Sign in to use this feature.

Years

Between: -

Subjects

remove_circle_outline
remove_circle_outline
remove_circle_outline
remove_circle_outline
remove_circle_outline
remove_circle_outline
remove_circle_outline
remove_circle_outline
remove_circle_outline

Journals

Article Types

Countries / Regions

remove_circle_outline
remove_circle_outline
remove_circle_outline

Search Results (169)

Search Parameters:
Keywords = cumulative mutation

Order results
Result details
Results per page
Select all
Export citation of selected articles as:
15 pages, 2451 KB  
Article
KASP-Based Genotyping Reveals Super-Early Maturity Allele Diversity in High-Latitude Soybean Germplasm from Mohe, Northeast China (>53° N)
by Qimeng Li, Baiquan Sun, Shuqing Qian, Bangbang Zhang, Tingting Wu, Shan Yuan, Bingjun Jiang, Shaodong Wang, Yanhui Sun, Peiguo Wang, Shi Sun, Tianfu Han, Changhong Guo and Chao Qin
Agronomy 2026, 16(7), 725; https://doi.org/10.3390/agronomy16070725 - 30 Mar 2026
Viewed by 247
Abstract
Soybean (Glycine max) is a critically important crop for oil, protein, feed, and food security in China. Expanding soybean cultivation into high-latitude regions represents one of the most direct and effective strategies to increase total production. In the present study, we [...] Read more.
Soybean (Glycine max) is a critically important crop for oil, protein, feed, and food security in China. Expanding soybean cultivation into high-latitude regions represents one of the most direct and effective strategies to increase total production. In the present study, we employed KASP (Kompetitive Allele-Specific PCR) marker technology to systematically analyze 18 variant loci across 14 flowering-time genes in 443 soybean germplasm accessions adapted to high-latitude conditions in Arctic Village (Beiji Cun), Mohe City (>53° N), northeastern China. Our results revealed clear functional-tier-dependent selection gradients: key mutation sites (frequency > 96%) in upstream photoreceptors and core circadian clock genes, such as E2 and GmPRR3a, were nearly fixed in the population, whereas downstream flowering genes such as GmFT5b and GmFT2b remained under dynamic selection. Combinatorial analysis of early-maturity allelic variants identified 178 distinct genotype combinations, including six dominant types (n ≥ 10). Field phenotypic analysis demonstrated that the cumulative number of early-maturity alleles was significantly negatively correlated with flowering time, with specific allele combinations such as FT5aA + FKF1b-hap3T exhibiting particularly strong flower-promoting effects. A set of 80 highly enriched super-early-maturity accessions, including extreme materials such as MHL22002, were identified, providing valuable genetic resources and a theoretical framework for elucidating the flowering regulatory mechanisms of high-latitude soybean and for breeding super-early-maturing varieties. Full article
(This article belongs to the Section Crop Breeding and Genetics)
Show Figures

Figure 1

20 pages, 3177 KB  
Systematic Review
Risk of Radiation-Associated Contralateral Breast Cancer in Germline Mutation Carriers: A Meta-Analysis and Systematic Review
by Christina Hari Nawangsih Prihharsanti, Yan Wisnu Prajoko, Danendra Rakha Putra Respati, Kevin Christian Tjandra, Fitri Mutmainnah, Maritza Bintang Rismadha, Annisa Salsabilla Dwi Nugrahani, Davendra Putra Aryasatya, Andrea Valerie Manik, Fahrul Nurkolis and Edward Kurnia Setiawan Limijadi
Cancers 2026, 18(7), 1106; https://doi.org/10.3390/cancers18071106 - 29 Mar 2026
Viewed by 407
Abstract
Background/Objectives: Contralateral breast cancer (CBC) is a significant concern among breast cancer survivors, particularly in those with moderator-high penetrance germline mutations such as BRCA1, BRCA2, CHEK2, and ATM. While radiotherapy (RT) is a crucial component of breast cancer (BC) treatment, its potential [...] Read more.
Background/Objectives: Contralateral breast cancer (CBC) is a significant concern among breast cancer survivors, particularly in those with moderator-high penetrance germline mutations such as BRCA1, BRCA2, CHEK2, and ATM. While radiotherapy (RT) is a crucial component of breast cancer (BC) treatment, its potential role in increasing CBC risk remains unclear. This systematic review and meta-analysis aim to evaluate the incidence of radiation-induced CBC in germline mutation carriers. Methods: Following PRISMA guidelines, we conducted a comprehensive search in six electronic databases (PubMed, Scopus, Cochrane Library, ProQuest, EBSCO, and Epistemonikos) for studies published fifteen years prior, up to August 2025. We included cohort and case–control studies assessing the association between RT and CBC incidence in germline mutation carriers. A meta-analysis was performed using a random-effects model to estimate cumulative risk (CR) and rate ratios (RR). Results: Seven studies were included. The 5-year cumulative risk (CR) of contralateral breast cancer (CBC) was 0.55 for BRCA1/2, 0.89 for ATM, and 0.80 for CHEK2 carriers. At 10 years, overall CR increased to 0.65, with ATM and CHEK2 remaining high. Rate ratio (RR) analysis showed a significant risk for ATM (2.98), while overall RR indicated more than a two-fold increased CBC risk with radiotherapy (RR = 2.70 common-effect; 2.53 random-effects). Conclusions: Radiotherapy significantly increases contralateral breast cancer risk, particularly in ATM and CHEK2 carriers, emphasizing the importance of personalized genetic risk stratification in treatment decisions. Full article
(This article belongs to the Special Issue Personalized Radiotherapy in Cancer Care (2nd Edition))
Show Figures

