Next Article in Journal
Gemini Surfactants: Advances in Applications and Prospects for the Future
Previous Article in Journal
Towards Spectral Variation Analysis: A Data Quality Framework for Non-Targeted Methods
Previous Article in Special Issue
Effect of Pack Chromizing on Microstructure and Tribological Properties of GCr15 Bearing Steel
 
 
Font Type:
Arial Georgia Verdana
Font Size:
Aa Aa Aa
Line Spacing:
Column Width:
Background:
Article

The Influence of Y2O3 Dosage on the Performance of Fe60/WC Laser Cladding Coating

1
Basic Department, Liaoning Institute of Science and Technology, Benxi 117004, China
2
School of Mechanical Engineering, Liaoning Technical University, Fuxin 123000, China
3
School of Materials and Energy, Foshan University, Foshan 528000, China
*
Author to whom correspondence should be addressed.
Molecules 2025, 30(23), 4598; https://doi.org/10.3390/molecules30234598 (registering DOI)
Submission received: 20 October 2025 / Revised: 20 November 2025 / Accepted: 27 November 2025 / Published: 29 November 2025
(This article belongs to the Special Issue Electroanalysis of Biochemistry and Material Chemistry—2nd Edition)

Abstract

To prepare a high-performance Fe-based laser cladding coating, herein, various Fe60/WC/Y2O3 coatings are deposited on the surface of 42CrMo steel plate via a laser cladding technique. The WC dosage is fixed as 10 wt%, while the dosage of Y2O3 ranges from 0 to 7.5 wt%. The influences of Y2O3 dosage on the coating hardness, wear resistance, and corrosion resistance are investigated. With the addition of Y2O3, the feature peak of WC disappears, and the peaks of M23C6 gradually weaken, indicating that Y2O3 promotes the decomposition of WC and suppresses the formation of new metal carbides. When the dosage of Y2O3 is 2.5 wt%, a grid-like structure is formed on the coating surface, suggesting uniform distribution of decomposed W within the Fe matrix. When the Y2O3 dosage exceeds 5 wt%, a large amount of CO2 gas is released, leading to an increase in surface pores. Through a comparison, the optimal dosage of Y2O3 is 2.5 wt%, and the resulting 3# coating has the highest hardness of 861.97 HV. Moreover, the 3# coating also shows the minimum friction coefficient and the minimum wear volume, reflecting its superior wear resistance. The polished coating serves as a working electrode, and the corrosion resistance is tested in 3.5% NaCl solution. The sample containing 2.5 wt% Y2O3 has the highest corrosion potential and the lowest corrosion current density, indicating excellent corrosion resistance. The enhanced performance is ascribed to the improved surface quality and the formation of a W-reinforced grid structure. The high-performance coating has promising application potential in material and component repair.

1. Introduction

Surface modification technology plays a crucial role in improving materials’ properties and extending their service lives [1]. Among the existing surface modification techniques, laser cladding coating technology is a process method in which a high-energy laser beam is engaged to rapidly melt cladding materials, such as alloy powder, ceramics, etc., onto the substrate surface [2]. This forms a metallurgical bonded surface coating, thereby significantly improving the wear resistance, corrosion resistance, and other properties of the substrate materials [3]. In terms of specific applications, laser cladding technology is a new technology with many economic benefits. It can prepare high-performance alloy surfaces on inexpensive metal substrates without affecting the properties of the substrate, reduce costs, and save precious and rare metal materials [4]. Therefore, researchers have attached great importance to research on and applications of laser cladding technology. In addition to studies on metal or alloy cladding coatings, various metal carbides have been widely used as reinforcing phases for fabricating carbide-reinforced metal-based cladding coatings, further enhancing the overall properties [5,6]. For example, WC is often used to enhance the performance of alloy coatings [7] owing to its high hardness and excellent wear resistance. Introducing WC into Fe-based coatings promotes the formation of a dense and uniform microstructure, effectively improving both the wear and corrosion resistance of the coating. However, an excessive amount of WC will compromise the surface quality of the sample and generate a large number of pores, thereby decreasing the coating performance [8]. To reduce the WC dosage and avoid performance degradation, appropriate amounts of rare earth oxides have been proven effective in significantly improving the wear and corrosion resistance of coatings [9,10]. In recent years, rare earth oxide Y2O3 has exhibited great potential for material modification owing to its high melting point and superior corrosion resistance [11]. When applied in Fe-based laser cladding coating, Y2O3 acts as a refiner, leading to enhanced hardness and wear resistance by grain refinement and microstructure optimization. For example, Li et al. [12] introduced TiB/TiC/Y2O3 reinforcement phases into a Ti-6Al-4V matrix using laser cladding technology and discussed the impact of Y2O3 on the coating microstructure and mechanical properties. The results demonstrated that the addition of Y2O3 refined the primary phase structure, resulting in the uniform distribution of the internal constituents. Furthermore, the coating containing Y2O3 exhibited improved resistance to micro-cutting and cracking. Liang et al. [13] fabricated Ni/WC/Y2O3 coatings on 316L stainless steel with different dosages of Y2O3. The results indicated that an appropriate amount of Y2O3 effectively refined the microstructure and suppressed the precipitation of hard carbide phases. Moreover, the incorporation of rare earth elements enhanced the solid solution’s strengthening effect on the cladding coating, leading to improved wear resistance and electrochemical corrosion resistance of composite coatings. Tao et al. [14] developed a Ni-based alloy coating reinforced by WC micro-particles and nano-Y2O3 on ultra-high-strength steel. The results confirmed that the addition of nano Y2O3 inhibited the dissolution of WC during the cladding process. The 2 μm WC-Y2O3/Ni composite exhibited the lowest friction coefficient. The existing literature indicates that the synergistic effect between WC and Y2O3 greatly enhances the performance of Ti- and Ni-based laser cladding coatings. However, works have seldom focused on the coating performance of WC/Y2O3-reinforced Fe-based cladding coatings. Herein, this work investigates the effect of Y2O3 content on the microstructure, hardness, wear resistance, and corrosion resistance of Fe60/WC cladding coating containing 10 wt% WC. The research result offers significant guidance for fabricating high-performance Fe-based coatings, paving the way for their application in advanced material and component repair.

