Turbocharging Matching Investigation for High-Altitude Power Recovery in Aviation Hydrogen Internal Combustion Engines
Abstract
1. Introduction
2. Materials and Methods
2.1. Experiment Test System
2.2. Simulation Model and Validation
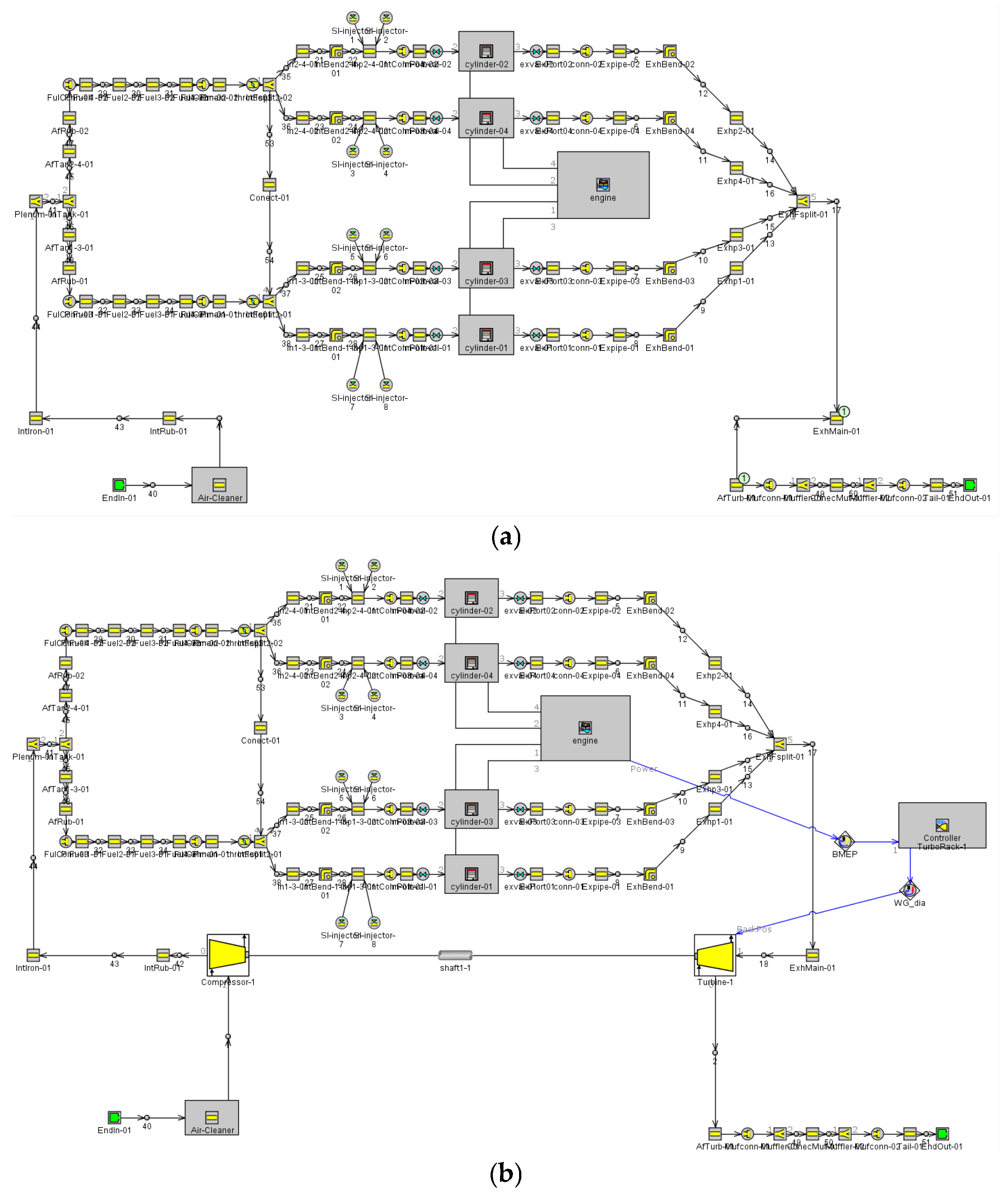
2.2.1. Simulation Model
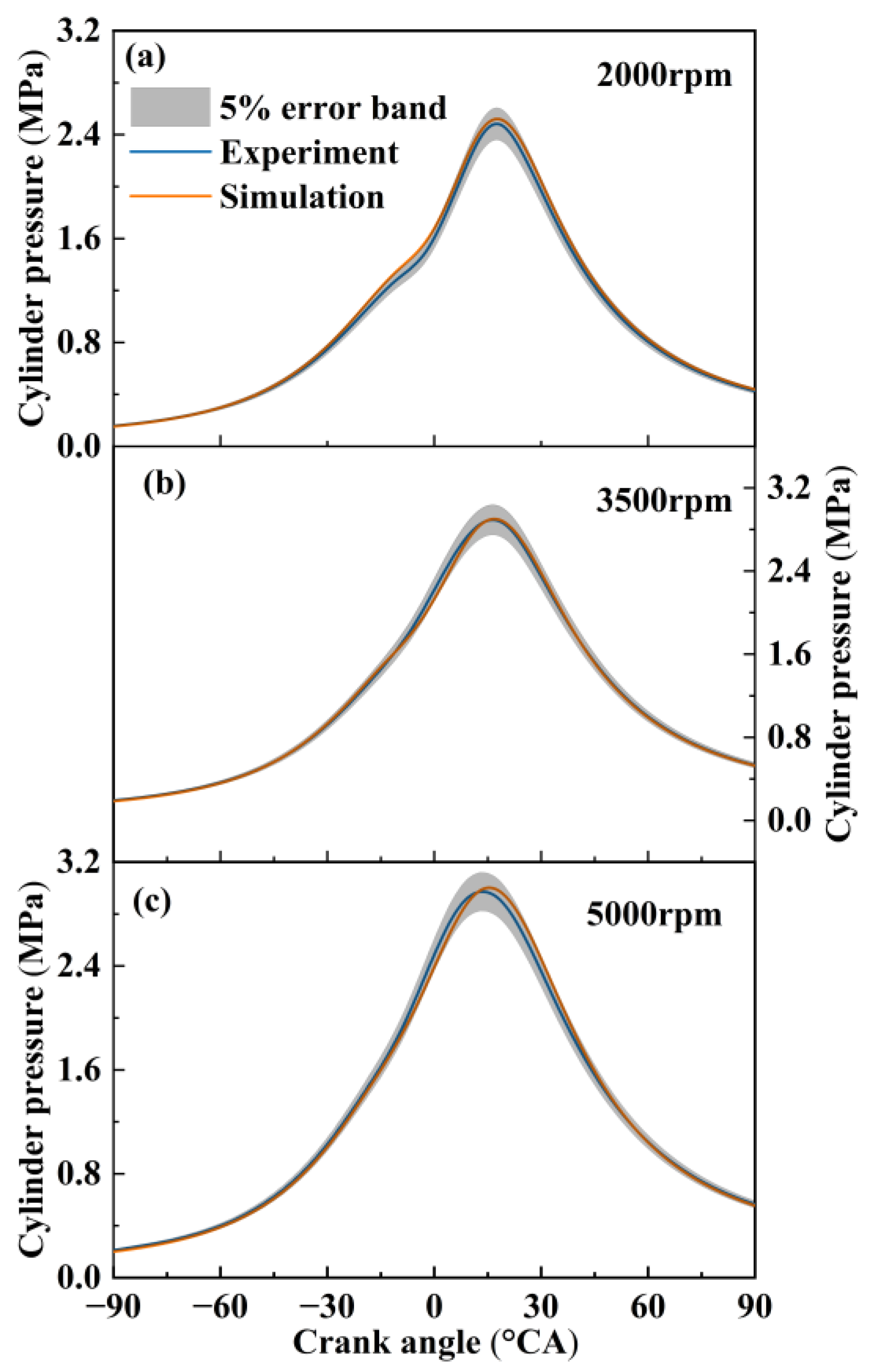
2.2.2. Model Validation
3. Results and Discussion
3.1. The Performance of the PFI-HICE
3.2. Turbocharging Matching and Power Recovery
3.2.1. Calculation of Compressor Parameters
- (1)
- determine the mass flow rates of both hydrogen and air;
- (2)
- calculate their respective partial pressures based on the post-compression intercooler outlet temperature Tc;
- (3)
- obtain the total in-cylinder pressure and compute the corresponding compressor pressure ratio.
