Sign in to use this feature.

Years

Between: -

Subjects

remove_circle_outline
remove_circle_outline
remove_circle_outline
remove_circle_outline
remove_circle_outline
remove_circle_outline
remove_circle_outline

Journals

Article Types

Countries / Regions

Search Results (86)

Search Parameters:
Keywords = confluent hypergeometric function

Order results
Result details
Results per page
Select all
Export citation of selected articles as:
44 pages, 554 KB  
Article
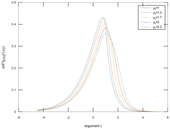
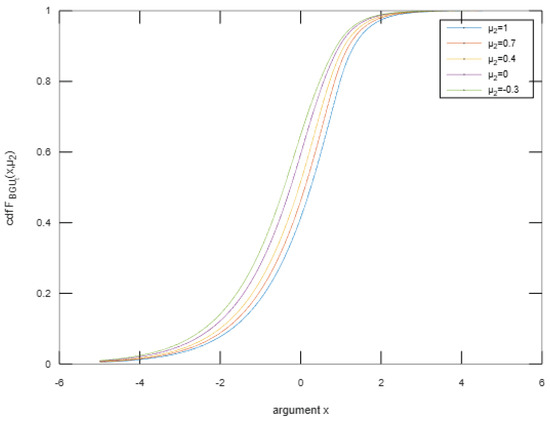
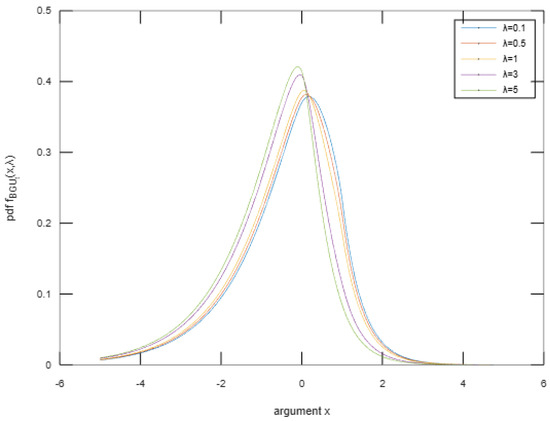
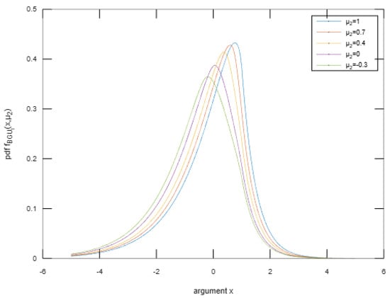
The Bilateral Gamma Process with Drift Switching and Its Applications to Finance
by Roman V. Ivanov
Symmetry 2026, 18(4), 584; https://doi.org/10.3390/sym18040584 - 29 Mar 2026
Viewed by 210
Abstract
This paper studies an extension of the bilateral gamma process assuming that the drift coefficient may jump at an exponentially distributed random time. The drift switching can reflect the symmetry between major economic events and moves of financial market indexes. The bilateral gamma [...] Read more.
This paper studies an extension of the bilateral gamma process assuming that the drift coefficient may jump at an exponentially distributed random time. The drift switching can reflect the symmetry between major economic events and moves of financial market indexes. The bilateral gamma distribution has an asymmetric form and fits well with different financial data when there are not external shocks. As the main results, we provide exact formulas for the probability density and incomplete moment-generating functions of the stated process. The expressions found are used for risk measurement and European option pricing. The new formulas are determined in particular by values of the incomplete gamma, Whittaker and confluent hypergeometric functions. Numerical examples of the computations are also afforded. The computation time for the formulas is under 4 s in a compiler compatible with MatLab. Full article
(This article belongs to the Section Mathematics)
Show Figures

