Sign in to use this feature.

Years

Between: -

Subjects

remove_circle_outline
remove_circle_outline
remove_circle_outline
remove_circle_outline
remove_circle_outline
remove_circle_outline
remove_circle_outline
remove_circle_outline
remove_circle_outline

Journals

remove_circle_outline
remove_circle_outline
remove_circle_outline
remove_circle_outline
remove_circle_outline
remove_circle_outline
remove_circle_outline
remove_circle_outline
remove_circle_outline
remove_circle_outline
remove_circle_outline
remove_circle_outline
remove_circle_outline
remove_circle_outline
remove_circle_outline

Article Types

Countries / Regions

remove_circle_outline
remove_circle_outline
remove_circle_outline
remove_circle_outline
remove_circle_outline

Search Results (2,043)

Search Parameters:
Keywords = compressed CO2

Order results
Result details
Results per page
Select all
Export citation of selected articles as:
21 pages, 3570 KB  
Article
Effect of Sodium Sulfate on Fracture Properties and Microstructure of High-Volume Slag-Cement Mortar
by Ruizhe Si, Xiangyu Han, Yue Zhang and Haonan Zeng
Materials 2026, 19(1), 43; https://doi.org/10.3390/ma19010043 - 22 Dec 2025
Abstract
This study investigates the effect of added sodium sulfate on the performance of high-volume slag-cement mortar (HVSCM). Herein, Na2SO4 (0, 1, 2, and 4 wt.% Na2O) was used to modify HVSCM. The compressive strength, fracture properties, microstructure, and [...] Read more.
This study investigates the effect of added sodium sulfate on the performance of high-volume slag-cement mortar (HVSCM). Herein, Na2SO4 (0, 1, 2, and 4 wt.% Na2O) was used to modify HVSCM. The compressive strength, fracture properties, microstructure, and environmental impact of the synthesized samples were analyzed. The results showed that the 1 day compressive strength of HVSCM can be improved by 345.5% with the addition of 4% Na2O (as Na2SO4), compared to samples without Na2SO4. However, the 28 day compressive strength of Na2SO4-activated HVSCM was 14.3–26.4% lower than that of the non-activated HVSCM, though still comparable to OPC. Regarding fracture properties, the initial fracture toughness of non-activated HVSCM was 45.6% higher than that of Ordinary Portland cement (OPC) mortar. Furthermore, Na2SO4 activation further increased initial fracture toughness, with the sample containing 4% Na2O showing a 101.1% improvement over OPC. In contrast, fracture energy was not significantly influenced by Na2SO4 addition. Microstructurally, the enhanced fracture properties of non-activated HVSCM were attributed to a higher degree of C-(A)-S-H polymerization and a denser binder phase. Sodium sulfate introduced sodium ions to strengthen electrostatic attraction and cohesion between C-(A)-S-H globules, offsetting reduced polymerization. Environmental assessment confirms that both activated and non-activated HVSCM substantially reduce embodied energy and CO2 relative to OPC, while the additional embodied energy associated with Na2SO4 activation remains limited (<12%). Overall, this work provides a comprehensive understanding of the fracture behavior of Na2SO4-activated HVSCM, elucidating its capacity to enhance early-age strength and fracture toughness while highlighting its limited effect on long-term strength and fracture energy. These findings support the tailored use of Na2SO4 activation for sustainable construction applications. Full article
Show Figures