2. Results and Discussion

Figure 1a shows spherical Fe60 particles with an average particle size of 50–100 μm. Following the method in Table 1, five types of mixed powders were prepared by ball milling for 4h, and their surface morphologies are illustrated in Figure 1b–e. After adding WC particles, the 1# powder in Figure 1b consists of spherical Fe60 particles mixed with irregular WC particles. Figure 1c–e correspond to the 2#–5# powders containing different fractions of Y2O3. As the Y2O3 fraction rises, the proportion of spherical particles on the sample surface obviously decreases, while the fine debris increases, indicating the presence of a large number of fine Y2O3 particles in the mixed powder. Especially for the 5# powder, there are a few big particles and a large number of fine particles, reflecting the effective integration of Fe60, WC, and Y2O3 particles.
Five types of mixed powders were used for laser cladding onto the surface of 42CrMo steel plate, and the cladding coating is shown in Figure 2. From the 1# sample without Y2O3, a metallic luster is observed on coating surface. As the amount of Y2O3 increases, the cladding coating color gradually darkens. When the amount of Y2O3 is more than 5 wt%, a significant number of pores appear on the surfaces of the 4# coating and 5# coating. The 5# coating shows notably poorer surface quality than the 4# coating. During the laser cladding process, the amount of gas generated in the laser cladding equipment significantly increases with an increase in Y2O3 dosage due to the decomposition of metal oxides at a high temperature. The decomposed Y2O3 releases a large amount of oxygen, which reacts with the carbon in Fe60 matrix to form CO2 gas. This gas evolution results in the formation of many pores on the 4# and 5# coatings. The presence of extensive pores deteriorates surface quality and decays mechanical properties of the cladding coatings.
X-ray diffraction (XRD) analysis was performed to reveal the influence of Y2O3 dosage on the phase composition and structure of F60/WC cladding coating. In Figure 3, the XRD pattern of the 1# Fe60/WC coating exhibits a strong peak of WC along with weaker peaks of α-Fe and M23C6 carbides [15], reflecting the presence of residual WC and the generation of new metal carbides. With an increase in Y2O3 addition, the peak of WC disappears, and the peak intensity of M23C6 gradually weakens, suggesting that Y2O3 promotes the decomposition of WC. Furthermore, the addition of Y2O3 facilitates the phase transition from α-Fe to γ-Fe. When the content of Y2O3 reaches 7.5 wt%, the peaks of carbides are nearly absent in the 5# sample. The results indicate that a higher Y2O3 content accelerates the decomposition of WC. During the laser cladding process, the amount of gas generated gradually increases with increasing Y2O3 content, and the resulting CO2 gas release leads to a decrease in carbon content within the molten pool. Consequently, the excessive consumption of carbon reduces the formation of M23C6 carbides [16].
The metallographic morphologies of the interfacial region and corresponding cladding coating are shown in Figure 4. The lower part of the fusion zone exhibits a Weibull structure, which is a characteristic of the welding overheating zone. The upper fusion layer consists mainly of a eutectic structure. The presence of planar and cellular crystals in the fusion zone of all samples indicates sound metallurgical bonding between the coating and the substrate. The addition of WC in the 1# coating leads to a hypoeutectic structure, which is composed of primary γ-Fe and a eutectic structure. With the introduction of Y2O3, the eutectic content in the hypoeutectic structure initially increases and then decreases. A more distinct eutectic structure generally corresponds to a higher carbide content. The presence of carbide phases within the γ-Fe contributes to enhanced wear resistance. These results imply that a moderate amount of Y2O3 effectively promotes eutectic formation, whereas excessive Y2O3 is detrimental to its development [17]. In Figure 4e, the amount of eutectic structure does not increase further, which is related to the excessive consumption of carbon in the molten pool due to the reaction with Y2O3, resulting in a reduced carbon content available for carbide formation.