Figure 1

16 pages, 1318 KB  
Article
A Wright-Based Generalization of the Euler Beta Function with Statistical Applications
by Layth T. Khudhuir, Hiba F. Al-Janaby, Firas Ghanim and Alina Alb Lupaș
Mathematics 2026, 14(6), 1069; https://doi.org/10.3390/math14061069 - 21 Mar 2026
Viewed by 214
Abstract
In recent years, special function theory has played an increasingly important role in the development of advanced mathematical models and statistical distributions. In this paper, a new extension of the Euler Beta function is introduced by employing the Wright function as a kernel, [...] Read more.
In recent years, special function theory has played an increasingly important role in the development of advanced mathematical models and statistical distributions. In this paper, a new extension of the Euler Beta function is introduced by employing the Wright function as a kernel, leading to the formulation of the Beta–Wright function. Several fundamental properties of the proposed function are systematically investigated, including summation formulas, functional relations, Mellin transforms, integral representations, and derivative formulas. Furthermore, extended forms of Gauss and confluent hypergeometric functions are constructed within this framework. In addition to its theoretical significance, the proposed function is applied to statistical modeling, and the associated distributions are analyzed using graphical and analytical techniques. The obtained results demonstrate that the Beta–Wright function provides a flexible and effective tool for both analytical investigations and statistical applications. Full article
(This article belongs to the Special Issue Current Topics in Geometric Function Theory, 2nd Edition)
Show Figures

Figure 1

41 pages, 1834 KB  
Article
Excursion Laplace Exponents Under Height Truncation
by Tristan Guillaume
Mathematics 2026, 14(6), 1014; https://doi.org/10.3390/math14061014 - 17 Mar 2026
Viewed by 201
Abstract
We study one-dimensional diffusions reflected at a boundary and analyze their pathwise “episodes” away from the boundary through Itô’s excursion theory. Under a fixed height cap of a>0, each excursion is equipped with three natural marks: its lifetime ζ, [...] Read more.
We study one-dimensional diffusions reflected at a boundary and analyze their pathwise “episodes” away from the boundary through Itô’s excursion theory. Under a fixed height cap of a>0, each excursion is equipped with three natural marks: its lifetime ζ, its maximum M, and an additive (area-type) functional Af=0ζf(et)dt. Our main object is the height-truncated Itô-excursion Laplace exponent Ψα,λ;af:=n1eαζλAf; M<a which jointly characterizes episode duration and cumulative load while excluding barrier-crossing spikes. We establish a general boundary–flux representation: Ψα,λ;af is obtained as a boundary flux (in scale) of the unique solution to a one-dimensional killed Feynman–Kac boundary-value problem on (0, a). This transfer principle yields a unified and tractable route to explicit computation. We implement it in three solvable families—the reflected arithmetic Brownian motion, reflected Ornstein–Uhlenbeck diffusions, and squared Bessel/Bessel-type diffusions—obtaining closed forms in terms of Airy, parabolic-cylinder, and confluent hypergeometric/Whittaker functions. Using the Poisson point process structure of excursions indexed by local time, we derive explicit extreme-burst laws (maxima and order statistics) for the additive marks up to a local-time horizon, and connect tail intensities to Laplace exponents via numerical Laplace inversion. Finally, we identify the strictly truncated cumulative load in local time as a (typically infinite-activity) subordinator whose Lévy measure coincides with the excursion-mark intensity, linking cumulative-load and extreme-burst statistics through the same exponent. Full article
Show Figures

Figure 1

16 pages, 1024 KB  
Article
Memory Effect on Dispersion Process in Hydromagnetic Flows Along a Porous Walls Channel: A Generalized Fick’s Flux with Caputo Derivative
by N. A. Shah, Khalid Masood and Dumitru Vieru
Mathematics 2026, 14(3), 543; https://doi.org/10.3390/math14030543 - 3 Feb 2026
Viewed by 304
Abstract
The present study investigates the generalized dispersion of a solute in an incompressible MHD flow via a rectangular channel with injectable or suctioned walls. The mathematical model of dispersion suggests a distinct type of mass flux expressed as a fractional partial differential equation [...] Read more.
The present study investigates the generalized dispersion of a solute in an incompressible MHD flow via a rectangular channel with injectable or suctioned walls. The mathematical model of dispersion suggests a distinct type of mass flux expressed as a fractional partial differential equation based on the time-fractional Caputo derivative. The mass flow in the model under investigation is determined by both the concentration gradient and its historical evolution. A constant external magnetic field is provided transverse to the flow direction. The analysis and discussion of the analytical solution for the advection velocity are performed in relation to the Hartmann number and the suction/injection Reynolds number. To determine the solute concentration in space and time, the unstable fractional convection–diffusion equation is analytically solved. The polynomial in the geographic variable y that has coefficients that depend on the spatial variable x and the time t is the analytical solution of the concentration. The effects of the fractional order of the Caputo derivative, Reynolds number, Hartmann number, and Peclet number on the advection–diffusion process are examined using numerical simulations of the analytical solution of the solute concentration. Full article
(This article belongs to the Special Issue Advances and Applications in Computational Fluid Dynamics)
Show Figures