Figure 1

17 pages, 3215 KB  
Article
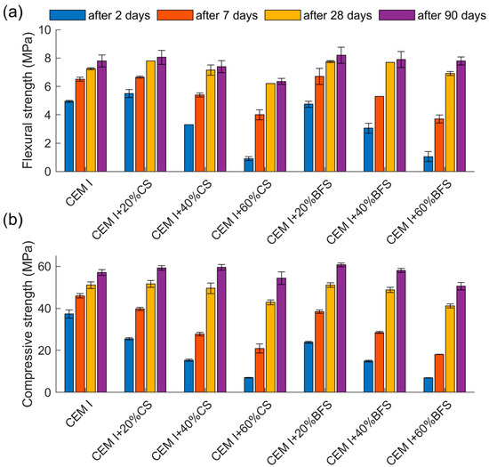
Activity of Copper and Blast Furnace Slag and Its Influence on the Properties of Cement
by Stefania Grzeszczyk, Aneta Matuszek-Chmurowska, Alina Kaleta-Jurowska, Krystian Jurowski, Piotr Podkowa and Seweryn Stęplowski
Materials 2026, 19(1), 38; https://doi.org/10.3390/ma19010038 - 22 Dec 2025
Abstract
Reducing CO2 emissions from cement production is currently one of the major challenges faced by the cement industry. One approach to lowering these emissions is to reduce the clinker factor by incorporating alternative mineral additives into cement. Consequently, there is a growing [...] Read more.
Reducing CO2 emissions from cement production is currently one of the major challenges faced by the cement industry. One approach to lowering these emissions is to reduce the clinker factor by incorporating alternative mineral additives into cement. Consequently, there is a growing interest in the use of copper slags (CSs) as supplementary cementitious materials. Therefore, this study investigates the properties of cements containing substantial amounts of copper slag (up to 60%) and, for comparison, the same proportions of granulated blast furnace slag. The inclusion of substantial amounts of CS results both from the lack of studies in this area and from the potential benefits associated with the utilization of larger quantities of copper slag. The chemical, phase, and particle size composition of CS and granulated blast furnace slag added to CEM I 42.5 cement from the Odra cement plant in amounts of 20%, 40%, and 60% by weight were compared. The pozzolanic activity index of the copper slag and the hydraulic activity index of the blast furnace slag were determined. The high pozzolanic activity of the CS was attributed to its high degree of vitrification (nearly 100%). In contrast, the lower hydraulic activity of the blast furnace slag was explained by its lower glass phase content (about 90% by mass). A gradual decrease in the total heat of hydration released within the first two days was observed with increasing slag content in the cement, slightly more pronounced for copper slags. However, at later stages (2–28 days), XRD analysis indicated higher hydration activity in cements containing copper slag, resulting from its strong pozzolanic reactivity. Cements with copper slag also showed slightly lower water demand compared to those with blast furnace slag. An increase in setting time was observed with higher slag content, more noticeable for blast furnace slag. The type and amount of slag in cement reduce both yield stress and plastic viscosity. Greater reductions were observed at higher slag content. Moreover, copper slag caused greater paste fluidity, attributed to the lower amount of fine particles fraction. The addition of slag decreased flexural and compressive strength in the early period (up to 7 days), this reduction being proportional to slag content. After 90 days, mortars containing 20% and 40% copper slag achieved strength values exceeding that of the reference mortar by 4%. In contrast, at a 60% CS content, a 5% decrease was observed, while for cement with 60% BFS the decrease was 11%. This indicates that a lower copper slag content in the cement (40%) is more favorable in terms of strength. Full article
(This article belongs to the Special Issue Sustainability and Performance of Cement-Based Materials)
Show Figures

Figure 1

13 pages, 3358 KB  
Article
Thermal Insulation and Compressive Strength of Lightweight Geopolymer Foam Concrete Exposed to Accelerated Weathering by Carbonation, Salt Fog and UV Light
by Gabriela A. de la Rosa-Corral, Ramón Corral-Higuera, Susana P. Arredondo-Rea, Andrés Castro-Beltrán, Anabel De la Cruz-Delgado, Alfredo Martinez-Garcia and Víctor M. Orozco-Carmona
Materials 2026, 19(1), 12; https://doi.org/10.3390/ma19010012 - 19 Dec 2025
Viewed by 84
Abstract
This study investigates the deterioration of the thermal and mechanical properties of geopolymer foam concrete (GFC) subjected to accelerated weathering through carbonation, salt fog, and UV radiation. GFC blocks were synthesized using metakaolin as the aluminosilicate precursor, activated with an alkaline solution consisting [...] Read more.
This study investigates the deterioration of the thermal and mechanical properties of geopolymer foam concrete (GFC) subjected to accelerated weathering through carbonation, salt fog, and UV radiation. GFC blocks were synthesized using metakaolin as the aluminosilicate precursor, activated with an alkaline solution consisting of 8 M NaOH and sodium silicate (Na2SiO3) at a NaOH/Na2SiO3 ratio of 0.51 wt.%. A 30% (v/v) H2O2 solution served as the foaming agent, and olive oil was used as the surfactant. Accelerated carbonation tests were conducted at 25 ± 3 °C and 40 ± 3 °C, under 60 ± 5% relative humidity and 5% CO2, with carbonation depth, carbonation percentage, density, porosity, and thermal conductivity evaluated over a 7-day period. In parallel, specimens were exposed to salt fog and UV radiation for 12 weeks in accordance with ASTM B117-19 and ASTM G154-23, respectively. Compressive strength was monitored every week throughout the exposure period. Results show that carbonation temperature governs the type and kinetics of carbonate formation. The carbonation process, at 40 °C for 7 days, increased the density and reduced the porosity of GFC, resulting in a ~48% increase in thermal conductivity. Salt fog exposure led to severe mechanical degradation, with NaCl penetration reducing compressive strength by 69%. In contrast, UV radiation caused only minor deterioration, decreasing compressive strength by up to 7%, likely due to surface-level carbonation. Full article
(This article belongs to the Special Issue Advances in Sustainable Construction Materials, Third Edition)
Show Figures

