Sign in to use this feature.

Years

Between: -

Subjects

remove_circle_outline
remove_circle_outline
remove_circle_outline
remove_circle_outline
remove_circle_outline
remove_circle_outline
remove_circle_outline
remove_circle_outline
remove_circle_outline

Journals

Article Types

Countries / Regions

Search Results (60)

Search Parameters:
Keywords = concrete equivalent mortar

Order results
Result details
Results per page
Select all
Export citation of selected articles as:
19 pages, 3935 KB  
Article
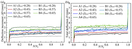
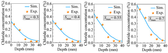
Deflection Calculation of Fatigue-Damaged RC Beams Under Chloride Exposure
by Jian Yang, Jieqiong Wu, Liu Jin and Xiuli Du
Buildings 2025, 15(23), 4374; https://doi.org/10.3390/buildings15234374 - 2 Dec 2025
Viewed by 172
Abstract
A prediction methodology for the mid-span deflection of fatigue-damaged RC beams subjected to chloride-induced corrosion is proposed, incorporating the coupled effects of fatigue stress levels and localized pitting corrosion in steel reinforcement. The reliability of the methodology is validated through experimental comparisons. The [...] Read more.
A prediction methodology for the mid-span deflection of fatigue-damaged RC beams subjected to chloride-induced corrosion is proposed, incorporating the coupled effects of fatigue stress levels and localized pitting corrosion in steel reinforcement. The reliability of the methodology is validated through experimental comparisons. The effects of fatigue stress are quantified via two mechanisms: degradation of the concrete elastic modulus and the development of fatigue-induced cracks in the steel reinforcement, which reduces its effective cross-sectional area. Pitting corrosion is simplified as equivalent surface cracks. To determine the chloride concentration within the concrete cover for predicting steel pit depth, a 3D meso-scale model is developed to simulate chloride ingress in fatigue-damaged concrete. The concrete is treated as a three-phase composite composed of coarse aggregate, mortar matrix, and the interfacial transition zone (ITZ), and each phase has its own diffusion coefficient. Based on previous chloride concentration tests, the effect of fatigue loading is considered by the accelerated and depth-dependent diffusion coefficients. Based on the meso-scale simulation results, mid-span deflections of fatigue-damaged RC beams under varying chloride exposure durations are predicted. The findings conclusively demonstrate that, under prolonged chloride erosion, the mechanical stress state remains the predominant factor governing structural deformation, overshadowing time-dependent corrosion effects. Full article
(This article belongs to the Section Building Structures)
Show Figures

Figure 1

21 pages, 6005 KB  
Article
The Uniaxial Compressive Constitutive Behavior and Mesoscopic Numerical Simulation of HPC Incorporating ASR Mitigation Measures After Ten Years of Alkali Solution Immersion
by Fang Wang, Juan Guo, Weifeng Liu, Hongfa Yu, Weiquan Gao, Jun Yan and Qinghua Tao
Buildings 2025, 15(22), 4196; https://doi.org/10.3390/buildings15224196 - 20 Nov 2025
Viewed by 305
Abstract
The salt lake and saline–alkali soil regions of high plateaus are characterized by widespread Alkali–silica reactive (ASR) aggregates, which severely threaten the durability of constructed infrastructure, including railways, highways, and buildings. The research systematically investigates the uniaxial compressive mechanical behavior and stress–strain constitutive [...] Read more.
The salt lake and saline–alkali soil regions of high plateaus are characterized by widespread Alkali–silica reactive (ASR) aggregates, which severely threaten the durability of constructed infrastructure, including railways, highways, and buildings. The research systematically investigates the uniaxial compressive mechanical behavior and stress–strain constitutive relationship of high-performance concrete (HPC) with ASR mitigation measures (performance grades C40, C45, C50, and C60) after ten years of immersion in a standard alkali solution. A corresponding three-dimensional random aggregate mesoscopic concrete model was developed, and mesomechanical numerical simulations were performed to explore the failure process, failure patterns, and underlying mesoscopic damage mechanisms of the specimens. Results show that While the uniaxial compressive strength and elastic modulus of HPC show an expected increase with the concrete strength grade following long-term alkali exposure, both properties demonstrate a clear decline as the equivalent alkali content rises. Comparing and analyzing the C50 specimens of different admixtures, it was found that the air-entraining agent provided the most effective ASR suppression and obtained the highest uniaxial compressive strength compared with the rust inhibitor. By normalizing the stress–strain curves, the long-term constitutive behavior of HPC under alkali corrosion was summarized. Furthermore, mesoscopic model visualizations indicate that cracks initially appear in the mortar and gradually propagate inward during loading, leading to compressive failure characterized by diagonal cracks. Tracking the mesoscopic damage patterns within the specimens demonstrates that microcracks originate in the mortar and progressively extend through aggregates, revealing the underlying micro-damage mechanism. By studying the SEM-EDS images, it is found that HPC with a specific mix ratio designed in this paper can effectively inhibit the ASR effect, and it still has good corrosion resistance in long-term alkali immersion. Full article
Show Figures

