Physical Modeling and Data-Driven Hybrid Control for Quadrotor-Robotic-Arm Cable-Suspended Payload Systems
Highlights
- The arm-payload coupling matrix enables model-based control allocation that distributes swing compensation between UAV and arm actuators based on swing plane orientation and cable geometry.
- Cooperative control achieves 44–70% settling time reduction and up to 57.7% swing suppression compared to single-actuator baselines across diverse flight scenarios.
- Unlike disturbance rejection approaches, cooperative actuation through coupling exploitation provides an independent control channel that does not interfere with the position-attitude cascade.
- The geometry-aware compensation eliminates gain scheduling requirements across 5× payload mass and 4× cable length variations, enabling deployment without parameter-specific tuning.
Abstract
1. Introduction
- Pure UAV-based swing suppression requires platform attitude changes that couple back to position control, limiting maneuverability during aggressive tasks;
- Variable-length cable systems add one degree of freedom but remain single-actuator architectures with similar coupling constraints;
- ADRC-based aerial manipulation methods treat swing as an external disturbance rather than exploiting the arm-swing coupling matrix for model-based control allocation.
- Cooperative swing suppression via arm-payload coupling exploitation: A dual-actuator control allocation framework where the coupling matrix is explicitly utilized to distribute swing compensation between the UAV platform and robotic arm actuators. Unlike ADRC methods that treat swing as an unstructured disturbance, the arm attenuates oscillations by geometrically displacing the cable attachment point based on the instantaneous swing-plane orientation and cable length, thereby providing a faster response bandwidth than attitude-based methods.
- MCG feedback linearization with geometry-aware swing compensation: A hierarchical controller combining SO(3) attitude regulation with weighted least-squares swing allocation. The compensation torque is computed adaptively based on swing geometry (Equation (32)), eliminating the need for gain scheduling across 5× payload mass and 4× cable length variations while enforcing actuator constraints through command shaping.
- Demonstrated effectiveness under aggressive operating conditions: Simulation studies validate that the cooperative controller successfully suppresses swing angles up to 80°—beyond the 60° linearization boundary—and drives the system back to nominal conditions, achieving 44–70% settling time reduction compared to uncontrolled baselines.
2. System Modeling and Problem Formulation
2.1. System Configuration
2.2. Kinematic and Dynamic Modeling
2.2.1. Reference Frame Consistency and Angular Velocities
2.2.2. Position Kinematics
2.2.3. Lagrangian Dynamics with Consistent Reference Frames
- (translational coupling): When the UAV platform accelerates, the suspended payload experiences inertial forces that induce swing motion. This coupling quantifies the swing-angle acceleration per unit of platform acceleration.
- (arm-swing coupling): When the robotic arm joints accelerate, the cable attachment point displaces, directly affecting the payload swing dynamics. This coupling is the key innovation enabling cooperative control—the arm can actively reshape swing dynamics without requiring platform attitude changes.
2.3. Underactuated Structure and Cascaded Dynamics
- (i)
- The mass matrix is uniformly positive definite: with kg·m2 and kg·m2. These bounds are determined from the system configuration extremes: corresponds to the minimum effective inertia at the contracted arm configuration without payload (, rounded up for margin), while corresponds to the maximum effective inertia at the extended arm configuration with full payload (, rounded up).
- (ii)
- The matrix is skew-symmetric, which is a standard property of Lagrangian systems with the Christoffel symbol formulation of Coriolis terms.
- (iii)
- The Coriolis matrix, constructed using Christoffel symbols, depends linearly on velocities. Consequently, the Coriolis term satisfies for any with , and the gravity vector is bounded by N.
- (iv)
- The coupling strength satisfies for effective swing controllability, verified numerically across representative configurations. The working domain constraints implicitly maintain cable tension through the swing angle limitation , though explicit tension monitoring is not enforced in the control law.