To further analyze the microstructure and element distribution of the laser cladding coating, the morphology of the 1# coating without Y2O3 is shown in Figure 5. Elemental mapping was conducted in the region containing residual WC particle. It was observed that the white particle was enriched in W and C, indicating the particle identity as residual WC-reinforcing phase. The signals of Fe and Cr in the adjacent matrix region are complementary to these W signals, indicating that WC is embedded within the Fe matrix. The diffusion of W from the bright particle into the surrounding area can be seen clearly, indicating that the WC particle undergoes decomposition during the laser cladding process, and the dissolved W atoms diffuse into the Fe matrix.
To reveal the effect of Y2O3 on the microstructure of Fe60/WC coating, Figure 6 provides the morphology and element distribution of the 3# coating with 2.5% Y2O3. It is difficult to find areas of residual WC on the coating surface, and a grid-like structure can be observed clearly. The distribution map of W reveals that W is mainly concentrated within these grid regions, whereas the depressed areas correspond to the ferrite matrix. This microstructural evolution is attributed to the role of Y2O3 in promoting the decomposition of WC during laser cladding. The resulting W atoms are uniformly distributed within the newly generated grid framework, thereby reinforcing the Fe matrix. In addition, the C fraction in 3# coating is only 1.33 wt%, much lower than the 6.55 wt% in the 1# coating (Figure 5). This drastic reduction verifies that the addition of Y2O3 particles greatly decreases the C fraction in the Fe matrix. Furthermore, the overall decrease in the W fraction suggests its successful dissolution and homogeneous dispersion within the Fe matrix.
Figure 7a shows the microhardness curves of different cladding coatings. The hardness of these coatings shows a gradual increasing trend from the steel plate substrate towards the cladding coating, indicating that the cladding coating region possesses superior hardness compared to the substrate. While the substrate hardness remains relatively consistent, the coatings themselves exhibit significant variation. As the amount of Y2O3 increases, the hardness of the cladding coating shows a general decreasing trend. When the addition amount of Y2O3 is 2.5 wt%, the 3# coating has the highest average hardness of 861.97 HV. When the addition amount exceeds 2.5 wt%, the hardness of the cladding coating tends to decrease, which is attributed to the increased surface porosity caused by the gas evolution during cladding. In addition to hardness, friction tests were conducted on these cladding coatings by using Si3N4 balls under a 10 N load, a speed of 120 mm min−1, and a stroke of 7 mm. The friction coefficients of different cladding coatings are shown in Figure 7b. During the initial 5 min of the test, all friction coefficient curves fluctuate significantly. During the subsequent wear process, the fluctuation of the curve is alleviated. After 20 min, these fluctuations are mitigated in the subsequent phase and gradually stabilize. The average friction coefficients for coatings 1#–5# are 0.711, 0.713, 0.675, 0.766, and 0.727, respectively. Among them, the 3# coating has a minimum friction coefficient of 0.675, which is in accordance with the highest hardness. Therefore, the 3# coating (Fe60/WC with 2.5 wt% Y2O3) exhibits the best wear resistance.
The wear volumes of the cladding coating after friction testing were measured by using a laser surface profilometer, as shown in Figure 8. The measured values for coatings 1#–5# are 2.7 × 10−3, 2.5 × 10−3, 1.8 × 10−3, 2.8 × 10−3, and 3.4 × 10−3 mm3, respectively. Among them, the 3# coating presents the smallest wear volume. This result is completely consistent with its minimum friction coefficient, reflecting a positive correlation between wear volume and friction coefficient, further verifying that the Fe60/WC coating with 2.5 wt% Y2O3 possesses the optimal wear resistance.
Figure 9 shows the worn surface morphologies of the five cladding coatings. The 1# coating exhibits severe abrasive wear, characterized by the presence of large particles and debris particles. This can be attributed to its low hardness, which facilitates material detachment during sliding, thereby accelerating abrasive wear. In contrast, no such particles are observed on the wear region of the other four coatings containing Y2O3. Among them, the 3# coating shows a relatively smooth surface with only slight plastic deformation, which is consistent with its highest hardness. When the addition amount of Y2O3 reaches 7.5 wt%, it is difficult to observe wear marks on the worn surface of the 5# coating, which is likely due to the surface pores generated during sample fabricating. These surface pores increase the roughness and promote material loss, which increase its wear amount. The result is consistent with the largest wear volume shown in Figure 8f.
