Sign in to use this feature.

Years

Between: -

Subjects

remove_circle_outline
remove_circle_outline
remove_circle_outline
remove_circle_outline
remove_circle_outline
remove_circle_outline
remove_circle_outline
remove_circle_outline
remove_circle_outline

Journals

remove_circle_outline
remove_circle_outline
remove_circle_outline
remove_circle_outline
remove_circle_outline

Article Types

Countries / Regions

remove_circle_outline
remove_circle_outline
remove_circle_outline
remove_circle_outline

Search Results (912)

Search Parameters:
Keywords = compressor efficiencies

Order results
Result details
Results per page
Select all
Export citation of selected articles as:
17 pages, 836 KB  
Article
Simplifications in the Optimization of Heat Pumps and Their Comparison for Effects on the Accuracy of the Results
by Maurice Görgen, Louisa Zaubitzer and Frank Alsmeyer
Energies 2026, 19(3), 635; https://doi.org/10.3390/en19030635 - 26 Jan 2026
Abstract
This work presents a model that calculates temperature-dependent heat pump performances as a circular heat pump process as a reference model. The model is then systematically simplified by making assumptions or applying functional approximations to key variables. These simplifications include linearization of the [...] Read more.
This work presents a model that calculates temperature-dependent heat pump performances as a circular heat pump process as a reference model. The model is then systematically simplified by making assumptions or applying functional approximations to key variables. These simplifications include linearization of the substance database calculations and modeling of the compressor efficiency as a function or constant. The effects of these simplifications on the accuracy of results are quantified and compared with other modeling approaches from the literature suitable for linear and bilinear optimization issues. Initial comparisons show that the root mean square error of the model achieves better results than comparable methods. While the root mean square error of the COP in linearized models in the compared literature ranges from 0.433 to 1.233, it can be improved to a maximum of 0.335 using the approach presented. Full article
Show Figures

Figure 1

21 pages, 3597 KB  
Article
Turbocharging Matching Investigation for High-Altitude Power Recovery in Aviation Hydrogen Internal Combustion Engines
by Weicheng Wang and Yu Yan
Fire 2026, 9(2), 51; https://doi.org/10.3390/fire9020051 - 23 Jan 2026
Viewed by 52
Abstract
Aviation hydrogen internal combustion engines represent a critical pathway for rapid decarbonization due to their reliability and compatibility with existing aircraft platforms. However, the significant reduction in air density at high altitudes causes severe power degradation in naturally aspirated port-fuel-injected hydrogen internal combustion [...] Read more.
Aviation hydrogen internal combustion engines represent a critical pathway for rapid decarbonization due to their reliability and compatibility with existing aircraft platforms. However, the significant reduction in air density at high altitudes causes severe power degradation in naturally aspirated port-fuel-injected hydrogen internal combustion engines, making turbocharging essential for maintaining propulsion capability. This study utilizes a combined experimental and simulation framework to investigate turbocharger matching for power recovery in a 1.4 L hydrogen engine. A simulation model was constructed and validated against experimental data within a 5% error margin to ensure technical accuracy. Theoretical compressor and turbine operating parameters were derived for altitudes ranging from 4 to 8 km, comparing two boost-pressure control strategies: variable geometry turbine and waste-gate turbine. The results demonstrate that both boosting strategies successfully restore sea-level power at altitudes up to 8 km, increasing high-altitude power output by approximately four-fold to five-fold compared to naturally aspirated conditions. Specifically, the variable of geometry turbine demonstrates superior overall performance, maintaining normalized turbine efficiencies between 78.4% and 96.3% while achieving lower pumping losses and improved brake thermal efficiency. These advantages arise from the variable geometry turbine’s ability to optimize exhaust-energy utilization across varying altitudes. This study establishes a quantitative methodology for turbocharger matching, providing essential guidance for developing efficient, high-altitude hydrogen propulsion systems. Full article
20 pages, 2924 KB  
Article
Energy–Exergy–Exergoeconomic Evaluation of a Two-Stage Ammonia Refrigeration Cycle Under Industrial Operating Conditions
by Ayşe Bilgen Aksoy and Yunus Çerçi
Appl. Sci. 2026, 16(3), 1163; https://doi.org/10.3390/app16031163 - 23 Jan 2026
Viewed by 84
Abstract
Improving the thermodynamic and economic performance of industrial refrigeration systems is essential for reducing energy consumption and enhancing cold chain sustainability. This study presents an integrated energy, exergy, and exergoeconomic assessment of a full-scale two-stage ammonia (R717) vapor compression refrigeration system operating under [...] Read more.
Improving the thermodynamic and economic performance of industrial refrigeration systems is essential for reducing energy consumption and enhancing cold chain sustainability. This study presents an integrated energy, exergy, and exergoeconomic assessment of a full-scale two-stage ammonia (R717) vapor compression refrigeration system operating under real industrial conditions in Türkiye. Experimental data from 33 measurement points were used to perform component-level thermodynamic balances under steady-state conditions. The results showed that the evaporative condenser exhibited the highest heat transfer rate (426.7 kW), while the overall First Law efficiency of the system was 63.71%. Exergy analysis revealed that heat exchangers are the dominant sources of irreversibility (>45%), followed by circulation pumps with a notably low Second Law efficiency of 11.56%. The exergoeconomic assessment identified the circulation pumps as the components with the highest loss-to-cost ratio (2.45 W/USD). An uncertainty analysis confirmed that the relative ranking of system components remained robust within the measurement uncertainty bounds. The findings indicate that, although the existing NH3 configuration provides adequate performance, significant improvements can be achieved by prioritizing pump optimization, maintaining higher compressor loading, and implementing advanced variable-speed fan control strategies. Full article
(This article belongs to the Section Applied Thermal Engineering)
Show Figures