Figure 1

25 pages, 6415 KB  
Article
Microscopic Numerical Simulation of Compressive Performance of Steel-Recycled PET Hybrid Fiber Recycled Concrete
by Shaolong Guo, Qun Lu, Krzysztof Robert Czech and Julita Krassowska
Buildings 2025, 15(21), 3893; https://doi.org/10.3390/buildings15213893 - 28 Oct 2025
Viewed by 364
Abstract
Numerical simulations, unlike experimental studies, eliminate material and setup costs while significantly reducing testing time. In this study, a random distribution program for steel-recycled polyethylene terephthalate hybrid fiber recycled concrete (SRPRAC) was developed in Python (3.11), enabling direct generation in Abaqus. Mesoscopic simulation [...] Read more.
Numerical simulations, unlike experimental studies, eliminate material and setup costs while significantly reducing testing time. In this study, a random distribution program for steel-recycled polyethylene terephthalate hybrid fiber recycled concrete (SRPRAC) was developed in Python (3.11), enabling direct generation in Abaqus. Mesoscopic simulation parameters were calibrated through debugging and sensitivity analysis. The simulations examined the compressive failure mode of SRPRAC and the influence of different factors. Results indicate that larger recycled coarse aggregate particle sizes intensify tensile and compressive damage in the interfacial transition zone between the coarse aggregate and mortar. Loading rate strongly affects outcomes, while smaller mesh sizes yield more stable results. Stronger boundary constraints at the top and bottom surfaces lead to higher peak stress, peak strain, and residual stress. Failure was mainly distributed within the specimen, forming a distinct X-shaped damage zone. Increasing fiber content reduced the equivalent plastic strain area above the compressive failure threshold, though the effect diminished beyond 1% total fiber volume. During initial loading, steel fibers carried higher tensile stresses, whereas recycled polyethylene terephthalate fibers (rPETF) contributed less. After peak load, tensile stress in rPETF increased significantly, complementing the gradual stress increase in steel fibers. The mesoscopic model effectively captured the stress–strain damage behavior of SRPRAC under compression. Full article
Show Figures

