Sign in to use this feature.

Years

Between: -

Subjects

remove_circle_outline
remove_circle_outline
remove_circle_outline
remove_circle_outline
remove_circle_outline
remove_circle_outline
remove_circle_outline
remove_circle_outline
remove_circle_outline

Journals

Article Types

Countries / Regions

Search Results (201)

Search Parameters:
Keywords = copper plating surface

Order results
Result details
Results per page
Select all
Export citation of selected articles as:
11 pages, 3561 KB  
Article
Effect of Graphene on Interfacial Microstructure and Thermal Conductivity in Copper/Aluminum Composite Plate
by Yifan Liu, Zhaoyang Yang, Yusha Shen, Rui Wang and Lianbo Wang
Coatings 2025, 15(12), 1468; https://doi.org/10.3390/coatings15121468 - 11 Dec 2025
Abstract
This study prepared Copper(Cu)/Aluminum(Al) composite materials using hot-rolling technology. The influence of annealing treatment on the interfacial microstructure was systematically investigated, thereby elucidating the correlation between microstructural characteristics and thermal conductivity. The results demonstrated that annealing treatment induced the formation of a continuous [...] Read more.
This study prepared Copper(Cu)/Aluminum(Al) composite materials using hot-rolling technology. The influence of annealing treatment on the interfacial microstructure was systematically investigated, thereby elucidating the correlation between microstructural characteristics and thermal conductivity. The results demonstrated that annealing treatment induced the formation of a continuous intermetallic compound layer at the Cu/Al interface, with its thickness increasing proportionally to elevated temperature and prolonged duration. After spraying graphene onto the aluminum surface via ultrasonic spraying technology, followed by rolling and an annealing treatment, the intermetallic compounds at the Cu/Al interface exhibited a discontinuous distribution pattern. When annealed at 300 °C, the thermal conductivity of the Cu/Al composite plate increased progressively with prolonged duration. For instance, in the absence of graphene, the value increased from 39.288 to 61.827; when graphene was applied via ultrasonic spraying with a spraying distance of 1 mm, the value increased from 49.884 to 73.203, whereas at 400 °C annealing, it exhibited a notable decline as annealing time extended. Graphene at the interface inhibits the diffusion of Cu/Al atoms, reduces the formation of intermetallic compounds, establishes efficient thermal conduction paths, and ultimately enhances the thermal conductivity of the composite material. Full article
Show Figures

Figure 1

17 pages, 3850 KB  
Article
Effect of Cryogenic Treatment on Microstructural Evolution and Tribological Properties of Ni-Co-Cr/SiC Nanocomposite Coatings
by Xinyi Yuan, Rongcheng Sheng, Yizhe Du, Dengfu Chen, Mujun Long and Huamei Duan
Metals 2025, 15(12), 1320; https://doi.org/10.3390/met15121320 - 29 Nov 2025
Viewed by 203
Abstract
To address the demands of modern high-speed and high-quality continuous casting production, depositing high-performance coatings on the surface of mold copper plates is critically important for extending the service life of continuous casting molds. To this end, a Ni-Co-Cr/SiC nanocomposite coating was developed, [...] Read more.
To address the demands of modern high-speed and high-quality continuous casting production, depositing high-performance coatings on the surface of mold copper plates is critically important for extending the service life of continuous casting molds. To this end, a Ni-Co-Cr/SiC nanocomposite coating was developed, and cryogenic treatment was applied to further improve its hardness and wear resistance. This work systematically investigates the microstructural evolution and performance enhancement of the Ni-Co-Cr/SiC nanocomposite coating under different cryogenic treatment parameters, with special emphasis on the effects of treatment temperature on the coating’s microstructure, hardness, wear resistance, and adhesion to the substrate. The results demonstrate that decreasing the cryogenic treatment temperature and extending the holding time effectively refine the grains of the coating while simultaneously promoting the accumulation of microstrain and dislocation density. These changes lead to significant improvements in hardness, wear resistance, and interfacial bonding performance. Specifically, after direct immersion at −196 °C for 16 h, the coating reached a hardness value of 946.5 HV, and the wear rate was reduced to 0.032 mm3·(N·m)−1, representing only 54.6% of that of the untreated coating. The dominant wear mechanism transitioned to a mixed mode of abrasive wear and oxidative wear. Moreover, the cryogenic treatment enhanced the stability of the coating-substrate adhesion. Full article
(This article belongs to the Special Issue Surface Treatments and Coating of Metallic Materials)
Show Figures