Figure 1

16 pages, 2721 KB  
Article
Adaptive PID Control Based on Laplace Distribution for Multi-Environment Temperature Regulation in Smart Refrigeration Systems
by Mooyoung Yoo
Energies 2026, 19(2), 477; https://doi.org/10.3390/en19020477 - 18 Jan 2026
Viewed by 198
Abstract
This study presents an Adaptive PID controller designed to enhance temperature stability and energy performance in household refrigerator systems subject to non-stationary disturbances. Classical PID control is limited by fixed gains and the assumption of linear time-invariant dynamics, which is frequently violated by [...] Read more.
This study presents an Adaptive PID controller designed to enhance temperature stability and energy performance in household refrigerator systems subject to non-stationary disturbances. Classical PID control is limited by fixed gains and the assumption of linear time-invariant dynamics, which is frequently violated by door opening, load variation, and compressor cycling. To address this issue, the proposed approach introduces a Laplace-distribution-based adaptive gain function L(t) that adjusts controller sensitivity according to the statistical rarity of the composite temperature error. The method preserves the conventional PID control structure while introducing a lightweight gain-scaling mechanism suitable for embedded implementation. Experimental validation using a commercial two-compartment refrigerator demonstrated substantial improvements in performance compared with a classical PID controller. The Adaptive PID achieved reduced temperature deviations in both compartments, significantly smoother compressor and fan actuation, and a 4.6% reduction in total energy consumption under an identical disturbance schedule. These results confirm that the proposed controller provides a practical, embedded-friendly solution that improves thermal regulation, actuator longevity, and energy efficiency under the tested disturbance schedule representative of typical household usage. Full article
Show Figures

Figure 1

22 pages, 8822 KB  
Article
Potential Recovery and Recycling of Condensate Water from Atlas Copco ZR315 FF Industrial Air Compressors
by Ali Benmoussa, Zakaria Chalhe, Benaissa Elfahime and Mohammed Radouani
Inventions 2026, 11(1), 10; https://doi.org/10.3390/inventions11010010 - 14 Jan 2026
Viewed by 226
Abstract
This research examines the feasibility of recovering and recycling condensate water, a waste byproduct generated by Atlas Copco ZR315 FF industrial air compressors utilizing oil-free rotary screw technology with integrated dryers. Given the growing severity of global water scarcity, finding alternative water sources [...] Read more.
This research examines the feasibility of recovering and recycling condensate water, a waste byproduct generated by Atlas Copco ZR315 FF industrial air compressors utilizing oil-free rotary screw technology with integrated dryers. Given the growing severity of global water scarcity, finding alternative water sources is essential for sustainable industrial practices. This study specifically evaluates the potential of capturing and treating compressed air condensate as a viable method for water recovery. The investigation analyzes both the quantity and quality of condensate water produced by the ZR315 FF unit. It contrasts this recovery approach with traditional water production methods, such as desalination and atmospheric water generation (AWG) via dehumidification. The findings demonstrate that recovering condensate water from industrial air compressors is a cost-effective and energy-efficient substitute for conventional water production, especially in water-stressed areas like Morocco. The results show a significant opportunity to reduce industrial water usage and provide a sustainable source of process water. This research therefore supports the application of circular economy principles in industrial water management and offers practical solutions for overcoming water scarcity challenges within manufacturing environments. Full article
Show Figures