Figure 1

22 pages, 3041 KB  
Article
Experimental and Numerical Study Assessing the Synergistic Effect of Metakaolin and Waste Glass on the Concrete Mechanical and Structural Properties
by Ali Jahami, Hektor Frangieh, Joseph Assaad, Ahmad Alkhatib, Cigdem Avci-Karatas and Nicola Chieffo
Buildings 2025, 15(17), 3185; https://doi.org/10.3390/buildings15173185 - 4 Sep 2025
Viewed by 899
Abstract
This study presents a rigorous experimental and numerical investigation of the synergistic effect of metakaolin (MK) and waste glass (WG) on the structural performance of reinforced concrete (RC) beams without stirrups. A two-phase methodology was adopted: (i) optimization of MK and WG replacement [...] Read more.
This study presents a rigorous experimental and numerical investigation of the synergistic effect of metakaolin (MK) and waste glass (WG) on the structural performance of reinforced concrete (RC) beams without stirrups. A two-phase methodology was adopted: (i) optimization of MK and WG replacement levels through concrete-equivalent mortar mixtures and (ii) evaluation of the fresh and hardened properties of concrete, including compressive and tensile strengths, elastic modulus, sorptivity, and beam shear capacity. Five beam groups incorporating up to 30% MK, 15% WG, and 1% steel fiber were tested under four-point bending. The results demonstrated that MK enhanced compressive strength (up to 22%), WG improved workability but reduced ductility, and the combined system achieved a 13% increase in shear strength relative to the control. Steel fibers further restored ductility, increasing the ductility index from 1.338 for WG-only beams to 2.489. Finite Element Modeling (FEM) using ABAQUS with the Concrete Damage Plasticity (CDP) model reproduced experimental (EXP) load–deflection responses, peak loads, and crack evolution with high fidelity. This confirmed the predictive capability of the numerical framework. By integrating material-level optimization, structural-scale testing, and validated FEM simulations, this study provides robust evidence that MK–WG concrete, especially when fiber-reinforced, delivers mechanical, durability, and structural performance improvements. These findings establish a reliable pathway for incorporating sustainable cementitious blends into design-oriented applications, with direct implications for the advancement of performance-based structural codes. Full article
Show Figures

Figure 1

15 pages, 3722 KB  
Article
Effect of Curing Parameter on the Performance of Electric-Induced Heating-Cured Carbon Fiber-Reinforced Conductive Cement-Based Materials: Experiment and Finite Element Method Analysis
by Jiabin Xie, Yishu Zhang, Weichen Tian, Zhanlin Zhang and Wei Wang
Materials 2025, 18(17), 4057; https://doi.org/10.3390/ma18174057 - 29 Aug 2025
Cited by 1 | Viewed by 657
Abstract
Winter concrete construction is a pivotal engineering issue that needs to be addressed due to the failure of cementitious materials to hydrate under severely low temperatures. To solve the problem, the electric-induced heating curing (EIH) method was presented to prepare cement mortar (CF-CM) [...] Read more.
Winter concrete construction is a pivotal engineering issue that needs to be addressed due to the failure of cementitious materials to hydrate under severely low temperatures. To solve the problem, the electric-induced heating curing (EIH) method was presented to prepare cement mortar (CF-CM) at an environmental temperature of −20 °C. The influence of some key parameters, including carbon fiber (CF) content (0–0.9 vol%), preparation methods, and EIH curing regimes (constant power vs. constant voltage; frequency: 30–70 Hz), on the performance of CF-CM were examined. Furthermore, the curing temperature of EIH-cured specimens were simulated based on COMSOL Multiphysics software. The results demonstrated that the electrical percolation threshold of CFs inside the specimen was 0.6 vol%. EIH curing achieved 1-day early strength equivalent to 2 days of standard curing, and increasing CF content showed little influence on the mechanical properties of CF-CM specimens. Moreover, constant-power EIH maintained stable curing temperatures (>50 °C), outperforming unstable constant voltage curing. Applied frequency (30–70 Hz) exhibited negligible impact on compressive strength, validating standard 50 Hz AC for practical application. Furthermore, the optimal EIH power density identified based on COMSOL Multiphysics software was 667 W/m2, successfully maintaining specimen temperatures between 60 °C and 70 °C to enable rapid strength development under sub-zero conditions, laying a foundation for the use of COMSOL in the guidance of EIH curing regime design. This work provides a scientifically grounded and applicable solution for winter concrete construction. Full article
Show Figures

