Sign in to use this feature.

Years

Between: -

Subjects

remove_circle_outline
remove_circle_outline
remove_circle_outline
remove_circle_outline
remove_circle_outline
remove_circle_outline
remove_circle_outline
remove_circle_outline
remove_circle_outline

Journals

remove_circle_outline
remove_circle_outline
remove_circle_outline
remove_circle_outline
remove_circle_outline
remove_circle_outline

Article Types

Countries / Regions

Search Results (182)

Search Parameters:
Keywords = cooperative manipulation

Order results
Result details
Results per page
Select all
Export citation of selected articles as:
30 pages, 4879 KB  
Article
Physical Modeling and Data-Driven Hybrid Control for Quadrotor-Robotic-Arm Cable-Suspended Payload Systems
by Lu Lu, Qihua Xiao, Shikang Zhou, Xinhai Wang and Yunhe Meng
Drones 2026, 10(1), 51; https://doi.org/10.3390/drones10010051 - 10 Jan 2026
Viewed by 197
Abstract
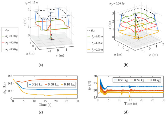
This work investigates a quadrotor equipped with dual-stage robotic arms and a cable-suspended payload, developing a unified methodology for modeling and control. A 10-DOF Lagrangian model captures vehicle-arm-payload coupling through structured mass matrices. A hierarchical control architecture combines SO(3)-based attitude regulation with cooperative [...] Read more.
This work investigates a quadrotor equipped with dual-stage robotic arms and a cable-suspended payload, developing a unified methodology for modeling and control. A 10-DOF Lagrangian model captures vehicle-arm-payload coupling through structured mass matrices. A hierarchical control architecture combines SO(3)-based attitude regulation with cooperative swing compensation via partial feedback linearization, exploiting coupling matrices to distribute control between platform and arm actuators. Model accuracy is enhanced through physics-informed system identification, achieving improved prediction correlation with bounded corrections. Lyapunov analysis establishes semi-global practical stability with explicit robustness bounds. High-fidelity simulations in MuJoCo demonstrate a 40–70% swing reduction compared to PD control across multiple scenarios, with low computational overhead at kHz-level control rates, making it suitable for embedded implementation. The framework provides a theoretical foundation and implementation guidelines for cooperative aerial manipulation systems. Full article
(This article belongs to the Special Issue Advanced Flight Dynamics and Decision-Making for UAV Operations)
Show Figures

Figure 1

25 pages, 14576 KB  
Article
Design and Experimental Validation of a Weeding Device Integrating Weed Stem Damage and Targeted Herbicide Application
by He Li, Chenxu Li, Jiajun Chai, Lele Wang, Zishang Yang, Yechao Yuan and Shangshang Cheng
Agronomy 2026, 16(2), 151; https://doi.org/10.3390/agronomy16020151 - 7 Jan 2026
Viewed by 179
Abstract
In view of the problems of high weed regeneration rate in traditional mechanical weeding and environmental risk in chemical weeding, a synergetic strategy of “mechanical damage + wound spraying mechanism” was proposed, and an intelligent weeding device combining synchronous cutting and spraying was [...] Read more.
In view of the problems of high weed regeneration rate in traditional mechanical weeding and environmental risk in chemical weeding, a synergetic strategy of “mechanical damage + wound spraying mechanism” was proposed, and an intelligent weeding device combining synchronous cutting and spraying was designed to enhance the efficacy of herbicides and reduce their use. Focusing on the physical characteristics of weeds and the cutting mechanism, the analysis of the weed-cutting system and the force characteristics of the cutting tool were conducted. Key factors affecting cutting quality were identified, and their respective value ranges were determined. A targeted spraying system was developed, featuring a conical nozzle, DC diaphragm pump, and electromagnetic control valve. The Delta parallel manipulator, equipped with both the cutting tool and nozzle, was designed, and a kinematic model was established for both its forward and inverse movements. Genetic algorithms were applied to optimize structural parameters, aiming to ensure effective coverage of typical weed distribution areas within the working space. A simulated environment measurement was built to verify the motion accuracy of the manipulator. Field experiments demonstrated that the equipment achieved an 81.5% wound weeding rate on malignant weeds in the seedling stage at an operating speed of 0.6 m/s, with a seedling injury rate below 5%. These results validate the high efficiency of the integrated mechanical cutting and targeted spraying system, offering a reliable technical solution for green and intelligent weed control in agriculture. This study fills the blank of only focusing on recognition accuracy or weeding rate under a single weeding method, but lacks a cooperative weeding operation. Full article
(This article belongs to the Special Issue Recent Advances in Legume Crop Protection—2nd Edition)
Show Figures