Figure 1

22 pages, 16300 KB  
Article
Multi-Field Coupling and Data-Driven Based Optimization of Elliptical Nozzle Cooling
by Fengli Yue, Yang Shao, Hongyun Sun, Jinsong Liu, Dayong Chen, Haitao Cui and Yan Jia
Fluids 2025, 10(12), 313; https://doi.org/10.3390/fluids10120313 - 29 Nov 2025
Viewed by 160
Abstract
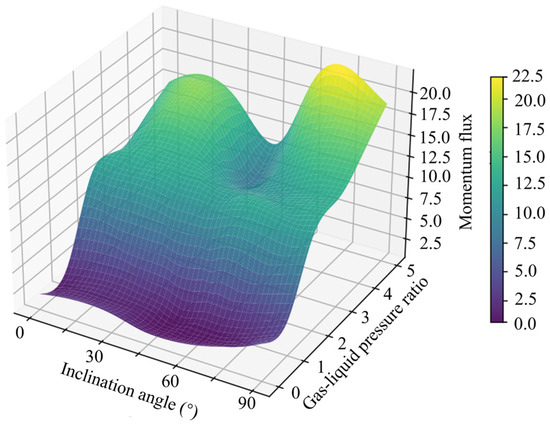
During the three-roll planetary rolling process, the cooling efficiency of conventional nozzle structures is insufficient, which can easily lead to copper adhesion on the roll surface, product quality degradation, and shortened roll lifespan, thereby limiting both the quality of copper tubes and overall [...] Read more.
During the three-roll planetary rolling process, the cooling efficiency of conventional nozzle structures is insufficient, which can easily lead to copper adhesion on the roll surface, product quality degradation, and shortened roll lifespan, thereby limiting both the quality of copper tubes and overall production efficiency. To enhance the performance of the cooling system, this study proposes a novel elliptical nozzle structure and develops a multiphysics coupled model to reveal the effects of nozzle inclination angle and gas–liquid pressure ratio on cooling behavior. An independently constructed experimental platform was used to measure jet flow patterns and the surface temperature of alloy steel plates under various parameter conditions, thereby validating the accuracy and reliability of the numerical model. The results indicate that, under the same effective outlet area, the elliptical nozzle significantly increases jet exit velocity and overall cooling efficiency. To address the issues of high computational cost and low efficiency during optimization using finite element simulations, a high-accuracy surrogate model based on a Random Forest (RF) algorithm was introduced, and the geometric parameters of the nozzle were globally optimized using a Particle Swarm Optimization (PSO) algorithm. Ultimately, the combined RF-PSO strategy improved the average heat transfer coefficient by 55.57%, markedly enhancing the roll cooling performance and providing a solid theoretical basis and methodological reference for high-performance cooling system design and precision copper tube manufacturing. Full article
Show Figures