Figure 1

31 pages, 4320 KB  
Article
The Use of Slag, Biochar, and Hydrochar as Potential Concrete Additives: Effects on Compressive Strength and Spalling Resistance Before and After Fire Exposure
by Asaad Almssad, Majid Al-Gburi, A. Viktor and Awaz Mohammadullah
Appl. Sci. 2025, 15(24), 13248; https://doi.org/10.3390/app152413248 - 18 Dec 2025
Viewed by 136
Abstract
Cement production is a significant global source of CO2 emissions, leading to a demand for sustainable concrete alternatives. This study investigates the use of various additives to partially replace cement and assesses their effects on compressive strength and fire resistance, particularly spalling. [...] Read more.
Cement production is a significant global source of CO2 emissions, leading to a demand for sustainable concrete alternatives. This study investigates the use of various additives to partially replace cement and assesses their effects on compressive strength and fire resistance, particularly spalling. Seven concrete mixes were tested for their initial and post-fire compressive strength, mass loss, and cracking. The cement-only reference mix (R1) achieved the highest initial strength (53.3 MPa) but experienced severe explosive spalling. In contrast, the mix with slag and polypropylene (PP) fibers (R4) offered the best balance, maintaining substantial strength after fire while completely preventing spalling. Biochar additions consistently lowered strength and increased spalling risk, whereas hydrochar notably enhanced spalling resistance, especially at higher replacement levels. The results demonstrate that sustainable additives, such as slag with PP fibers or high-dose hydrochar, can effectively improve fire safety and reduce cement use, though there is an initial trade-off in mechanical performance. Ultimately, choosing the optimal mix depends on whether environmental benefits, fire resistance, or structural strength is the highest priority. Full article
(This article belongs to the Special Issue Next-Generation Concrete: Circular and Carbon-Conscious Solutions)
Show Figures

Figure 1

17 pages, 4143 KB  
Article
Anionic Effects on Flocculation and Consolidation of Sediments Contaminated by Heavy Metals
by Wenjing Sun, Yijie Sun and Yitian Lu
Appl. Sci. 2025, 15(24), 13224; https://doi.org/10.3390/app152413224 - 17 Dec 2025
Viewed by 81
Abstract
The remediation of heavy metal-contaminated sediments is a significant environmental challenge. While cation effects are well studied, the influence of common co-existing anions on treatment efficiency remains poorly quantified. This study systematically investigates the effects of nitrate (NO3), chloride (Cl [...] Read more.
The remediation of heavy metal-contaminated sediments is a significant environmental challenge. While cation effects are well studied, the influence of common co-existing anions on treatment efficiency remains poorly quantified. This study systematically investigates the effects of nitrate (NO3), chloride (Cl), and sulfate (SO42−) ions on the flocculation and consolidation of copper (Cu)- and zinc (Zn)-contaminated sediments through settling column tests, turbidity measurements, and oedometer consolidation tests. Results demonstrated that NO3 achieved the highest flocculation efficiency, with a final settling height of 3.52 cm and a supernatant turbidity of 4.6 NTU, and the best consolidation performance, with a coefficient of 1.27 × 10−3 cm2/s. In contrast, SO42− yielded the poorest outcomes. The superior performance of NO3 is attributed to its low charge density, which promotes the formation of denser flocs. These findings underscore that anion selection is a critical factor for optimizing sediment dewatering processes, suggesting that strategies favoring nitrate conditions can enhance the efficiency of techniques like pressure filtration and vacuum pre-compression. Full article
Show Figures