Figure 1

24 pages, 5162 KB  
Article
Risk-Field Visualization and Path Planning for UAV Air Refueling Considering Wake Vortex Effects
by Weijun Pan, Gaorui Xu, Chen Zhang, Leilei Deng, Yingwei Zhu, Yanqiang Jiang and Zhiyuan Dai
Drones 2026, 10(3), 197; https://doi.org/10.3390/drones10030197 - 12 Mar 2026
Viewed by 353
Abstract
Autonomous aerial refueling is a key technology for enhancing the endurance of unmanned aerial vehicles; however, the wingtip vortices generated by the tanker create a strong three-dimensional wake-vortex flow field, whose downwash and lateral airflow can impose significant rolling moments on the follower [...] Read more.
Autonomous aerial refueling is a key technology for enhancing the endurance of unmanned aerial vehicles; however, the wingtip vortices generated by the tanker create a strong three-dimensional wake-vortex flow field, whose downwash and lateral airflow can impose significant rolling moments on the follower Unmanned Aerial Vehicle (UAV), posing a serious threat to flight safety. To address this issue, this study proposes an integrated framework that combines wake-vortex risk-field modeling with optimal path planning. The classical Hallock–Burnham (HB) model is first employed to predict vortex descent and lateral transport, while a two-phase model is used to characterize the temporal decay of vortex circulation. The predicted vortex parameters are then coupled with the UAV’s aerodynamic characteristics, and the rolling-moment coefficient (RMC) is introduced as a risk metric to compute its spatiotemporal distribution in three dimensions, thereby transforming the invisible wake-vortex disturbance into a visualizable and quantifiable dynamic three-dimensional risk map. On this basis, a wake-vortex-aware path-planning algorithm based on particle swarm optimization (PSO) is developed, incorporating adaptive weighting and elitist mutation strategies. A multi-objective cost function considering path length, safety, and smoothness is further constructed to search for an optimal safe path under wake-vortex influence. Simulation results indicate that, compared with the classical A* and Rapidly-Exploring Random Tree (RRT) algorithms, the proposed method reduces cumulative risk exposure by approximately 90% and 75%, respectively, while limiting the increase in path length to about 8% (significantly lower than the increases of 40% for A* and 44% for RRT). In addition, the maximum turning angle is constrained within 10°, and the computation time remains around 0.052 s, satisfying real-time requirements. These results demonstrate that the proposed method can generate safe, efficient, and dynamically feasible paths for UAV aerial refueling and provide a valuable reference for wake-vortex avoidance in similar aerospace missions. Full article
Show Figures