Figure 1

13 pages, 480 KB  
Article
On the Whittaker Function Extended by the Fox–Wright Function and Its Properties
by Ulfat Ansari, Musharraf Ali and Dojin Kim
Mathematics 2026, 14(2), 273; https://doi.org/10.3390/math14020273 - 11 Jan 2026
Viewed by 295
Abstract
This paper aims to obtain the Ψηξ-extended Whittaker function and its integral representations. This function is defined by using the Ψηξ-confluent hypergeometric function, which was recently extended in terms of the Fox–Wright function. Furthermore, we discuss properties [...] Read more.
This paper aims to obtain the Ψηξ-extended Whittaker function and its integral representations. This function is defined by using the Ψηξ-confluent hypergeometric function, which was recently extended in terms of the Fox–Wright function. Furthermore, we discuss properties including a transformation formula, integral transforms (Laplace–Mellin and Hankel transforms), and a differential formula. Our results provide a unified framework for several known generalizations of the Whittaker function and highlight potential applications in applied mathematics and theoretical physics. Full article
Show Figures

Figure 1

27 pages, 443 KB  
Article
Systematic Search for Solvable Potentials from Biconfluent, Doubly Confluent, and Triconfluent Heun Equations
by Géza Lévai
Symmetry 2026, 18(1), 85; https://doi.org/10.3390/sym18010085 - 3 Jan 2026
Viewed by 387
Abstract
A transformation method was applied to the biconfluent (BHE), doubly confluent (DHE), and triconfluent (THE) Heun equations to generate and classify exactly solvable quantum mechanical potentials derived from them. With this, the range of potentials solvable in terms of the confluent hypergeometric function [...] Read more.
A transformation method was applied to the biconfluent (BHE), doubly confluent (DHE), and triconfluent (THE) Heun equations to generate and classify exactly solvable quantum mechanical potentials derived from them. With this, the range of potentials solvable in terms of the confluent hypergeometric function can be extended. The resulting potentials contained five independently tunable terms and two terms originating from the Schwartzian derivative that depended only on the parameters of the z(x) transformation function. The polynomial solutions of these potentials contain expansion coefficients obtained from three-term (BHE and DHE) and four-term (THE) recurrence relations. For the simplest z(x) transformation functions, the Lemieux–Bose potentials have been recovered for the BHE and DHE. The coupling parameters of these potentials and also of five potentials derived from the THE have been expressed in terms of the parameters of the respective differential equations. The present scheme offers a general framework into which a number of earlier results can be integrated in a systematic way. These include special cases of potentials obtained from less general versions of the Heun-type equations and individual solvable potentials obtained from various methods that do not necessarily refer to the Heun-type equations considered here. Several potentials derived here were found to coincide with or reduce to potentials found earlier from the quasi-exactly solvable (QES) formalism. Based on their mathematical form, their physically relevant features (domain of definition, asymptotic behaviour, single- or multi-well structure) were discussed, and possible fields of applications were pointed out. Full article
(This article belongs to the Special Issue Finite and Continuous Symmetries in Quantum-Mechanical Theory)
15 pages, 373 KB  
Article
Whittaker-Type Differential Equation: A Solution via Integral Functions
by M. S. Abu Zaytoon, Hannah Al Ali and M. H. Hamdan
AppliedMath 2025, 5(4), 161; https://doi.org/10.3390/appliedmath5040161 - 9 Nov 2025
Viewed by 827
Abstract
In this study, we consider and analyze an inhomogeneous Whittaker-type differential equation of the form [...] Read more.
In this study, we consider and analyze an inhomogeneous Whittaker-type differential equation of the form d2y(x)dx2+1xdy(x)dxα2x2β2y(x)=g(x), where α and β are given parameters. We investigate the analytical structure of its solution through the application of the Whittaker integral representation. The analysis encompasses both initial value problems (IVPs) and boundary value problems (BVPs), wherein appropriate conditions are imposed within a unified analytical framework. Furthermore, a systematic methodology is developed for constructing explicit solutions within the framework of Whittaker function theory. This approach not only elucidates the functional behaviour of the solutions but also provides a foundation for extending the analysis to more general classes of second-order linear differential equations. Full article
Show Figures