Figure 1

16 pages, 4908 KB  
Article
Long-Lifetime Ag/AgCl Electrodes Prepared by Pulse Current Electrodeposition for Chloride Monitoring in the Concrete Environment
by Xiangyu Lu, Jing Hu, Xingguo Feng, Qiyan Zhou, Zhanqing Qu, Jisheng Zhang, Ruihu Zhu, Huaqing Zhang and Songgui Chen
Sensors 2025, 25(16), 5032; https://doi.org/10.3390/s25165032 - 13 Aug 2025
Viewed by 813
Abstract
Lifetimes of Ag/AgCl electrodes determine whether it is possible to monitor the concentration of chloride ions in marine concrete structures. A novel manufacturing method, pulse current electrodeposition at a low current density, was proposed to prepare the long-lifetime Ag/AgCl electrode. Influences of electrodeposition [...] Read more.
Lifetimes of Ag/AgCl electrodes determine whether it is possible to monitor the concentration of chloride ions in marine concrete structures. A novel manufacturing method, pulse current electrodeposition at a low current density, was proposed to prepare the long-lifetime Ag/AgCl electrode. Influences of electrodeposition duration were investigated on the Nernst response, exchange current density, and lifetime of Ag/AgCl electrodes, and the properties were also compared to those of the ones electrodeposited by applying constant currents. Ag/AgCl electrodes prepared with the pulse current exhibited a wider potential response, a higher exchange current density, and a longer lifetime than those prepared by the constant current under the same equivalent charge transfer conditions. AgCl film on the electrode prepared with the pulse current displayed a thicker layer, a lower density of micropores, a higher Cl/O ratio, and a lower Ag/Cl ratio than those of its counterpart electrodeposited by applying the constant current. The lifetime of the Ag/AgCl electrode was mainly determined by the thickness of AgCl films in the concrete environment. The lifetimes of the Ag/AgCl electrode, which was prepared with a 0.1 mA cm−2 pulse current for 15 h, were 420 h in pore solution and more than 3500 h in mortar, respectively. In addition, the potential of this Ag/AgCl electrode did not show any significant decrease after 3500 h in the mortar without Cl. The results suggest that pulse current electrodeposition is an effective method to improve the lifetimes of Ag/AgCl electrodes in concrete. Full article
(This article belongs to the Section Electronic Sensors)
Show Figures

Figure 1

16 pages, 1674 KB  
Article
Feasibility of the Maturity Concept for Strength Prediction in Geopolymer Based Materials
by Rafah R. Abdulmajid, Dillshad K. Bzeni, Farid H. Abed and Hussein M. Hamada
J. Compos. Sci. 2025, 9(7), 329; https://doi.org/10.3390/jcs9070329 - 26 Jun 2025
Cited by 3 | Viewed by 1033 | Correction
Abstract
The aim of this work is to investigate the effect of curing temperature and time on the development of compressive strength in geopolymer mortars produced using ground granulated blast-furnace slag (GGBFS) and fly ash (FA). Considering curing circumstances, both the activation energy and [...] Read more.
The aim of this work is to investigate the effect of curing temperature and time on the development of compressive strength in geopolymer mortars produced using ground granulated blast-furnace slag (GGBFS) and fly ash (FA). Considering curing circumstances, both the activation energy and the reference temperature could be used properly to build a reliable anticipated model for predicting the compressive strength of geopolymer-based products (mortar and concrete) using maturity-based techniques. In this study, the compressive strength development of geopolymer mortar made from (FA) and (GGBFS) under varying curing conditions. The mortar was prepared using an alkali solution of sodium hydroxide (NaOH) and sodium silicate (Na2SiO3) in a 1:1 ratio, with NaOH molarity of 12. Specimens were cast following ASTM C109 standards, with a binder/sand ratio of 1:2.75, and compacted for full densification. FA-based mortar was cured at 40 °C, 80 °C, and 120 °C, while GGBFS-based mortar was cured at 5 °C, 15 °C, and 40 °C for durations of 0.5 to 32 days. Compressive strength was evaluated at each curing period, and data were analyzed using ASTM C1074 procedures alongside a computational model to determine the best-fit datum temperature and activation energy. The Nurse-Saul maturity method and Arrhenius equation were applied to estimate the equivalent age and maturity index of each mix. A predictive model was developed for geopolymer concrete prepared at an alkali-to-binder ratio of 0.45 and NaOH molarity of 12. The final equation demonstrated high accuracy, offering a reliable tool for predicting geopolymer strength under diverse curing conditions and providing valuable insights for optimizing geopolymer concrete formulations. Full article
Show Figures