Figure 1

18 pages, 2123 KB  
Article
The RNA-Binding Domain NS1 of Influenza as an Antiviral Target: From Evolutionary Conservation Mapping to Experimental Validation
by Luis André Santos, João Trigueiro-Louro and Helena Rebelo-de-Andrade
Viruses 2026, 18(3), 279; https://doi.org/10.3390/v18030279 - 25 Feb 2026
Viewed by 691
Abstract
Non-structural protein 1 (NS1) of influenza A virus is a multifunctional virulence factor and represents a promising anti-influenza target, considering its conserved and druggable structure. As antiviral target, NS1-RNA-binding domain (RBD) remains unexplored, despite its critical role in replication. In this study, we [...] Read more.
Non-structural protein 1 (NS1) of influenza A virus is a multifunctional virulence factor and represents a promising anti-influenza target, considering its conserved and druggable structure. As antiviral target, NS1-RNA-binding domain (RBD) remains unexplored, despite its critical role in replication. In this study, we applied a “Map-and-Mutate” strategy to identify and functionally validate highly conserved and druggable regions within the NS1-RBD. Using large-scale sequence alignments and structural characterization, we integrated conservation and druggability analyses to predict conserved druggable pockets and top-ranked hot spots, mutate the five most promising residues (L15, W16, R19, R35, and L43) and study their impact on viral fitness. In vitro, the mutations W16 and R35 caused most significant reduction in viral fitness; however, L15 and R19 also impaired replication. Combined mutations involving W16 and either L15 or L43 exerted a cumulative effect, reducing viral replication, hemagglutination titers and neuraminidase activity. This study demonstrates that most residues identified and investigated using the “Map-and-Mutate” strategy negatively impact viral fitness, underscoring the approach’s value in pinpointing novel antiviral targets. Together with our prior research, this study reinforces the importance of NS1 as a promising antiviral target, providing a rationale for designing and developing therapies with a higher resilience to viral resistance. Full article
(This article belongs to the Section General Virology)
Show Figures

Figure 1

13 pages, 2474 KB  
Review
Exploring the ALS Multistep Model
by Andrew Eisen
Brain Sci. 2026, 16(2), 236; https://doi.org/10.3390/brainsci16020236 - 18 Feb 2026
Viewed by 833
Abstract
ALS is a multistep disease, in which (epi)genetic, environmental, and age-related processes, including senescence, converge over decades to reduce resilience resulting in self-sustaining symptomatic disease. The multistep model visualizes five to six impactful events in sporadic ALS, but fewer in those carrying high-penetrance [...] Read more.
ALS is a multistep disease, in which (epi)genetic, environmental, and age-related processes, including senescence, converge over decades to reduce resilience resulting in self-sustaining symptomatic disease. The multistep model visualizes five to six impactful events in sporadic ALS, but fewer in those carrying high-penetrance mutations, such as SOD1, FUS, or C9orf72 expansions. The timing, duration, and cumulative effects of specific steps are presumed to have individual variability but, the steps themselves are inferred since they have not been observed and remain agnostic as to biological identity. Nevertheless, the model gives an opportunity to integrate genetics, aging, environmental exposures, and systems-level vulnerability into a single framework. Acting as step modifiers, environmental exposures including trauma lower the threshold for step acquisition, accelerate the accumulation of steps, influence the anatomical site of disease onset, and unmask preclinical disease. Because ALS emerges from the gradual collapse of multiple layers of biological robustness, tackling a single pathway will be insufficient and the multistep model forces a reconsideration of therapeutic timing and strategies. Protection against early-life insults, anti-aging, and anti-senescent therapies may curtail step accumulation preventing ALS from exceeding threshold and disease manifestation. Full article
(This article belongs to the Section Sensory and Motor Neuroscience)
Show Figures

Figure 1

19 pages, 777 KB  
Review
Telomerase Activity in Melanoma: Impact on Cancer Cell Proliferation Kinetics, Tumor Progression, and Clinical Therapeutic Strategies—A Scoping Review
by Omar Alqaisi, Guy Storme, Amaechi Dennis, Mohammed Dibas, Lorent Sijarina, Liburn Grabovci, Shima Al-Zghoul, Edward Yu and Patricia Tai
Curr. Oncol. 2026, 33(2), 74; https://doi.org/10.3390/curroncol33020074 - 27 Jan 2026
Viewed by 807
Abstract
Background: Melanoma outcomes have improved in recent years as a result of modern systemic therapies. A major molecular feature of melanoma is abnormal telomerase activation; this is most often caused by telomerase reverse transcriptase (TERT) promoter mutations, which occur in 50–82% of [...] Read more.
Background: Melanoma outcomes have improved in recent years as a result of modern systemic therapies. A major molecular feature of melanoma is abnormal telomerase activation; this is most often caused by telomerase reverse transcriptase (TERT) promoter mutations, which occur in 50–82% of cases and are the most common noncoding alteration in this cancer. Telomerase maintains telomere length, allowing melanoma cells to avoid senescence and continue dividing. However, how telomerase activity influences melanoma cell doubling time remains unclear, and the pathways linking TERT expression to faster cell-cycle progression require further study. Although telomerase inhibitors show promise in preclinical models, their clinical use is limited by delayed cytotoxicity and resistance. Materials and Methods: A scoping review was conducted using Scopus, ScienceDirect, MEDLINE/PubMed, and CINAHL (Cumulative Index to Nursing and Allied Health Literature). Keywords included “telomerase,” “melanoma,” “cancer,” “cell proliferation,” and “doubling time,” using Preferred Reporting Items for Systematic Reviews and Meta-Analyses (PRISMA) guidelines. Results: Telomerase-related biomarkers were found to correlate with disease stage and survival. Suggested therapeutic strategies include enzyme inhibitors, cytotoxic nucleotide incorporation, telomere destabilization, and immunotherapies such as peptide or dendritic cell vaccines, etc. Conclusions: Understanding both telomere-dependent and -independent TERT functions is essential for developing effective biomarkers and therapies that overcome resistance and slow melanoma progression. Full article
(This article belongs to the Special Issue Prevention, Early Detection and Management of Skin Cancer)
Show Figures