Figure 1

17 pages, 3872 KB  
Article
Computational Analysis of Thermal Performance of Heat Sinks with Foam Structures
by Welteji Iticha and Tomasz Stręk
Materials 2025, 18(23), 5280; https://doi.org/10.3390/ma18235280 - 22 Nov 2025
Viewed by 502
Abstract
Ensuring efficient heat transfer to maintain optimal system performance is crucial in modern electronics owing to the rise of artificial intelligence. In the last few decades, scholars have explored various strategies for enhancing electronic device thermal management, focusing on the effects of fin [...] Read more.
Ensuring efficient heat transfer to maintain optimal system performance is crucial in modern electronics owing to the rise of artificial intelligence. In the last few decades, scholars have explored various strategies for enhancing electronic device thermal management, focusing on the effects of fin shape, dimension, and spacing on heat transfer efficiency. Recent advancements in additive manufacturing have enabled fabrication of complex geometries, such as triply periodic minimal surfaces (TPMSs), which represent promising alternatives to conventional designs. This study presents a comparative analysis of the thermal performance and fluid flow characteristics of two foam TPMS-based (gyroid and primitive) heat sinks with wavy fins made using aluminum foam. COMSOL Multiphysics version 5.1, employed along with the implemented finite element method, was used to simulate convective heat transfer, pressure drop, the Nusselt number, and thermal performance at different fluid velocities along the length of a channel. The foam structure was heated by a copper plate, and the Nusselt number was evaluated over porosity levels from 0.1 to 0.9. A porosity between 0.5 and 0.7 offers the best balance of cooling performance and pumping power. Foam TPMS heat sinks, particularly those with a gyroid structure, provide enhanced thermal dissipation owing to their high surface area-to-volume ratio and interconnected geometry. Our findings confirm that TPMS heat sinks have promising potential for use as alternatives to conventional wavy designs for advanced thermal management applications. Full article
(This article belongs to the Special Issue Modelling of Deformation Characteristics of Materials or Structures)
Show Figures

Figure 1

15 pages, 7376 KB  
Article
Effect of Laser Cladding Technology on the Microstructure and Wear Properties of Gradient Coating on Crystallizer Copper Plate
by Dan Liu, Weijun Liu, Xingyu Jiang and Ao Liu
Coatings 2025, 15(11), 1300; https://doi.org/10.3390/coatings15111300 - 6 Nov 2025
Viewed by 432
Abstract
Under harsh conditions involving high temperatures and severe abrasion, the copper plates of continuous casting crystallizers are highly susceptible to wear failure and thermal cracking. In this study, a Ni60AA transition layer is applied onto the copper plate via laser cladding to enhance [...] Read more.
Under harsh conditions involving high temperatures and severe abrasion, the copper plates of continuous casting crystallizers are highly susceptible to wear failure and thermal cracking. In this study, a Ni60AA transition layer is applied onto the copper plate via laser cladding to enhance the interfacial bonding properties. To further reinforce the coating, TiB2 is incorporated into the nickel-based transition layer, leading to a significant improvement in overall performance. With the addition of 3 wt.% TiB2 and 0.5% Y2O3, the coating microstructure undergoes notable refinement: coarse columnar grains transform into fine equiaxed grains, and the microhardness reaches 1225.3 HV0.1. The coating demonstrates excellent wear resistance, exhibiting a minimal wear depth of 97.09 μm, a low weight loss of 0.0089 g, and a stable friction coefficient of 0.32. By synergistically optimizing the transition layer and incorporating TiB2, this study successfully enhances the surface strength and wear resistance of the crystallizer copper plate, offering a reliable technical approach for extending the service life of continuous casting crystallizers. Full article
(This article belongs to the Special Issue Advances in Laser Surface Treatment Technologies)
Show Figures