3. MCG Feedback Linearization Control Design
3.1. Hierarchical Control with Position-Attitude Cascade
3.1.1. Position Control and Attitude Command Generation
3.1.2. SO(3) Attitude Control with Consistent Dynamics
3.2. Partial Feedback Linearization with Swing Compensation
3.2.1. Derivation of Swing Compensation Term
3.2.2. MCG Control Law with Pseudoinverse
3.3. Data-Driven Model Enhancement
4. Stability Analysis
4.1. Semi-Global Practical Stability
4.2. Robustness to Model Uncertainty
4.3. Convergence Rate and Performance Metrics
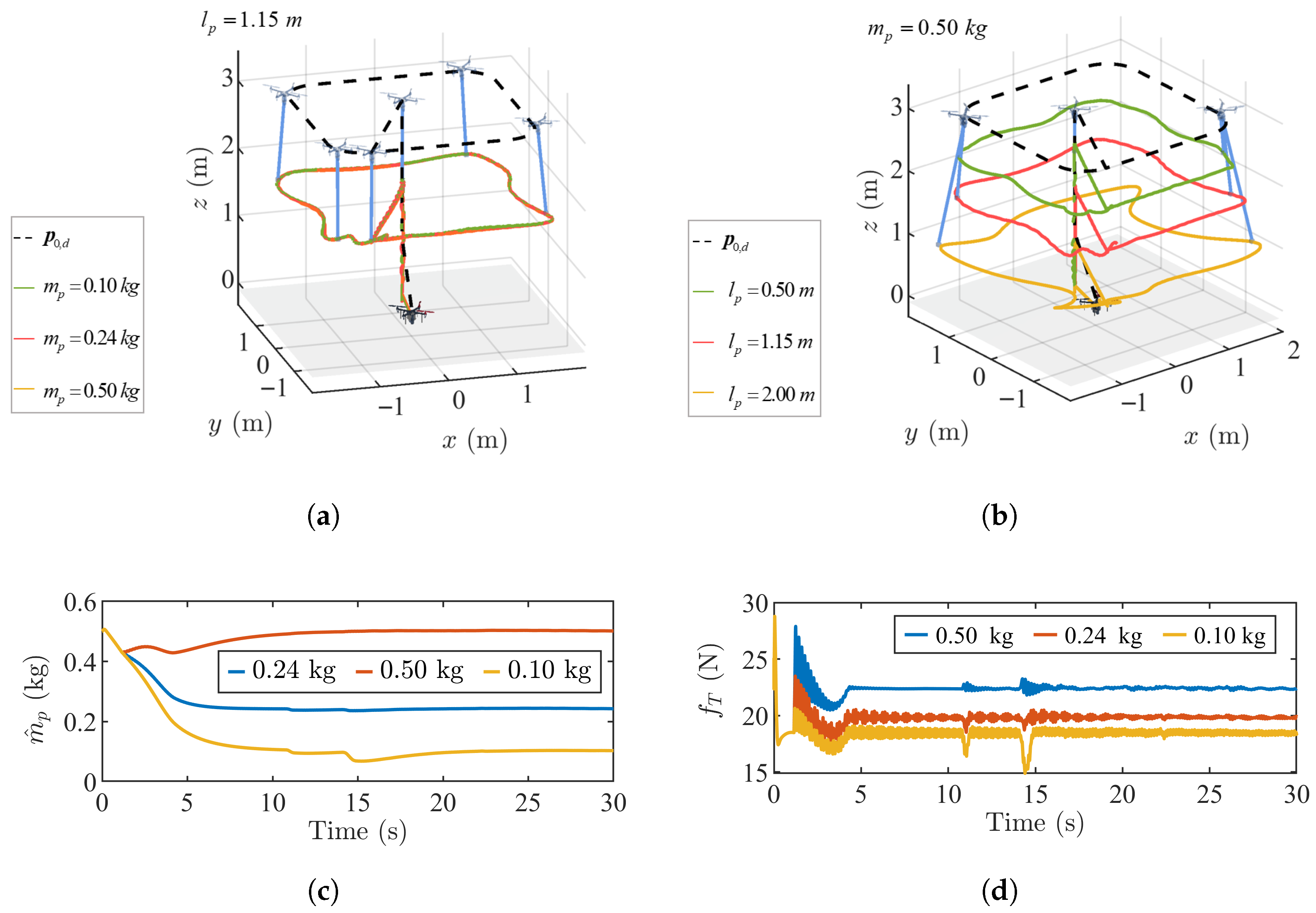
4.4. Adaptive Mass Estimation
5. Implementation and Simulation-Based Evaluation
5.1. System Configuration and Control Architecture
5.2. Physical Parameters and Control Gains
6. Simulation Results
6.1. Experiment 1: Step Response Analysis
6.2. Experiment 2: Dynamic Trajectory Tracking
6.3. Experiment 3: Cooperative Swing Suppression with Robotic Arm Actuation
6.4. Experiment 4: Mass Adaptation
6.5. Experiment 5: Aggressive Maneuver with Rapid Acceleration and Braking
7. Conclusions
Author Contributions
Funding
Data Availability Statement
Conflicts of Interest
Abbreviations
| UAV | Unmanned Aerial Vehicle |
| DOF | Degree of Freedom |
| MCG | Mass–Coriolis–Gravity |
| FBL | Feedback Linearization |
| PD | Proportional-Derivative |
| WLS | Weighted Least Squares |
| IMU | Inertial Measurement Unit |
| RMS | Root Mean Square |
| SO(3) | Special Orthogonal Group in 3D |
References
- Omar, H.M.; Akram, R.; Mukras, S.M.S.; Mahvouz, A.A. Recent advances and challenges in controlling quadrotors with suspended loads. Alexandria Eng. J. 2023, 63, 253–270. [Google Scholar] [CrossRef]
- Chen, T.; Shan, J. A novel cable-suspended quadrotor transportation system: From theory to experiment. Aerosp. Sci. Technol. 2020, 104, 105974. [Google Scholar] [CrossRef]
- Yu, G.; Cabecinhas, D.; Cunha, R.; Silvestre, C. Nonlinear Backstepping Control of a Quadrotor-Slung Load System. IEEE/ASME Trans. Mechatron. 2019, 24, 2304–2315. [Google Scholar] [CrossRef]
- Baraean, A.; Hamanah, W.M.; Bawazir, A.; Baraean, S.; Abido, M.A. Optimal Nonlinear backstepping controller design of a Quadrotor-Slung load system using particle Swarm Optimization. Alexandria Eng. J. 2023, 68, 551–560. [Google Scholar] [CrossRef]
- Lv, Z.; Wu, Y.; Sun, X.M.; Wang, Q.G. Fixed-Time Control for a Quadrotor With a Cable-Suspended Load. IEEE Trans. Intell. Transp. Syst. 2022, 23, 21932–21943. [Google Scholar] [CrossRef]