Graphical abstract

10 pages, 347 KB  
Article
The Role of Prior HBV Infection on the Efficacy of 3TC/DTG as a Maintenance Therapy
by Tommaso Matucci, Sara Occhineri, Alessandra Palomba, Maria Linda Vatteroni, Laura Del Bono, Marina Polidori, Riccardo Iapoce, Alberto Borghetti and Marco Falcone
Viruses 2026, 18(1), 142; https://doi.org/10.3390/v18010142 - 22 Jan 2026
Viewed by 401
Abstract
Lamivudine/dolutegravir (3TC/DTG) is an effective and well-tolerated antiretroviral regimen for most people with HIV (PWH) who are virologically suppressed; however, specific clinical characteristics, such as prior hepatitis B virus (HBV) exposure or archived resistance-associated mutations (RAMs), may influence the risk of virological failure [...] Read more.
Lamivudine/dolutegravir (3TC/DTG) is an effective and well-tolerated antiretroviral regimen for most people with HIV (PWH) who are virologically suppressed; however, specific clinical characteristics, such as prior hepatitis B virus (HBV) exposure or archived resistance-associated mutations (RAMs), may influence the risk of virological failure (VF). We conducted a retrospective, monocentric cohort study to evaluate the incidence and predictors of VF among PWH who switched to 3TC/DTG after achieving virological suppression (HIV-RNA < 50 copies/mL). A total of 188 PWH were included. Over 5082 patient-years of follow-up (PYFU), 8 individuals (4.3%) experienced VF, corresponding to an incidence rate of 1.45 per 1000 PYFU. The cumulative probabilities of VF at 1, 2, 3, 4, and 5 years were 0.6%, 2.7%, 2.7%, 4.2%, and 22.3%, respectively. In exploratory multivariable analyses, anti-HBc positivity was associated with an increased risk of VF (adjusted hazard ratio [aHR] 4.80, 95% CI 1.03–22.43; p = 0.046). After adjustment for age and sex, individuals with anti-HBc positivity who had switched from a tenofovir-containing regimen showed the highest risk of VF compared with anti-HBc-negative individuals without prior tenofovir exposure (aHR 15.06, 95% CI 1.40–161.38; p = 0.025). Given the limited number of virological events, these findings should be interpreted with caution. Nevertheless, they suggest that prior HBV exposure, particularly in the context of tenofovir discontinuation, may represent a clinically relevant factor when considering simplification to 3TC/DTG. Full article
Show Figures