Figure 1

30 pages, 1992 KB  
Article
Biomimetic Approach to Designing Trust-Based Robot-to-Human Object Handover in a Collaborative Assembly Task
by S. M. Mizanoor Rahman
Biomimetics 2026, 11(1), 14; https://doi.org/10.3390/biomimetics11010014 - 27 Dec 2025
Viewed by 376
Abstract
We presented a biomimetic approach to designing robot-to-human handover of objects in a collaborative assembly task. We developed a human–robot hybrid cell where a human and a robot collaborated with each other to perform the assembly operations of a product in a flexible [...] Read more.
We presented a biomimetic approach to designing robot-to-human handover of objects in a collaborative assembly task. We developed a human–robot hybrid cell where a human and a robot collaborated with each other to perform the assembly operations of a product in a flexible manufacturing setup. Firstly, we investigated human psychology and biomechanics (kinetics and kinematics) for human-to-robot handover of an object in the human–robot collaborative set-up in three separate experimental conditions: (i) human possessed high trust in the robot, (ii) human possessed moderate trust in the robot, and (iii) human possessed low trust in the robot. The results showed that human psychology was significantly impacted by human trust in the robot, which also impacted the biomechanics of human-to-robot handover, i.e., human hand movement slowed down, the angle between human hand and robot arm increased (formed a braced handover configuration), and human grip forces increased if human trust in the robot decreased, and vice versa. Secondly, being inspired by those empirical results related to human psychology and biomechanics, we proposed a novel robot-to-human object handover mechanism (strategy). According to the novel handover mechanism, the robot varied its handover configurations and motions through kinematic redundancy with the aim of reducing potential impulse forces on the human body through the object during the handover when robot trust in the human was low. We implemented the proposed robot-to-human handover mechanism in the human–robot collaborative assembly task in the hybrid cell. The experimental evaluation results showed significant improvements in human–robot interaction (HRI) in terms of transparency, naturalness, engagement, cooperation, cognitive workload, and human trust in the robot, and in overall performance in terms of handover safety, handover success rate, and assembly efficiency. The results can help design and develop human–robot handover mechanisms for human–robot collaborative tasks in various applications such as industrial manufacturing and manipulation, medical surgery, warehouse, transport, logistics, construction, machine shops, goods delivery, etc. Full article
(This article belongs to the Special Issue Human-Inspired Grasp Control in Robotics 2025)
Show Figures

Figure 1

23 pages, 2160 KB  
Article
Human–Robot Interaction for a Manipulator Based on a Neural Adaptive RISE Controller Using Admittance Model
by Shengli Chen, Lin Jiang, Keqiang Bai, Yuming Chen, Xiaoang Xu, Guanwu Jiang and Yueyue Liu
Electronics 2025, 14(24), 4862; https://doi.org/10.3390/electronics14244862 - 10 Dec 2025
Viewed by 425
Abstract
Human–robot cooperative tasks require physical human–robot interaction (pHRI) systems that can adapt to individual human behaviors while ensuring robustness and stability. This paper presents a dual-loop control framework combining an admittance outer loop and a neural adaptive inner loop based on the Robust [...] Read more.
Human–robot cooperative tasks require physical human–robot interaction (pHRI) systems that can adapt to individual human behaviors while ensuring robustness and stability. This paper presents a dual-loop control framework combining an admittance outer loop and a neural adaptive inner loop based on the Robust Integral of the Sign of the Error (RISE) approach. The outer loop reshapes the manipulator trajectory according to interaction forces, ensuring compliant motion and user safety. The inner-loop Adaptive RISE–RBFNN controller compensates for unknown nonlinear dynamics and bounded disturbances through online neural learning and robust sign-based correction, guaranteeing semi-global asymptotic convergence. Quantitative results demonstrate that the proposed adaptive RISE controller with neural-network error compensation (ARINNSE) achieves superior performance in the Joint-1 tracking task, reducing the root-mean-square tracking error by approximately 51.7% and 42.3% compared to conventional sliding mode control and standard RISE methods, respectively, while attaining the smallest maximum absolute error and maintaining control energy consumption comparable to that of RISE. Under human–robot interaction scenarios, the controller preserves stable, bounded control inputs and rapid error convergence even under time-varying disturbances. These results confirm that the proposed admittance-based RISE–RBFNN framework provides enhanced robustness, adaptability, and compliance, making it a promising approach for safe and efficient human–robot collaboration. Full article
(This article belongs to the Section Industrial Electronics)
Show Figures