Figure 1

23 pages, 3703 KB  
Article
Pd-Modified CoP and CoFeP Catalysts as Efficient Bifunctional Catalysts for Water Splitting
by Huma Amber, Aldona Balčiūnaitė, Virginija Kepenienė, Giedrius Stalnionis, Zenius Mockus, Loreta Tamašauskaitė-Tamašiūnaitė and Eugenijus Norkus
Catalysts 2025, 15(11), 1035; https://doi.org/10.3390/catal15111035 - 2 Nov 2025
Viewed by 589
Abstract
Developing highly efficient and stable electrocatalysts from inexpensive and earth-abundant elements represents a significant advancement in overall water splitting (OWS). This study focuses on the synthesis and evaluation of palladium-modified cobalt–phosphorus (PdCoP) and cobalt–iron–phosphorus (PdCoFeP) coatings for use as electrocatalysts in hydrogen evolution [...] Read more.
Developing highly efficient and stable electrocatalysts from inexpensive and earth-abundant elements represents a significant advancement in overall water splitting (OWS). This study focuses on the synthesis and evaluation of palladium-modified cobalt–phosphorus (PdCoP) and cobalt–iron–phosphorus (PdCoFeP) coatings for use as electrocatalysts in hydrogen evolution (HER), oxygen evolution (OER) and overall water splitting (OWS) in alkaline media. A facile electroless plating method is adopted to deposit the CoP and CoFeP coatings onto a copper surface (Cu sheet), with sodium hypophosphite (NaH2PO2) acting as the reducing agent. Pd crystallites were incorporated on CoP and CoFeP coatings using the galvanic displacement method. This study details morphological characterization (using SEM, EDX, and XRD), as well as electrochemical activity testing, for both HER and OER using linear sweep voltammetry (LSV) at different temperatures. The stability of the catalysts for HER was evaluated using chronoamperometry (CA) and chronopotentiometry (CP). The results show that the Pd-modified CoFeP and CoP catalysts exhibited lower overpotentials of 207 and 227 mV, respectively, for HER and 396 mV for OER at a current density of 10 mA cm−2 compared to the unmodified CoFeP and CoP catalysts. The innovation achieved in this study lies in combining a facile, low-cost deposition method (electroless plating followed by galvanic displacement) with a novel, highly effective ternary composition (PdCoFeP) that exploits synergistic electronic and morphological effects to achieve superior bifunctional performance for alkaline OWS, achieving a low cell voltage of 1.69 V at a current density of 10 mA cm−2. Overall, this research demonstrates that these synthesized materials are promising candidates for sustainable and economical hydrogen production. Full article
(This article belongs to the Special Issue Recent Advances in Energy-Related Materials in Catalysts, 3rd Edition)
Show Figures

Figure 1

14 pages, 5975 KB  
Article
Impact Butt Joining of Copper C1100 and Aluminum Alloy A6061-T6 Plates and Rolling of Joined Plate
by Minoru Yamashita, Yuya Nishimura and Makoto Nikawa
Metals 2025, 15(11), 1207; https://doi.org/10.3390/met15111207 - 29 Oct 2025
Viewed by 395
Abstract
Impact butt joining of copper 5 mm thick C1100 and aluminum alloy A6061-T6 plates was carried out, according to a method recently devised by one of the authors. The joining method results in newly created surfaces being obtained by very large plastic deformation [...] Read more.
Impact butt joining of copper 5 mm thick C1100 and aluminum alloy A6061-T6 plates was carried out, according to a method recently devised by one of the authors. The joining method results in newly created surfaces being obtained by very large plastic deformation under high-speed conditions, wherein the two materials are subjected simultaneously to compression and a high-speed sliding motion. The new surface of C1100 is created by expansion, whereas for A6061-T6, the new surface is created by removal of the softened surface layer. This layer forms a foil, which is extruded from the joining interface by the compressive force. Using a high-speed video camera, the formation of the foil was observed to take place even in the early stages of deformation. The distribution of joint efficiency was evaluated by examining the joint boundary. When the compressive force increased, some specimens fractured in the C1100 region. The zone affected by the joining process was highly limited, to within 0.8 mm of the boundary; i.e., 20% of the plate thickness. The thickness of the joined plate was reduced by repetitive rolling operations, in which the true strain was about −1. This indicates that the layer of the intermetallic compounds is very thin. Once rolled, the joined sheet exhibited a maximum joint efficiency of 99.3%. In cases where the joining efficiency exceeded 80%, the main region exhibiting fracturing was in the A6061-T6 alloy. Full article
(This article belongs to the Special Issue Advances in Microstructure and Properties of Light Alloys)
Show Figures