- Zare, M.; Pazooki, F.; Etemadi Haghighi, S. Hybrid controller of Lyapunov-based and nonlinear fuzzy-sliding mode for a quadrotor slung load system. Eng. Sci. Technol. Int. J. 2022, 29, 101038. [Google Scholar] [CrossRef]
- Xian, B.; Wang, S.; Yang, S. Nonlinear adaptive control for an unmanned aerial payload transportation system: Theory and experimental validation. Nonlinear Dyn. 2019, 98, 1745–1760. [Google Scholar] [CrossRef]
- Tolba, M.; Shirinzadeh, B.; El-Bayoumi, G.; Mohamady, O. Adaptive optimal controller design for an unbalanced UAV with slung load. Auton. Robot. 2023, 47, 267–280. [Google Scholar] [CrossRef]
- Yang, Y.; Zhang, D.; Xi, H.; Zhang, G. Anti-swing control and trajectory planning of quadrotor suspended payload system with variable length cable. Asian J. Control 2022, 24, 2424–2436. [Google Scholar] [CrossRef]
- Huang, J.; Tao, H.; Wang, Y.; Sun, J.Q. Suppressing UAV payload swing with time-varying cable length through nonlinear coupling. Mech. Syst. Signal Process. 2023, 185, 109790. [Google Scholar] [CrossRef]
- Alkomy, H.; Shan, J. Vibration reduction of a quadrotor with a cable-suspended payload using polynomial trajectories. Nonlinear Dyn. 2021, 104, 3713–3735. [Google Scholar] [CrossRef] [PubMed]
- Outeiro, P.; Cardeira, C.; Oliveira, P. Control Architecture for a Quadrotor Transporting a Cable-Suspended Load of Uncertain Mass. Drones 2023, 7, 201. [Google Scholar] [CrossRef]
- Zhu, Y.; Zheng, Z.; Shao, J.; Huang, H.; Xing Zheng, W. Modeling, robust control design, and experimental verification for quadrotor carrying cable-suspended payload. IEEE Trans. Autom. Sci. Eng. 2025, 22, 6061–6075. [Google Scholar] [CrossRef]
- de Angelis, E.L.; Giulietti, F. Stability and control issues of multirotor suspended load transportation: An analytical closed–form approach. Aerosp. Sci. Technol. 2023, 135, 108201. [Google Scholar] [CrossRef]
- Yan, B.; Lin, H.; Cai, C.; Shi, P. An enhanced coupling nonlinear control for quadrotor with suspended double-pendulum payload. Int. J. Robust Nonlinear Control 2024, 34, 9676–9696. [Google Scholar] [CrossRef]
- Yuan, Y.; Ryll, M. Dual quaternion control of UAVs with cable-suspended load. In Proceedings of the 2024 IEEE International Conference on Robotics and Automation (ICRA), Yokohama, Japan, 13–17 May 2024; pp. 1561–1567. [Google Scholar] [CrossRef]