Figure 1

18 pages, 12842 KB  
Article
Progressive Policy Learning: A Hierarchical Framework for Dexterous Bimanual Manipulation
by Kang-Won Lee, Jung-Woo Lee, Seongyong Kim and Soo-Chul Lim
Mathematics 2025, 13(22), 3585; https://doi.org/10.3390/math13223585 - 8 Nov 2025
Viewed by 1067
Abstract
Dexterous bimanual manipulation remains a challenging task in reinforcement learning (RL) due to the vast state–action space and the complex interdependence between the hands. Conventional end-to-end learning struggles to handle this complexity, and multi-agent RL often faces limitations in stably acquiring cooperative movements. [...] Read more.
Dexterous bimanual manipulation remains a challenging task in reinforcement learning (RL) due to the vast state–action space and the complex interdependence between the hands. Conventional end-to-end learning struggles to handle this complexity, and multi-agent RL often faces limitations in stably acquiring cooperative movements. To address these issues, this study proposes a hierarchical progressive policy learning framework for dexterous bimanual manipulation. In the proposed method, one hand’s policy is first trained to stably grasp the object, and, while maintaining this grasp, the other hand’s manipulation policy is progressively learned. This hierarchical decomposition reduces the search space for each policy and enhances both the connectivity and the stability of learning by training the subsequent policy on the stable states generated by the preceding policy. Simulation results show that the proposed framework outperforms conventional end-to-end and multi-agent RL approaches. The proposed method was demonstrated via sim-to-real transfer on a physical dual-arm platform and empirically validated on a bimanual cube manipulation task. Full article
Show Figures

Graphical abstract

27 pages, 4070 KB  
Article
Research on a Cooperative Grasping Method for Heterogeneous Objects in Unstructured Scenarios of Mine Conveyor Belts Based on an Improved MATD3
by Rui Gao, Mengcong Liu, Jingyi Du, Yifan Bao, Xudong Wu and Jiahui Liu
Sensors 2025, 25(22), 6824; https://doi.org/10.3390/s25226824 - 7 Nov 2025
Viewed by 507
Abstract
Underground coal mine conveying systems operate in unstructured environments. Influenced by geological and operational factors, coal conveyors are frequently contaminated by foreign objects such as coal gangue and anchor bolts. These contaminants disrupt conveying stability and pose challenges to safe mining operations, making [...] Read more.
Underground coal mine conveying systems operate in unstructured environments. Influenced by geological and operational factors, coal conveyors are frequently contaminated by foreign objects such as coal gangue and anchor bolts. These contaminants disrupt conveying stability and pose challenges to safe mining operations, making their effective removal critical. Given the significant heterogeneity and unpredictability of these objects in shape, size, and orientation, precise manipulation requires dual-arm cooperative control. Traditional control algorithms rely on precise dynamic models and fixed parameters, lacking robustness in such unstructured environments. To address these challenges, this paper proposes a cooperative grasping method tailored for heterogeneous objects in unstructured environments. The MATD3 algorithm is employed to cooperatively perform dual-arm trajectory planning and grasping tasks. A multi-factor reward function is designed to accelerate convergence in continuous action spaces, optimize real-time grasping trajectories for foreign objects, and ensure stable robotic arm positioning. Furthermore, priority experience replay (PER) is integrated into the MATD3 framework to enhance experience utilization and accelerate convergence toward optimal policies. For slender objects, a sequential cooperative optimization strategy is developed to improve the stability and reliability of grasping and placement. Experimental results demonstrate that the P-MATD3 algorithm significantly improves grasping success rates and efficiency in unstructured environments. In single-arm tasks, compared to MATD3 and MADDPG, P-MATD3 increases grasping success rates by 7.1% and 9.94%, respectively, while reducing the number of steps required to reach the pre-grasping point by 11.44% and 12.77%. In dual-arm tasks, success rates increased by 5.58% and 9.84%, respectively, while step counts decreased by 11.6% and 18.92%. Robustness testing under Gaussian noise demonstrated that P-MATD3 maintains high stability even with varying noise intensities. Finally, ablation and comparative experiments comprehensively validated the proposed method’s effectiveness in simulated environments. Full article
Show Figures