Figure 1

16 pages, 6655 KB  
Article
Microvibration Suppression for the Survey Camera of CSST
by Renkui Jiang, Wei Liang, Libin Wang, Enhai Liu, Xuerui Liu, Yongchao Zhang, Sixian Le, Zhaoyang Li, Hongyu Wang, Tonglei Jiang, Changqing Lin, Shaohua Guan, Weiqi Xu, Haibing Su, Yanqing Zhang, Junfeng Du and Ang Zhang
Aerospace 2026, 13(1), 65; https://doi.org/10.3390/aerospace13010065 - 8 Jan 2026
Viewed by 164
Abstract
The Survey Camera (SC) is the key instrument of the China Space Station Telescope (CSST), with its imaging performance significantly constrained by microvibrations from internal sources such as the shutter and cryocoolers. This paper proposes a systematic microvibration suppression scheme integrating disturbance source [...] Read more.
The Survey Camera (SC) is the key instrument of the China Space Station Telescope (CSST), with its imaging performance significantly constrained by microvibrations from internal sources such as the shutter and cryocoolers. This paper proposes a systematic microvibration suppression scheme integrating disturbance source control, payload isolation, and transfer path optimization to meet the stringent requirements. The Cryocooler Assembly (CCA) compressor adopts a symmetric piston layout and a real-time vibration cancellation algorithm to reduce the vibration. Coupled with a vibration isolator designed by combining hydraulic damping and a flexible structure, it achieves a vibration isolation efficiency of 95%. The shutter adopts dual-blade symmetric design with sinusoidal angular acceleration control, ensuring its vibrations fall within the compensable range of the Fast Steering Mirror (FSM). And the finite element optimization method is used to optimize the dynamic characteristics of the Support Structure (SST) made of M55J carbon fiber composite material, to avoid resonance in the critical frequency bands. System-level tests on the integrated SC show that the RMS values of vibration force and torque within 8–300 Hz are 0.25 N and 0.08 N·m, respectively, meeting design specifications. This scheme validates effective microvibration control, guaranteeing the SC’s high-resolution imaging capability for the CSST mission. Full article
(This article belongs to the Section Astronautics & Space Science)
Show Figures

Figure 1

21 pages, 10371 KB  
Article
Numerical Simulation of Gas-Liquid Two-Phase Flow in a Downhole Multistage Axial Compressor Under Different Inlet Conditions
by Mingchen Cao, Wei Pang, Huanle Liu, Shifan Su, Yufan Wang and Weihao Zhang
Energies 2026, 19(1), 275; https://doi.org/10.3390/en19010275 - 5 Jan 2026
Viewed by 281
Abstract
During natural gas field extraction, downhole compressors frequently encounter gas-liquid two-phase flow conditions, yet the internal flow characteristics and performance evolution mechanisms remain insufficiently understood. This paper investigates a small-scale, low-pressure-ratio five-stage axial compressor using a multiphase numerical simulation method based on the [...] Read more.
During natural gas field extraction, downhole compressors frequently encounter gas-liquid two-phase flow conditions, yet the internal flow characteristics and performance evolution mechanisms remain insufficiently understood. This paper investigates a small-scale, low-pressure-ratio five-stage axial compressor using a multiphase numerical simulation method based on the Euler-Lagrange framework. The study systematically examines the effects of different inlet pressures (0.1 MPa, 1 MPa, 8 MPa) and liquid mass fraction (0%, 5%, 10%) on its overall and stage-by-stage performance, droplet evolution, and flow field structure. The results indicate that the inlet pressure exerts a decisive influence on the overall efficiency trend of wet compression. The stage efficiency response displays a trend of an initial decrease in the front stages followed by an increase in the rear stages, showing significant variation under different inlet pressures. Flow field analysis reveals that increased inlet pressure intensifies droplet aerodynamic breakup, leading to higher flow losses in the compressor. Simultaneously, under high-pressure conditions, the cumulative cooling effect resulting from droplet heat transfer and evaporation effectively enhances the flow stability in the rear stages. This research elucidates the interstage interaction mechanisms of gas-liquid two-phase flow in low-pressure-ratio multistage compressors and highlights the competing influences of droplet breakup and evaporation effects on performance under different pressure conditions, providing a theoretical basis for the optimal design of downhole wet gas compression technology. Full article
Show Figures

