Abstract
The overall energy efficiency of a multi-compressor system varies greatly depending on its operating strategy. In most industrial facilities, the strategy is still determined empirically by operators, which often fails to achieve optimal energy efficiency. The optimization of multi-compressor operation is inherently complex, as it must simultaneously consider various operational factors such as on/off combinations, type-specific flow capacities, and flow constraints. This study proposes a parallel-search simulated annealing algorithm that employs a branch-based exploration mechanism. In the proposed algorithm, multiple search branches independently explore the solution space and periodically exchange information, enabling a broader search and faster convergence than conventional simulated annealing. Simulation results show that the proposed approach reduces total power consumption by about 8% compared with existing heuristic methods while maintaining stable and consistent performance across large-scale scenarios.
1. Introduction
In large-scale facilities such as industrial plants, power generation systems, and semiconductor manufacturing processes, a multi-compressor system regulates compressed air supply through a common manifold line to satisfy target pressure and flow requirements (Figure 1). Compressed Air Systems (CASs) represent a significant share of industrial electricity use, accounting for approximately 10% of total industrial power consumption and even higher proportions in high-load sectors [1,2,3,4,5,6]. Consequently, minor deviations in the operating strategy can accumulate into substantial annual energy losses, motivating optimization of compressor operation through algorithmic approaches [7].
Figure 1.
Schematic diagram of a multi-compressor system, where the on/off status and discharge flow of individual compressors are dynamically controlled to achieve the target total air flow while minimizing overall power consumption.
A multi-compressor system typically comprises compressors with different specifications and performance curves. The power consumption W depends nonlinearly on flow Q and pressure P, while the aggregated power is determined by the interdependent combination of individual flow rates . Since changes in one unit’s operating point require coordinated adjustments across others to meet the total-flow constraint, the problem becomes a high-dimensional nonlinear combinatorial optimization task [8,9,10].
Although the problem can be formulated as a mixed discrete–continuous optimization, practical operations still rely heavily on empirical decision and operator experience due to computational complexity and system uncertainty [7,8]. Such heuristics often overlook nonlinear interdependencies between compressors, leading to near-optimal energy efficiency under varying load conditions [4,5].
Parallel and replica-based simulated annealing methods, such as Replica Exchange Monte Carlo [11,12], employ multiple replicas at different temperatures and periodically exchange states to facilitate exploration. Population Annealing [13,14], in contrast, evolves a population along a cooling schedule using resampling to concentrate probability mass on low-energy configurations. While effective, these methods typically rely on population size, temperature coordination, or repeated resampling, which introduce additional scalability and tuning overhead in large-scale combinatorial settings. In contrast, the proposed BPSA operates under a single shared temperature and introduces structural branching within a unified annealing process. By selectively replicating elite solutions while maintaining stochastic perturbations, BPSA intensifies local refinement without requiring explicit temperature ladders or population-wide resampling.
Learning-based optimization approaches often require substantial training data and repeated interactions with the target system, assumptions that are difficult to satisfy in large-scale industrial compressor optimization with highly variable operating conditions. Simulated annealing-based metaheuristics, by contrast, require no prior training and can naturally accommodate hard physical constraints and mixed discrete–continuous decision variables. These properties make SA-based approaches well suited for real-time or near-real-time operational optimization, motivating the use of BPSA as a structurally simple yet effective alternative.
Probabilistic global search algorithms offer a promising alternative for such complex optimization problems. Simulated Annealing (SA) explores the solution space through temperature-controlled probabilistic acceptance, enabling balanced exploration and exploitation [8]. Building upon SA, this study proposes a branch-parallel structure designed to maintain multiple lightweight search paths and replicate promising branches, thereby enhancing diversity and convergence stability for large-scale compressor optimization.
This work is primarily positioned as an algorithmic engineering contribution tailored to industrial multi-compressor optimization. At the same time, it introduces branch-based design principles that may be applicable to other large-scale combinatorial optimization problems.
Motivations and Contributions
The optimization of a multi-compressor system involves both continuous (flow rate) and discrete (on/off) decision variables, making it a challenging mixed-variable combinatorial problem. Conventional heuristics and metaheuristic with a single search trajectory approaches fail to adequately capture complex system interactions or maintain consistent convergence performance. To address these issues, this study develops a Branch-Parallel Simulated Annealing (BPSA) algorithm and quantitatively evaluates its performance improvements over conventional SA.
- (1) Probabilistic optimization beyond empirical methods: Traditional engineering heuristics allocate flow near each unit’s best-efficiency point and adjust manually, which limits global optimality as system scale increases. This study introduces a probabilistic global search algorithm based on SA that systematically handles both continuous flow variables and discrete on/off decisions, thereby formalizing previously rule-based operational decisions.
- (2) Branch-parallel search for enhanced diversity and convergence: Single-path SA often exhibits sensitivity to initialization and limited exploration capability, increasing the risk of premature convergence. The proposed BPSA algorithm maintains multiple concurrent search branches that periodically exchange information, enabling broader exploration of the solution space and faster convergence toward near-optimal configurations.
- (3) Scalability and stability across large-scale environments: As system size increases, the search space expands exponentially, degrading convergence stability. BPSA integrates branch replication and adaptive acceptance control to preserve search diversity and efficiency regardless of problem scale. Simulation results demonstrate that BPSA achieves consistent convergence and improved energy efficiency across medium- and large-scale compressor systems, confirming its scalability and practical applicability.
2. Related Works
Previous studies modeled the compressor operating strategy optimization as Mixed-Integer Linear Programming (MILP) or Mixed-Integer Nonlinear Programming (MINLP) problems to derive optimal configurations. Quartarone et al. [15] formulated the design and operational management of an air compression system using MILP, where the efficiency function was linearly approximated and explicit constraints were incorporated to obtain optimal solutions.
Such mathematical programming approaches can efficiently identify optimal combinations when the problem structure is simple and the number of variables is limited. However, in practical systems, nonlinear power–flow relationships and multi-device interactions substantially increase computational complexity, and the computation time rises sharply as the system scale grows, making it difficult to explore diverse operating strategies in real time.
The Genetic Algorithm (GA) is a representative metaheuristic that performs global search by evolving a population of candidate solutions through biologically inspired operators [16]. Fahimnia et al. [17] applied GA to compressor scheduling in natural gas networks, improving operating efficiency and reducing fuel consumption compared with MILP. Changjun et al. [18] employed an adaptive GA to jointly optimize rotational speed and valve states, maintaining a stable pressure ratio while minimizing energy use. Zhang and Wu [19] applied GA to explore multiple compressor configurations for optimal energy cost, and Zhao et al. [20] used the multi-objective NSGA-II variant for gas storage injection optimization, achieving simultaneous improvements in injection throughput and energy efficiency.