Figure 1

11 pages, 1276 KB  
Article
Genetic Evolution of Melanoma: Comparative Analysis of Candidate Gene Mutations in Healthy Skin, Nevi, and Tumors from the Same Patients
by Marta Gil-Barrachina, Barbara Hernando, Gemma Perez-Pastor, Victor Alegre-de-Miquel, Cristian Valenzuela-Oñate, Sandra Minguez-Lujan, Pablo Monfort-Lanzas, Elena Tomas-Bort, Maria Angeles Marques-Torrejon and Conrado Martinez-Cadenas
Int. J. Mol. Sci. 2026, 27(1), 532; https://doi.org/10.3390/ijms27010532 - 5 Jan 2026
Viewed by 678
Abstract
Melanocytic tumorigenesis is thought to occur through stepwise genomic evolution from normal skin to nevi and, ultimately, melanoma. To investigate this progression, we performed targeted deep sequencing of a 46-gene panel in matched healthy skin, nevus, and melanoma samples from 15 patients, including [...] Read more.
Melanocytic tumorigenesis is thought to occur through stepwise genomic evolution from normal skin to nevi and, ultimately, melanoma. To investigate this progression, we performed targeted deep sequencing of a 46-gene panel in matched healthy skin, nevus, and melanoma samples from 15 patients, including 14 complete tissue trios. Mutation burden increased progressively across tissues, with median mutation counts rising from benign skin to nevi and showing the highest levels in melanoma, consistent with cumulative somatic alterations. Canonical MAPK pathway mutations were common: BRAF V600E and NRAS Q61 variants were detected in many nevi and melanomas and were shared between lesions in 8 of 15 patients, providing direct evidence of clonal continuity. Variant allele frequencies for driver and nonsynonymous mutations were higher than those of passenger and synonymous mutations, reflecting selective expansion of functionally relevant clones. UV-signature substitutions were abundant, particularly among synonymous variants, suggesting background mutagenesis without clonal advantage. Melanoma-private mutations in genes such as ARID1A, ARID2, PIK3CA, and CDKN2A indicated additional late events contributing to malignant progression. Overall, this study supports a model in which many melanomas evolve from pre-existing nevi through sequential acquisition and clonal amplification of somatic mutations, while also revealing heterogeneous evolutionary trajectories. Full article
(This article belongs to the Section Biochemistry)
Show Figures

Figure 1

12 pages, 1962 KB  
Article
The Risk of Breast Cancer According to Mutation Type and Position in Carriers of a Pathogenic Variant in BRCA1
by Joanne Kotsopoulos, Adriana I. Apostol, Kelly Metcalfe, Dimitri Jorgji, Cezary Cybulski, Jacek Gronwald, Jan Lubinski, Pal Moller, Raymond H. Kim, Amber Aeilts, Teresa Ramón y Cajal, Tuya Pal, Louise Bordeleau, Beth Y. Karlan, Christian F. Singer, William D. Foulkes, Fergus J. Couch, Dana Zakalik, Robert Fruscio, Nadine Tung, Ping Sun, Alvaro N. Monteiro, Steven A. Narod and Mohammad R. Akbariadd Show full author list remove Hide full author list
Curr. Oncol. 2025, 32(12), 705; https://doi.org/10.3390/curroncol32120705 - 15 Dec 2025
Cited by 1 | Viewed by 1010
Abstract
Background: Carriers of a pathogenic variant (PV) in BRCA1 face a high risk of breast cancer. This study estimated the risk of developing breast cancer according to mutation type and location. Methods: BRCA1 carriers with no personal history of breast cancer or bilateral [...] Read more.
Background: Carriers of a pathogenic variant (PV) in BRCA1 face a high risk of breast cancer. This study estimated the risk of developing breast cancer according to mutation type and location. Methods: BRCA1 carriers with no personal history of breast cancer or bilateral mastectomy were included. Detailed information on clinical and family history was collected by questionnaire. Survival analysis was used to estimate 15-year cumulative risk according to PV type and location. Results: A total of 3677 BRCA1 carriers were followed for a mean of 7.2 years (range 0.1–15.0 years); 481 incident breast cancers were documented. Overall, the 15-year cumulative incidence was 25%. Risk estimates varied by exon, ranging from 9% (exon 21) to 19% (exon 12) to 36% (exon 15); however, strata were small. Carriers of four founder mutations common in Eastern Europe (c.5263_5264insC, c.181T > G, c.66_67delAG and c.4034delA) experienced a lower-than-expected cancer risk (15.9–24.4%) compared to other PVs (28.8%) (p = 0.02). Conclusions: Although our data suggests some variability in penetrance based on specific BRCA1 PV, this was based on a large number of founder mutations. Breast cancer management strategies should continue to be based on comprehensive risk assessment. Full article
(This article belongs to the Special Issue Advanced Research on Breast Cancer Genes in Cancers)
Show Figures