Figure 1

34 pages, 8348 KB  
Review
High-Speed Electric Motors for Fuel Cell Compressor System Used for EV Application—Review and Perspectives
by Daniel Fodorean
Appl. Sci. 2026, 16(1), 476; https://doi.org/10.3390/app16010476 - 2 Jan 2026
Viewed by 541
Abstract
This study introduces a review on high-speed electrical motors (HSEMs) used for fuel cell (FC) compressor systems, to feed air into the FC stack. This technology is designed for electric vehicle (EV) applications. First, an evaluation of electrical machines as the main energy [...] Read more.
This study introduces a review on high-speed electrical motors (HSEMs) used for fuel cell (FC) compressor systems, to feed air into the FC stack. This technology is designed for electric vehicle (EV) applications. First, an evaluation of electrical machines as the main energy consumers of EVs is conducted to situate the current study in terms of the mechanical characteristics. Next, the main electrical motor configurations found in the scientific literature, and suitable for applications in FC compressor systems, are presented. Three case studies are depicted to identify the main challenges of this application in terms of the mechanical robustness and efficiency. Finally, a perspective on improving the energetic performance of HSEMs is presented, in terms of the materials used, the shape of the geometry, the winding type and insulation, the cooling, and the optimization techniques used to maximize the performance of HSEMs. Full article
(This article belongs to the Section Transportation and Future Mobility)
Show Figures

Figure 1

23 pages, 6128 KB  
Article
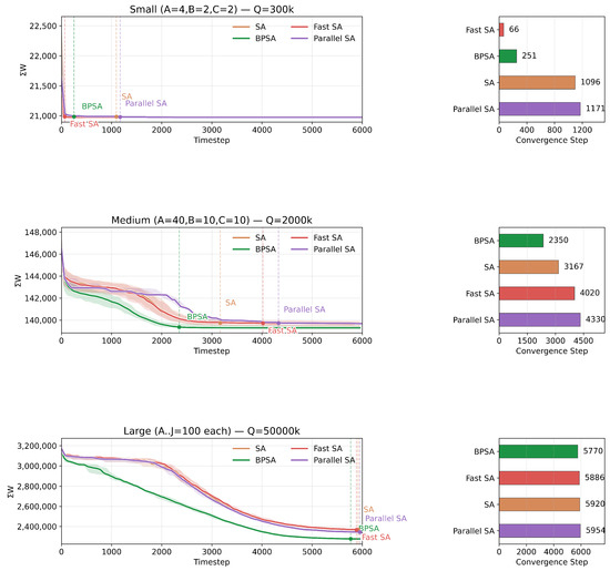
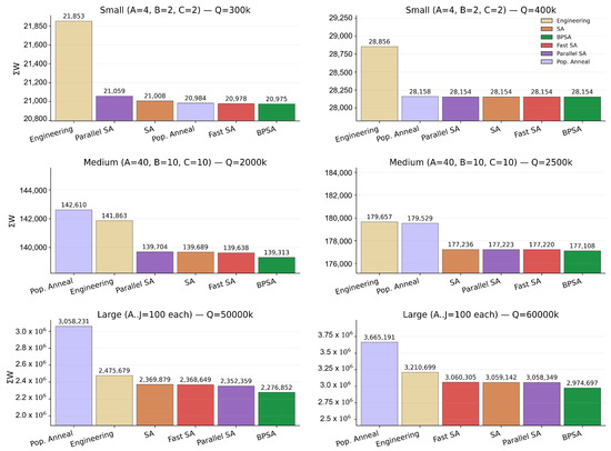
Branch-Parallel Simulated Annealing for Energy-Efficient Multi-Compressor Operation
by Min-Jae Kim, Ho-Jin Choi, Nobuyoshi Komuro, Jaeyoung Han and Won-Suk Kim
Electronics 2026, 15(1), 214; https://doi.org/10.3390/electronics15010214 - 2 Jan 2026
Viewed by 261
Abstract
The overall energy efficiency of a multi-compressor system varies greatly depending on its operating strategy. In most industrial facilities, the strategy is still determined empirically by operators, which often fails to achieve optimal energy efficiency. The optimization of multi-compressor operation is inherently complex, [...] Read more.
The overall energy efficiency of a multi-compressor system varies greatly depending on its operating strategy. In most industrial facilities, the strategy is still determined empirically by operators, which often fails to achieve optimal energy efficiency. The optimization of multi-compressor operation is inherently complex, as it must simultaneously consider various operational factors such as on/off combinations, type-specific flow capacities, and flow constraints. This study proposes a parallel-search simulated annealing algorithm that employs a branch-based exploration mechanism. In the proposed algorithm, multiple search branches independently explore the solution space and periodically exchange information, enabling a broader search and faster convergence than conventional simulated annealing. Simulation results show that the proposed approach reduces total power consumption by about 8% compared with existing heuristic methods while maintaining stable and consistent performance across large-scale scenarios. Full article
Show Figures