Figure 1

16 pages, 4467 KB  
Article
Study on the Ablation of Slide Plate by Pantograph–Catenary Arc Based on Pantograph Slide Material
by Rui Tian, Shao-Jie Wang, Mai Lu and Jie Li
Infrastructures 2025, 10(10), 276; https://doi.org/10.3390/infrastructures10100276 - 15 Oct 2025
Viewed by 407
Abstract
The ablation of pantograph sliders caused by pantograph–catenary arcing is a critical issue in the operation of pantograph–catenary systems. The arc discharge induces localized high temperatures that lead to the melting and even evaporation of the slider material, resulting in material loss. This [...] Read more.
The ablation of pantograph sliders caused by pantograph–catenary arcing is a critical issue in the operation of pantograph–catenary systems. The arc discharge induces localized high temperatures that lead to the melting and even evaporation of the slider material, resulting in material loss. This phenomenon directly impacts the power supply safety and economic efficiency of trains. This study establishes a mathematical model of pantograph–catenary arcing based on Magneto Hydro Dynamics (MHD) theory, incorporating the physical parameters of the arc as well as electromagnetic, thermal, and radiative phenomena. Through secondary development using COMSOL 6.2 finite element software, the temperature distribution within the arc column region and on the surfaces of the electrode plates in pantograph–catenary arcing was simulated. The effects of the pantograph–catenary gap and slider material on arc ablation were investigated. The results show that with the increase in the distance between the pantograph and catenary, the arc shape lengthens gradually, and the high-temperature area inside the slider material shrinks gradually. When the arc duration is constant, the copper-impregnated carbon slider exhibits the best ablation resistance. Increasing the sublimation latent heat of the slider material enhances its anti-ablation performance. The findings of this study provide a valuable reference for understanding and mitigating surface arc erosion in pantograph–catenary systems. Full article
Show Figures

Figure 1

20 pages, 5333 KB  
Article
Shielded Capacitive Power Transmission (S-CPT) System Using Cast Iron
by Eiichi Tateishi, Hao Chen, Naoki Kojo, Yuta Ide, Nobuhiro Kai, Toru Hashimoto, Kota Uchio, Tatsuya Yamaguchi, Reiji Hattori and Haruichi Kanaya
Energies 2025, 18(19), 5288; https://doi.org/10.3390/en18195288 - 6 Oct 2025
Viewed by 574
Abstract
In this study, we investigate a shielded capacitive power transfer (S-CPT) system that employs cast iron road covers as transmission electrodes for both dynamic and static charging of electric vehicles. Coupling capacitance was evaluated from S-parameters using copper, aluminum, ductile cast iron, structural [...] Read more.
In this study, we investigate a shielded capacitive power transfer (S-CPT) system that employs cast iron road covers as transmission electrodes for both dynamic and static charging of electric vehicles. Coupling capacitance was evaluated from S-parameters using copper, aluminum, ductile cast iron, structural steel, and carbon steel electrodes, with additional comparisons of ductile iron surface conditions (casting, machining, electrocoating). In a four-plate S-CPT system operating at 13.56 MHz, capacitance decreased with electrode spacing, yet ductile cast iron reached ~70 pF at 2 mm, demonstrating a performance comparable to that of copper and aluminum despite having higher resistivity and permeability. Power transmission experiments using a Ø330 mm cast iron cover meeting road load standards achieved 58% efficiency at 100 W, maintained around 40% efficiency at power levels above 200 W, and retained 45% efficiency under 200 mm lateral displacement, confirming robust dynamic performance. Simulations showed that shield electrodes enhance grounding, stabilize potential, and reduce return-path impedance. Finite element analysis confirmed that the ductile cast iron electrodes can withstand a 25-ton design load. The proposed S-CPT concept integrates an existing cast iron infrastructure with thin aluminum receiving plates, enabling high efficiency, mechanical durability, EMI mitigation, and reduced installation costs, offering a cost-effective approach to urban wireless charging. Full article
(This article belongs to the Section E: Electric Vehicles)
Show Figures