3.2.2. Calculation of Turbine Parameters
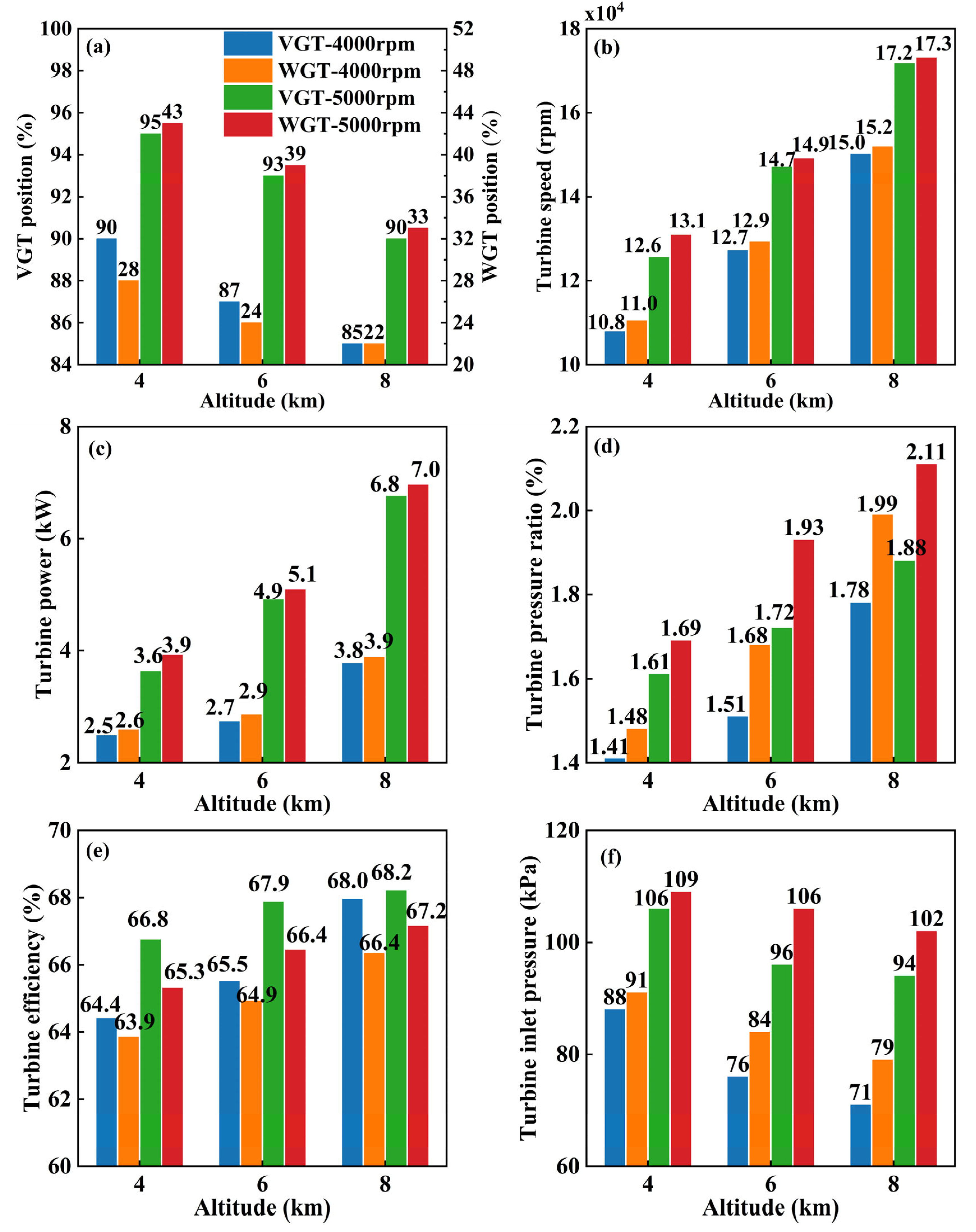
3.2.3. Analysis of Boost-Matching and Engine Power Recovery
3.3. Comparative Analysis of Two Boost-Pressure Regulation Methods and Their Effects on Turbocharging and Engine Performance
4. Conclusions
Author Contributions
Funding
Data Availability Statement
Conflicts of Interest
Abbreviations
| HICEs | hydrogen internal combustion engines |
| PFI-HICEs | port-fuel-injected HICEs |
| VGT | variable geometry turbine |
| WGT | waste-gate turbine |
| DI | direct injection |
| ECU | electronic control unit |
| MBT | maximum brake torque |
| ITE | indicated thermal efficiency |
| WOT | wide-open throttle |
| PMEP | pumping mean effective pressure |
| BSFC | brake-specific fuel consumption |
| λ | excess air coefficient |
References
- Lu, Y.; Que, J.; Xia, Y.; Li, X.; Jiang, Q.; Feng, L. A comparative study of the effects of EGR on combustion and emission characteristics of port fuel injection and late direct injection in hydrogen internal combustion engine. Appl. Energy 2024, 375, 123830. [Google Scholar] [CrossRef]
- Wang, J.; Huang, Z.; Tang, C.; Miao, H.; Wang, X. Numerical study of the effect of hydrogen addition on methane–air mixtures combustion. Int. J. Hydrogen Energy 2009, 34, 1084–1096. [Google Scholar] [CrossRef]
- Hu, E.; Huang, Z.; He, J.; Miao, H. Experimental and numerical study on laminar burning velocities and flame instabilities of hydrogen–air mixtures at elevated pressures and temperatures. Int. J. Hydrogen Energy 2009, 34, 8741–8755. [Google Scholar] [CrossRef]
- Zhang, Y.; Huang, Z.; Wei, L.; Zhang, J.; Law, C.K. Experimental and modeling study on ignition delays of lean mixtures of methane, hydrogen, oxygen, and argon at elevated pressures. Combust. Flame 2012, 159, 918–931. [Google Scholar] [CrossRef]