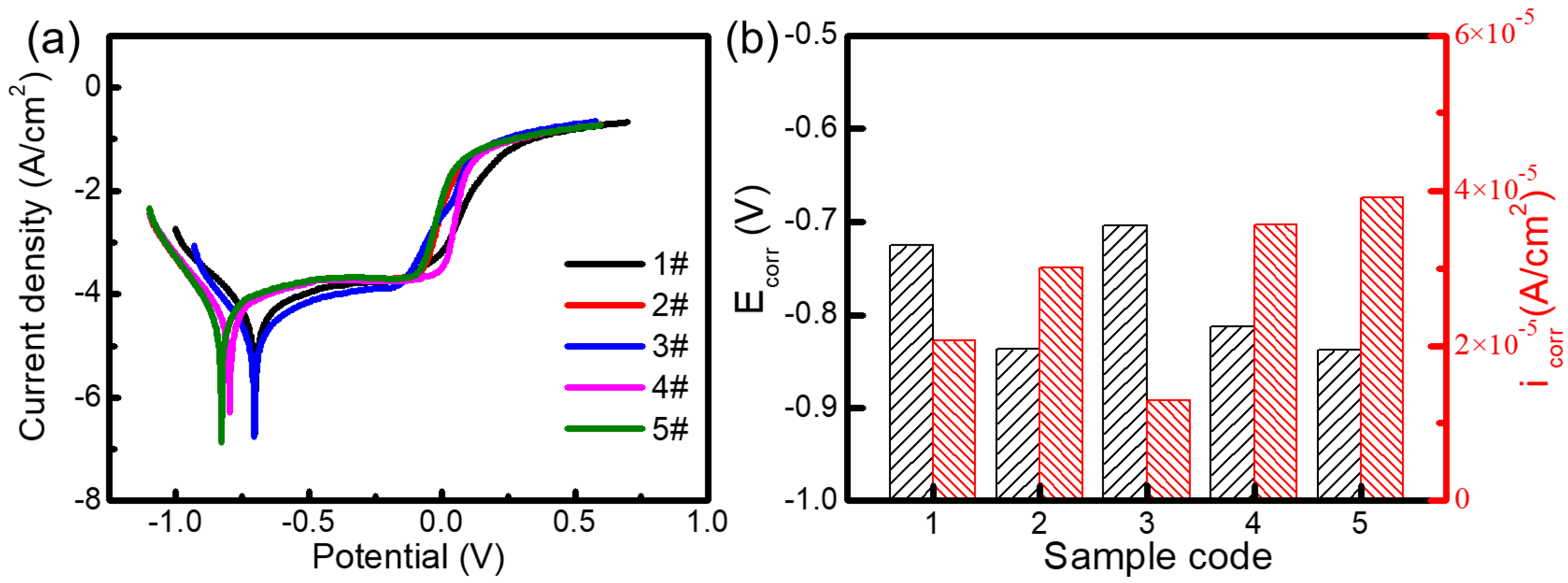
The polished coating was encapsulated with epoxy resin and served as a working electrode. The dynamic potential polarization (Tafel) curves of different samples were measured in 3.5% NaCl solution [18,19] and are presented in Figure 10a. The corrosion current in the anode region increases with an increase in corrosion potential. There was no obvious anodic passivation zone observed in the five samples, which would have resulted in the direct contact of the electrolyte with the material surface and the formation of pitting corrosion. These Tafel curves were linearly fitted by using Origin software [20,21]. The intersection of two fitted lines was determined by extrapolation and is denoted as the corrosion potential and corrosion current density of the sample. The corrosion potential and corrosion current density of five cladding coatings were obtained and are illustrated in Table 1 and Figure 10b. The corrosion potentials (Ecorrs) of the five coatings are −0.726 V, −0.837 V, −0.704 V, −0.812 V, and −0.838 V, respectively. The corrosion current densities (icorrs) of the five coatings are 2.06 × 10−5, 3.01 × 10−5, 1.30 × 10−5, 3.56 × 10−5, and 3.91 × 10−5 A cm−2, respectively. In corrosion analysis, Ecorr and icorr reflect the corrosion kinetics and thermodynamic properties of materials, respectively. A more negative Ecorr indicates a higher thermodynamic tendency for corrosion, whereas a larger icorr corresponds to a faster kinetic rate of corrosion. Generally speaking, a higher corrosion potential and a lower corrosion current reflect the superior corrosion resistance of the coating material. Among these coatings, the 3# coating presents the most positive corrosion potential (−0.704 V) and the lowest corrosion current density (1.30 × 10−5 A cm−2). Therefore, the 3# sample (Fe60/WC with 2.5% Y2O3) possesses the best corrosion resistance. The optimal corrosion resistance of 3# sample is attributed to the synergistic effect of its improved surface quality and the refined internal microstructure.
Figure 10. Electrochemical corrosion in 3.5% NaCl solution: (a) potentiodynamic polarization curves; (b) corrosion potential and corrosion current density.
Figure 10. Electrochemical corrosion in 3.5% NaCl solution: (a) potentiodynamic polarization curves; (b) corrosion potential and corrosion current density.
Molecules 30 04598 g010
Table 1. Electrochemical parameters of five coatings obtained from Figure 10a.
Table 1. Electrochemical parameters of five coatings obtained from Figure 10a.
SampleSolutionEcorr/VSCEicorr/A cm2
1#3.5% NaCl−0.7262.06 × 10−5
2#3.5% NaCl−0.8373.01 × 10−5
3#3.5% NaCl−0.7041.30 × 10−5
4#3.5% NaCl−0.8123.56 × 10−5
5#3.5% NaCl−0.8383.91 × 10−5
After electrochemical ×corrosion testing in 3.5% NaCl solution, the surface morphology of different cladding coatings was observed using SEM. In Figure 11a, the surface of the 1# sample (with only WC) displays a limited number of pits alongside moderate corrosion. With an addition of Y2O3, the surface morphology of the coating undergoes a significant change. Among these samples, the 5# sample shows the most extensive pitting area, mainly due to intergranular corrosion of Fe grains in the pits and producing a large amount of Fe(OH)3 corrosion products. Therefore, an excessive amount of Y2O3 filler ultimately degrades the coating’s corrosion resistance. Through a comparison, the 3# sample containing 2.5% Y2O3 and 10% WC presents the smallest pitting area, further proving the outstanding corrosion resistance. This observation is in excellent agreement with the electrochemical corrosion data presented in Figure 10b. To further verify the negative impact of a high Y2O3 fraction on the corrosion resistance of the Fe60/WC coating, Figure 11f provides a high-magnification SEM image of the corroded 5# coating. Abundant layered corrosion products are generated on the sample surface. Both the protruding and recessed areas form a porous structure stacked by Fe(OH)3 nanosheets, with a size of several micrometers. The formation o a nanosheet morphology is associated with the excessive consumption of carbon in the molten pool, causing a great decrease in metal carbide faction in the eutectic structure. Consequently, the γ-Fe within the eutectic structure is severely corroded to produce metal hydroxides. In contrast, the 3# sample containing 10% WC and 2.5% Y2O3 exhibits the smallest pitting area, further demonstrating its superior corrosion resistance in the 3.5% NaCl solution.