Figure 1

12 pages, 3170 KB  
Article
Electroless Pd Nanolayers for Low-Temperature Hybrid Cu Bonding Application: Comparative Analysis with Electroplated Pd Nanolayers
by Dongmyeong Lee, Byeongchan Go, Keiyu Komamura and Sarah Eunkyung Kim
Electronics 2025, 14(19), 3814; https://doi.org/10.3390/electronics14193814 - 26 Sep 2025
Viewed by 447
Abstract
As 3D stacking technologies advance, low-temperature hybrid Cu bonding has become essential for fine-pitch integration. This study focuses on evaluating Pd nanolayers deposited by electroless plating (ELP) on Cu surfaces and compares them to electroplated (EP) Pd to assess their suitability for hybrid [...] Read more.
As 3D stacking technologies advance, low-temperature hybrid Cu bonding has become essential for fine-pitch integration. This study focuses on evaluating Pd nanolayers deposited by electroless plating (ELP) on Cu surfaces and compares them to electroplated (EP) Pd to assess their suitability for hybrid bonding. Pd nanolayers (5~7 nm) were deposited on Cu films, and their surface morphology, crystallinity, and chemical composition were characterized using AFM, TEM, GIXRD, and XPS. EP-Pd layers exhibited lower roughness and larger grain size, acting as effective Cu diffusion barriers. In contrast, ELP-Pd layers showed small grains, higher surface roughness, and partial Cu diffusion and oxidation. At 200 °C, both Pd layers enabled bonding, but ELP-Pd samples achieved more uniform and continuous interfaces with thinner copper oxide layers. Shear testing revealed that ELP-Pd samples exhibited higher average bonding strength (20.58 MPa) and lower variability compared to EP-Pd (16.47 MPa). The improved bonding performance of ELP-Pd is attributed to its grain-boundary-driven diffusion and uniform interface formation. These findings highlight the potential of electroless Pd as a passivation layer for low-temperature hybrid Cu bonding and underscore the importance of optimizing pre-bonding surface treatments for improved bonding quality. Full article
(This article belongs to the Section Electronic Materials, Devices and Applications)
Show Figures

Figure 1

16 pages, 12574 KB  
Article
Enhanced Performance of Gold Nanoparticle-Modified Nickel–Iron Coatings for Sodium Borohydride Electrooxidation
by Huma Amber, Aušrinė Zabielaitė, Aldona Balčiūnaitė, Antanas Nacys, Dmytro Shyshkin, Birutė Šimkūnaitė-Stanynienė, Zenius Mockus, Jūratė Vaičiūnienė, Loreta Tamašauskaitė-Tamašiūnaitė and Eugenijus Norkus
Crystals 2025, 15(9), 819; https://doi.org/10.3390/cryst15090819 - 19 Sep 2025
Cited by 1 | Viewed by 598
Abstract
The Ni-Fe coatings modified with AuNPs were deposited on the flexible copper-coated polyimide (Cu/PI) surface using electroless metal plating, while the galvanic displacement technique was applied to modify the surface of NiFe coatings by a small content of AuNPs in the range of [...] Read more.
The Ni-Fe coatings modified with AuNPs were deposited on the flexible copper-coated polyimide (Cu/PI) surface using electroless metal plating, while the galvanic displacement technique was applied to modify the surface of NiFe coatings by a small content of AuNPs in the range of 16.5 µgAu cm−2. AuNPs of a few nanometers in size were deposited on the NiFe/Cu/PI surface by immersing it in a solution containing AuCl4 ions. The electrooxidation of sodium borohydride was evaluated in a 1 M NaOH solution containing 0.05 M of sodium borohydride using cyclic voltammetry, chronoamperometry, and chronopotentiometry. In addition, the performance and stability of the NiFe/Cu/PI and AuNPs-NiFe/Cu/PI catalysts were evaluated for potential use in a direct NaBH4-H2O2 fuel cell. The NiFe coating modified with AuNPs demonstrated significantly higher electrocatalytic activity towards the oxidation of sodium borohydride as compared to bare Au or unmodified NiFe/Cu/PI. Furthermore, it exhibited a superior power density of 89.7 mW cm−2 at room temperature and operational stability under alkaline conditions, while the NiFe anode exhibited 73.1 mW cm−2. These results suggest that the AuNPs-modified NiFe coating has great potential as a material for use in direct borohydride fuel cells (DBFCs) applications involving the oxidation of sodium borohydride. Full article
(This article belongs to the Special Issue Advances and Perspectives in Noble Metal Nanoparticles)
Show Figures