These GA-based studies demonstrated stable global search capability under nonlinear and constrained conditions, but they suffer from scalability issues as the population size increases. In addition, when both continuous variables (e.g., flow, pressure) and discrete variables (e.g., on/off states) coexist, constraint-violating solutions may appear during crossover or mutation, and the results can become sensitive to penalty-term design.
Particle Swarm Optimization (PSO) is a population-based global search method that improves exploration efficiency through information sharing among particles [21]. Zhang et al. [22] applied an improved PSO to optimize load sharing among parallel compressors, and Li et al. [23] adopted a hybrid PSO to enhance energy efficiency in multi-compressor operations. Wei et al. [24] applied PSO to a large-scale natural gas pipeline network and reported an approximately 20% reduction in total energy consumption.
These studies demonstrated fast convergence and simple implementation for continuous-variable optimization, yet PSO remains sensitive to initialization and parameter tuning. Under complex nonlinear interactions, it often suffers from premature convergence, which limits its performance in large-scale compressor systems.
Simulated Annealing (SA) is a classical stochastic optimization algorithm that accepts inferior solutions with a temperature-dependent probability to escape local minima [25]. Mahlke et al. [26] applied SA to gas network operation optimization involving compressor on/off states and pressure variables. Alnowibet et al. [27] improved search efficiency by applying a hybrid SA to constrained optimization, and Bai et al. [28] enhanced gas storage efficiency through a hybrid SA–PSO scheme.
These studies successfully demonstrated SA’s capability to escape local minima, yet its search efficiency declines sharply as the acceptance probability decreases with cooling. Furthermore, the conventional single-search trajectory restricts parallel exploration and limits scalability in large-scale problems.
Hybrid metaheuristics have been employed to enhance the search efficiency of compressor operating strategy optimization by combining different algorithms. Rodrigues et al. [29] applied a multi-population hybrid metaheuristic to optimize load sharing among parallel compressors, achieving faster convergence and higher stability than single-heuristic methods. Chaudhari et al. [30] proposed a load-sharing optimization method for multi-centrifugal compressor systems to improve energy efficiency while emphasizing the role of compressor interaction. Seyyedabbasi et al. [31] integrated multiple global search algorithms for industrial load-sharing optimization, simultaneously improving search efficiency and convergence speed.
These hybrid methods improved exploration capability and convergence stability, but most still rely on single-search structures or limited information exchange among concurrent search paths, which constrains their scalability in large-scale applications.
3. Parallel Simulated Annealing with Branch-Based Exploration for Energy-Efficient Operation of Multi-Compressor Systems
This section presents the Branch-Parallel Simulated Annealing algorithm for optimizing the operating strategy of multi-compressor systems. BPSA enhances conventional SA by performing multiple probabilistic searches in parallel through a branch-based structure. In particular, the branch mechanism selectively replicates high-quality solutions for intensified local refinement, while a subset of branches preserves stochastic exploration by allowing flow exploration and on/off transitions under a shared temperature schedule. Each branch uses temperature control to balance exploration and exploitation, and periodic information exchange among branches accelerates convergence while preventing stagnation in local minima.
Here, q and w denote the flow and power consumption of an individual compressor, while Q and W represent the total system flow and power, respectively.
3.1. Compressor Modeling and Lookup Table Construction
The compressor performance models used in this study are based on manufacturer-provided performance curves that describe the relationships among pressure, flow rate, power consumption, and IGV angle under steady-state operating conditions. The polynomial surface coefficients in Equations (1) and (2) were obtained through least-squares fitting, and a third-order polynomial form is adopted as it sufficiently captures the nonlinear characteristics observed in practical compressor performance maps without excessive model complexity. The purpose of this modeling step is not to introduce a new compressor model, but to provide a smooth and computationally tractable representation of the given performance data for use within the optimization framework.
As illustrated in Figure 2, each compressor exhibits nonlinear relationships among pressure p, flow rate q, and power w, which also vary with the Inlet Guide Vane (IGV) angle . Equations (1) and (2) represent local polynomial interpolation models used to estimate compressor specification across different IGV conditions. The first equation defines the IGV angle as a function of pressure and flow rate, while the second models the compressor power w as a function of flow rate and IGV angle. Using these fitted polynomial surfaces, the model reconstructs a continuous performance representation that captures nonlinear characteristics under arbitrary operating conditions.
Figure 2.
P–Q and W–Q performance curves with an example of surface interpolation, where different colors indicate performance data under different IGV angle settings.
While this interpolation-based modeling provides accurate representation, repeatedly evaluating Equations (1) and (2) during the optimization process requires extensive computation, particularly when multiple compressors are analyzed simultaneously.
To mitigate this computational burden, the interpolation results are precomputed and stored as lookup tables before optimization. For each compressor, the feasible flow range under the target pressure is discretized, and corresponding power values are calculated in advance. During optimization, the algorithm retrieves power values directly from the tables instead of performing interpolation, which significantly reduces computation time while maintaining sufficient accuracy.
3.2. Branch-Parallel Simulated Annealing
The proposed BPSA algorithm extends conventional SA. Multiple branches operate in parallel and share information periodically to accelerate convergence. The overall procedure is summarized in Algorithm 1.
| Algorithm 1 Branch-wise neighbor search and global state update in BPSA |
|
BPSA starts by initializing a random operating combination for all compressors and then iteratively refines the candidate solutions while the temperature T remains above . At each iteration, all branches search neighboring solution simultaneously, and the best solution among them is recorded as the current global best. When the predefined branch interval K is reached, new branches are created from the global best solution. A subset of these branches allows compressor on/off determinations to preserve diversity, whereas the others fix the active compressor set to intensify local exploration. If the number of branches exceeds , less efficient ones are replaced by the newly generated branches.
Others fix the active compressor set to intensify local exploration. If the number of branches exceeds , less efficient ones are replaced by the newly generated branches.
The temperature follows the exponential cooling schedule,
where denotes the cooling coefficient. As the temperature decreases, the exploration range narrows gradually, guiding the algorithm toward convergence.
Within each branch, the neighborhood search consists of four substeps: (i) on/off determination, which activates or deactivates compressors, (ii) flow exploration, which introduces temperature-dependent random variations to the flow rates of active compressors, (iii) flow adjustment, which fine-tunes the explored flows to satisfy the total-flow constraint, and (iv) probabilistic acceptance, which determines whether to accept or reject the new candidate solution based on its power and the current temperature.