Figure 1

24 pages, 1332 KB  
Article
A Hybrid Dynamic Model for the Thermal Compressor Heat Pump and Validation with Experimental Data
by Ali Salame, Vincent Lemort, Pascal Dufour and Madiha Nadri
Energies 2026, 19(1), 159; https://doi.org/10.3390/en19010159 - 27 Dec 2025
Viewed by 313
Abstract
Thermally driven heat pumps primarily use thermal energy to drive a compression cycle. The thermal energy can be waste heat, natural-gas combustion, or solar, helping increase efficiency and reduce greenhouse-gas emissions. We study a thermal compressor heat pump (TCHP) in which Stirling-type thermal [...] Read more.
Thermally driven heat pumps primarily use thermal energy to drive a compression cycle. The thermal energy can be waste heat, natural-gas combustion, or solar, helping increase efficiency and reduce greenhouse-gas emissions. We study a thermal compressor heat pump (TCHP) in which Stirling-type thermal compressors (TCs) are heat-driven rather than electrically driven, delivering a nominal heat capacity of 8 kW with CO2 as the refrigerant. Unlike most existing dynamic models of CO2 cycles, which focus on electrically driven or single-stage systems, this work targets a heat-driven multi-stage configuration and includes transient validation. Like any vapor compression cycle (VCC), a TCHP requires a dynamic model for control and optimization; its predictive reliability must be validated on experimental data. We therefore describe the test bench and performance expressions, collect steady-state and transient datasets, and derive a hybrid dynamic model: finite-volume (FV) differential equations for slow components and quasi-static submodels (linear regressions and correlations) for fast elements. The contribution of this work is the development and experimental validation of a hybrid FV model for a multi-stage heat-driven CO2 TCHP. Validation against both steady-state and transient datasets shows good agreement. On 15 steady-state operating points, the model reproduces pressures within ∼1 bar mean absolute error (MAE) and system-level performance (total recovered heat, COPth) within ∼6% mean absolute percentage error (MAPE), with R20.8; component heat-rate predictions are within ∼20% MAPE. Under transient step tests on expansion valve openings and burner fan speed, the thermal COP and total recovered heat track within 4% MAPE (up to R2=0.96), pressures within 1.5 bar MAE, and the evaporator heat rate within 14–22% MAPE. Full article
Show Figures

