance issue of the model predictive control (MPC) controller. The proposed strategy is verified through a combination of simulation and real vehicle tests. High-speed condition simulations demonstrate that the AWS/DYC strategy significantly outperforms the ARS/DYC approach: compared to the active rear-wheel steering strategy, while the sideslip angle is reduced by 90.98%, the peak driving torque is reduced by 30.78%. Notably, tire slip angle analysis reveals that AWS/DYC maintains relatively uniform slip angle distribution across axles with a maximum of 4.7°, entirely within the linear working region, optimally balancing tire performance utilization with lateral stability while preserving safety margin, whereas ARS/DYC causes slip angles to exceed 11.9° at the rear axle, entering saturation. Low-speed real vehicle tests further confirm the engineering applicability of the strategy. The proposed method is of significant importance for the application of distributed drive configurations in the field of special vehicles. Full article
(This article belongs to the Topic Dynamics, Control and Simulation of Electric Vehicles)
Show Figures

Graphical abstract

21 pages, 2478 KB  
Article
Road Adhesion Coefficient Estimation Method for Distributed Drive Electric Vehicles Based on SR-UKF
by Jinhui Li, Xinyu Wei and Hui Peng
Vehicles 2025, 7(4), 154; https://doi.org/10.3390/vehicles7040154 - 6 Dec 2025
Viewed by 743
Abstract
To improve recognition accuracy, convergence speed, and numerical stability in estimating the road adhesion coefficient for distributed-drive electric vehicles, a nonlinear seven-degree-of-freedom vehicle dynamics model was developed based on a modified Dugoff tire model. Using the Unscented Kalman Filter (UKF) as a foundation, [...] Read more.
To improve recognition accuracy, convergence speed, and numerical stability in estimating the road adhesion coefficient for distributed-drive electric vehicles, a nonlinear seven-degree-of-freedom vehicle dynamics model was developed based on a modified Dugoff tire model. Using the Unscented Kalman Filter (UKF) as a foundation, a Square-Root Unscented Kalman Filter (SR-UKF) algorithm was derived through covariance-square-root processing and Singular Value Decomposition (SVD). A co-simulation platform was built with CarSim and Simulink, and a vehicle speed-following model was developed for simulation analysis. The results show that the SR-UKF algorithm for road identification consistently maintains matrix positive definiteness, ensures numerical stability, speeds up convergence, and fully utilizes measurement information. Simulations under various road conditions (high-adhesion, low-adhesion, split-μ, and opposite-μ) and driving scenarios demonstrate that, compared to the traditional UKF, the SR-UKF converges faster and provides higher estimation accuracy, enabling real-time, accurate estimation of the road adhesion coefficient across multiple scenarios. Final results confirm that the SR-UKF exhibits excellent estimation accuracy and robustness on low-adhesion surfaces, confirming its superiority under high-risk conditions. This offers a dependable basis for improving vehicle active safety. Full article
(This article belongs to the Topic Dynamics, Control and Simulation of Electric Vehicles)
Show Figures

Figure 1

20 pages, 2758 KB  
Article
Prediction of Battery Electric Vehicle Energy Consumption via Pre-Trained Model Under Inconsistent Feature Spaces
by Yizhou Wang, Haichao Huang, Ruimin Hao, Liangying Luo and Hong-Di He
Technologies 2025, 13(11), 493; https://doi.org/10.3390/technologies13110493 - 29 Oct 2025
Cited by 3 | Viewed by 1563
Abstract
Accurately predicting the trip-level energy consumption of battery electric vehicles (BEVs) can alleviate range anxiety of drivers and improve intelligent route planning. However, although data-driven methods excel in predicting with multi-feature inputs, each vehicle often requires a dedicated model due to potential inconsistencies [...] Read more.
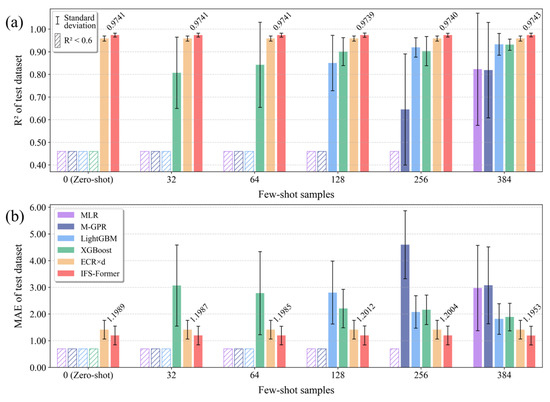
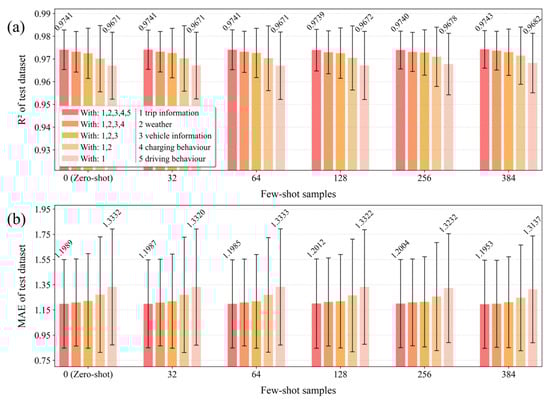
Accurately predicting the trip-level energy consumption of battery electric vehicles (BEVs) can alleviate range anxiety of drivers and improve intelligent route planning. However, although data-driven methods excel in predicting with multi-feature inputs, each vehicle often requires a dedicated model due to potential inconsistencies in feature spaces of collected data. Consequently, the necessity of sufficient trip data challenges newly registered vehicles. To address the challenges, this study proposed a transformer-based pre-trained model for BEV energy consumption prediction adapting to inconsistent feature spaces, referred to as IFS-Former. By innovatively introducing trainable missing-feature embeddings and placeholder masks, the IFS-Former can tolerate new or missing features of downstream tasks after pre-training. The IFS-Former was pre-trained on a dataset comprising 837 vehicles from 8 different cities, containing 492 thousand trips, and validated on 13 vehicles with inconsistent feature spaces. After applying transfer learning to the 13 vehicles, the pre-trained IFS-Former attains high prediction accuracy (R2 = 0.97, mean absolute error (MAE) = 1.19). Even under extremely inconsistent feature spaces, the IFS-Former maintains robust performance (R2 = 0.96, MAE = 1.31) leveraging its pre-trained knowledge. Furthermore, the IFS-Former is well-suited for on-board deployment with a size of only 32 MB. This study facilitates on-board artificial intelligence for accurate and practical energy consumption prediction. Full article
(This article belongs to the Topic Dynamics, Control and Simulation of Electric Vehicles)
Show Figures