Figure 1

30 pages, 7505 KB  
Article
Metakaolin-Enhanced Laterite Rock Aggregate Concrete: Strength Optimization and Sustainable Cement Replacement
by Udeme Udo Imoh, Muayad Habashneh, Sophia Chukwufumnanya Kaine, Adewumi John Babafemi, Rauf Hassan and Majid Movahedi Rad
Buildings 2025, 15(24), 4553; https://doi.org/10.3390/buildings15244553 - 17 Dec 2025
Viewed by 188
Abstract
The growing demand for concrete in tropical regions faces two unresolved challenges: the high carbon footprint of ordinary Portland cement (OPC) and limited understanding of how supplementary cementitious materials affect the mechanical performance of laterite rock aggregates concrete. Although metakaolin (MK) is a [...] Read more.
The growing demand for concrete in tropical regions faces two unresolved challenges: the high carbon footprint of ordinary Portland cement (OPC) and limited understanding of how supplementary cementitious materials affect the mechanical performance of laterite rock aggregates concrete. Although metakaolin (MK) is a highly reactive pozzolan, its combined use with laterite rock aggregates concrete and its influence on strength development and microstructure have not been sufficiently clarified. This study investigates the mechanical behavior and sustainability potential of laterite rock aggregate concrete in which OPC is partially replaced by MK at 0%, 5%, 10%, 15%, and 20% by weight. All mixes were prepared at a constant water–binder ratio of 0.50 and tested for workability, compressive strength, split-tensile strength, and flexural strength at 7, 14, and 28 days, with and without a polycarboxylate-based superplasticizer. The results show that MK significantly enhances the mechanical performance of laterite rock concrete, with an optimum at 10% replacement: the 28-day compressive strength increased from 35.6 MPa (control) to 53.9 MPa in the superplasticized mix, accompanied by corresponding gains in tensile and flexural strengths. SEM–EDS analyses revealed microstructural densification, reduced portlandite, and a refined interfacial transition zone, explaining the improved strength and cracking resistance. From an environmental perspective, a 10% MK replacement corresponds to an approximate 10% reduction in clinker-related CO2 emissions, while the use of locally available laterite rock reduces the dependence on quarried granite and transportation impacts. The findings demonstrate that MK-modified laterite rock concrete is a viable and eco-efficient option for structural applications in tropical regions. The study concludes that MK-enhanced laterite rock aggregate concrete can deliver higher structural performance and improved sustainability without altering conventional mix design and curing practices. Full article
(This article belongs to the Section Building Materials, and Repair & Renovation)
Show Figures

Figure 1

22 pages, 17264 KB  
Article
Comparative Study on Pore Characteristics and Methane Adsorption Capacity of Shales with Different Levels of Tectonic Deformation: A Case Study of Longmaxi Shales in Fuling Field
by Xiaoming Zhang, Changcheng Han, Lanpu Chen, Qinhong Hu, Zhiguo Shu, Di Wang, Xidong Wang, Qian Feng and Yuzuo Liu
Minerals 2025, 15(12), 1315; https://doi.org/10.3390/min15121315 - 16 Dec 2025
Viewed by 144
Abstract
Tectonic deformation can substantially change the pore characteristics and the resulting methane adsorption capacity of shales; thus, it strongly influences shale gas exploration and development in structurally complex areas of southern China. Two sets of shales with identical lithofacies that were derived from [...] Read more.
Tectonic deformation can substantially change the pore characteristics and the resulting methane adsorption capacity of shales; thus, it strongly influences shale gas exploration and development in structurally complex areas of southern China. Two sets of shales with identical lithofacies that were derived from either structurally stable or deformed regions were collected at Fuling Field to evaluate the response of their pore properties and methane adsorption behavior to tectonic deformation through field emission scanning electron microscopy (FE-SEM), low-pressure gas (CO2/N2) adsorption, and high-pressure methane adsorption experiments. Three primary shale lithofacies were identified in each set of shales: organic-lean (OL) siliceous-rich argillaceous (CM-1) shale lithofacies, organic-moderate (OM) argillaceous/siliceous mixed (M-2) shale lithofacies, and organic-rich (OR) argillaceous-rich siliceous (S-3) shale lithofacies. In the stable region, organic matter (OM) pores dominated the pore types of OR S-3 shales, whereas the primary pore types of OL CM-1 shales were clay cleavage micro-fractures. OM M-2 shales exhibited a composite type of OM pores and clay cleavage micro-fractures. Compared with structurally stable shales, the original OM-hosted and clay-related pores in structurally deformed shales were extensively compacted or even closed due to tectonic compression during structural deformation. Despite pore collapse, two new types of tectonic micro-fractures were generated and found to be well developed in deformed shales through the rupture of brittle minerals in OR S-3 shales and the deformation of clay minerals in OL CM-1 shales. Simultaneously, organic matter–clay aggregates that formed during tectonic compression constituted a distinctive structure in deformed OM M-2 shales. As a result, the deformed shales displayed a decrease in their micropore and mesopore volumes, as well as a decrease in their pore surface areas, because of strong tectonic compression accompanied by an increase in the macropore volume due to the development of tectonic micro-fractures. Furthermore, the large pore surface areas in structurally stable shales could supply abundant adsorption sites and facilitate the enrichment of adsorbed gas. The expanded macropore volumes in structurally deformed shales could provide more storage spaces that are favorable for the accumulation of free gas. Full article
(This article belongs to the Section Mineral Exploration Methods and Applications)
Show Figures