Figure 1

18 pages, 357 KB  
Article
Exact ODE Framework for Classical and Quantum Corrections for the Lennard-Jones Second Virial Coefficient
by Zhe Zhao, Alfredo González-Calderón, Jorge Adrián Perera-Burgos, Antonio Estrada, Horacio Hernández-Anguiano, Celia Martínez-Lázaro and Yanmei Li
Entropy 2025, 27(10), 1059; https://doi.org/10.3390/e27101059 - 11 Oct 2025
Cited by 2 | Viewed by 987
Abstract
The second virial coefficient (SVC) of the Lennard-Jones fluid is a cornerstone of molecular theory, yet its calculation has traditionally relied on the complex integration of the pair potential. This work introduces a fundamentally different approach by reformulating the problem in terms of [...] Read more.
The second virial coefficient (SVC) of the Lennard-Jones fluid is a cornerstone of molecular theory, yet its calculation has traditionally relied on the complex integration of the pair potential. This work introduces a fundamentally different approach by reformulating the problem in terms of ordinary differential equations (ODEs). For the classical component of the SVC, we generalize the confluent hypergeometric and Weber–Hermite equations. For the first quantum correction, we present entirely new ODEs and their corresponding exact-analytical solutions. The most striking result of this framework is the discovery that these ODEs can be transformed into Schrödinger-like equations. The classical term corresponds to a harmonic oscillator, while the quantum correction includes additional inverse-power potential terms. This formulation not only provides a versatile method for expressing the virial coefficient through a linear combination of functions (including Kummer, Weber, and Whittaker functions) but also reveals a profound and previously unknown mathematical structure underlying a classical thermodynamic property. Full article
(This article belongs to the Collection Foundations of Statistical Mechanics)
Show Figures

Figure 1

20 pages, 285 KB  
Article
The Role of Symmetry Aspects in Considering the Spin-1 Particle with Two Additional Electromagnetic Characteristics in the Presence of Both Magnetic and Electric Fields
by Alina Ivashkevich, Viktor Red’kov, Elena Ovsiyuk and Alexander Chichurin
Symmetry 2025, 17(9), 1465; https://doi.org/10.3390/sym17091465 - 5 Sep 2025
Viewed by 590
Abstract
In this paper, we study a generalized Duffin–Kemmer equation for a spin-1 particle with two characteristics, anomalous magnetic moment and polarizability in the presence of external uniform magnetic and electric fields. After separating the variables, we obtained a system of 10 first-order partial [...] Read more.
In this paper, we study a generalized Duffin–Kemmer equation for a spin-1 particle with two characteristics, anomalous magnetic moment and polarizability in the presence of external uniform magnetic and electric fields. After separating the variables, we obtained a system of 10 first-order partial differential equations for 10 functions fA(r,z). To resolve this complicated problem, we first took into account existing symmetry in the structure of the derived system. The main step consisted of applying a special method for fixing the r-dependence of ten functions fA(r,z),A=1,,10. We used the approach of Fedorov–Gronskiy, according to which the complete 10-component wave function is decomposed into the sum of three projective constituents. The dependence of each component on the polar coordinate r is determined by only one corresponding function, Fi(r),i=1,2,3. These three basic functions are constructed in terms of confluent hypergeometric functions, and in this process a quantization rule arises due to the presence of a magnetic field.In fact, this approach is a step-by-step algebraization of the systems of equations in partial derivatives. After that, we derived a system of 10 ordinary differential equations for 10 functions fA(z). This system was solved using the elimination method and with the help of special linear combinined with the involved functions. As a result, we found three separated second-order differential equations, and their solutions were constructed in the terms of the confluent hypergeometric functions. Thus, in this paper, the three types of solutions for a vector particle with two additional electromagnetic characteristics in the presence of both external uniform magnetic and electric fields. Full article
17 pages, 430 KB  
Article
Inhomogeneous Whittaker Equation with Initial and Boundary Conditions
by M. S. Abu Zaytoon, Hannah Al Ali and M. H. Hamdan
Mathematics 2025, 13(17), 2770; https://doi.org/10.3390/math13172770 - 28 Aug 2025
Cited by 1 | Viewed by 757
Abstract
In this study, a semi-analytical solution to the inhomogeneous Whittaker equation is developed for both initial and boundary value problems. A new class of special integral functions Ziκ,μf(x), along with their derivatives, is introduced to [...] Read more.
In this study, a semi-analytical solution to the inhomogeneous Whittaker equation is developed for both initial and boundary value problems. A new class of special integral functions Ziκ,μf(x), along with their derivatives, is introduced to facilitate the construction of the solution. The analytical properties of Ziκ,μf(x) are rigorously investigated, and explicit closed-form expressions for Ziκ,μf(x) and its derivatives are derived in terms of Whittaker functions Mκ,μ(z) and Wκ,μ(z), confluent hypergeometric functions, and other special functions including Bessel functions, modified Bessel functions, and the incomplete gamma functions, along with their respective derivatives. These expressions are obtained for specific parameter values using symbolic computation in Maple. The results contribute to the broader analytical framework for solving inhomogeneous linear differential equations with applications in engineering, mathematical physics, and biological modeling. Full article
Show Figures