- Global Hydrogen Review 2023. 2023. Available online: https://iea.blob.core.windows.net/assets/cb9d5903-0df2-4c6c-afa1-4012f9ed45d2/GlobalHydrogenReview2023.pdf (accessed on 10 December 2025).
- Duan, Y.; Sun, B.; Li, Q.; Wu, X.; Hu, T.; Luo, Q. Combustion characteristics of a turbocharged direct-injection hydrogen engine. Energy Convers. Manag. 2023, 291, 117267. [Google Scholar] [CrossRef]
- Kazula, S.; de Graaf, S.; Enghardt, L. Review of fuel cell technologies and evaluation of their potential and challenges for electrified propulsion systems in commercial aviation. In Proceedings of the Global Power and Propulsion Society, Chania, Greece, 12–14 September 2022. [Google Scholar]
- Razmi, A.R.; Hanifi, A.R.; Shahbakhti, M. Comparative techno-economic assessment of solid oxide fuel cells versus hydrogen-fueled internal combustion engines for institutional energy management. Fuel 2026, 405, 136680. [Google Scholar] [CrossRef]
- Kamil, M.; Alobaid, A.; Mustafizur Rahman, M.; Abu Bakar, R.; Awad, O.I. One-dimensional single-zone analysis of combustion, thermodynamics, and heat transfer in a hydrogen-fueled internal combustion engine: A parametric evaluation. Int. J. Hydrogen Energy 2025, 183, 151838. [Google Scholar] [CrossRef]
- Bao, L.; Sun, B.; Luo, Q.; Li, J.; Qian, D.; Ma, H.; Guo, Y. Development of a turbocharged direct-injection hydrogen engine to achieve clean, efficient, and high-power performance. Fuel 2022, 324, 124713. [Google Scholar] [CrossRef]
- Panthi, N.; Alzate, A.F.G.; Sharma, P.; AlRamadan, A.; Cenker, E.; Magnotti, G. Direct Injection Hydrogen Combustion Under Leaner Conditions in an Optical Engine Using Optical/Laser Diagnostics. 2025. Available online: https://ssrn.com/abstract=5124521 (accessed on 10 December 2025).