- Ren, Y.; Liu, J.; Chen, H.; Liu, Y. Vision-encoder-based Payload State Estimation for Autonomous MAV With a Suspended Payload. In Proceedings of the 2021 IEEE/RSJ International Conference on Intelligent Robots and Systems (IROS), Prague, Czech Republic, 27 September–1 October 2021; pp. 9632–9638. [Google Scholar] [CrossRef]
- Wang, S.; Chen, H.; Liu, J.; Liu, Y. Adaptive trajectory tracking of UAV with a cable-suspended load using vision-inertial-based estimation. Automatica 2023, 158, 111310. [Google Scholar] [CrossRef]
- Sierra-García, J.E.; Santos, M. Intelligent control of an UAV with a cable-suspended load using a neural network estimator. Expert Syst. Appl. 2021, 183, 115380. [Google Scholar] [CrossRef]
- Suarez, A.; Soria, P.R.; Heredia, G.; Arrue, B.C.; Ollero, A. Anthropomorphic, compliant and lightweight dual arm system for aerial manipulation. In Proceedings of the 2017 IEEE/RSJ International Conference on Intelligent Robots and Systems (IROS), Vancouver, BC, Canada, 24–28 September 2017; pp. 992–997. [Google Scholar] [CrossRef]
- Samadikhoshkho, Z.; Ghorbani, S.; Janabi-Sharifi, F.; Zareinia, K. Nonlinear control of aerial manipulation systems. Aerosp. Sci. Technol. 2020, 104, 105945. [Google Scholar] [CrossRef]
- Samadikhoshkho, Z.; Ghorbani, S.; Janabi-Sharifi, F. Vision-based reduced-order adaptive control of aerial continuum manipulation systems. Aerosp. Sci. Technol. 2022, 121, 107322. [Google Scholar] [CrossRef]
- Wang, S.; Dai, X.; Ke, C.; Quan, Q. RflySim: A Rapid Multicopter Development Platform for Education and Research Based on Pixhawk and MATLAB. In Proceedings of the 2021 International Conference on Unmanned Aircraft Systems (ICUAS), Athens, Greece, 15–18 June 2021; pp. 1587–1594. [Google Scholar] [CrossRef]
- Yu, H.; Liang, X.; Han, J.; Fang, Y. Adaptive Trajectory Tracking Control for the Quadrotor Aerial Transportation System Landing a Payload Onto the Mobile Platform. IEEE Trans. Ind. Inform. 2023, 20, 23–37. [Google Scholar] [CrossRef]
- Yu, G.; Xie, W.; Cabecinhas, D.; Cunha, R.; Silvestre, C. Adaptive control with unknown mass estimation for a quadrotor-slung-load system. ISA Trans. 2023, 133, 412–423. [Google Scholar] [CrossRef]







| Symbol | Description |
|---|---|
| Masses of UAV, link 1, link 2, and payload | |
| Lengths of link 1, link 2, and cable | |
| Body-frame inertia tensor of component i | |
| World-frame inertia tensor of component i | |
| Angular velocity of component i in body frame | |
| Angular velocity of component i in world frame | |
| Natural pendulum frequency | |
| SO(3) | Rotation matrix from to frame |