Figure 1

15 pages, 3447 KB  
Article
Hydrophobic Fly Ash-Based Mineral Powder for Sustainable Asphalt Mixtures
by Kairat Kuanyshkalievich Mukhambetkaliyev, Bexultan Dulatovich Chugulyov, Jakharkhan Kairatuly Kabdrashit, Zhanbolat Anuarbekovich Shakhmov and Yelbek Bakhitovich Utepov
J. Compos. Sci. 2025, 9(12), 701; https://doi.org/10.3390/jcs9120701 - 16 Dec 2025
Viewed by 198
Abstract
This study develops and assesses a hydrophobized fly ash mineral powder as a filler for dense fine-graded asphalt mixtures in Kazakhstan. Fly ash from a local TPP was dry co-milled with a stearate-based modifier to yield a free-flowing, hydrophobic powder that meets the [...] Read more.
This study develops and assesses a hydrophobized fly ash mineral powder as a filler for dense fine-graded asphalt mixtures in Kazakhstan. Fly ash from a local TPP was dry co-milled with a stearate-based modifier to yield a free-flowing, hydrophobic powder that meets the national limits for moisture, porosity, and gradation. SEM shows cenospheres and broken shells partially armored by adherent fines, suggesting an increased micro-roughness and potential sites for binder–filler bonding. Three mixes were produced: a carbonate reference and two fly ash variants, all designed at the same optimum binder content. Compared with the reference, fly ash fillers delivered a markedly higher compressive strength (up to about five times at 20 °C), improved adhesion, and high internal friction, while the mixture density rutting resistance was essentially unchanged. Water resistance indices remained high and stable despite only modest changes in water saturation, and crack resistance improved, especially for the dry ash mixture. The convergence of microstructural, physicochemical, and mechanical results shows that surface-engineered fly ash from a Kazakhstani TPP can technically replace natural carbonate filler while enhancing durability-critical performance and supporting the more resource-efficient use of industrial by-products in pavements. Full article
(This article belongs to the Special Issue Composites: A Sustainable Material Solution, 2nd Edition)
Show Figures

Figure 1

15 pages, 3114 KB  
Article
From Waste to Thermal Barrier: Green Carbonation Synthesis of a Silica Aerogel from Coal Gangue
by Chenggang Chen, Heyu Li, Zhe Sun and Yan Cao
Appl. Sci. 2025, 15(24), 13156; https://doi.org/10.3390/app152413156 - 15 Dec 2025
Viewed by 200
Abstract
A sustainable pathway for converting low-value solid waste (Coal gangue, CG) into high-performance thermal insulation materials through a green synthesis strategy has been demonstrated. The SiO2 was successfully and efficiently extracted from CG in the form of sodium silicate. The subsequent sol–gel [...] Read more.
A sustainable pathway for converting low-value solid waste (Coal gangue, CG) into high-performance thermal insulation materials through a green synthesis strategy has been demonstrated. The SiO2 was successfully and efficiently extracted from CG in the form of sodium silicate. The subsequent sol–gel process of sodium silicate solution utilized an innovative CO2 carbonation method, which replaced the conventional use of strong acids, thereby reducing the carbon footprint and enhancing process safety. Hydrophobic SiO2 aerogel was subsequently prepared via ambient pressure drying, exhibiting a high specific surface area of 750.4 m2/g, a narrow pore size distribution ranging from 2 to 15 nm and a low thermal conductivity of 0.022 W·m−1·K−1. Furthermore, the powdered aerogel was shaped into a monolithic form using a simple molding technique, which conferred appreciable compressibility and resilience, maintaining the low thermal conductivity and hydrophobicity of the original aerogels, ensuring its functional integrity for practical applications. Practical thermal management tests including low and high temperature, conclusively demonstrated the superior performance of the prepared aerogel material. This work presents a viable and efficient waste-to-resource pathway for producing high-performance thermal insulation materials. Full article
(This article belongs to the Section Energy Science and Technology)
Show Figures