Figure 1

25 pages, 5760 KB  
Article
Engine Performance Optimization of Small Turbofan Engines Based on a Stackelberg Game
by Hong Zhang, Zhengqing Zhu, Hao Xu, Chenyang Luo and Runcun Li
Energies 2026, 19(1), 16; https://doi.org/10.3390/en19010016 - 19 Dec 2025
Viewed by 326
Abstract
With global air traffic surpassing pre-pandemic levels, improving the fuel economy of aircraft engines has become increasingly urgent, especially for small turbofan engines that suffer from high specific fuel consumption (SFC) at high power settings. This study aims to address the trade-off between [...] Read more.
With global air traffic surpassing pre-pandemic levels, improving the fuel economy of aircraft engines has become increasingly urgent, especially for small turbofan engines that suffer from high specific fuel consumption (SFC) at high power settings. This study aims to address the trade-off between compressor pressure ratio (CPR) and turbine entering temperature (TET), which strongly influence both engine performance and fuel utilization. A hierarchical optimization framework based on Stackelberg game theory is developed, and an Adaptive Chaotic Particle Swarm Optimization (ACPSO) algorithm is employed to solve the game-theoretic model. Surrogate models using artificial neural networks are integrated to capture nonlinear relationships among design parameters and performance metrics. The results show that the proposed Stackelberg-ACPSO method outperforms conventional multi-objective particle swarm optimization (MOPSO) in balancing thrust, SFC, and thermal efficiency. Specifically, it achieves a 0.1609% reduction in SFC and a 0.0904% increase in thrust, while also providing a 0.56% decrease in SFC with a 0.51% improvement in thermal efficiency under trade-off conditions. In addition, ambient temperature is found to significantly affect the interactions between objectives, further validating the robustness of the approach. Overall, this work demonstrates the effectiveness of applying Stackelberg game theory to small turbofan engine optimization and offers valuable insights into the coupling of fuel economy and performance for future engine design. Full article
Show Figures

Figure 1

13 pages, 2449 KB  
Article
Dynamic System Analysis of Vent and Recycle Configurations in Centrifugal Compressors
by Andrea Betti, Leonardo Cappelli, Andrea Fusi, Fulvio Palmieri and Luigi Tundo
Machines 2026, 14(1), 4; https://doi.org/10.3390/machines14010004 - 19 Dec 2025
Viewed by 287
Abstract
Centrifugal compressors are vital components in industrial applications, but they are prone to a disruptive phenomenon known as surge, which can lead to mechanical stress and temperature increase. Surge occurrence is influenced by machine design, plant layout, and geometry. Engineers often deploy long [...] Read more.
Centrifugal compressors are vital components in industrial applications, but they are prone to a disruptive phenomenon known as surge, which can lead to mechanical stress and temperature increase. Surge occurrence is influenced by machine design, plant layout, and geometry. Engineers often deploy long (cold) and short (hot) recycle valves to address this issue. To ensure surge prevention, a fluid dynamic model is indispensable. In this study, a 1D Computational Fluid Dynamics (1D-CFD) model was developed using Amesim for a two-section centrifugal compressor. The main objective was to investigate the impact of various parameters on surge occurrence and compare different plant layouts to determine the most suitable solution for the specific study case. Here, the focus is on the influence of vent valves over the plant performance. To achieve this comparison, transient simulations of emergency shutdown (ESD) operations were performed. This study contributes to a better understanding of how machine design and operational factors affect surge behavior. By systematically evaluating different plant layouts, we identified the most effective strategies for preventing surge and enhancing compressor performance. This research provides valuable insights for engineers and operators striving to optimize industrial processes and improve the reliability and efficiency of centrifugal compressor systems. Full article
(This article belongs to the Section Turbomachinery)
Show Figures

Figure 1

21 pages, 2122 KB  
Article
A Case Study on Advanced Detection and Management of Fugitive Methane Emissions in the Romanian Oil and Gas Sector
by Silvian Suditu, Liviu Dumitrache, Gheorghe Branoiu, Stefan Dragut, Cristian Nicolae Eparu, Ioana Gabriela Stan and Alina Petronela Prundurel
Sustainability 2025, 17(24), 11359; https://doi.org/10.3390/su172411359 - 18 Dec 2025
Viewed by 414
Abstract
In the context of intensifying global efforts to mitigate climate change, methane emissions from the oil and gas sector have emerged as a critical environmental and regulatory challenge, given methane’s high global warming potential over short timeframes. This study investigates methane emissions from [...] Read more.
In the context of intensifying global efforts to mitigate climate change, methane emissions from the oil and gas sector have emerged as a critical environmental and regulatory challenge, given methane’s high global warming potential over short timeframes. This study investigates methane emissions from representative extraction and production of oil and gas facilities in Romania, focusing on fugitive emissions from wells and associated processing infrastructure. The research is grounded in the implementation of a comprehensive Leak Detection and Repair (LDAR) program, aligned with OGMP 2.0 standards, and utilizes advanced detection technologies such as Flame Ionization Detectors (FID), Optical Gas Imaging (OGI), and Quantitative Optical Gas Imaging (QOGI). A systematic inventory and screening of thousands of components enabled the precise identification and quantification of methane leaks, providing actionable data for maintenance and emissions management. The findings highlight that, although the proportion of leaking components is relatively low, cumulative emissions are significant, with block valves, connectors, and compressor shaft seals identified as the most frequent sources of major leaks. The study underscores the importance of rigorous preventive and corrective maintenance, rapid leak remediation, and the adoption of modern detection and continuous monitoring technologies. The approach developed offers a robust framework for regulatory compliance and supports the transition from inventory-based to measurement-based emissions reporting, in line with recent European regulations. Ultimately, effective methane management not only fulfills environmental obligations but also delivers economic benefits by reducing product losses and enhancing operational efficiency, contributing to the decarbonization and sustainability objectives of the energy sector. Full article
(This article belongs to the Section Air, Climate Change and Sustainability)
Show Figures