Figure 1

16 pages, 13876 KB  
Article
Effect of Electrochemical Hydrogen Charging on the Notch Tensile Properties of Natural Gas Transportation Pipeline Steel with Electroless-Plated Coatings and Their Adhesiveness Characterization
by Ladislav Falat, Lucia Čiripová, Viktor Puchý, Ivan Petrišinec and Róbert Džunda
Metals 2025, 15(9), 1032; https://doi.org/10.3390/met15091032 - 18 Sep 2025
Cited by 1 | Viewed by 1044
Abstract
Traditional natural gas transportation pipeline steels, such as API 5L X42 grade and the higher grades, are currently receiving a lot of attention in terms of their potential implementation in hydrogen transmission infrastructure. However, the microstructural constitution of steels with a ferrite phase [...] Read more.
Traditional natural gas transportation pipeline steels, such as API 5L X42 grade and the higher grades, are currently receiving a lot of attention in terms of their potential implementation in hydrogen transmission infrastructure. However, the microstructural constitution of steels with a ferrite phase and the presence of welds, with their non-polyhedral “sharp” microstructures acting as structural notches, make these steels prone to hydrogen embrittlement (HE). In this work, the notch tensile properties of copper- or nickel–phosphorus-coated API 5L X42 grade pipeline steel were studied in both the non-hydrogenated and electrochemically hydrogen-charged conditions in order to estimate anticipated protective effects of the coatings against HE. Both the Cu and Ni–P coatings were produced using conventional coating solutions for electroless plating. To study the material systems’ HE sensitivity, electrochemical hydrogenation of cylindrical, circumferentially V-notched tensile specimens was performed in a solution of hydrochloric acid with the addition of hydrazine sulfate. Notch tensile tests were carried out for the uncoated steel, Cu-coated steel, and Ni–P-coated steel at room temperature. The HE resistance was evaluated by determination of the hydrogen embrittlement index (HEI) in terms of relative changes in notch tensile properties related to the non-hydrogenated and hydrogen-charged material conditions. The results showed that pure electroless deposition of both coatings induced some degree of HE, likely due to the presence of hydrogen ions in the coating solutions used and the lower surface quality of the coatings. However, after the electrochemical hydrogen charging, the coated systems showed improved HE resistance (lower HEIRA values) compared with the uncoated material. This behavior was accompanied by the hydrogen-induced coatings’ deterioration, including the occurrence of superficial defects, such as bubbling, flocks, and spallation. Thus, further continuing research is needed to improve the coatings’ surface quality and long-term durability, including examination of their performance under pressurized hydrogen gas charging conditions. Full article
(This article belongs to the Special Issue Hydrogen Embrittlement of Metals: Behaviors and Mechanisms)
Show Figures

Figure 1

15 pages, 2876 KB  
Review
Permanent Cathode Technologies in Copper Electrowinning: Development and Status
by Kalin Naidoo and Kathryn C. Sole
Minerals 2025, 15(9), 957; https://doi.org/10.3390/min15090957 - 8 Sep 2025
Viewed by 2486
Abstract
The replacement of copper metal starter-sheet cathodes with the use of permanent cathode technology, in which the target metal is plated onto an inert blank template, has enabled significant benefits in the copper electrowinning process. These include the application of significantly higher current [...] Read more.
The replacement of copper metal starter-sheet cathodes with the use of permanent cathode technology, in which the target metal is plated onto an inert blank template, has enabled significant benefits in the copper electrowinning process. These include the application of significantly higher current density, which reduces tankhouse footprint and increases process intensity per unit area; improved operator safety with less reliance on manual electrode handling; and the implementation of process automation and robotics. Cathodes of >99.99% chemical purity and with a smooth and aesthetic surface morphology are consistently produced. This review considers the evolution and development of the permanent cathode process, its commercial adoption across the global copper industry, and the current technology status. Full article
Show Figures