3.2.1. BPSA Substep 1: On/off Determination
In a multi-compressor system, on/off control plays a crucial role in determining the operating combination. Switching one compressor on or off changes the flow distribution among the remaining units, which in turn affects total power consumption. To manage these transitions efficiently, BPSA applies a temperature-dependent probabilistic mechanism derived from SA.
The transition probability for each compressor is defined as
where denotes the maximum transition probability at the initial temperature, and controls the rate of probability decay as temperature decreases. A larger results in faster stabilization of compressor states during early cooling, while a smaller value maintains higher variability at lower temperatures, sustaining exploration of different operating combinations.
When a compressor is turned off, its flow is set to zero. If a compressor switches to the on state, an initial flow is assigned using a temperature-scaled probabilistic model that reflects power efficiency . Flows around the efficiency peak are more likely to be selected, guiding the search toward energy-efficient regions. The distribution width decreases gradually with temperature, producing broad sampling in early stages and refined adjustment as the algorithm converges.
After the on/off determinations, if the total flow deviates from the feasible range, the current operating combination is rejected immediately and a new candidate is generated. This early rejection step prevents infeasible solutions from propagating and reduces redundant computation during the search process.
The exponential decay form is adopted to provide a smooth and monotonic reduction of the on/off transition probability as temperature decreases, which is consistent with commonly used temperature-dependent schedules in simulated annealing. The parameter directly controls how rapidly structural changes in compressor activation are suppressed during cooling, allowing early-stage exploration of diverse configurations and gradual stabilization in later stages.
3.2.2. BPSA Substep 2: Flow Exploration
When a compressor is turned on, BPSA explores its flow rate within an allowable range around the current value. The exploration range represents the maximum deviation of flow that can occur in both directions from the current value. At higher temperatures, this range is wide, encouraging larger exploratory variations, whereas at lower temperatures it gradually narrows to focus on fine local adjustments.
The flow exploration is performed in a probabilistic manner, and the probability of variation for each compressor is given by
Here, denotes the flow exploration decay coefficient that determines how rapidly the exploration frequency decreases during cooling. A smaller maintains exploration longer at lower temperatures, while a larger value causes early stabilization after an initially broad search. This parameter controls the persistence of stochastic flow adjustment across temperature stages.
Flow exploration employs uniform sampling centered on the current flow state. A candidate flow value is randomly selected within the defined allowable range for each active compressor. Similar to the previous stage, the exploration range decreases proportionally as the temperature drops.
Through this temperature-dependent exploration process, candidate flow combinations are generated for all active compressors. However, the total flow obtained at this stage may deviate from the target flow rate. Thus, a subsequent flow adjustment step is required to ensure that the total flow constraint is satisfied precisely.
3.2.3. BPSA Substep 3: Flow Adjustment
The flow combination derived from the temperature-based flow exploration may result in a total flow rate that does not match the target flow rate. For a neighboring solution to be feasible, it must satisfy the total flow constraint , which necessitates a correction process. During flow correction, each compressor adjusts its flow rate by increasing or decreasing it through uniform distribution sampling to compensate for the residual difference.
First, the correction quantity is defined as the difference between the current total flow and the target flow rate. When , the flow rate of selected compressors is increased, and when , it is decreased.
The correction process adjusts the residual flow incrementally rather than distributing it at once. At each step, a compressor is randomly selected, and its flow is slightly increased or decreased within the remaining residual range to compensate for the imbalance. The process iterates within the same loop until the residual becomes zero. Larger adjustments are applied at the beginning of the loop, and the step size is halved iteratively until the residual converges to zero, yielding a feasible flow balance.
3.3. Generalized Acceptance Probability for Scalable-Independent Optimization
After the correction step, a new neighboring state is obtained. The total power of this state is then evaluated. If total power decreases, the state is always accepted; otherwise, it may still be accepted with a certain probability. This probabilistic acceptance allows BPSA to occasionally accept inferior combination, preserving the ability to escape local minima and explore new operating combinations.
The power difference is defined as the change in total power between the previous state s and the new neighboring state , expressed as , where denotes the total power of the corresponding operating combination. A positive indicates a less efficient state with higher power, while a negative value represents an improved, energy-efficient configuration.
The conventional SA employs the standard acceptance probability:
However, the absolute magnitudes of and the system temperature T can vary significantly depending on the numerical scale of the problem. Consequently, even with identical algorithmic settings, the acceptance probability distribution may become overly dependent on the unit scale or range of values. To alleviate this imbalance, the current power difference is normalized by the previous power difference , and the temperature T is expressed as a relative ratio to the initial temperature .
Based on this normalization, a generalized acceptance probability is formulated as follows:
In Equation (7), the numerator represents the relative power variation between consecutive steps, capturing the degree of improvement in a normalized manner rather than relying on absolute power differences. The denominator normalizes the current temperature with respect to the initial temperature within a 0–100 range, thereby representing the relative progress of the cooling schedule. This normalization follows a common practice in annealing-based algorithms, where temperature is interpreted as a normalized progress variable rather than a physical quantity. This interpretation enables consistent probability scaling across different problem magnitudes.
To ensure numerical robustness, the previous energy difference is lower-bounded by a small positive constant . Specifically, the denominator is defined as , which prevents division by zero or excessively large acceptance exponents near convergence. This stabilization does not alter the intended temperature-dependent acceptance behavior, as energetically favorable moves () are always accepted.
3.4. Neighbor Generation Process and Illustrative Iteration of BPSA
Therefore, the neighboring state generation procedure is defined as shown in Algorithm 2. Each branch performs probabilistic on/off determination and flow explorations at a given temperature T and enforces the total flow constraint through flow adjustment. A newly generated state is always accepted if total power decreases, whereas states with higher power are probabilistically accepted according to Equation (7). An example of a single neighbor generation step is presented in Table 1, and the temporal progression of the entire search process is illustrated in Figure 3.
| Algorithm 2 Neighbor generation and acceptance step in each BPSA iteration |
|
Table 1.
Illustrative example of a single neighbor generation step in BPSA, showing the sequential execution of all substeps—on/off determination, flow exploration, and flow adjustment.
Figure 3.
Illustrative example of the whole search process in BPSA for a small-scale compressor system. Each row corresponds to a single neighbor generation, representing one complete iteration of the algorithm.