Figure 1

21 pages, 330 KB  
Review
Schrödinger Potentials with Polynomial Solutions of Heun-Type Equations
by Géza Lévai and Tibor Soltész
Mathematics 2025, 13(12), 1963; https://doi.org/10.3390/math13121963 - 14 Jun 2025
Cited by 2 | Viewed by 1192
Abstract
The present review discusses the solution of the Heun, confluent, biconfluent, double confluent, and triconfluent equations in terms of polynomial expansions, and applies the results to generate exactly solvable Schrödinger potentials. Although there are more general approaches to solve these differential equations in [...] Read more.
The present review discusses the solution of the Heun, confluent, biconfluent, double confluent, and triconfluent equations in terms of polynomial expansions, and applies the results to generate exactly solvable Schrödinger potentials. Although there are more general approaches to solve these differential equations in terms of the expansions of certain special functions, the importance of polynomial solutions is unquestionable, as most of the known potentials are solvable in terms of the hypergeometric and confluent hypergeometric functions; i.e., Natanzon-class potentials possess bound-state solutions in terms of classical orthogonal polynomials, to which the (confluent) hypergeometric functions can be reduced. Since some of the Heun-type equations contain the hypergeometric and/or confluent hypergeometric differential equations as special limits, the potentials generated from them may also contain Natanzon-class potentials as special cases. A power series expansion is assumed around one of the singular points of each differential equation, and recurrence relations are obtained for the expansion coefficients. With the exception of the triconfluent Heun equations, these are three-term recurrence relations, the termination of which is achieved by prescribing certain conditions. In the case of the biconfluent and double confluent Heun equations, the expansion coefficients can be obtained in the standard way, i.e., after finding the roots of an (N + 1)th-order polynomial in one of the parameters, which, in turn, follows from requiring the vanishing of an (N + 1) × (N + 1) determinant. However, in the case of the Heun and confluent Heun equations, the recurrence relation can be solved directly, and the solutions are obtained in terms of rationally extended X1-type Jacobi and Laguerre polynomials, respectively. Examples for solvable potentials are presented for the Heun, confluent, biconfluent, and double confluent Heun equations, and alternative methods for obtaining the same potentials are also discussed. These are the schemes based on the rational extension of Bochner-type differential equations (for the Heun and confluent Heun equation) and solutions based on quasi-exact solvability (QES) and on continued fractions (for the biconfluent and double confluent equation). Possible further lines of investigations are also outlined concerning physical problems that require the solution of second-order differential equations, i.e., the Schrödinger equation with position-dependent mass and relativistic wave equations. Full article
(This article belongs to the Section E4: Mathematical Physics)
27 pages, 431 KB  
Article
On the Generalized Inverse Gaussian Volatility in the Continuous Ho–Lee Model
by Roman V. Ivanov
Computation 2025, 13(4), 100; https://doi.org/10.3390/computation13040100 - 19 Apr 2025
Cited by 1 | Viewed by 880
Abstract
This paper presents a new model of the term structure of interest rates that is based on the continuous Ho–Lee one. In this model, we suggest that the drift and volatility coefficients depend additionally on a generalized inverse Gaussian (GIG) distribution. Analytical expressions [...] Read more.
This paper presents a new model of the term structure of interest rates that is based on the continuous Ho–Lee one. In this model, we suggest that the drift and volatility coefficients depend additionally on a generalized inverse Gaussian (GIG) distribution. Analytical expressions for the bond price and its moments are found in the new GIG continuous Ho–Lee model. Also, we compute in this model the prices of European call and put options written on bond. The obtained formulas are determined by the values of the Humbert confluent hypergeometric function of two variables. A numerical experiment shows that the third and fourth moments of the bond prices differentiate substantially in the continuous Ho–Lee and GIG continuous Ho–Lee models. Full article
(This article belongs to the Section Computational Social Science)
Show Figures