| SO(3) | Rotation error matrix |
| Desired body z-axis direction expressed in world frame | |
| Transformation from Euler rates to body-frame angular velocity | |
| Transformation from Euler rates to world-frame angular velocity | |
| Unit vector describing cable orientation | |
| Input matrix | |
| Moore-Penrose pseudoinverse | |
| Control input | |
| Angular velocity error in body frame |
| Condition | Mathematical Form | Practical Guideline |
|---|---|---|
| Position gain | Select , | |
| Damping ratio | Ensure overdamped response | |
| Time-scale separation | Attitude bandwidth Hz | |
| Initial condition | Pre-flight calibration required |
| Parameter | Symbol | Value |
|---|---|---|
| Mass and Length Parameters | ||
| Masses of UAV, link 1, link 2, and payload | 1.436, 0.118, 0.225, 0.240 kg | |
| Lengths of link 1, link 2, and cable | 0.0548, 0.0589, 1.150 m | |
| Inertia Matrices (kg·m2) | ||
| UAV platform | diag(0.02054, 0.01050, 0.01039) | |
| Link 1 | diag(1.843, 1.525, 0.515) | |
| Link 2 | diag(2.465, 1.763, 1.090) | |
| Gain Parameter | Traditional | MCG-FBL |
|---|---|---|
| Position P-gain | [2.0, 2.0, 4.0] | [3.0, 3.0, 5.0] |
| Position D-gain | [3.0, 3.0, 4.0] | [4.0, 4.0, 5.0] |
| Attitude P-gain | [6.45, 6.33, 1.53] | [8.0, 8.0, 3.0] |
| Attitude D-gain | [0.84, 0.83, 0.28] | [1.2, 1.2, 0.5] |
| Metric | Traditional PD | MCG-FBL | Improvement |
|---|---|---|---|
| Settling time (5%) [s] | 5.08 | 4.8 | 5% |
| Overshoot [%] | 10 | 6 | 40% |
| Max swing angle [deg] | 6.02 | 4.98 | 17.3% |
| Steady-state error [cm] | 4.5 | 1.55 | 65.6% |
| Speed [m/s] | RMS Error [m] | Max Swing [deg] | MCG Advantage | |||
|---|---|---|---|---|---|---|
| PD | MCG-FBL | PD | MCG-FBL | RMS Error | Max Swing | |
| 1.00 | 0.091 | 0.066 | 22.35 | 12.61 | 27.5% | 43.6% |
| 1.25 | 0.125 | 0.089 | 31.51 | 16.04 | 28.8% | 49.1% |
| 1.50 | 0.159 | 0.122 | 40.68 | 21.20 | 23.3% | 47.9% |
| Control Approach | RMS Error [m] | Max Swing [deg] | Max Attitude Angle |
|---|---|---|---|
| (, , ) [deg] | |||
| PD No Arm | 0.158 | 40.68 | (7.51, 24.59, 1.09) |
| MCG-FBL No Arm | 0.122 | 21.77 | (6.59, 19.02, 1.20) |
| MCG-FBL With Arm | 0.122 | 17.19 | (6.82, 18.97, 0.86) |
| (, ) | PD RMS | MCG-FBL RMS | PD Max | MCG-FBL Max |
|---|---|---|---|---|
| [kg, m] | Error [m] | Error [m] | Swing [deg] | Swing [deg] |
| (0.10, 0.50) | 0.084 | 0.060 | 49.85 | 44.12 |
| (0.10, 1.15) | 0.089 | 0.055 | 13.64 | 11.11 |