3. Materials and Methods

3.1. Fabrication of Laser Cladding Coatings

Polished 42CrMo steel plate (Xingwang Metal, Dongguan, China) was selected as the substrate material. Commercialized Fe60 powders (Yaoyi Alloys, Shanghai, China) were used as metal matrix, and the components are provided in Table 2. WC powders (~50 μm) and Y2O3 powders (10~20 μm) were selected as ceramic fillers and modifiers. Mixed powders of Fe60, WC, and Y2O3 were ball-milled for 4 h by using zirconia spheres. An MFSC 2000W fiber laser device (Chuangxin Laser Co., Ltd., Shanghai, China) was used to prepare laser cladding coating with a power of 1000 W and 2 mm laser spot. The laser cladding process was performed under Ar gas. The scanning speed was 6 mm s−1, and the overlap rate was 50%. Synchronous powder feeding was conducted with a gas-powder speed of 10 L·min−1. Five kinds of cladding coatings were prepared on 42CrMo steel plate, as illustrated in Table 3.

3.2. Material Characterization and Measurement

Scanning electron microscope by Ultra 60 (Zeiss, Shanghai, China) was used for observing the microstructure of the powder and cladding coating, coupled with an energy-dispersive spectrometer (EDS) for measuring the elemental contents. X-ray diffractometer coded as XRD-6100 (Shimazu, Guangzhou, China) was utilized for characterizing the crystal structure and composition, and the scanning rate was 5°·min−1. Prior to metallographic structure, the cladding coating needed to be etched by using a dilute HCl/FeCl3 solution with a mass ratio of 1/10. Then, anhydrous ethanol was used to rinse the etched surface.
Vickers hardness tester (FM-810, Future-Tech, Tokyo, Japan) was used to measure the coating hardness, in which a 1000 g load was applied on the coating surface for 12 s to obtain the hardness value. Rtec rotary friction testing machine (MFT-5000, Rtec-Instruments, New York, NY, USA) was used to test the friction coefficient of different coatings, and the wear volume was obtained via laser surface profilometer (OLS5100-SAF, Olympus, Tianjin, China). During the friction process, Si3N4 milling ball was used by applying a 10 N load. The sliding speed was fixed as 120 mm·min−1. In corrosion testing, the polished cladding coating was used as a working electrode, and 3.5 wt% NaCl solution was used as an electrolyte [22]. The counter electrode was platinum sheet (1.5 × 1.5 cm2), and reference electrode was Calomel electrode. A CHI660E electrochemical workstation (Chenhua 660E, Chenhua, Shanghai, China) was used to measure the potentiodynamic polarization (Tafel) curve of different cladding coatings.