Figure 1

35 pages, 8788 KB  
Article
Multi-Agent Deep Reinforcement Learning for Collision-Free Posture Control of Multi-Manipulators in Shared Workspaces
by Hoyeon Lee, Chenglong Luo and Hoeryong Jung
Sensors 2025, 25(22), 6822; https://doi.org/10.3390/s25226822 - 7 Nov 2025
Viewed by 960
Abstract
In multi-manipulator systems operating within shared workspaces, achieving collision-free posture control is challenging due to high degrees of freedom and complex inter-manipulator interactions. Traditional motion planning methods often struggle with scalability and computational efficiency in such settings, motivating the need for learning-based approaches. [...] Read more.
In multi-manipulator systems operating within shared workspaces, achieving collision-free posture control is challenging due to high degrees of freedom and complex inter-manipulator interactions. Traditional motion planning methods often struggle with scalability and computational efficiency in such settings, motivating the need for learning-based approaches. This paper presents a multi-agent deep reinforcement learning (MADRL) framework for real-time collision-free posture control of multiple manipulators. The proposed method employs a line-segment representation of manipulator links to enable efficient interlink distance computation to guide cooperative collision avoidance. Employing a centralized training and decentralized execution (CTDE) framework, the approach leverages global state information during training, while enabling each manipulator to rely on local observations for real-time collision-free trajectory planning. By integrating efficient state representation with a scalable training paradigm, the proposed framework provides a principled foundation for addressing coordination challenges in dense industrial workspaces. The approach is implemented and validated in NVIDIA Isaac Sim across various overlapping workspace scenarios. Compared to conventional state representations, the proposed method achieves faster learning convergence and superior computational efficiency. In pick-and-place tasks, collaborative multi-manipulator control reduces task completion time by over 50% compared to single-manipulator operation, while maintaining high success rates (>83%) under dense workspace conditions. These results confirm the effectiveness and scalability of the proposed framework for real-time, collision-free multi-manipulator control. Full article
(This article belongs to the Section Intelligent Sensors)
Show Figures

Figure 1

22 pages, 2866 KB  
Article
Inertia Parameter Identification of Non-Cooperative Targets via Motion Estimation
by Zhicheng Yuan, Jun He and Bipei Ma
Aerospace 2025, 12(11), 995; https://doi.org/10.3390/aerospace12110995 - 7 Nov 2025
Viewed by 572
Abstract
In space missions, particularly in on-orbit servicing (OOS) missions, many tasks involve non-cooperative targets. To ensure the safety and precision of such missions, complete identification of the target’s inertia parameters is essential. This paper proposes a novel method for identifying the inertia parameters [...] Read more.
In space missions, particularly in on-orbit servicing (OOS) missions, many tasks involve non-cooperative targets. To ensure the safety and precision of such missions, complete identification of the target’s inertia parameters is essential. This paper proposes a novel method for identifying the inertia parameters of a non-cooperative target, introducing an innovative approach to position and velocity estimation based on a time-of-flight (TOF) camera. The paper first describes the physical configuration of the system, followed by the overall identification process of the target. Subsequently, all inertia parameters are reviewed, and the associated data processing procedures are presented. The (angular) momentum of both the satellite and the manipulator is calculated to make preparations for subsequent identification steps. The motion parameters of the target are estimated using the Kalman filter (KF) and extended Kalman filter (EKF), with newly designed models for position and velocity. Furthermore, a novel full-parameter identification method is proposed, building upon the preceding motion estimation process. Simulations show that the identification errors of all inertia parameters are less than 0.3%, which validates the correctness and effectiveness of the proposed methods. Full article
Show Figures