Figure 1

16 pages, 1790 KB  
Article
Mineralogical and Geochemical Insights into Formation of the Muji Carbonic Springs, NW China
by Li Zhang, Yuxin Guo, Guodong Zheng, Yuanyuan Shao, Alireza K. Somarin, Vasilii Lavrushin and Xiangxian Ma
Minerals 2025, 15(12), 1302; https://doi.org/10.3390/min15121302 - 13 Dec 2025
Viewed by 153
Abstract
The Muji carbonic springs on the northeastern margin of the Pamir Plateau provide a natural window into tectonically controlled CO2 degassing within a continental collision zone. Through mineralogical and geochemical analyses, this study constrains the formation mechanisms and regional geological significance of [...] Read more.
The Muji carbonic springs on the northeastern margin of the Pamir Plateau provide a natural window into tectonically controlled CO2 degassing within a continental collision zone. Through mineralogical and geochemical analyses, this study constrains the formation mechanisms and regional geological significance of carbonic spring systems. The formed deposits are dominated by calcite and aragonite, with minor dolomite, quartz, and gypsum. The compositions of major elements are consistent with the observed mineral assemblages, reflecting that the carbonate deposition was mainly governed by CO2 degassing intensity and associated kinetic effects under cold-spring conditions. Carbon isotopes of the deposits are consistently enriched in heavy carbon with δ13C values of +3.5‰ to +9.1‰, indicating a persistent contribution of deep-sourced CO2, most likely derived from metamorphic decarbonation of the crustal carbonates. Calcite exhibits moderate δ13C values due to rapid precipitation limiting isotope enrichment, whereas aragonite records higher δ13C signatures under subdued degassing and stable hydrodynamic regimes. The narrow δ18O range (−10.7‰ to −12.6‰), closely matching that of the spring waters, indicates that the tufas record the δ18O of the spring waters through DIC-water oxygen exchange. Trace element distributions (Sr–Ba–U) reveal systematic enrichment in deep-sourced fluids and progressive downstream geochemical alteration driven by spring–river mixing. The HD springs show high Sr and δ13C values, indicating minimal dilution of ascending CO2-rich fluids, while MJX and MJXSP groups record variable degrees of shallow mixing. Collectively, the Muji system exemplifies a coupled process of “deep fluid input–shallow mixing–precipitation kinetics.” Its persistent heavy δ13C and trace-element enrichments demonstrate persistent metamorphic CO2 release through fault conduits under ongoing compression. These findings establish the Muji springs as a key non-volcanic analogue for deep CO2 degassing in continental collision zones and provides new insights into crustal carbon recycling and tectonic–hydrochemical coupling at plateau margins. Full article
(This article belongs to the Section Mineral Geochemistry and Geochronology)
Show Figures

Figure 1

22 pages, 1158 KB  
Article
High-Speed Architecture for Hybrid Arithmetic–Huffman Data Compression
by Yair Wiseman
Technologies 2025, 13(12), 585; https://doi.org/10.3390/technologies13120585 - 12 Dec 2025
Viewed by 303
Abstract
This paper proposes a hardware–software co-design for adaptive lossless compression based on Hybrid Arithmetic–Huffman Coding, a table-driven approximation of arithmetic coding that preserves near-optimal compression efficiency while eliminating the multiplicative precision and sequential bottlenecks that have traditionally prevented arithmetic coding deployment in resource-constrained [...] Read more.
This paper proposes a hardware–software co-design for adaptive lossless compression based on Hybrid Arithmetic–Huffman Coding, a table-driven approximation of arithmetic coding that preserves near-optimal compression efficiency while eliminating the multiplicative precision and sequential bottlenecks that have traditionally prevented arithmetic coding deployment in resource-constrained embedded systems. The compression pipeline is partitioned as follows: flexible software on the processor core dynamically builds and adapts the prefix coding (usually Huffman Coding) frontend for accurate probability estimation and binarization; the resulting binary stream is fed to a deeply pipelined systolic hardware accelerator that performs binary arithmetic coding using pre-calibrated finite state transition tables, dedicated renormalization logic, and carry propagation mitigation circuitry instantiated in on-chip memory. The resulting implementation achieves compression ratios consistently within 0.4% of the theoretical entropy limit, multi-gigabit per second throughput in 28 nm/FinFET nodes, and approximately 68% lower energy per compressed byte than optimized software arithmetic coding, making it ideally suited for real-time embedded vision, IoT sensor networks, and edge multimedia applications. Full article
(This article belongs to the Special Issue Optimization Technologies for Digital Signal Processing)
Show Figures