Figure 1

15 pages, 331 KB  
Article
On a Certain Class of GA-Convex Functions and Their Milne-Type Hadamard Fractional-Integral Inequalities
by Abdelkader Moumen, Rabah Debbar, Badreddine Meftah, Khaled Zennir, Hicham Saber, Tariq Alraqad and Etaf Alshawarbeh
Fractal Fract. 2025, 9(2), 129; https://doi.org/10.3390/fractalfract9020129 - 19 Feb 2025
Viewed by 1047
Abstract
In this article, we prove a new Milne-type inequality involving Hadamard fractional integrals for functions with GA-convex first derivatives. The limits of the error estimates involve incomplete gamma and confluent hypergeometric functions. The results of this study open the door to [...] Read more.
In this article, we prove a new Milne-type inequality involving Hadamard fractional integrals for functions with GA-convex first derivatives. The limits of the error estimates involve incomplete gamma and confluent hypergeometric functions. The results of this study open the door to further investigation of this subject, as well as extensions to other forms of generalized convexity, weighted formulas, and higher dimensions. Full article
(This article belongs to the Special Issue Mathematical and Physical Analysis of Fractional Dynamical Systems)
Show Figures

Figure 1

15 pages, 355 KB  
Article
Exact Expressions for Kullback–Leibler Divergence for Univariate Distributions
by Victor Nawa and Saralees Nadarajah
Entropy 2024, 26(11), 959; https://doi.org/10.3390/e26110959 - 7 Nov 2024
Cited by 5 | Viewed by 3388
Abstract
The Kullback–Leibler divergence (KL divergence) is a statistical measure that quantifies the difference between two probability distributions. Specifically, it assesses the amount of information that is lost when one distribution is used to approximate another. This concept is crucial in various fields, including [...] Read more.
The Kullback–Leibler divergence (KL divergence) is a statistical measure that quantifies the difference between two probability distributions. Specifically, it assesses the amount of information that is lost when one distribution is used to approximate another. This concept is crucial in various fields, including information theory, statistics, and machine learning, as it helps in understanding how well a model represents the underlying data. In a recent study by Nawa and Nadarajah, a comprehensive collection of exact expressions for the Kullback–Leibler divergence was derived for both multivariate and matrix-variate distributions. This work is significant as it expands on our existing knowledge of KL divergence by providing precise formulations for over sixty univariate distributions. The authors also ensured the accuracy of these expressions through numerical checks, which adds a layer of validation to their findings. The derived expressions incorporate various special functions, highlighting the mathematical complexity and richness of the topic. This research contributes to a deeper understanding of KL divergence and its applications in statistical analysis and modeling. Full article
(This article belongs to the Section Information Theory, Probability and Statistics)
Show Figures

Figure 1

13 pages, 260 KB  
Article
Self-Similar Solutions of a Multidimensional Degenerate Partial Differential Equation of the Third Order
by Ainur Ryskan, Zafarjon Arzikulov, Tuhtasin Ergashev and Abdumauvlen Berdyshev
Mathematics 2024, 12(20), 3188; https://doi.org/10.3390/math12203188 - 11 Oct 2024
Cited by 2 | Viewed by 1047
Abstract
When studying the boundary value problems’ solvability for some partial differential equations encountered in applied mathematics, we frequently need to create systems of partial differential equations and explicitly construct linearly independent solutions explicitly for these systems. Hypergeometric functions frequently serve as solutions that [...] Read more.
When studying the boundary value problems’ solvability for some partial differential equations encountered in applied mathematics, we frequently need to create systems of partial differential equations and explicitly construct linearly independent solutions explicitly for these systems. Hypergeometric functions frequently serve as solutions that satisfy these systems. In this study, we develop self-similar solutions for a third-order multidimensional degenerate partial differential equation. These solutions are represented using a generalized confluent Kampé de Fériet hypergeometric function of the third order. Full article
(This article belongs to the Section C1: Difference and Differential Equations)
Back to TopTop