Figure 1

12 pages, 1470 KB  
Opinion
The Complexity of Bovine Leukemia Virus Oncogenesis
by Florine Doucet, Alexis Fontaine, Malik Hamaidia, Jean-Rock Jacques, Thomas Jouant, Nour Mhaidly, Songkang Qin, Roxane Terres, Xavier Saintmard, Luc Willems and Manon Zwaenepoel
Viruses 2025, 17(12), 1609; https://doi.org/10.3390/v17121609 - 12 Dec 2025
Cited by 2 | Viewed by 805
Abstract
Bovine leukemia virus (BLV) is a retrovirus infecting several bovid species, notably Bos taurus, where it fulfills Koch’s postulates for pathogenicity. The virus primarily targets B-lymphocytes, establishing lifelong infections that remain mostly asymptomatic but can progress to lymphocytosis or lymphoma. Transmission occurs [...] Read more.
Bovine leukemia virus (BLV) is a retrovirus infecting several bovid species, notably Bos taurus, where it fulfills Koch’s postulates for pathogenicity. The virus primarily targets B-lymphocytes, establishing lifelong infections that remain mostly asymptomatic but can progress to lymphocytosis or lymphoma. Transmission occurs through live infected cells via blood, milk, or transplacental routes. Despite a robust antiviral immunity, BLV replicates by producing virions (i.e., the infectious cycle) or inducing mitosis of infected cells (i.e., clonal expansion). The immune system effectively controls the infectious cycle but fails to impede clonal expansion, leading to chronic immune activation and immunosuppression. BLV modifies the transcriptome of the host cell by expressing oncogenic factors (Tax), viral microRNAs and antisense RNAs. Leukemogenesis arises from cumulative alterations of the virus (e.g., 5′-end deletions of the integrated provirus and histone modifications of the LTR promoter) and the host cell (e.g., genomic mutations and favorable chromatin integration). This model underscores a unique persistence strategy, linking chronic infection, immune evasion, and slow multistep oncogenesis in the bovine host. Full article
Show Figures

Graphical abstract

16 pages, 854 KB  
Article
A Novel Bearing Fault Diagnosis Method Based on Singular Spectrum Decomposition and a Multi-Strategy Enhanced Cuckoo Search-Optimized Extreme Learning Machine
by Chengxu Tang, Yuzhu Ran and Tokunbo Ogunfunmi
Appl. Sci. 2025, 15(24), 12926; https://doi.org/10.3390/app152412926 - 8 Dec 2025
Viewed by 414
Abstract
Large background noise, difficulty in feature extraction, and low parameter-optimization efficiency of diagnosis models are key challenges in rolling bearing fault diagnosis. To address these issues, this paper proposes a fault diagnosis framework that combines Singular Spectrum Decomposition (SSD) with a Multi-Strategy Enhanced [...] Read more.
Large background noise, difficulty in feature extraction, and low parameter-optimization efficiency of diagnosis models are key challenges in rolling bearing fault diagnosis. To address these issues, this paper proposes a fault diagnosis framework that combines Singular Spectrum Decomposition (SSD) with a Multi-Strategy Enhanced Cuckoo Search (MS-CS) algorithm to optimize an Extreme Learning Machine (ELM). First, the raw vibration signal is decomposed via SSD and each intrinsic component’s energy contribution is computed; components whose cumulative energy exceeds 90% are retained and reconstructed, thereby effectively suppressing noise while preserving critical fault features. Next, Multiscale Permutation Entropy (MPE) is extracted from the reconstructed signal to form a high-discriminability feature set. To overcome the traditional Cuckoo Search algorithm’s tendency to become trapped in local optima and its slow convergence, Cauchy mutation and adaptive Levy flight strategies are introduced to enhance global exploration and local exploitation. Finally, the improved MS-CS algorithm is employed to optimize the ELM’s input weights and hidden-layer biases, yielding a high-precision diagnostic model. Experimental results on benchmark bearing data demonstrate an average fault recognition rate of 96%, representing improvements of 6.67% over the conventional CS-ELM and 18% over the unoptimized ELM. These findings confirm the proposed method’s effectiveness and robustness in practical engineering applications. Full article
(This article belongs to the Section Electrical, Electronics and Communications Engineering)
Show Figures