- Rao, X.; Lou, D.; Zhang, Y.; Wang, Z.; Cai, K.; Zhu, K. Experimental investigation and multi-objective optimization of combustion characteristics and performance in a port-fuel-injected hydrogen engine. Int. J. Hydrogen Energy 2025, 192, 152370. [Google Scholar] [CrossRef]
- Khalid, A.H.; Muhamad Said, M.F.; Veza, I.; Abas, M.A.; Roslan, M.F.; Abubakar, S.; Jalal, M.R. Hydrogen port fuel injection: Review of fuel injection control strategies to mitigate backfire in internal combustion engine fuelled with hydrogen. Int. J. Hydrogen Energy 2024, 66, 571–581. [Google Scholar] [CrossRef]
- Gürbüz, H.; Akçay, İ.H. Evaluating the effects of boosting intake-air pressure on the performance and environmental-economic indicators in a hydrogen-fueled SI engine. Int. J. Hydrogen Energy 2021, 46, 28801–28810. [Google Scholar] [CrossRef]
- Verhelst, S.; Wallner, T. Hydrogen-fueled internal combustion engines. Prog. Energy Combust. Sci. 2009, 35, 490–527. [Google Scholar] [CrossRef]
- Bao, L.; Sun, B.; Luo, Q. Optimal control strategy of the turbocharged direct-injection hydrogen engine to achieve near-zero emissions with large power and high brake thermal efficiency. Fuel 2022, 325, 124913. [Google Scholar] [CrossRef]
- Güler, İ.; Kılıçaslan, A.; Küçük, T.; Corsini, D. Transient and altitude performance analysis of hydrogen fuelled internal combustion engines with different charging concepts. Int. J. Hydrogen Energy 2024, 49, 1112–1122. [Google Scholar] [CrossRef]
- Lai, F.; Sun, B.; Xiao, G.; Luo, Q.; Bao, L. Research on optimizing turbo-matching of a large-displacement PFI hydrogen engine to achieve high-power performance. Int. J. Hydrogen Energy 2023, 48, 38508–38520. [Google Scholar] [CrossRef]
- Boretti, A. Electric turbochargers in hydrogen internal combustion engines powered hybrid electric vehicles: Advancing performance, efficiency, and sustainability. Int. J. Hydrogen Energy 2025, 103, 690–700. [Google Scholar] [CrossRef]
- Pucillo, F.; Millo, F.; Piano, A.; Giordana, S.; Rapetto, N.; Paulicelli, F. Turbocharging System Selection for a Hydrogen-Fuelled Spark-Ignition Internal Combustion Engine for Heavy-Duty Applications. In SAE Technical Paper; SAE International: Warrendale, PA, USA, 2024. [Google Scholar] [CrossRef]
- Barış, O.; Güler, İ.; Yaşgül, A. The effect of different charging concepts on hydrogen fuelled internal combustion engines. Fuel 2023, 343, 127983. [Google Scholar] [CrossRef]
- Robert, J.N.; Tang, X.; Boyer, B.; Oltmans, B.; Denlinger, A.; Heffel, J.W. Hydrogen IC Engine Boosting Performance and NOx Study. SAE Trans. 2003, 112, 865–875. [Google Scholar]
- Brin, J.; Waldron, T. Analysis of Boosting Architectures for Hydrogen Internal Combustion Engines. In SAE Technical Paper; SAE International: Warrendale, PA, USA, 2023. [Google Scholar] [CrossRef]
- Wang, K.; Sun, B.; Luo, Q.; Li, Q.; Wu, X.; Hu, T.; Bao, L.-Z.; Wang, X. Performance optimization design of direct injection turbocharged hydrogen internal combustion engine. Appl. Energy Combust. Sci. 2023, 16, 100204. [Google Scholar] [CrossRef]
- Carlucci, A.P.; Ficarella, A.; Laforgia, D.; Renna, A. Supercharging system behavior for high altitude operation of an aircraft 2-stroke diesel engine. Energy Convers. Manag. 2015, 101, 470–480. [Google Scholar] [CrossRef]
- Yang, B.; Martinez-Botas, R.; Yang, M. Rotor flow-field timescale and unsteady effects on pulsed-flow turbocharger turbine. Aerosp. Sci. Technol. 2022, 120, 107231. [Google Scholar] [CrossRef]
- Zhou, Y.; Li, X.; Geng, T.; Shao, L.; Xu, Z.; Zhong, Z.; Zhu, K.; Song, Y.; Ding, S. Piston engine energy utilization for variable-altitude applications: A review of two-stage turbocharging technologies. Renew. Sustain. Energy Rev. 2025, 223, 116036. [Google Scholar] [CrossRef]