Figure 1

19 pages, 6175 KB  
Article
Design and Performance Analysis of a Subsea Wet-Mateable Connector Seal for Subsea Drilling Rigs
by Liang Xiong, Xiaolian Zhang, Shuo Zhao, Lieyu Tian, Bingyi Hu, Yang Lv, Jinsong Lu, Ailiyaer Ahemaiti, Zhaofei Sun, Fuyuan Li and Junguo Cui
Actuators 2025, 14(11), 536; https://doi.org/10.3390/act14110536 - 5 Nov 2025
Viewed by 624
Abstract
As terrestrial oil and gas resources continue to decline, deep-sea oil and gas development has become a strategic priority. A wide range of production equipment must be deployed on the seabed, among which subsea wet-mateable connectors are indispensable. To address the challenges of [...] Read more.
As terrestrial oil and gas resources continue to decline, deep-sea oil and gas development has become a strategic priority. A wide range of production equipment must be deployed on the seabed, among which subsea wet-mateable connectors are indispensable. To address the challenges of high pressure, low temperature, and corrosion in deep-sea environments, this study proposes a cooperative sealing strategy between the annular protrusion on the entry casing and a sliding sleeve. The leakage per single mate/demate cycle is quantified under varying insertion speeds and pressure differentials. By examining the effects of protrusion geometry, insertion speed, friction coefficient, and radial compression on sealing performance, the optimal parameters are identified: a friction coefficient of 0.15 and a trapezoidal-rib seal with 0.015 mm radial compression for dynamic sealing, yielding a contact pressure of 27.5 MPa and a mating/demating force of 197.26 N—satisfying the manipulation requirements of a remotely operated vehicle. Hydrostatic pressure tests demonstrate that the dynamic sealing design of the underwater connector achieves a balance between high reliability and low insertion resistance, and the prototype meets the operational requirements for deep-sea service. Full article
(This article belongs to the Section Control Systems)
Show Figures

Figure 1

22 pages, 9740 KB  
Article
Design and Performance Analysis of a High-Temperature Forging Deformation Simulation Device for Dual Manipulators
by Xiaonan Wang, Fugang Zhai, Ziyuan Wang, Zhuofan Yang, Runyuan Zhao and Zunzheng Gu
Machines 2025, 13(11), 999; https://doi.org/10.3390/machines13110999 - 30 Oct 2025
Viewed by 414
Abstract
To address the difficulty of directly detecting internal stresses in high-temperature forgings during dual-manipulator control experiments and the significant safety risks associated with high-temperature environments, this study developed an experimental device to simulate the deformation behavior of such forgings. First, numerical simulations of [...] Read more.
To address the difficulty of directly detecting internal stresses in high-temperature forgings during dual-manipulator control experiments and the significant safety risks associated with high-temperature environments, this study developed an experimental device to simulate the deformation behavior of such forgings. First, numerical simulations of the elongation process were conducted using DEFORM V11 software to examine the deformation mechanisms of high-temperature forgings. Quantitative results for axial deformation, maximum deformation velocity, and deformation force ranges were obtained, which defined the operational specifications and functional requirements of the device. Second, the mechanical structure and hydraulic system were designed based on engineering principles. The dynamic response characteristics of the simulation device under conventional PID and fuzzy PID control were compared through simulations, and the feasibility of the fuzzy PID control strategy was experimentally verified. Finally, a joint simulation model of the high-temperature forging deformation simulation device and the dual forging manipulator clamping system was established. This model was used to analyze the dynamic response of the simulated workpiece under typical cooperative conditions of dual manipulators and to assess the accuracy of the simulation process during clamping. The results confirmed the practical applicability of the device. Overall, the developed simulation device can effectively reproduce the deformation behavior of high-temperature forgings under ambient conditions, providing a safe and reliable platform for studying coordinated control strategies of dual forging manipulators. Full article
Show Figures