Figure 1

22 pages, 2043 KB  
Article
Predictive Model for Combustion with Hydrogen Fumigation in Compression-Ignition Engines
by Edgar Eduardo Cedillo Cornejo, Rogelio González Oropeza, Stephen Samuel, William Vicente, Rodolfo Sosa Echeverría, Elías Granados Hernández, Gilberto Fuentes García, Graciela Velasco-Herrera and Sánchez Pablo Álvarez
Hydrogen 2025, 6(4), 118; https://doi.org/10.3390/hydrogen6040118 - 12 Dec 2025
Viewed by 176
Abstract
Using hydrogen in compression-ignition internal combustion engines can reduce pollutant emissions and improve performance by enabling faster and more complete combustion. However, it is essential to determine the optimal injection timing and duration for both hydrogen and conventional fuels. These factors are critical [...] Read more.
Using hydrogen in compression-ignition internal combustion engines can reduce pollutant emissions and improve performance by enabling faster and more complete combustion. However, it is essential to determine the optimal injection timing and duration for both hydrogen and conventional fuels. These factors are critical in engine modeling analysis. This study aimed to analyze pollutant emissions, combustion, and engine performance with oxyhydrogen fumigation applied to an instrumented Ricardo E6 engine running on diesel fuel. This analysis, necessary for developing a new predictive combustion model, was calibrated with experimental data in the Gamma Technologies Suite (GTS) simulator. The results show four main effects when increasing the oxyhydrogen flow rate from 0 to 2.8 L per minute (LPM), at an indicated mean effective pressure (IMEP) of 5.3 bar and a speed of 1500 RPM: (I) NOx levels increased by up to 6%, (II) CO2 levels decreased by 8%, (III) combustion durations remained relatively stable, and (IV) brake specific fuel consumption decreased by 8%. Overall, adding hydrogen to the intake flow of the compression-ignition engine reduced CO2 emissions and enhanced indicated thermal efficiency. Full article
Show Figures

Figure 1

22 pages, 1393 KB  
Review
Biogas Upgrading and Bottling Technologies: A Critical Review
by Yolanda Mapantsela and Patrick Mukumba
Energies 2025, 18(24), 6506; https://doi.org/10.3390/en18246506 - 12 Dec 2025
Viewed by 285
Abstract
Biogas upgrading and bottling represent essential processes in transforming raw biogas produced via the anaerobic digestion of organic waste into high-purity biomethane (≥95% CH4), a renewable energy source suitable for applications in cooking, transportation, and electricity generation. Upgrading technologies, such as [...] Read more.
Biogas upgrading and bottling represent essential processes in transforming raw biogas produced via the anaerobic digestion of organic waste into high-purity biomethane (≥95% CH4), a renewable energy source suitable for applications in cooking, transportation, and electricity generation. Upgrading technologies, such as membrane separation, pressure swing adsorption (PSA), water and chemical scrubbing, and emerging methods, like cryogenic distillation and supersonic separation, play a pivotal role in removing impurities like CO2, H2S, and moisture. Membrane and hybrid systems demonstrate high methane recovery (>99.5%) with low energy consumption, whereas chemical scrubbing offers superior gas purity but is limited by high operational complexity and cost. Challenges persist around material selection, safety standards, infrastructure limitations, and environmental impacts, particularly in rural and off-grid contexts. Bottled biogas, also known as bio-compressed natural gas (CNG), presents a clean, portable alternative to fossil fuels, contributing to energy equity, greenhouse gases (GHG) reduction, and rural development. The primary aim of this research is to critically analyze and review the current state of biogas upgrading and bottling systems, assess their technological maturity, identify performance optimization challenges, and evaluate their economic and environmental viability. The research gap identified in this study demonstrates that there is no comprehensive comparison of biogas upgrading technologies in terms of energy efficiency, price, scalability, and environmental impact. Few studies directly compare these technologies across various operational contexts (e.g., rural vs. urban, small vs. large scale). Additionally, the review outlines insights into how biogas can replace fossil fuels in transport, cooking, and electricity generation, contributing to decarbonization goals. Solutions should be promoted that reduce methane emissions, lower operational costs, and optimize resource use, aligning with climate targets. This synthesis highlights the technological diversity, critical barriers to scalability, and the need for robust policy mechanisms to accelerate the deployment of biogas upgrading solutions as a central component of a low-carbon, decentralized energy future. Full article
Show Figures