- Luo, Q.; Sun, B. Effect of the miller cycle on the performance of turbocharged hydrogen internal combustion engines. Energy Convers. Manag. 2016, 123, 209–217. [Google Scholar] [CrossRef]












| Parameters | Unit | Value |
|---|---|---|
| Engine type | - | horizontally opposed 4-cylinder, 4-stroke |
| Bore × stroke | mm | 86 × 61 |
| Compression ratio | - | 8.5 |
| Fuel delivery strategy | - | port fuel injection |
| Injector | - | BOSCH 13096246 |
| Number of injectors | - | 8 |
| Fuel | - | high-purity hydrogen (99.99%) |
| Instruments | Device | Accuracy |
|---|---|---|
| Dynamometer | GW250 | ±1 N·m and ±1 rpm |
| Combustion pressure sensor | Kistler 6054 BR transducer | ±0.02 MPa |
| Hydrogen mass flow meter | CMF010 H2 flowmeter | ±0.01 kg/h |
| Air mass flow meter | MTR − 500 air flowmeter | ±2.5 kg/h |
| Parameters | Range | Step |
|---|---|---|
| Engine speed | 2000 rpm–5000 rpm | 500 rpm |
| Intake pressure | 50 kPa–100 kPa | 10 kPa |
| λ | Lean limit * −1.4 | 0.1 |
| Ignition timing | Maximum brake torque (MBT) | − |
| Sub-Model | Specific Model |
|---|---|
| Combustion model | Weibe function |
| Heat transfer model | Woschni model |
| Fiction model | Chen–Flynn model |
| Turbocharger model | Actually tested turbo map and compressor map |
| Altitude (km) | Atmosphere Temperature (K) | Atmosphere Pressure (kPa) |
|---|---|---|
| 0 | 288.0 | 101.3 |
| 1 | 281.5 | 89.9 |
| 2 | 275.0 | 79.5 |
| 3 | 268.5 | 71.1 |
| 4 | 262.0 | 61.7 |
| 5 | 255.5 | 54.1 |
| 6 | 249.0 | 47.2 |
| 7 | 242.7 | 41.1 |
| 8 | 236.2 | 35.6 |
| 9 | 229.7 | 30.8 |
| Speed (rpm) | Brake Power (kW) | λ (-) | Hydrogen Mass Flow at WOT (kg/s) | Air Mass Flow at WOT (kg/s) |
|---|---|---|---|---|
| 5000 | 36.20 | 1.70 | 0.0010 | 0.05863 |
| 3500 | 21.70 | 1.50 | 0.0006 | 0.02984 |
| Speed (rpm) | (-) | Air Mass Flow (kg/s) | Hydrogen Mass Flow (kg/s) | Total Correct Mass Flowrate (kg/s) |
|---|---|---|---|---|
| 5000 | 3.05 | 0.0583 | 0.0010 | 0.149 |
| 3500 | 2.28 | 0.0297 | 0.0006 | 0.078 |
| Speed (rpm) | (-) | Reduced Mass Flow Rate (kg/s·K^0.5/kPa) |
|---|---|---|
| 5000 | 2.04 | 0.020 |
| 3500 | 1.58 | 0.017 |
| Category | Parameter | VGT | WGT |
|---|---|---|---|
| Turbocharger | Turbocharger speed | − | + |
| Compressor pressure ratio | − | + | |
| Turbine inlet pressure | − | + | |
| Turbine efficiency | + | − | |
| PFI-HICE | Pumping loss | − | + |
| Maximum combustion pressure | − | + | |
| Indicated thermal efficiency | + | − | |
| BSFC | − | + |
Disclaimer/Publisher’s Note: The statements, opinions and data contained in all publications are solely those of the individual author(s) and contributor(s) and not of MDPI and/or the editor(s). MDPI and/or the editor(s) disclaim responsibility for any injury to people or property resulting from any ideas, methods, instructions or products referred to in the content. |
© 2026 by the authors. Licensee MDPI, Basel, Switzerland. This article is an open access article distributed under the terms and conditions of the Creative Commons Attribution (CC BY) license.
Share and Cite
Wang, W.; Yan, Y. Turbocharging Matching Investigation for High-Altitude Power Recovery in Aviation Hydrogen Internal Combustion Engines. Fire 2026, 9, 51. https://doi.org/10.3390/fire9020051
Wang W, Yan Y. Turbocharging Matching Investigation for High-Altitude Power Recovery in Aviation Hydrogen Internal Combustion Engines. Fire. 2026; 9(2):51. https://doi.org/10.3390/fire9020051
Chicago/Turabian StyleWang, Weicheng, and Yu Yan. 2026. "Turbocharging Matching Investigation for High-Altitude Power Recovery in Aviation Hydrogen Internal Combustion Engines" Fire 9, no. 2: 51. https://doi.org/10.3390/fire9020051
APA StyleWang, W., & Yan, Y. (2026). Turbocharging Matching Investigation for High-Altitude Power Recovery in Aviation Hydrogen Internal Combustion Engines. Fire, 9(2), 51. https://doi.org/10.3390/fire9020051