| (0.10, 2.00) | 0.095 | 0.056 | 27.33 | 15.36 |
| (0.24, 0.50) | 0.086 | 0.058 | 50.42 | 37.24 |
| (0.24, 1.15) | 0.102 | 0.049 | 15.71 | 10.49 |
| (0.24, 2.00) | 0.134 | 0.053 | 23.78 | 14.95 |
| (0.50, 0.50) | 0.088 | 0.057 | 14.79 | 13.46 |
| (0.50, 1.15) | 0.116 | 0.051 | 15.47 | 10.71 |
| (0.50, 2.00) | 0.152 | 0.105 | 18.11 | 13.29 |
| Velocity | Settling Time [s] | Max Swing [deg] | |||||||
|---|---|---|---|---|---|---|---|---|---|
| [kg, m] | [m/s] | None | ARM | UAV | Coop. | None | ARM | UAV | Coop. |
| (0.24, 1.15) | 3 | 24.16 | 15.32 | 13.53 | 10.30 | 81.9 | 84.2 | 76.8 | 79.7 |
| (0.50, 1.15) | 3 | 12.97 | 9.50 | 8.07 | 7.25 | 73.3 | 75.1 | 68.2 | 67.6 |
| (0.24, 2.00) | 3 | 31.10 | 19.82 | 13.33 | 9.29 | 60.2 | 61.3 | 53.9 | 52.1 |
| (0.24, 2.00) | 5 | 32.95 | 22.32 | 16.29 | 10.52 | 83.7 | 86.5 | 79.1 | 81.4 |
| (0.50, 2.00) | 3 | 16.80 | 12.43 | 7.80 | 6.29 | 51.6 | 56.7 | 47.0 | 47.6 |
| (0.50, 2.00) | 5 | 19.71 | 13.85 | 9.26 | 7.95 | 76.2 | 77.4 | 69.3 | 77.4 |
Disclaimer/Publisher’s Note: The statements, opinions and data contained in all publications are solely those of the individual author(s) and contributor(s) and not of MDPI and/or the editor(s). MDPI and/or the editor(s) disclaim responsibility for any injury to people or property resulting from any ideas, methods, instructions or products referred to in the content. |
© 2026 by the authors. Licensee MDPI, Basel, Switzerland. This article is an open access article distributed under the terms and conditions of the Creative Commons Attribution (CC BY) license.
Share and Cite
Lu, L.; Xiao, Q.; Zhou, S.; Wang, X.; Meng, Y. Physical Modeling and Data-Driven Hybrid Control for Quadrotor-Robotic-Arm Cable-Suspended Payload Systems. Drones 2026, 10, 51. https://doi.org/10.3390/drones10010051
Lu L, Xiao Q, Zhou S, Wang X, Meng Y. Physical Modeling and Data-Driven Hybrid Control for Quadrotor-Robotic-Arm Cable-Suspended Payload Systems. Drones. 2026; 10(1):51. https://doi.org/10.3390/drones10010051
Chicago/Turabian StyleLu, Lu, Qihua Xiao, Shikang Zhou, Xinhai Wang, and Yunhe Meng. 2026. "Physical Modeling and Data-Driven Hybrid Control for Quadrotor-Robotic-Arm Cable-Suspended Payload Systems" Drones 10, no. 1: 51. https://doi.org/10.3390/drones10010051
APA StyleLu, L., Xiao, Q., Zhou, S., Wang, X., & Meng, Y. (2026). Physical Modeling and Data-Driven Hybrid Control for Quadrotor-Robotic-Arm Cable-Suspended Payload Systems. Drones, 10(1), 51. https://doi.org/10.3390/drones10010051