4. Conclusions

To fabricate high-performance Fe-based laser cladding coatings, various Fe60/WC/Y2O3 coatings were deposited on the surface of 42CrMo steel substrates via a laser cladding technique. The influences of the Y2O3 content on the microstructure, hardness, wear resistance, and corrosion resistance were investigated systematically. The main findings are summarized as follows:
(1)
With the addition of Y2O3, the characteristic diffraction peaks of WC disappear, while the peaks of M23C6 gradually weaken. This indicates that the introduction of Y2O3 promotes the decomposition of WC and inhibits the formation of metal carbides. SEM result verifies the formation of abundant grid-like structures in the 3# sample with 2.5 wt% Y2O3, further demonstrating the uniform distribution of decomposed W within the Fe matrix. When the Y2O3 content is more than 5 wt%, excessive Y2O3 introduces a large amount of O, which reacts with C to form CO2 gas. This reaction reduces the content of newly generated carbides and increases the number of surface pores.
(2)
The dosage of Y2O3 has a significant impact on the hardness of the cladding coating. The coating hardness initially increases and then decreases with increasing Y2O3 addition. When the content of Y2O3 is 2.5 wt%, the 3# sample presents the maximum average hardness of 861.97 HV, which is 3.3 times that of the substrate. The friction coefficient of different cladding coatings was tested using Si3N4 grinding balls. The 3# sample also exhibits the lowest friction coefficient (0.675) and the smallest wear volume of 1.8 × 10−3 mm3. Therefore, the Fe60/WC/Y2O3 cladding coating with 2.5 wt% Y2O3 demonstrates the optimal wear resistance.
(3)
Electrochemical measurement was conducted using polished cladding coating encapsulated with epoxy resin as the working electrode. Tafel curves of different samples were tested. The 3# sample (with 2.5% Y2O3) presents the most positive corrosion potential (−0.704 V) and the lowest corrosion current density (1.30 × 10−5 A cm−2). This indicates its superior corrosion resistance in 3.5% NaCl solution, which is attributed to the improved surface quality and the formation of a W-reinforced grid structure.
(4)
The incorporation of Y2O3 additive enhances the interfacial bonding between the metal matrix and WC reinforcement by promoting the decomposition of WC. This microstructural refinement results in a significant improvement in the coating’s hardness, wear resistance, and corrosion resistance. These findings provide a viable strategy for fabricating high-performance composite coatings on steel substrates, which can substantially enhance the durability and reliability of critical equipment components. Consequently, this approach contributes to extending the service life of repaired parts, improving operational reliability, and reducing maintenance costs.

Author Contributions

Conceptualization, H.J. and X.H.; methodology, H.J.; investigation, D.J.; writing—review and editing, X.H. and C.G. All authors have read and agreed to the published version of the manuscript.

Funding

This research was funded by Guangdong Basic and Applied Basic Research Foundation, grant number 2022A1515140159.

Data Availability Statement

The original contributions presented in this study are included in the article. Further inquiries can be directed to the corresponding author.

Conflicts of Interest

The authors declare no conflict of interest.