Figure 1

24 pages, 7353 KB  
Article
Parametric Optimization of RBC-PTES System: Impact on Round-Trip Efficiency and LCOS
by Paul Tafur-Escanta, Franco Cabrera-Ortega, Robert Valencia-Chapi, Luis Garzón-Pérez, Solimar Andrade-Terán and Javier Muñoz-Antón
Energies 2025, 18(24), 6594; https://doi.org/10.3390/en18246594 - 17 Dec 2025
Viewed by 285
Abstract
This study presents a comprehensive thermo-economic evaluation of a pumped thermal energy storage (PTES) system based on a supercritical carbon dioxide (s-CO2) recompression Brayton cycle (RBC). A multiparametric analysis was conducted through systematic parameterization of key design variables, including mass fractions [...] Read more.
This study presents a comprehensive thermo-economic evaluation of a pumped thermal energy storage (PTES) system based on a supercritical carbon dioxide (s-CO2) recompression Brayton cycle (RBC). A multiparametric analysis was conducted through systematic parameterization of key design variables, including mass fractions directed to the recompressor during charging and to the high-pressure turbine during discharging, as well as compressor inlet pressure and temperature and turbine inlet temperature. Performance optimization focused on two main indicators: round-trip efficiency (ηRT) and levelized cost of storage (LCOS), enabling identification of trade-offs between thermodynamic and economic performance. Results show that minimizing LCOS yields 148.72 $/MWh with an ηRT of 57.1%, whereas maximizing efficiency achieves 61.5% at an LCOS of 158.4 $/MWh. Exergy destruction analysis highlights the strategic role of the main compressor and thermal storage tanks in overall irreversibility distribution. These findings confirm the technical feasibility of the s-CO2 recompression Brayton cycle as a competitive solution for long-duration thermal energy storage. Full article
(This article belongs to the Special Issue Solar Energy Conversion and Storage Technologies)
Show Figures

Figure 1

24 pages, 2437 KB  
Article
Optimization of Compressor Preheating to Increase Efficiency, Comfort, and Lifespan
by Anton Dianov
Technologies 2025, 13(12), 590; https://doi.org/10.3390/technologies13120590 - 15 Dec 2025
Viewed by 411
Abstract
Various compressors found in appliances such as air conditioners, refrigerators, dehumidifiers, etc., are gaining more popularity in different areas, including industry, retail, consumer electronics, and others. This market is growing fast, attracting numerous manufacturers who are closely competing with each other. Simultaneously, the [...] Read more.
Various compressors found in appliances such as air conditioners, refrigerators, dehumidifiers, etc., are gaining more popularity in different areas, including industry, retail, consumer electronics, and others. This market is growing fast, attracting numerous manufacturers who are closely competing with each other. Simultaneously, the requirements for compressor drive efficiency and for reducing their carbon footprint are becoming tougher, which is prompting manufacturers to pay serious attention to this problem. Compressor drives operate in many modes, and almost all of them have been studied and optimized. The exception to this is the preheating mode, which is required to warm the lubricating oil before beginning compressor operations. This mode is rarely used in warm climates; therefore, previous researchers have ignored it. However, with the spread of compressor applications into countries with colder climates, the significance of the preheating mode has increased. This study examines the preheating mode of compressor drives and proposes several techniques that increase their efficiency by 4.15% and decrease the preheating time by 3.6 times. Furthermore, the author developed an algorithm that makes the load to the inverter and motor phases more even, thus increasing the lifespan of compressors and reducing their carbon footprint. Full article
Show Figures

Figure 1

Back to TopTop