Figure 1

14 pages, 14223 KB  
Communication
Alkali-Activated Binders from Copper–Nickel Slag and Fly Ash: A Synergistic Effect
by Alexander M. Kalinkin, Elena V. Kalinkina, Ekaterina A. Kruglyak and Alla G. Ivanova
Minerals 2025, 15(12), 1297; https://doi.org/10.3390/min15121297 - 11 Dec 2025
Viewed by 207
Abstract
The cement industry’s significant carbon footprint has driven research into sustainable alternatives like alkali-activated materials (AAMs). This study investigates the synergistic effect of blending copper–nickel slag (CNS) with fly ash (FA) to produce high-performance AAMs. Mechanically activated mixtures of CNS and FA, with [...] Read more.
The cement industry’s significant carbon footprint has driven research into sustainable alternatives like alkali-activated materials (AAMs). This study investigates the synergistic effect of blending copper–nickel slag (CNS) with fly ash (FA) to produce high-performance AAMs. Mechanically activated mixtures of CNS and FA, with FA content varying from 0 to 100%, were alkali-activated with sodium silicate. A distinct synergy was observed, with the blend of 80% CNS and 20% FA (AACNS–80) achieving the highest compressive strength (99.9 MPa at 28 days), significantly outperforming the single-precursor systems. Analytical techniques including thermogravimetry, FTIR spectroscopy, and SEM–EDS were used to elucidate the mechanisms behind this enhancement. The results indicate that the AACNS–80 formulation promotes a greater extent of reaction and forms a denser, more homogeneous microstructure. The synergy is attributed to an optimal particle packing density and the co-dissolution of precursors, leading to the formation of a complex gel that incorporates magnesium and iron from the slag. This work demonstrates the potential for valorizing copper–nickel slag in the production of high-strength, sustainable binders. Full article
(This article belongs to the Special Issue Characterization and Reuse of Slag)
Show Figures

Figure 1

28 pages, 12908 KB  
Article
Energy, Exergy, Economic, and Environmental (4E) Performance Analysis and Multi-Objective Optimization of a Compressed CO2 Energy Storage System Integrated with ORC
by Yitong Wu, Chairunnisa, Kyaw Thu and Takahiko Miyazaki
Energy Storage Appl. 2025, 2(4), 18; https://doi.org/10.3390/esa2040018 - 10 Dec 2025
Viewed by 190
Abstract
Current CO2-based energy storage systems still face several unsolved technical challenges, including strong thermal destruction between the multi-stage compression and expansion processes, significant exergy destruction in heat exchange units, limited utilization of low-grade heat, and the lack of an integrated comprehensive [...] Read more.
Current CO2-based energy storage systems still face several unsolved technical challenges, including strong thermal destruction between the multi-stage compression and expansion processes, significant exergy destruction in heat exchange units, limited utilization of low-grade heat, and the lack of an integrated comprehensive performance framework capable of simultaneously evaluating thermodynamic, economic, and environmental performance. Although previous studies have explored various compressed CO2 energy storage (CCES) configurations and CCES–Organic Rankine Cycle (ORC) couplings, most works treat the two subsystems separately, neglect interactions between the heat exchange loops, or overlook the combined effects of exergy losses, cost trade-offs, and CO2-emission reduction. These gaps hinder the identification of optimal operating conditions and limit the system-level understanding needed for practical application. To address these challenges, this study proposes an innovative system that integrates a multi-stage CCES system with ORC. The system introduces ethylene glycol as a dual thermal carrier, coupling waste-heat recovery in the CCES with low-temperature energy utilization in the ORC, while liquefied natural gas (LNG) provides cold energy to improve cycle efficiency. A comprehensive 4E (energy, exergy, economic, and environmental) assessment framework is developed, incorporating thermodynamic modeling, exergy destruction analysis, CEPCI-based cost estimation, and environmental metrics including primary energy saved (PES) and CO2 emission reduction. Sensitivity analyses on the high-pressure tank (HPT) pressure, heat exchanger pinch temperature difference, and pre-expansion pressure of propane (P30) reveal strong nonlinear effects on system performance. A multi-objective optimization combining NSGA-II and TOPSIS identifies the optimal operating condition, achieving 69.6% system exergy efficiency, a 2.07-year payback period, and 1087.3 kWh of primary energy savings. The ORC subsystem attains 49.02% thermal and 62.27% exergy efficiency, demonstrating synergistic effect between the CCES and ORC. The results highlight the proposed CCES–ORC system as a technically and economically feasible approach for high-efficiency, low-carbon energy storage and conversion. Full article
Show Figures

Figure 1

Back to TopTop