Figure 1

22 pages, 1778 KB  
Article
Event-Triggered and Adaptive ADMM-Based Distributed Model Predictive Control for Vehicle Platoon
by Hanzhe Zou, Hongtao Ye, Wenguang Luo, Xiaohua Zhou and Jiayan Wen
Vehicles 2025, 7(4), 115; https://doi.org/10.3390/vehicles7040115 - 3 Oct 2025
Cited by 1 | Viewed by 1475
Abstract
This paper proposes a distributed model predictive control (DMPC) framework integrating an event-triggered mechanism and an adaptive alternating direction method of multipliers (ADMM) to address the challenges of constrained computational resources and stringent real-time requirements in distributed vehicle platoon control systems. Firstly, the [...] Read more.
This paper proposes a distributed model predictive control (DMPC) framework integrating an event-triggered mechanism and an adaptive alternating direction method of multipliers (ADMM) to address the challenges of constrained computational resources and stringent real-time requirements in distributed vehicle platoon control systems. Firstly, the longitudinal dynamic model and communication topology of the vehicle platoon are established. Secondly, under the DMPC framework, a controller integrating residual-based adaptive ADMM and an event-triggered mechanism is designed. The adaptive ADMM dynamically adjusts the penalty parameter by leveraging residual information, which significantly accelerates the solving of the quadratic programming (QP) subproblems of DMPC and ensures the real-time performance of the control system. In order to reduce unnecessary solver invocations, the event-triggered mechanism is employed. Finally, numerical simulations verify that the proposed control strategy significantly reduces both the computation time per optimization and the cumulative optimization instances throughout the process. The proposed approach effectively alleviates the computational burden on onboard resources and enhances the real-time performance of vehicle platoon control. Full article
(This article belongs to the Topic Dynamics, Control and Simulation of Electric Vehicles)
Show Figures

Figure 1

24 pages, 1319 KB  
Article
Adaptive High-Order Sliding Mode Control for By-Wire Ground Vehicle Systems
by Ariadna Berenice Flores Jiménez, Stefano Di Gennaro, Maricela Jiménez Rodríguez and Cuauhtémoc Acosta Lúa
Technologies 2025, 13(10), 443; https://doi.org/10.3390/technologies13100443 - 1 Oct 2025
Viewed by 591
Abstract
This study focuses on the design and implementation of an Adaptive High-Order sliding mode control for by-wire ground vehicle systems. The controller integrates advanced technologies such as Active Front Steering (AFS) and Rear Torque Vectoring (RTV), aimed at enhancing vehicle dynamics. However, lateral [...] Read more.
This study focuses on the design and implementation of an Adaptive High-Order sliding mode control for by-wire ground vehicle systems. The controller integrates advanced technologies such as Active Front Steering (AFS) and Rear Torque Vectoring (RTV), aimed at enhancing vehicle dynamics. However, lateral velocity remains one of the most challenging variables to measure, even in modern vehicles. To address this limitation, a High-Order Sliding Mode (HOSM)-based observer with adaptive gains is proposed. The HOSM observer provides critical information for the operation of the dynamic controller, ensuring the tracking of desired references. Compared with traditional observers, the proposed adaptive HOSM observer achieves finite-time convergence of state estimation errors and exhibits enhanced robustness against external disturbances, as confirmed through simulation results. The adaptive gains dynamically adjust the system parameters, enhancing its precision and flexibility under changing environmental conditions. This dynamic approach ensures efficient and reliable performance, enabling the system to respond effectively to complex scenarios. The stability of the dynamic HOSM controller with adaptive gain is analyzed through a Lyapunov-based approach, providing solid theoretical guarantees. Its performance is evaluated using detailed simulations conducted in CarSim 2017 software. The simulation results demonstrate that the proposed controller is highly effective in ensuring accurate trajectory tracking. Full article
(This article belongs to the Topic Dynamics, Control and Simulation of Electric Vehicles)
Show Figures

Figure 1

Back to TopTop