References

  1. Zhao, P.; Shi, Z.; Wang, X.; Li, Y.; Cao, Z.; Zhao, M.; Liang, J. A Review of the Laser Cladding of Metal-Based Alloys, Ceramic-Reinforced Composites, Amorphous Alloys, and High-Entropy Alloys on Aluminum Alloys. Lubricants 2023, 11, 482. [Google Scholar] [CrossRef]
  2. Zhu, L.; Xue, P.; Lan, Q.; Meng, G.; Ren, Y.; Yang, Z.; Xu, P.; Liu, Z. Recent research and development status of laser cladding: A review. Opt. Laser Technol. 2021, 138, 106915. [Google Scholar] [CrossRef]
  3. Liu, Y.; Ding, Y.; Yang, L.; Sun, R.; Zhang, T.; Yang, X. Research and progress of laser cladding on engineering alloys: A review. J. Manuf. Process. 2021, 66, 341–363. [Google Scholar] [CrossRef]
  4. Wang, K.; Zhang, Z.; Xiang, D.; Ju, J. Research and Progress of Laser Cladding: Process, Materials and Applications. Coatings 2022, 12, 1382. [Google Scholar] [CrossRef]
  5. Jiang, D.; Wang, G.; Dong, W.; Hong, X.; Guo, C. Recent Advance on Metal Carbides Reinforced Laser Cladding Coatings. Molecules 2025, 30, 1820. [Google Scholar] [CrossRef]
  6. Sun, S.; Wang, J.; Xu, J.; Cheng, X.; Jing, C.; Chen, Z.; Ru, H.; Liu, Y.; Jiao, J. Preparing WC-Ni coatings with laser cladding technology: A review. Mater. Today Commun. 2023, 37, 106939. [Google Scholar] [CrossRef]
  7. Liu, L.; Lin, Y.; Peng, L.; Kang, X.; Wang, X. Progress in Microstructure Design and Control of High-Hardness Fe-Based Alloy Coatings via Laser Cladding. Coatings 2024, 14, 1351. [Google Scholar] [CrossRef]
  8. Wu, T.; Shi, W.; Xie, L.; Gong, M.; Huang, J.; Xie, Y.; He, K. Study on the effect of Ni60 transition coating on microstructure and mechanical properties of Fe/WC composite coating by laser cladding. Opt. Laser Technol. 2023, 163, 109387. [Google Scholar] [CrossRef]
  9. Yang, Z.Z.; Hao, H.; Gao, Q.; Cao, Y.B.; Han, R.H.; Qi, H.B. Strengthening mechanism and high-temperature properties of H13 + WC/Y2O3 laser-cladding coatings. Surf. Coat. Technol. 2021, 405, 126544. [Google Scholar] [CrossRef]
  10. Zhang, Z.; Yang, F.; Zhang, H.; Zhang, T.; Wang, H.; Xu, Y.; Ma, Q. Influence of CeO2 addition on forming quality and microstructure of TiCx-reinforced CrTi4-based laser cladding composite coating. Mater. Charact. 2021, 171, 110732. [Google Scholar] [CrossRef]
  11. Zhang, Z.; Yang, Q.; Yu, Z.; Wang, H.; Zhang, T. Influence of Y2O3 addition on the microstructure of TiC reinforced Ti-based composite coating prepared by laser cladding. Mater. Charact. 2022, 189, 111962. [Google Scholar] [CrossRef]
  12. Li, J.; Luo, X.; Li, G.J. Effect of Y2O3 on the sliding wear resistance of TiB/TiC-reinforced composite coatings fabricated by laser cladding. Wear 2014, 310, 72–82. [Google Scholar] [CrossRef]
  13. Liang, F.; Li, K.; Shi, W.; Zhu, Z. Effect of Y2O3 Content on Microstructure and Corrosion Properties of Laser Cladding Ni-Based/WC Composite Coated on 316L Substrate. Coatings 2023, 13, 1532. [Google Scholar] [CrossRef]
  14. Tao, L.; Yang, Y.; Zhu, W.; Sun, J.; Wu, J.; Xu, H.; Yan, L.; Yang, A.; Xu, Z. Stress Distribution in Wear Analysis of Nano-Y2O3 Dispersion Strengthened Ni-Based μm-WC Composite Material Laser Coating. Materials 2024, 17, 121. [Google Scholar] [CrossRef]
  15. Li, J.; Zhu, Z.; Peng, Y.; Shen, G. Phase evolution and wear resistance of in-situ synthesized (Cr, W)23C6-WC composite ceramics reinforced Fe-based composite coatings produced by laser cladding. Vacuum 2021, 190, 110242. [Google Scholar] [CrossRef]
  16. Du, M.; Wang, L.; Gao, Z.; Yang, X.; Liu, T.; Zhan, X. Microstructure and element distribution characteristics of Y2O3 modulated WC reinforced coating on Invar alloys by laser cladding. Opt. Laser Technol. 2022, 153, 108205. [Google Scholar] [CrossRef]
  17. Xu, Y.; Fu, S.; Lu, H.; Li, W. Process optimization, microstructure characterization, and tribological performance of Y2O3 modified Ti6Al4V-WC gradient coating produced by laser cladding. Surf. Coat. Technol. 2024, 478, 130496. [Google Scholar] [CrossRef]
  18. Li, Y.Z.; Wang, X.; Zhang, G.A. Corrosion behaviour of 13Cr stainless steel under stress and crevice in 3.5 wt.% NaCl solution. Corros. Sci. 2020, 163, 108290. [Google Scholar] [CrossRef]
  19. Feng, L.; Yang, Y.; Zhao, Y.; Ma, K.; Cui, J. Corrosion behaviors and mechanism of AlxCrFeMnCu high-entropy alloys in a 3.5 wt% NaCl solution. Corros. Sci. 2024, 233, 112087. [Google Scholar] [CrossRef]
  20. Wu, L.; Ma, A.; Zhang, L.; Zheng, Y. Intergranular erosion corrosion of pure copper tube in flowing NaCl solution. Corros. Sci. 2022, 201, 110304. [Google Scholar] [CrossRef]
  21. Kim, S.H.; Kang, C.Y.; Bang, K.S. Weld metal impact toughness of electron beam welded 9% Ni steel. J. Mater. Sci. 2001, 36, 1197–1200. [Google Scholar] [CrossRef]