3.5. Branch Parallel Search Using Multi-Path Exploration
Single-path SA often depends on the initial state and neighbor generation sequence, causing the search to stagnate near specific on/off configurations or flow patterns. As the temperature decreases, the acceptance probability drops sharply, reducing search diversity and increasing the likelihood of local convergence. To address this, a structural mechanism is required to explore a wider search space within the same computational time while focusing more efficiently on promising low-power regions.
Conventional Parallel SA [12] executes multiple instances at different temperatures and periodically exchanges states to avoid stagnation. While this temperature-parallel approach broadens coverage, it incurs significant computational cost because each instance operates independently with limited information sharing.
In contrast, the proposed BPSA introduces lightweight parallel paths, or branches, that share a common temperature schedule while synchronously executing search operations. New branches are periodically created around the best-performing state to intensify exploitation without losing global exploration capability.
Each branch executes the sequence of steps under a shared temperature T. As shown in Figure 4, when a predefined interval K is reached, the current best solution is used as a seed to spawn new branches. Some of these branches fix their on/off combinations for focused local search, whereas others retain probabilistic on/off determinations to preserve diversity.
Figure 4.
Illustration of the branch creation process in BPSA. At each generation interval K, the current best combinations are replicated into multiple branches—some allowing on/off determinations for exploration, others fixed for exploitation—while redundant or low-performing branches are pruned to maintain efficiency.
If the number of branches exceeds the limit , the root branch is retained for global search continuity, and the branch with the highest total power is replaced first. This design enables computational resources to adaptively concentrate on promising regions while maintaining a minimal level of global exploration.
From a computational perspective, the cost of BPSA increases approximately linearly with the number of branches . Each branch performs the same neighborhood evaluation as vanilla simulated annealing and stores only compressor combination states, resulting in low memory overhead. As a result, the dominant per-iteration computational cost scales as for a system with C compressors, which is comparable to Parallel SA with replicas.
Additional operations specific to BPSA include branch replacement and elite solution selection. Branch replacement is performed with complexity, while elite selection incurs or cost depending on implementation. These operations are executed only at predefined branch update intervals and therefore introduce negligible amortized overhead relative to the main evaluation cost. Furthermore, the use of fixed on/off branches with shorter correction loops and higher acceptance rates improves search efficiency per computational unit. Overall, BPSA achieves improved convergence behavior while maintaining computational complexity comparable to existing parallel SA approaches.
Maintaining a single root branch ensures baseline global diversity, while periodically generated branches perform local refinements near high-quality solutions. The interval K and maximum branch count can be tuned empirically to balance exploration depth and computational load.
While prioritizing top-performing branches inherently emphasizes intensification, this design intentionally preserves a root branch to maintain a stable reference point throughout the search. At the same time, probabilistic transitions governed by temperature-dependent acceptance and stochastic flow exploration allow continued exploration beyond local basins even within branched trajectories, mitigating premature loss of diversity in later stages. This branch replacement strategy therefore reflects a deliberate trade-off between refinement and exploration, leveraging the strengths of temperature-driven simulated annealing while avoiding aggressive pruning.
In summary, the proposed branch-based structure enhances SA by integrating synchronous parallel exploration with focused refinement. It mitigates stagnation typical of single-path searches and accelerates convergence toward low-power configurations under the same cooling conditions through efficient resource allocation among branches.
4. Experiments
4.1. Environmental Setup
A series of numerical experiments were conducted to evaluate the proposed algorithm. All experiments were implemented in Python 3.10.15. For each compressor, performance was represented by Q–W lookup tables derived from manufacturer curves ((1) and (2)), so that total power could be computed efficiently during optimization. We compare conventional SA with the proposed BPSA under identical operating conditions to assess power reduction and convergence behavior.
To examine robustness across system sizes and motivate design choices, we consider three scales with progressively larger search spaces. Compressor specifications are summarized in Table 2.
Table 2.
Specifications of Compressors A–J.
- (1)
- Small-scale environmentEight compressors (Type A × 4, Type B × 2, Type C × 2) emulate a typical process-unit configuration in industrial plants. This setting anchors the evaluation to realistic operating combinations.
- (2)
- Medium-scale environmentSixty compressors (Type A × 40, Type B × 10, Type C × 10) are used to study generalization and parameter sensitivity. Unless noted, parameter tuning is conducted in this setting to ensure fair, reproducible comparisons.
- (3)
- Large-scale environmentA high-dimensional scenario with 1000 compressors (Types A–J, 100 units each) assesses scalability. Types D–J are not based on specific real compressors but are synthetically modeled using the P–Q and W–Q surfaces in Equations (1)–(2) to represent diverse operating characteristics observed at plant scale.
In all settings, the system operates at 60–70% of the maximum total flow, matching typical industrial loads and justifying our target-flow choices. Each experiment was repeated 100 times to observe consistent performance differences caused by parameter variations, and the average values across trials were used for all reported results and visualizations.
Experimental Objectives
(1) SA parameter tuning. We tune SA hyperparameters and quantify their impact, then fix the best set for subsequent tests: cooling coefficient , flow exploration decay , on/off decay , and maximum on/off probability .
(2) BPSA hyperparameters. We evaluate branch-creation interval K, maximum branches , and the acceptance function. Unless specified, the medium-scale setting with target flow is used to identify efficient and stable configurations.
(3) Acceptance functions. We compare four representative forms: (i) Original SA [25] uses Equation (6), enabling broader exploration at high temperature. (ii) Sigmoid-based schedules smooth the transition from global to local search, avoiding abrupt probability drops. (iii) Tanh-based schedules are similar to sigmoid functions but provide smoother central transitions, enabling more stable probability control during mid-temperature phases. (iv) Generalized acceptance probability uses Equation (7) to normalize by stepwise power ratios and , targeting scale-independent behavior across problem domains.
(4) Cross-scale evaluation. We assess generalization and scalability in small/medium/ large systems. All algorithms use identical parameter sets for fairness. Baselines include vanilla SA, Parallel SA [11,12], Fast SA [32], Population Annealing [13,14], and an engineering heuristic. This design reveals how convergence and solution quality evolve with system size and target flow, and it preserves the rationale for each setup choice.
4.2. Evaluation and Discussion
4.2.1. Simulated Annealing Parameter Tuning
The experiment was conducted under the medium-scale environment described earlier to evaluate the influence of core SA hyperparameters on power reduction and convergence behavior.
Two parameters that directly affect on/off determination behavior, and , were examined. Here, controls the attenuation rate of the transition probability with respect to temperature, while defines its initial value at the start of annealing. Since power variation from on/off determinations is more significant than from flow explorations, these parameters critically determine convergence speed and final performance.