Figure 1

27 pages, 9585 KB  
Article
Shock Response Characteristics and Equation of State of High-Mass-Fraction Pressed Tungsten Powder/Polytetrafluoroethylene-Based Composites
by Wei Zhu, Weihang Li, Wenbin Li, Xiaoming Wang and Wenjin Yao
Polymers 2025, 17(17), 2309; https://doi.org/10.3390/polym17172309 - 26 Aug 2025
Cited by 1 | Viewed by 705
Abstract
Tungsten powder/polytetrafluoroethylene (W/PTFE) composites have the potential to replace traditional metallic materials as casings for controllable power warheads. Under explosive loading, they generate high-density and relatively uniformly distributed metal powder particles, thereby enhancing close-range impact effects while reducing collateral damage. To characterize the [...] Read more.
Tungsten powder/polytetrafluoroethylene (W/PTFE) composites have the potential to replace traditional metallic materials as casings for controllable power warheads. Under explosive loading, they generate high-density and relatively uniformly distributed metal powder particles, thereby enhancing close-range impact effects while reducing collateral damage. To characterize the material’s response under impact loading, plate impact tests were conducted to investigate the effects of tungsten content (70 wt%, 80 wt%, and 90 wt%) and tungsten particle size (200 μm, 400 μm, and 600 μm) on the impact behavior of the composites. The free surface velocity histories of the target plates were measured using a 37 mm single-stage light gas gun and a full-fiber laser interferometer (DISAR), enabling the determination of the shock velocity–particle velocity relationship to establish the equation of state. Experimental data show a linear relationship between shock velocity and particle velocity, with the 80 wt% and 90 wt% composites exhibiting similar shock velocities. The fitted slope increases from 2.792 to 2.957 as the tungsten mass fraction rises from 70 wt% to 90 wt%. With particle size increasing from 200 μm to 600 μm, the slope decreases from 3.204 to 2.756, while c0 increases from 224.7 to 633.3. Comparison of the Hugoniot pressure curves of different specimens indicated that tungsten content significantly affects the impact behavior, whereas variations in tungsten particle size have a negligible influence on the Hugoniot pressure. A high tungsten content with small particle size (e.g., 90 wt% with ~200 μm) improves the overall compressive properties of composite materials. Based on the experimental results, a mesoscale finite element model consistent with the tests was developed. The overall error between the numerical simulations and experimental results was less than 5% under various conditions, thereby validating the accuracy of the model. Numerical simulations revealed the coupling mechanism between tungsten particle plastic deformation and matrix flow. The strong rarefaction unloading effect initiated at the composite’s free surface caused matrix spallation and jetting. Multiple wave systems were generated at the composite–copper interface, whose interference and coupling ultimately resulted in a nearly uniform macroscopic pressure field. Full article
(This article belongs to the Section Polymer Composites and Nanocomposites)
Show Figures

Figure 1

17 pages, 3157 KB  
Article
Research on Online Traceability Methods for the Causes of Longitudinal Surface Crack in Continuous Casting Slab
by Junqiang Cong, Qiancheng Lv, Zihao Fan, Haitao Ling and Fei He
Materials 2025, 18(15), 3695; https://doi.org/10.3390/ma18153695 - 6 Aug 2025
Viewed by 661
Abstract
In the casting and rolling production process, surface longitudinal cracks are a typical casting defect. Tracing the causes of longitudinal cracks online and controlling the key parameters leading to their formation in a timely manner can enhance the stability of casting and rolling [...] Read more.
In the casting and rolling production process, surface longitudinal cracks are a typical casting defect. Tracing the causes of longitudinal cracks online and controlling the key parameters leading to their formation in a timely manner can enhance the stability of casting and rolling production. To this end, the influencing factors of longitudinal cracks were analyzed, a data integration storage platform was constructed, and a tracing model was established using empirical rule analysis, statistical analysis, and intelligent analysis methods. During the initial production phase of a casting machine, longitudinal cracks occurred frequently. The tracing results using the LightGBM-SHAP method showed that the relative influence of the narrow left wide inner heat flow ratio of the mold was significant, followed by the heat flow difference on the wide symmetrical face of the mold and the superheat of the molten steel, with weights of 0.135, 0.066, and 0.048, respectively. Based on the tracing results, we implemented online emergency measures. By controlling the cooling intensity of the mold, we effectively reduced the recurrence rate of longitudinal cracks. Root cause analysis revealed that the total hardness of the mold-cooling water exceeded the standard, reaching 24 mg/L, which caused scaling on the mold copper plates and uneven cooling, leading to the frequent occurrence of longitudinal cracks. After strictly controlling the water quality, the issue of longitudinal cracks was brought under control. The online application of the tracing method for the causes of longitudinal cracks has effectively improved efficiency in resolving longitudinal crack problems. Full article
(This article belongs to the Special Issue Advanced Sheet/Bulk Metal Forming)
Show Figures

Figure 1

Back to TopTop