Figure 1

23 pages, 6319 KB  
Article
Coordinated Trajectory Planning of Discrete-Serpentine Heterogeneous Multi-Arm Space Robot for Capturing Tumbling Targets Using Manipulability Optimization
by Zhonghua Hu, Chuntao Li, Qun Sun, Jianqing Peng and Wenshuo Li
Aerospace 2025, 12(10), 944; https://doi.org/10.3390/aerospace12100944 - 21 Oct 2025
Cited by 1 | Viewed by 498
Abstract
The discrete-serpentine heterogeneous multi-arm space robot (DSHMASR) has more advantages than single discrete space robots or single serpentine space robots in complex tasks of on-orbit servicing. However, the mechanical structure complexity of the DSHMASR poses challenges for modeling and motion planning. In this [...] Read more.
The discrete-serpentine heterogeneous multi-arm space robot (DSHMASR) has more advantages than single discrete space robots or single serpentine space robots in complex tasks of on-orbit servicing. However, the mechanical structure complexity of the DSHMASR poses challenges for modeling and motion planning. In this paper, a coupled kinematic model and a coordinated trajectory planning method for the DSHMASR were proposed to address these issues. Firstly, an uncontrolled satellite and the DSHMASR were modeled based on the momentum conservation law. The generalized Jacobian matrix Jg of the space robotic system was derived. Secondly, the manipulation capability of the DSHMASR was analyzed based on the null-space of Jg. Furthermore, the cooperative capturing-monitoring trajectory planning method for DSHMASR was presented through the manipulability optimization. The expected trajectory of each arm’s tip can be obtained by pose deviations and velocity deviations between the tip and the target point. Additionally, the optimized joint velocities of each arm were calculated by combining differential kinematics and manipulability optimization. Therefore, the manipulability of DSHMASR in the direction of the capture operation was enhanced simultaneously as it approached the target satellite. Finally, the proposed algorithm was demonstrated by establishing the Adams–Simulink co-simulation model. Comparisons with traditional approaches further confirm the outperformance of the proposed method in terms of manipulation capability. Full article
Show Figures

Figure 1

21 pages, 8163 KB  
Article
VR-Based Teleoperation of UAV–Manipulator Systems: From Single-UAV Control to Dual-UAV Cooperative Manipulation
by Zhaotong Yang, Kohji Tomita and Akiya Kamimura
Appl. Sci. 2025, 15(20), 11086; https://doi.org/10.3390/app152011086 - 16 Oct 2025
Viewed by 869
Abstract
In this paper, we present a VR-based control framework for multi-UAV (rotorcraft-type) aerial manipulation that enables simultaneous control of each UAV and its onboard five-degree-of-freedom (5-DoF) manipulator using virtual-reality controllers. Instead of relying on dense button mappings or predefined gestures, the framework maps [...] Read more.
In this paper, we present a VR-based control framework for multi-UAV (rotorcraft-type) aerial manipulation that enables simultaneous control of each UAV and its onboard five-degree-of-freedom (5-DoF) manipulator using virtual-reality controllers. Instead of relying on dense button mappings or predefined gestures, the framework maps natural VR-controller motions in real time to vehicle pose and arm joint commands. The UAVs respond smoothly to translational and rotational inputs, while the manipulators accurately replicate dexterous hand motions for precise grasping. Beyond single-platform operation, we extend the framework to cooperative dual-UAV manipulation, leveraging two-hand poses captured via VR controllers to coordinate two UAV-arm systems for payload transportation and obstacle traversal. Simulation experiments demonstrate accurate trajectory tracking and the potential for successful cooperative transport in cluttered environments, indicating the framework’s suitability for telemanipulation, search-and-rescue, and industrial tasks. Full article
Show Figures

Figure 1

17 pages, 26449 KB  
Article
Federated Learning for Distributed Multi-Robotic Arm Trajectory Optimization
by Fazal Khan and Zhuo Meng
Robotics 2025, 14(10), 137; https://doi.org/10.3390/robotics14100137 - 29 Sep 2025
Viewed by 1296
Abstract
The optimization of trajectories for multiple robotic arms in a shared workspace is critical for industrial automation but presents significant challenges, including data sharing, communication overhead, and adaptability in dynamic environments. Traditional centralized control methods require sharing raw sensor data, raising concerns and [...] Read more.
The optimization of trajectories for multiple robotic arms in a shared workspace is critical for industrial automation but presents significant challenges, including data sharing, communication overhead, and adaptability in dynamic environments. Traditional centralized control methods require sharing raw sensor data, raising concerns and creating computational bottlenecks. This paper proposes a novel Federated Learning (FL) framework for distributed multi-robotic arm trajectory optimization. Our method enables collaborative learning where robots train a shared model locally and only exchange gradient updates, preserving data privacy. The framework integrates an adaptive Rapidly exploring Random Tree (RRT) algorithm enhanced with a dynamic pruning strategy to reduce computational overhead and ensure collision-free paths. Real-time synchronization is achieved via EtherCAT, ensuring precise coordination. Experimental results demonstrate that our approach achieves a 17% reduction in average path length, a 22% decrease in collision rate, and a 31% improvement in planning speed compared to a centralized RRT baseline, while reducing inter-robot communication overhead by 45%. This work provides a scalable and efficient solution for collaborative manipulation in applications ranging from assembly lines to warehouse automation. Full article
(This article belongs to the Section Sensors and Control in Robotics)
Show Figures