  22. Wu, H.; Wang, Z.Y.; Wang, M.S.; Wang, R.; Zhang, S.; Zhang, C.H.; Wu, C.L.; Chen, H.T.; Chen, J. Microstructure evolution, corrosion and corrosive wear properties of NbC-reinforced FeNiCoCr-based high entropy alloys coatings fabricated by laser cladding. Eng. Fail. Anal. 2025, 171, 109352. [Google Scholar] [CrossRef]
Figure 1. Morphology of various powders: (a) Fe60 powders, (b) Fe60 + WC, (cf) Fe60 + WC + xY2O3.
Figure 1. Morphology of various powders: (a) Fe60 powders, (b) Fe60 + WC, (cf) Fe60 + WC + xY2O3.
Molecules 30 04598 g001
Figure 2. Surface photos of five kinds of laser cladding coatings.
Figure 2. Surface photos of five kinds of laser cladding coatings.
Molecules 30 04598 g002
Figure 3. XRD patterns of five kinds of laser cladding coatings.
Figure 3. XRD patterns of five kinds of laser cladding coatings.
Molecules 30 04598 g003
Figure 4. Interfacial region and cladding coating (inset) of the five kinds of laser cladding coatings, (a) 1# coating, (b) 2# coating, (c) 3# coating, (d) 4# coating, (e) 5# coating.
Figure 4. Interfacial region and cladding coating (inset) of the five kinds of laser cladding coatings, (a) 1# coating, (b) 2# coating, (c) 3# coating, (d) 4# coating, (e) 5# coating.
Molecules 30 04598 g004
Figure 5. Microstructure and elemental mapping of 1# cladding coating without Y2O3.
Figure 5. Microstructure and elemental mapping of 1# cladding coating without Y2O3.
Molecules 30 04598 g005
Figure 6. Microstructure and elemental mapping of 3# coating containing 2.5% Y2O3.
Figure 6. Microstructure and elemental mapping of 3# coating containing 2.5% Y2O3.
Molecules 30 04598 g006
Figure 7. (a) Microhardness curves of different coatings upward along the fusion line and (b) friction coefficient curves of different coatings.
Figure 7. (a) Microhardness curves of different coatings upward along the fusion line and (b) friction coefficient curves of different coatings.
Molecules 30 04598 g007
Figure 8. Wear volumes of different coatings and performance comparison, (a) 1# coating, (b) 2# coating, (c) 3# coating, (d) 4# coating, (e) 5# coating, (f) the comparison of different coatings.
Figure 8. Wear volumes of different coatings and performance comparison, (a) 1# coating, (b) 2# coating, (c) 3# coating, (d) 4# coating, (e) 5# coating, (f) the comparison of different coatings.
Molecules 30 04598 g008
Figure 9. Morphologies of the five kinds of coatings after the friction test, (a) 1# coating, (b) 2# coating, (c) 3# coating, (d) 4# coating, (e) 5# coating.
Figure 9. Morphologies of the five kinds of coatings after the friction test, (a) 1# coating, (b) 2# coating, (c) 3# coating, (d) 4# coating, (e) 5# coating.
Molecules 30 04598 g009
Figure 11. Microstructures of different coatings after the electrochemical test: (a) 1# coating, (b) 2# coating, (c) 3# coating, (d) 4# coating, (e) 5# coating, and (f) magnification of 5# coating.
Figure 11. Microstructures of different coatings after the electrochemical test: (a) 1# coating, (b) 2# coating, (c) 3# coating, (d) 4# coating, (e) 5# coating, and (f) magnification of 5# coating.
Molecules 30 04598 g011
Table 2. The components of Fe60 powders.
Table 2. The components of Fe60 powders.
FeCCrSiNiB
60.2 wt%2.8 wt%20.5 wt%3.0 wt%9.5 wt%4.0 wt%
Table 3. Material contents of different cladding coatings.
Table 3. Material contents of different cladding coatings.
Sample CodeFe60 (g)WC (g)Y2O3 (g)Y2O3 Fraction
1#36400%
2#3540.51.3%
3#34412.5%
4#33425.0%
5#33437.5%
Disclaimer/Publisher’s Note: The statements, opinions and data contained in all publications are solely those of the individual author(s) and contributor(s) and not of MDPI and/or the editor(s). MDPI and/or the editor(s) disclaim responsibility for any injury to people or property resulting from any ideas, methods, instructions or products referred to in the content.

Share and Cite

MDPI and ACS Style

Jiang, H.; Jiang, D.; Guo, C.; Hong, X. The Influence of Y2O3 Dosage on the Performance of Fe60/WC Laser Cladding Coating. Molecules 2025, 30, 4598. https://doi.org/10.3390/molecules30234598

AMA Style

Jiang H, Jiang D, Guo C, Hong X. The Influence of Y2O3 Dosage on the Performance of Fe60/WC Laser Cladding Coating. Molecules. 2025; 30(23):4598. https://doi.org/10.3390/molecules30234598

Chicago/Turabian Style

Jiang, Haiyan, Dazhi Jiang, Chenguang Guo, and Xiaodong Hong. 2025. "The Influence of Y2O3 Dosage on the Performance of Fe60/WC Laser Cladding Coating" Molecules 30, no. 23: 4598. https://doi.org/10.3390/molecules30234598

APA Style

Jiang, H., Jiang, D., Guo, C., & Hong, X. (2025). The Influence of Y2O3 Dosage on the Performance of Fe60/WC Laser Cladding Coating. Molecules, 30(23), 4598. https://doi.org/10.3390/molecules30234598

Article Metrics

Back to TopTop