Figure 1

20 pages, 5058 KB  
Article
Use of Sands from Wastewater Treatment Plants as a Substitute for Natural Aggregate in the Context of a Circular Economy
by Monika Czop, Elwira Zajusz-Zubek and Beata Łaźniewska-Piekarczyk
Sustainability 2025, 17(12), 5471; https://doi.org/10.3390/su17125471 - 13 Jun 2025
Cited by 1 | Viewed by 910
Abstract
In light of the global raw material crisis and the ongoing degradation of the natural environment, this study provides a significant contribution to the advancement of the circular economy in the construction sector. The authors conducted a comprehensive analysis of the feasibility of [...] Read more.
In light of the global raw material crisis and the ongoing degradation of the natural environment, this study provides a significant contribution to the advancement of the circular economy in the construction sector. The authors conducted a comprehensive analysis of the feasibility of using waste sands originating from wastewater treatment plants as substitutes for natural fine aggregates in concrete mixtures. The investigation included the evaluation of the physicochemical, environmental, and mechanical properties of the analyzed waste sands. The results demonstrate a high application potential for sewer cleaning sand (SC), which, in its current form, can be used in non-structural applications. The key advantages of the sand that was examined include a high sand-equivalent value (98.2%), low contents of impurities (LOI < 1.5%), and a favorable chemical composition. Leaching tests for harmful substances, including heavy metals, for both the sand and the mortar samples, did not indicate any significant environmental risk. One principal conclusion of the study is the identification of the possibility of closing the waste life cycle at the wastewater treatment plant stage, which could significantly contribute to the reduction of landfilled waste volumes and operational costs. Full article
Show Figures

Graphical abstract

19 pages, 1980 KB  
Article
Durability Assessment of Binary and Ternary Eco-Friendly Mortars with Low Cement Content
by Lucas Henrique Pereira Silva, Jacqueline Roberta Tamashiro, Fabio Friol Guedes de Paiva, João Henrique da Silva Rego, Miguel Angel de la Rubia, Angela Kinoshita and Amparo Moragues Terrades
Solids 2025, 6(2), 28; https://doi.org/10.3390/solids6020028 - 3 Jun 2025
Viewed by 1140
Abstract
Global cement manufacturing generated 1.6 billion metric tons of CO2 in 2022 and relies heavily on non-renewable raw materials. Utilizing agro-industrial waste as supplementary cementitious material (SCM) can help mitigate the demand for these resources. SCMs have been integrated into cement production [...] Read more.
Global cement manufacturing generated 1.6 billion metric tons of CO2 in 2022 and relies heavily on non-renewable raw materials. Utilizing agro-industrial waste as supplementary cementitious material (SCM) can help mitigate the demand for these resources. SCMs have been integrated into cement production to deliver both technical and environmental benefits to mortars and concrete. This study examines mortar blends containing blast furnace slag (BFS), Brazilian calcined clay (BCC), and bamboo leaf ash (BLA). While BFS and BCC are already established in the cement industry, recent research has highlighted BLA as a promising pozzolanic material. The SCMs were characterized, and mortars were produced to assess their flexural and compressive strength, as well as durability indicators such as electrical resistivity, chloride diffusion, migration coefficient, and carbonation resistance. The findings reveal significant performance enhancements. Partial cement replacement (20% and 40%) maintained the strength of both binary and ternary mortars, demonstrating statistical equivalence to the reference mortar (p > 0.05). It also contributed to an improved pore structure, reducing the migration coefficient by up to four times in the 20BLA20BCC mix (which replaces 20% of cement with BLA and 20% with BCC) compared to the reference mix. Chemically, the SCMs enhanced the chloride-binding capacity of the cementitious matrix by up to seven times in the case of the 20BCC mortar, thereby improving its durability. Therefore, all tested compositions—binary and ternary—showed mechanical and durability advantages over the reference while also contributing to the reduction in environmental impacts associated with the cement industry. Full article
Show Figures