Figure 5 shows average performance heatmaps for combinations of and under four cooling coefficients ( and ). Smaller values accelerated temperature decay, increasing the risk of premature termination, whereas larger values enabled broader exploration at higher computational cost. Consistent with expectation, performance improved as increased.
Figure 5.
Average performance of SA under varying on/off-related parameters and cooling coefficients. Each heatmap cell represents the mean final power for given pairs of and , across four cooling coefficients .
As shown in Figure 5, stable convergence was achieved across most configurations, though a clear interdependence emerged. High values caused frequent early on/off switching. If was too small, the transition probability remained excessive, delaying convergence. Larger values gradually stabilized transitions as temperature decreased, balancing wide early exploration with efficient late-stage convergence.
Conversely, low values reduced exploration diversity. An excessively large in this regime caused rapid probability decay, restricting transitions to narrow local regions. A smaller maintained moderate transition frequency longer, enhancing exploration and improving the chance of reaching near-optimal configurations.
In summary, a large suits high , while a small is favorable for low . Their balance governs convergence stability and search efficiency. Except under extreme initial probabilities, the algorithm consistently converged to near-optimal solutions.
Figure 6 analyzes combinations of the flow exploration attenuation coefficient and the cooling coefficient . Small values maintained high exploration probability into late stages, leading to broader but slower searches. Large values restricted variation early, accelerating convergence but reducing global search capability.
Figure 6.
Final performance of SA with respect to the decay coefficient controlling flow exploration probability.
As shown in the figure, the best performance occurred when ranged from 0.1 to 0.6. This range maintained sufficient early variation while allowing smooth stabilization during cooling, achieving a balance between exploration and convergence. Below 0.1, convergence slowed due to unstable fluctuations; above 0.6, limited variation hindered access to global optima.
Overall, on/off-related parameters primarily influenced convergence stability, while flow exploration coefficients controlled exploration breadth. Balanced performance was achieved with , , and . Thus, subsequent experiments fixed , , , and , which yielded the lowest average power and minimal variance across runs—appropriate as the baseline for later BPSA evaluations.
4.2.2. Performance Comparison by Branch Generation Interval and Maximum Branches
The maximum number of branches controls the diversity of parallel search paths, while the branch generation interval determines how frequently new paths are replicated around high-quality solutions.
Figure 7 summarizes how branch parameters affect final power. Shorter generation intervals yield lower average power by replicating from high-quality states more frequently, improving search efficiency. Increasing the number of branches stabilizes performance by widening exploration, but improvements saturate once sufficient diversity is reached.
Figure 7.
Final performance of BPSA under varying branch parameters. Left: average total power across the grid of maximum branches (x-axis) and branch generation interval (y-axis), brighter is better. Right: representative performance curves vs. the number of branches at several generation intervals, showing rapid gains that saturate beyond a threshold.
In short, branch count benefits exhibit diminishing returns beyond a moderate width, whereas shorter generation intervals consistently contribute to better final performance once diversity is adequate.
Figure 8 shows that more branches accelerate convergence, and the effect is amplified when the generation interval is shorter. Periodic replication propagates information from elite states quickly, reducing redundant exploration and aligning paths toward promising regions.
Figure 8.
Convergence behavior of BPSA under varying branch parameters. Left: average convergence steps over the grid, brighter indicates faster convergence. Right: convergence trajectories for representative settings, highlighting faster convergence with more branches and shorter generation intervals.
Overall, maximum branches mainly stabilize the search by ensuring diversity, while the generation interval primarily governs convergence speed. Given sufficient diversity, shortening the generation interval is the most effective lever for further improvement.
4.2.3. Comparison Across Acceptance Probability Functions
Four forms of acceptance probability were compared to analyze their influence on search behavior and convergence stability. Each experiment was repeated 100 times, and all reported results are presented with 95% confidence intervals. In simulated annealing, the acceptance probability determines the likelihood of adopting a neighboring state even when it is inferior to the current one, thereby maintaining exploration in early phases and promoting convergence in later stages.
Figure 9 compares the four functions at difference magnitudes and 1000. The sigmoid and tanh functions exhibit typical S-shaped decay independent of temperature scaling, maintaining high initial probabilities followed by gradual reduction. In contrast, both the classical exponential and generalized formulations adapt their acceptance rate according to : small differences maintain high acceptance, while large differences sharply reduce it, improving selectivity during cooling.
Figure 9.
Acceptance probability schedules under different difference magnitudes . The proposed function adaptively adjusts its probability by both difference ratio and temperature, showing smooth transitions for small and sharper declines for larger values.
Figure 10 compares performance across acceptance functions. The left subplot visualizes the variance of performances, where the shaded region represents the range within of the mean value. The classical exponential function showed strong sensitivity to numerical scale and temperature, yielding inconsistent results. Sigmoid and tanh functions produced smoother, more stable convergence but lacked adaptability since probability was not -dependent. The proposed generalized function maintained consistent behavior across varying temperature schedules and power scales, achieving the lowest average total power and minimal inter-iteration variance.
Figure 10.
Comparative performance of SA variants using different acceptance probability functions. Left: convergence trajectories and final power consumption trends across four acceptance functions. Right: relative convergence speeds, showing that the proposed function achieves the fastest and most stable convergence.
In terms of convergence speed, the classical SA probability continued unnecessary exploration even after exceeded a meaningful threshold, resulting in slower convergence. Sigmoid-based schedules converged faster due to temperature-dependent decay, while generalized acceptance probability achieved the fastest convergence through difference adaptive acceptance.
Overall, the generalized acceptance probability outperformed other forms by combining consistent scale-independent behavior with adaptive selectivity. It preserved stability comparable to sigmoid-based schedules while maintaining the responsiveness of exponential schemes, leading to the best power reduction and convergence performance among all tested variants, as summarized in Table 3 and visualized in Figure 11.
Table 3.
Performance comparison of different acceptance probability functions. Results are reported as mean total power consumption with standard deviation over 100 runs.
Figure 11.
Overall optimization performance comparison across different acceptance probability functions. The generalized formulation achieves the lowest average power and highest stability across trials.
4.2.4. Comparative Performance Across Algorithms
This section compares the proposed BPSA algorithm with representative SA-based variants applied to the same multi-compressor system optimization problem. The comparison group includes Fast SA [32], Replica/Exchange-based Parallel SA [11,12], and Population Annealing [13,14]. A single-path baseline, referred to as original SA (without branching), is also included. All algorithms were evaluated under identical initial conditions, cooling schedules, and search constraints in small, medium, and large-scale environments. Each experiment was repeated multiple times, and all reported results are presented as mean values with 95% confidence intervals. The quantitative performance comparison across algorithms is summarized in Table 4.