Figure 1

13 pages, 659 KB  
Article
Retrieval Competition in Proactive Interference: Effects of Encoding Strength and Consolidation in the Modified Modified Free Recall Paradigm
by Yahui Zhang, Weihai Tang and Xiping Liu
Behav. Sci. 2025, 15(10), 1332; https://doi.org/10.3390/bs15101332 - 28 Sep 2025
Cited by 1 | Viewed by 718
Abstract
This study investigated how encoding strength and consolidation shape proactive interference (PI) in associative memory. Using a Modified Modified Free Recall (MMFR) paradigm, participants studied overlapping (A-B, A-C) and non-overlapping (E-F, G-H) pairs. The encoding strength of List 1 was manipulated (one vs. [...] Read more.
This study investigated how encoding strength and consolidation shape proactive interference (PI) in associative memory. Using a Modified Modified Free Recall (MMFR) paradigm, participants studied overlapping (A-B, A-C) and non-overlapping (E-F, G-H) pairs. The encoding strength of List 1 was manipulated (one vs. three study repetitions), while List 2 was held constant. Cued recall was tested immediately and after a 24-h delay. Results showed that increasing List 1’s encoding strength enhanced overall recall for both overlapping and non-overlapping pairs, indicating more effective learning, but did not alter the magnitude of PI. Instead, PI was strongly modulated by retention interval. At immediate test, robust PI emerged across conditions, reflecting cue-based retrieval competition. After a 24-h delay, PI was reduced or absent when List 1 was weakly encoded but persisted in attenuated form when List 1 was strongly encoded, suggesting differential consolidation trajectories for overlapping and non-overlapping associations. Co-retrieval analyses further revealed reliable associative dependency between B and C across all conditions, consistent with representational linkages that promote cooperative retrieval. These findings highlight the dual influence of cue overlap: at the representational level, overlapping pairs form integrated structures that foster co-retrieval, whereas at the retrieval-processing level, cue overload induces competition and PI. Taken together, the results indicate that although initial encoding strength enhances overall recall of List 2, the persistence of proactive interference is influenced by consolidation processes. Full article
(This article belongs to the Section Cognition)
Show Figures

Figure 1

24 pages, 9404 KB  
Article
Safety-Critical End-Effector Formation Control for Planar Underactuated Manipulators
by Zhiyu Peng and Xin Xin
Actuators 2025, 14(10), 475; https://doi.org/10.3390/act14100475 - 28 Sep 2025
Viewed by 503
Abstract
While networked multi-agent systems have been widely explored, the challenges introduced by underactuation still impede safety-critical cooperative control of multiple underactuated manipulators. This paper introduces a distributed framework for end-effector formation control and obstacle avoidance in planar n-link manipulators with a passive [...] Read more.
While networked multi-agent systems have been widely explored, the challenges introduced by underactuation still impede safety-critical cooperative control of multiple underactuated manipulators. This paper introduces a distributed framework for end-effector formation control and obstacle avoidance in planar n-link manipulators with a passive first joint and active remaining joints—termed PAn−1 manipulators. By exploiting the integrability of each PAn−1 manipulator’s second-order nonholonomic constraint, we reformulate the dynamics into a cascaded structure and derive a reduced-order model driven solely by active joint velocities. Building on this reduced-order model, we design safety-critical distributed formation control laws for the reduced-order dynamics, which serve as the manipulators’ desired active joint velocities. Then, we employ the backstepping method to obtain control inputs for the full-order dynamics. To guarantee safety, we treat backstepping tracking errors as matched disturbances and address them within a robust control barrier function framework. Numerical simulations and comparative studies confirm the effectiveness of the proposed approach. Full article
(This article belongs to the Section Control Systems)
Show Figures

Figure 1

Back to TopTop