Figure 1

25 pages, 12319 KB  
Article
Possibilities of K-Value Determination for Active Admixtures with Respect to Durability
by Petr Šperling, Rudolf Hela, Adam Hubáček, Tereza Stará and Richard Dvořák
Materials 2025, 18(10), 2227; https://doi.org/10.3390/ma18102227 - 12 May 2025
Viewed by 827
Abstract
This paper discusses the possibility of determining k-values for active admixtures concerning durability factors such as the depth of penetration of water under pressure and the depth of carbonation of cement mortars with fly ash. The k-value considers the use of active admixtures [...] Read more.
This paper discusses the possibility of determining k-values for active admixtures concerning durability factors such as the depth of penetration of water under pressure and the depth of carbonation of cement mortars with fly ash. The k-value considers the use of active admixtures in concrete when calculating the water/cement ratio and the equivalent amount of binder. Currently, only the effect of the active admixture on the compressive strength of concrete and cement mortars is considered when determining the k-value, but not the effect of the active admixture on durability. To account for the influence of durability factors on the determination of the k-value, the mathematical functions of the property, dependent on the water/cement ratio and the age of the cement mortar, were constructed using regression analysis. From the determined functions, it was then possible to use an optimisation problem to determine the k-value so the difference between the actual measurement and calculated depth of pressure water seepage or carbonation was as small as possible. A high coefficient of determination of 0.9855 was achieved for the pressure water seepage depth function, but the coefficient of determination for the carbonation depth was lower. Full article
Show Figures

Figure 1

15 pages, 3700 KB  
Article
Material–Structural Synergy in Ultra-High-Performance Concrete-Optimized Prestressed Concrete Cylinder Pipes: Achieving Lightweight Design for Sustainable Infrastructure
by Yunfei Xie, Chenyang Yuan, Yajun Lv, Weifeng Bai and Yizhen Zhang
Materials 2025, 18(9), 2144; https://doi.org/10.3390/ma18092144 - 6 May 2025
Cited by 1 | Viewed by 873
Abstract
While a large diameter is critical for maintaining water delivery efficiency in prestressed concrete cylinder pipes (PCCPs), excessive weight fundamentally limits their practical application. This study proposes a weight reduction strategy through material optimization and structural redesign. A full-scale experimental model of 2.8 [...] Read more.
While a large diameter is critical for maintaining water delivery efficiency in prestressed concrete cylinder pipes (PCCPs), excessive weight fundamentally limits their practical application. This study proposes a weight reduction strategy through material optimization and structural redesign. A full-scale experimental model of 2.8 m inner diameter PCCP was used to validate the finite element analysis method. Comparative numerical models were established to analyze strain/stress distribution in mortar coatings when using ultra-high-performance concrete (UHPC) versus conventional concrete cores. The key findings reveal that UHPC implementation reduces maximum coating strain by 20–30% compared to its conventional concrete counterparts. Multivariate linear regression analysis yielded a predictive formula that explicitly correlates the elastic modulus of the concrete core, core thickness, and mortar stress. This relationship permits the direct optimization of core thickness reductions according to the elastic modulus characteristics of UHPC materials. Verification through two case studies demonstrated a 25–35% core thickness reduction compared to the Chinese standard specifications while maintaining structural integrity, corresponding to an 18–22% total weight reduction. The proposed methodology successfully resolves the inherent weight limitation of conventional PCCPs while achieving equivalent hydraulic capacity, providing an effective pathway for sustainable infrastructure development through material-efficient design. Full article
(This article belongs to the Section Construction and Building Materials)
Show Figures