Table 4.
Performance comparison across SA-based algorithms at different scales. Results are reported as mean total power consumption with standard deviation over repeated runs.
Figure 12 presents the final power comparison across scales. In small-scale environments, most algorithms converged to near-optimal solutions with negligible differences. As the environment expanded to medium and large scales, the superiority of BPSA became more evident. In particular, for the large-scale scenario with approximately 1000 compressors, the proposed method achieved an additional 2–3% reduction in total power compared to Parallel SA, demonstrating the efficiency of the branch-based exploration structure in broader search spaces.
Figure 12.
Final power consumption comparison among six algorithms across small, medium, and large-scale environments. The proposed BPSA consistently achieved the lowest total power, outperforming Parallel SA by 3% in large-scale settings.
For consistency, performance ranges of around each algorithm’s mean power were visualized for small- and medium-scale environments, while a wider range was used in the large-scale case due to greater variability across methods.
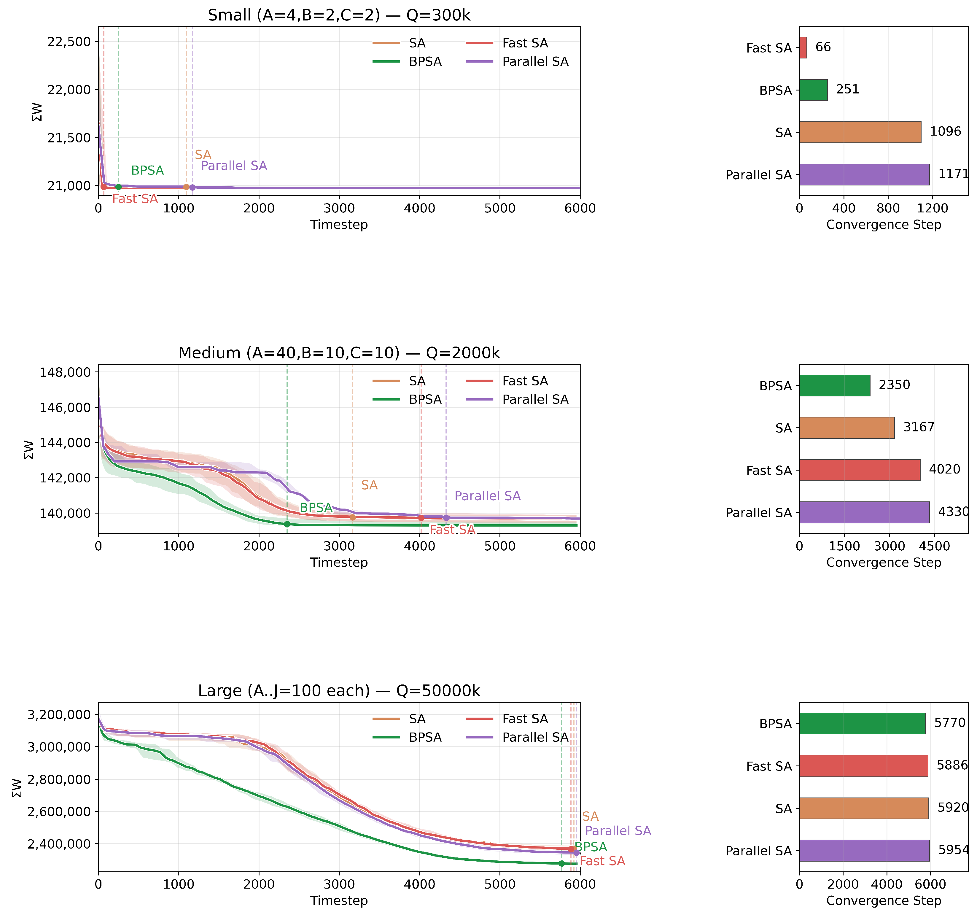
Figure 13 illustrates both the temporal evolution of power consumption and the corresponding convergence speeds across algorithms. In the left plot, Fast SA rapidly reached near-optimal solutions in the small-scale environment. However, in medium- and large-scale settings, BPSA consistently converged to lower-power configurations with greater stability. This improvement arises from the branch structure, which allows high-quality solutions to be shared among concurrent search paths, mitigating stagnation at local minima.
Figure 13.
Comparison of simulated annealing variants across environment scales. Left: Convergence trajectories of four algorithms showing how total power consumption evolves over iterations in small-, medium-, and large-scale environments. Right: Corresponding convergence speeds, represented by the average number of iterations required to reach a steady state under each scale.
In the right plot, BPSA demonstrates the fastest transition to steady-state convergence. Periodic branch updates align search directions early and reduce redundant exploration. Although convergence speed generally declines as system scale increases—stabilizing at higher iteration counts—BPSA maintains the shortest convergence time and the lowest final power under identical conditions, highlighting its scalability and efficiency in large-scale search spaces.
As shown in Table 4, the performance variability of all SA-based algorithms increases as the search space expands from small- to large-scale environments. However, the proposed BPSA exhibits the smallest increase in variance across scales, maintaining consistently lower standard deviation compared to other methods. In addition to this improved stability, BPSA also achieves the lowest average power consumption in medium- and large-scale settings. These results indicate that BPSA provides both superior solution quality and more consistent convergence behavior as the search space becomes increasingly complex.
In large-scale environments, the search space expands rapidly due to the large number of compressors and heterogeneous operating characteristics, making single-trajectory SA increasingly prone to stagnation. Conventional SA-based methods rely primarily on temperature-driven exploration, which limits their ability to sufficiently refine promising regions as dimensionality increases.
From a theoretical perspective, the branch-parallel structure of BPSA introduces an explicit intensification mechanism that operates independently of the cooling schedule. By selectively replicating elite solutions while preserving stochastic perturbations, BPSA allocates search effort more effectively in low-power regions without prematurely restricting global exploration. This separation between temperature-driven exploration and structure-driven intensification becomes increasingly beneficial as problem dimensionality grows.
Runtime performance was evaluated for vanilla SA, Parallel SA, and the proposed BPSA under both medium-scale and large-scale settings. All experiments were conducted on a workstation equipped with a 12th Gen Intel(R) Core(TM) i7-12700 CPU, 32 GB of RAM, and Windows 11 Pro. All algorithms were implemented in Python and executed within a single process without explicit multi-threading or multiprocessing. The term parallel refers to algorithmic concurrency rather than hardware-level parallelism.