Figure 1

24 pages, 4253 KB  
Article
Spatial and Temporal Changes in Suspended Sediment Load and Their Contributing Factors in the Upper Reaches of the Yangtze River
by Suiji Wang
Earth 2025, 6(4), 152; https://doi.org/10.3390/earth6040152 - 4 Dec 2025
Viewed by 641
Abstract
In recent decades, the suspended sediment load (SSL) of many rivers around the world has shown a significant decreasing trend, which is particularly prominent in large river basins such as the Yangtze River and the Yellow River. One of the key challenges currently [...] Read more.
In recent decades, the suspended sediment load (SSL) of many rivers around the world has shown a significant decreasing trend, which is particularly prominent in large river basins such as the Yangtze River and the Yellow River. One of the key challenges currently faced is how to quantitatively determine the relative influence of the dominant factors on the basis of systematically assessing the changing trend of SSL. This study takes the upper reaches of the Yangtze River as the research object. Based on the observation data from representative hydrological stations during 1966–2024, it systematically analyzes the interannual variation trend of SSL in different sections of the study river reach, identifies several mutation points, and divides the SSL change process into a baseline period, change period I, and change period II. Using the SCRCQ (slope change ratio of cumulative quantity) method, the study finds that the contribution ratio of human activities to the reduction of SSL in different sections of the study river reach ranges from 87.5% to 111.9%, the contribution ratio of precipitation change ranges from −14.3% to 12.4%, and the contribution ratio of evapotranspiration change ranges from −0.1% to 0.6%. For the entire upper Yangtze River basin, the contribution ratios of human activities to the reduction of SSL during change period I and change period II are 87.5% and 95.1%, respectively, while those of climate change are 12.4% and 4.9%, respectively. Human activities play an absolutely dominant role in the reduction of SSL in the upper Yangtze River. The results of this study can provide guidance for the scientific management of river reaches with concentrated large-scale reservoirs in the upper Yangtze River and also offer references for the formulation of management measures for similar rivers worldwide. Full article
Show Figures

Figure 1

11 pages, 2444 KB  
Review
Birt–Hogg–Dubé Syndrome: A Mini Review of the Clinical Manifestations, Investigation, and Management
by Christina Ntinidi, Ioannis Tomos, Andreas M. Matthaiou, Nikoleta Bizymi and Adamantia Liapikou
J. Pers. Med. 2025, 15(12), 583; https://doi.org/10.3390/jpm15120583 - 1 Dec 2025
Viewed by 1549
Abstract
Birt–Hogg–Dubé (BHD) syndrome is a rare genetic disease, inherited in an autosomal dominant manner, that was first described in the mid-1970s and occurs due to pathogenic variants in the folliculin gene (FLCN) on chromosome 17p11.2. The syndrome has numerous clinical manifestations [...] Read more.
Birt–Hogg–Dubé (BHD) syndrome is a rare genetic disease, inherited in an autosomal dominant manner, that was first described in the mid-1970s and occurs due to pathogenic variants in the folliculin gene (FLCN) on chromosome 17p11.2. The syndrome has numerous clinical manifestations and primarily affects the lungs, kidneys, and skin. As far as the pulmonary features are concerned, more than 80% of patients appear to develop bilateral pulmonary cysts located in the lower lung zones, in the subpleural area, with cumulative risk of spontaneous pneumothorax depending on the number of cysts in the lungs. Another serious feature of the syndrome is the increased risk of renal cell carcinoma, which is often an incidental finding on screening or medical imaging. Cutaneous manifestations include benign fibrofolliculomas, trichodiscomas, and acrochordons (skin tags), which primarily affect the patients’ emotional status as a result of their cosmetic defects. BHD syndrome is generally an underdiagnosed condition due to the great variability of its clinical picture, thus highlighting the importance of genetic testing for FLCN mutations in suspected cases. The application of ERN GENTURIS guidelines in clinical practice can facilitate early, accurate diagnosis of the disease and optimal personalized management of the patients. Full article
(This article belongs to the Special Issue Novel Challenges and Advances in Respiratory Diseases)
Show Figures