Figure 1

21 pages, 1947 KB  
Article
Assessment of Mechanical and Ecotoxicological Properties of Mortar with Wood Waste Biochar as Partial Cement Replacement
by Maša Legan, Petra Štukovnik, Klementina Zupan and Andreja Žgajnar Gotvajn
Materials 2025, 18(4), 876; https://doi.org/10.3390/ma18040876 - 17 Feb 2025
Cited by 1 | Viewed by 1130
Abstract
For several decades, cement production has caused concerns about CO2 emissions. As the production of concrete has increased over the years, the fact that cement is its key component additionally raises a concern. By partially replacing cement with waste material such as [...] Read more.
For several decades, cement production has caused concerns about CO2 emissions. As the production of concrete has increased over the years, the fact that cement is its key component additionally raises a concern. By partially replacing cement with waste material such as biomass waste biochar, the reduction in waste and the reduction of CO2 emissions could be addressed at the same time but raises a concern about the ecotoxicological potential of biochar-containing cementitious composites. During their use, recycling and disposal of biochar-containing mortars could pose hazardous environmental impacts due to their exposure to rain and other environmental conditions. The aim of the study was to determine the early-age mechanical properties of mortars with 5%, 10%, and 15% biochar as partial cement replacement. The environmental impact of biochar-containing mortars in terms of carbon footprint reduction and ecotoxicological potential was addressed simultaneously. The biochar used was prepared from waste wood biomass as carpentry waste wood. Results showed that added biochar caused no significant changes in flowability and fresh density of fresh mortar mixture. The strength tests revealed mortars with 5% and 10% biochar had higher 3-day flexural strength, while only mortar with 5% biochar had higher 7- and 28-day compressive strength (4% and 6%) than the conventional mortar. The X-ray diffraction (XRD) analysis detected five main crystalline phases in biochar-containing mortars. SEM-EDS showed the strong embedment of biochar particles in cement paste. Ecotoxicological assessment based on acute toxicity tests with mortar leachates using duckweed and mustard seeds showed low toxicity of leachates with the highest inhibition values around 50%. The calculations of the total CO2-equivalent emissions for selected mortars revealed mortars with biochar as partial cement replacement had lower CO2-equivalent emissions than the conventional mortar and can contribute to carbon footprint reduction and at the same time to natural resource conservation. Full article
Show Figures

Figure 1

43 pages, 4073 KB  
Systematic Review
Concrete Mix Design of Recycled Concrete Aggregate (RCA): Analysis of Review Papers, Characteristics, Research Trends, and Underexplored Topics
by Lapyote Prasittisopin, Wiput Tuvayanond, Thomas H.-K. Kang and Sakdirat Kaewunruen
Resources 2025, 14(2), 21; https://doi.org/10.3390/resources14020021 - 28 Jan 2025
Cited by 26 | Viewed by 12178
Abstract
Recycled concrete aggregate (RCA) has been widely adopted in construction and emerged as a sustainable alternative to conventional natural aggregates in the construction industry. However, the study of holistic perspectives in recent literature is lacking. This review paper aims to provide a comprehensive [...] Read more.
Recycled concrete aggregate (RCA) has been widely adopted in construction and emerged as a sustainable alternative to conventional natural aggregates in the construction industry. However, the study of holistic perspectives in recent literature is lacking. This review paper aims to provide a comprehensive analysis of RCA, highlighting its properties, applications, and overall sustainability benefits to facilitate the comprehensive points of view of technology, ecology, and economics. This paper explores the manufacturing process of RCA, examines its mechanical and durability characteristics, and investigates its environmental impacts. Furthermore, it delves into the various applications of RCA, such as road construction materials, pavement bases, and concrete materials, considering their life cycle performance and economic considerations. This review reveals that there is a need for systemic data collection that could enable automated concrete mix design. The findings concerning various mix concrete designs suggest that increasing the 1% replacement level reduces the compressive strength by 0.1913% for coarse RCA and 0.2418% for fine RCA. The current critical research gaps are the durability of RCA concrete, feasibility analyses, and the implementation of treatment methods for RCA improvement. An effective life cycle assessment tool and digitalization technologies can be applied to enhance the circular economy, aligning with the United Nations’ sustainable development goals (UN-SDGs). The equivalent mortar volume method used to calculate the RCA concrete mix design, which can contain chemical additives, metakaolin, and fibers, needs further assessment. Full article
Show Figures