In the large-scale environment, BPSA required an average runtime of 28.365 s, compared to 21.139 s for Parallel SA and 8.923 s for vanilla SA. In the medium-scale environment, the average runtimes were 7.774 s for BPSA, 2.529 s for Parallel SA, and 0.262 s for vanilla SA. The increased runtime of BPSA is primarily attributed to the use of up to 50 parallel branches, which naturally introduces additional computational cost compared to single-path or replica-based approaches.
As shown in Table 5, BPSA incurs additional runtime overhead compared to conventional SA variants, particularly in large-scale settings. This overhead is primarily due to the use of multiple parallel branches, which increases computational cost but enables more effective exploration and solution refinement in high-dimensional search spaces.
Table 5.
Average runtime comparison across environment scales.
In summary, the proposed BPSA achieved both lower total power and faster convergence than conventional SA-based methods across all tested scales. Furthermore, it maintained stable convergence and search efficiency in large-scale environments, demonstrating that the branch-parallel exploration algorithm offers robust scalability and strong generalization for large-scale nonlinear combinatorial optimization tasks.
5. Conclusions and Future Work
This study proposed a Branch-Parallel Simulated Annealing (BPSA) algorithm for energy-efficient operation of multi-compressor systems. By introducing a branch-based search structure that selectively replicates elite solutions while preserving stochastic exploration, BPSA addresses the scalability limitations of conventional single-path simulated annealing in large combinatorial search spaces.
Extensive simulation results demonstrate that BPSA consistently achieved lower total power consumption and faster convergence than conventional SA-based methods. In particular, BPSA reduced total power consumption by up to approximately 8% compared to engineering heuristics and achieved an additional 2–3% improvement over Parallel SA in large-scale scenarios with 1000 compressors. These improvements were observed not only at practical operating scales (around 300k [Nm3/h]) but also under highly expanded flow conditions (up to 60,000k [Nm3/h]), indicating robust scalability and stable performance across system sizes. Comparative evaluations against Fast SA, Parallel SA, and Population Annealing further confirmed that BPSA maintains superior convergence stability in environments with large numbers of compressors and heterogeneous compressor types.
Despite these advantages, the proposed framework relies on precomputed compressor performance models and assumes steady-state operating conditions. In real-world deployments, factors such as compressor degradation, environmental variations, and transient dynamics may affect model accuracy and optimization outcomes. Addressing these non-stationary effects remains an important practical consideration for on-site implementation.
Nevertheless, while the proposed BPSA framework is developed and evaluated specifically in the context of multi-compressor systems, its core mechanisms, including branch-based intensification, partial configuration fixing, and stochastic perturbation, are not inherently domain-specific. These design elements suggest potential extensibility to other large-scale optimization problems that exhibit combinatorial complexity, even though the present study deliberately focuses on industrial applicability rather than positioning BPSA as a fully general-purpose simulated annealing variant.
Future work will focus on extending BPSA to handle such non-stationary operating conditions by incorporating adaptive mechanisms for branch generation and cooling control. In particular, lightweight learning-based strategies will be explored to adjust key algorithmic parameters online without requiring extensive offline training. In addition, improving initialization strategies through data-driven or probabilistic modeling approaches will be investigated to further accelerate convergence in large-scale industrial systems.
Author Contributions
Conceptualization, H.-J.C. and W.-S.K.; Methodology, M.-J.K., H.-J.C. and W.-S.K.; Validation, H.-J.C., N.K. and W.-S.K.; Investigation, H.-J.C., M.-J.K., N.K. and W.-S.K.; Writing—original draft preparation, M.-J.K.; Writing—review and editing, W.-S.K. and J.H.; Visualization, M.-J.K. and H.-J.C.; Supervision, W.-S.K.; Project administration, W.-S.K.; Funding acquisition, W.-S.K. All authors have read and agreed to the published version of the manuscript.
Funding
This research was supported by Korea Innovation Foundation through the Ministry of Science and ICT (2710082129).
Data Availability Statement
The data used in this study are available from the corresponding author upon reasonable request.
Conflicts of Interest
The authors declare no conflicts of interest.
List of Abbreviations
| SA | Simulated Annealing |
| BPSA | Branch-Parallel Simulated Annealing |
| IGV | Inlet Guide Vane |
| MILP | Mixed-Integer Linear Programming |
| MINLP | Mixed-Integer Nonlinear Programming |
| PSO | Particle Swarm Optimization |
| NSGA-II | Non-dominated Sorting Genetic Algorithm II |
| RL | Reinforcement Learning |
References
- Saidur, R.; Rahim, N.; Hasanuzzaman, M. A review on compressed-air energy use and energy savings. Renew. Sustain. Energy Rev. 2010, 14, 1135–1153. [Google Scholar] [CrossRef]
- Zhan, C.; Yin, Y.; Jin, X.; Zhang, X. Experimental and simulated study on a novel compressed air drying system using a liquid desiccant cycle. Energy 2018, 162, 60–71. [Google Scholar] [CrossRef]
- Wu, D.C.; Bahrami Asl, B.; Razban, A.; Chen, J. Air compressor load forecasting using artificial neural network. Expert Syst. Appl. 2021, 168, 114209. [Google Scholar] [CrossRef]
- Kapp, S.; Wang, C.; McNelly, M.; Romeiko, X.; Choi, J.K. A comprehensive analysis of the energy, economic, and environmental impacts of industrial variable frequency drives. J. Clean. Prod. 2024, 434, 140474. [Google Scholar] [CrossRef]