Figure 1

21 pages, 4758 KB  
Article
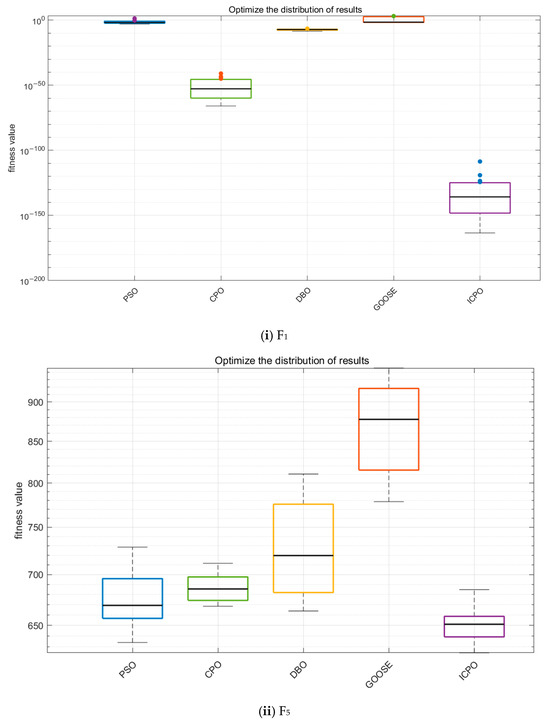
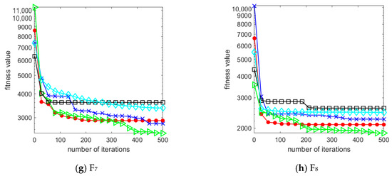
An Improved Crested Porcupine Optimizer for Path Planning of Mobile Robot
by Chenhui Xing, Bo Tang, Guanhua Xu and Hongyu Wu
Appl. Sci. 2025, 15(23), 12595; https://doi.org/10.3390/app152312595 - 27 Nov 2025
Cited by 2 | Viewed by 600
Abstract
To address the problem of easily falling into local optimization and low convergence accuracy in the path planning tasks of mobile robots, an Improved Crested Porcupine Optimizer (ICPO) based on chaotic mapping is proposed. The ICPO algorithm employs a three-step optimization process. First, [...] Read more.
To address the problem of easily falling into local optimization and low convergence accuracy in the path planning tasks of mobile robots, an Improved Crested Porcupine Optimizer (ICPO) based on chaotic mapping is proposed. The ICPO algorithm employs a three-step optimization process. First, it utilizes SPM, a piecewise linear chaotic initialization, to optimize the population thereby enhancing its diversity and global coverage. Second, the Cauchy Distribution Inverse Cumulative Operator is incorporated to prevent convergence to local optima and to accelerate the overall convergence rate. Finally, the Gaussian mutation is applied to strengthen ICPO’s local exploitation capabilities. Comparative analysis of five algorithms (PSO, DBO, GOOSE, CPO, and ICPO) is conducted using eight standard benchmark functions. Results demonstrate that ICPO achieves a faster convergence rate and superior convergence accuracy. Furthermore, in path planning experiments within 20 × 20 and 40 × 40 grid maps, ICPO reduced the path length by 4.53% and 8.99%, respectively, compared to the CPO algorithm. Full article
(This article belongs to the Section Robotics and Automation)
Show Figures

Figure 1

20 pages, 327 KB  
Review
Immune Checkpoint Blockade Therapy for Advanced Cutaneous Squamous Cell Carcinoma in Immunosuppressed Patients, Transplant Recipients, and Individuals with Hereditary Syndromes: A Narrative Review
by Marta Pabianek, Aleksandra Lesiak, Joanna Narbutt, Branka Marinovic and Magdalena Ciazynska
Cancers 2025, 17(22), 3681; https://doi.org/10.3390/cancers17223681 - 17 Nov 2025
Viewed by 1042
Abstract
Cutaneous squamous cell carcinoma (cSCC) is the second most common skin cancer, with incidence steadily increasing due to cumulative ultraviolet (UV) exposure, impaired immune surveillance, and chronic tissue damage. While most cases are effectively managed with surgical excision, a subset progress to locally [...] Read more.
Cutaneous squamous cell carcinoma (cSCC) is the second most common skin cancer, with incidence steadily increasing due to cumulative ultraviolet (UV) exposure, impaired immune surveillance, and chronic tissue damage. While most cases are effectively managed with surgical excision, a subset progress to locally advanced or metastatic disease, associated with high recurrence rates, limited curative options, and poor prognosis. The introduction of immune checkpoint inhibitors (ICIs) targeting the PD-1/PD-L1 axis has significantly altered the management of advanced cSCC. Cemiplimab and pembrolizumab are now established systemic therapies, producing durable responses in a proportion of patients. These outcomes reflect the typically high tumor mutational burden and immunogenic microenvironment of cSCC. However, therapeutic decision-making remains particularly complex in several high-risk populations, including solid organ transplant recipients at risk of allograft rejection, patients with chronic dermatologic disorders or non-healing wounds that predispose to carcinogenesis, and individuals with rare hereditary syndromes such as recessive dystrophic epidermolysis bullosa. These so-called challenging populations are frequently excluded from pivotal trials, resulting in limited evidence regarding efficacy, safety, and optimal treatment strategies. This review summarizes current evidence on the management of advanced cSCC in high-risk and underserved patient groups, integrating trial data, real-world evidence, and contemporary guidelines. It also highlights key gaps in knowledge and outlines future directions, with particular focus on the interplay between host immune status, tumor biology, and therapeutic response. Full article
(This article belongs to the Section Cancer Immunology and Immunotherapy)
Back to TopTop