Figure 1

20 pages, 3165 KB  
Article
Analysis of the Influence of Excavated Soil Sand Characteristics on the Rheological and Mechanical Properties of Hydraulic Mortars
by Lara Saad, Mustapha Nouri, Mahfoud Tahlaiti, Abdelhafid Khelidj, Julien Fruchet and Prannoy Suraneni
Buildings 2025, 15(3), 353; https://doi.org/10.3390/buildings15030353 - 23 Jan 2025
Viewed by 1761
Abstract
This work investigates the effects of substituting natural sand with excavated soil sand in the formulation of hydraulic mortar developed from a self-compacting concrete (SCC). Four excavated soil sand deposits were studied to assess their physicochemical properties. Subsequently, a reference mortar (RM) was [...] Read more.
This work investigates the effects of substituting natural sand with excavated soil sand in the formulation of hydraulic mortar developed from a self-compacting concrete (SCC). Four excavated soil sand deposits were studied to assess their physicochemical properties. Subsequently, a reference mortar (RM) was designed using the concrete equivalent mortar method. Furthermore, the effect of incorporating 30% of excavation soil sand under different moisture conditions (natural storage conditions, dry and saturated surface dry state) on the properties of mortar is studied. Spreading tests were carried out to observe how the rheological properties evolve over time. The study includes compressive and flexural strength tests at 2, 7, 14 and 28 days. The results showed that some sands had densities similar to those of natural alluvial sand, while others had lower densities. Water absorption values varied considerably from one sand to another, with some showing values ranging from 1% to 6%, while other sands had values of up to 10%. The results of spreading tests indicate that mortar made with sand in a saturated dry-surface state is more fluid than mortar made with sand in a dry state. Under all conditions, all mortars lose their fluidity over time. The variation in compressive strength among all excavated soil sand mortars compared to the reference mortar remained below 10% at 2 and 28 days, except for one sand with a high clay content. The incorporation of excavated soil sand at this percentage as a substitute for river sand led to an enhancement in the flexural strength of the mortar, with improvements of 40% and 50% observed for certain types of excavated sand. The statistical study revealed a strong relationship between the properties of the sand (in particular, the fines content and their nature, as well as the sand skeleton) and its saturation state, the flowability and the compressive strength of the mortar. Full article
(This article belongs to the Section Building Materials, and Repair & Renovation)
Show Figures

Figure 1

11 pages, 1952 KB  
Article
A New Approach for Predicting Strength Based on Temperature-Time History Using Two-Parameter Maturity ANN Models
by Jerzy Wawrzeńczyk
Materials 2024, 17(24), 6157; https://doi.org/10.3390/ma17246157 - 17 Dec 2024
Cited by 1 | Viewed by 903
Abstract
One widely used method to predict concrete strength development based on temperature variations during curing is the equivalent maturity time (te) method. This method uses the activation energy (Ea) as its key parameter, which reflects the cement’s sensitivity to temperature. However, research shows [...] Read more.
One widely used method to predict concrete strength development based on temperature variations during curing is the equivalent maturity time (te) method. This method uses the activation energy (Ea) as its key parameter, which reflects the cement’s sensitivity to temperature. However, research shows that the Ea value varies depending on factors such as cement type, water/cement ratio, temperature, and additives. The permanent subject of discussion is the question of what value of the Ea parameter should be assumed. In this paper, a new approach is proposed by using a neural network analysis method to develop a strength–temperature history model. It was assumed that the ANN-fc% = f(Q, E, T, t) model would have 4 inputs: hydration heat (Q), activation energy (Ea), temperature (T), and time (t). The research was conducted on mortars using 6 cements, at curing temperatures ranging from 5 to 35 °C, assessing strength over a 90 day period. The results showed that the ANN analysis method allows for estimating the relative compressive strength with sufficient accuracy. Analysis of the input nodes indicated that Q influences early strength gain, while Ea affects later strength development. The application of the ANN model for calculating strength based on temperature changes during maturation was illustrated. Full article
Show Figures

Figure 1

Back to TopTop