- Mousavi, S.; Kara, S.; Kornfeld, B. Energy Efficiency of Compressed Air Systems. Procedia CIRP 2014, 15, 313–318. [Google Scholar] [CrossRef]
- Gryboś, D.; Leszczyński, J.S. A Review of Energy Overconsumption Reduction Methods in the Utilization Stage in Compressed Air Systems. Energies 2024, 17, 1495. [Google Scholar] [CrossRef]
- Cabello Eras, J.J.; Sagastume Gutiérrez, A.; Sousa Santos, V.; Cabello Ulloa, M.J. Energy management of compressed air systems. Assessing the production and use of compressed air in industry. Energy 2020, 213, 118662. [Google Scholar] [CrossRef]
- Rose, D.; Schmidt, M.; Steinbach, M.C.; Willert, B.M. Computational optimization of gas compressor stations: MINLP models versus continuous reformulations. Math. Methods Oper. Res. 2016, 83, 409–444. [Google Scholar] [CrossRef]
- Hennings, F.; Anderson, L.; Hoppmann-Baum, K.; Turner, M.; Koch, T. Controlling transient gas flow in real-world pipeline intersection areas. Optim. Eng. 2021, 22, 687–734. [Google Scholar] [CrossRef]
- Arya, A.K.; Honwad, S. Multiobjective optimization of a gas pipeline network: An ant colony approach. J. Pet. Explor. Prod. Technol. 2018, 8, 1389–1400. [Google Scholar] [CrossRef]
- Swendsen, R.H.; Wang, J.S. Replica Monte Carlo simulation of spin glasses. Phys. Rev. Lett. 1986, 57, 2607–2609. [Google Scholar] [CrossRef]
- Hukushima, K.; Nemoto, K. Exchange Monte Carlo method and application to spin glass simulations. J. Phys. Soc. Jpn. 1996, 65, 1604–1608. [Google Scholar] [CrossRef]
- Hukushima, K.; Iba, Y. Population Annealing and Its Application to a Spin Glass. AIP Conf. Proc. 2003, 690, 200–206. [Google Scholar] [CrossRef]
- Machta, J. Population annealing with weighted averages: A Monte Carlo method for rough free-energy landscapes. Phys. Rev. E 2010, 82, 026704. [Google Scholar] [CrossRef]
- Quartarone, G.; Anglani, N. Mixed-integer linear programming for the optimal design and management of air compressor rooms. In Proceedings of the 2014 IEEE Industry Application Society Annual Meeting, Vancouver, BC, Canada, 5–9 October 2014; pp. 1–9. [Google Scholar] [CrossRef]
- Goldberg, D.E. Genetic Algorithms in Search, Optimization and Machine Learning; Addison-Wesley: Reading, MA, USA, 1989. [Google Scholar]
- Fahimnia, B.; Molaei, R.; Ebrahimi, M. Genetic algorithm optimization of fuel consumption in compressor stations. WSEAS Trans. Syst. Control 2008, 3, 1–10. [Google Scholar]
- Changjun, L.; Jia, W.; Yang, Y.; Wu, X. Adaptive Genetic Algorithm for Steady-State Operation Optimization in Natural Gas Networks. J. Softw. 2011, 6, 452–459. [Google Scholar] [CrossRef]
- Zhang, X.; Wu, C. Energy Cost Minimization of a Compressor Station by Modified Genetic Algorithms. Eng. Lett. 2015, 23, 258–268. [Google Scholar]
- Zhao, L.; Fan, L.; Lu, J.; He, M.; Qian, S.; Wei, Q.; Wang, G.; Bai, H.; Zhou, H.; Liu, Y.; et al. Multi-Objective Optimization of Gas Storage Compressor Units Based on NSGA-II. Energies 2025, 18, 3377. [Google Scholar] [CrossRef]
- Kennedy, J.; Eberhart, R. Particle swarm optimization. In Proceedings of the Proceedings of ICNN’95—International Conference on Neural Networks, Perth, WA, Australia, 27 November–1 December 1995; Volume 4, pp. 1942–1948. [Google Scholar] [CrossRef]
- Zhang, J.; Li, L.; Zhang, Q.; Wu, Y. Optimization of Load Sharing in Compressor Station Based on Improved Salp Swarm Algorithm. Energies 2022, 15, 5720. [Google Scholar] [CrossRef]
- Li, X.; Cui, T.; Huang, K.; Ma, X. Optimization of load sharing for parallel compressors using a novel hybrid intelligent algorithm. Energy Sci. Eng. 2021, 9, 330–342. [Google Scholar] [CrossRef]
- Wei, X.; Qiu, R.; Zhang, B.; Liu, C.; Wang, G.; Wang, B.; Liang, Y. Operation optimization of large-scale natural gas pipeline networks based on intelligent algorithm. Energy 2024, 310, 133258. [Google Scholar] [CrossRef]
- Kirkpatrick, S.; Gelatt, C.D.J.; Vecchi, M.P. Optimization by Simulated Annealing. Science 1983, 220, 671–680. [Google Scholar] [CrossRef]
- Mahlke, D.; Martin, A.; Moritz, S. A simulated annealing algorithm for transient optimization in gas networks. Math. Methods Oper. Res. 2007, 66, 99–115. [Google Scholar] [CrossRef]
- Alnowibet, K.A.; Mahdi, S.; El-Alem, M.; Abdelawwad, M.; Mohamed, A.W. Guided Hybrid Modified Simulated Annealing Algorithm for Solving Constrained Global Optimization Problems. Mathematics 2022, 10, 1312. [Google Scholar] [CrossRef]
- Bai, X.; Gu, T.; Yu, B.; Liu, Y.; Yang, J.; Huang, F.; Zhang, S.; Deng, W.; Zhong, Z. A Hybrid Simulated Annealing–Particle Swarm Optimization Framework for the Enhanced Operational Efficiency of the W23 Underground Gas Storage Facility. Processes 2025, 13, 590. [Google Scholar] [CrossRef]
- Rodrigues, L.R. A hybrid multi-population metaheuristic applied to load-sharing optimization of gas compressor stations. Comput. Electr. Eng. 2022, 97, 107632. [Google Scholar] [CrossRef]
- Chaudhari, S.; Abbas, A.; Botts, A.; Sundaramoorthy, S.; Wenning, T. Load sharing energy savings methodology for systems with multiple centrifugal compressors. J. Clean. Prod. 2023, 433, 139630. [Google Scholar] [CrossRef]
- Seyyedabbasi, A.; Tareq, W.Z.T.; Bacanin, N. An Effective Hybrid Metaheuristic Algorithm for Solving Global Optimization Algorithms. Multimed. Tools Appl. 2024, 83, 85103–85138. [Google Scholar] [CrossRef]
- Szu, H.; Hartley, R. Fast simulated annealing. Phys. Lett. A 1987, 122, 157–162. [Google Scholar] [CrossRef]
Disclaimer/Publisher’s Note: The statements, opinions and data contained in all publications are solely those of the individual author(s) and contributor(s) and not of MDPI and/or the editor(s). MDPI and/or the editor(s) disclaim responsibility for any injury to people or property resulting from any ideas, methods, instructions or products referred to in the content. |
© 2026 by the authors. Licensee MDPI, Basel, Switzerland. This article is an open access article distributed under the terms and conditions of the Creative Commons Attribution (CC BY) license.












