Sign in to use this feature.

Years

Between: -

Subjects

remove_circle_outline
remove_circle_outline
remove_circle_outline
remove_circle_outline
remove_circle_outline
remove_circle_outline
remove_circle_outline
remove_circle_outline
remove_circle_outline

Journals

remove_circle_outline
remove_circle_outline
remove_circle_outline
remove_circle_outline
remove_circle_outline
remove_circle_outline
remove_circle_outline
remove_circle_outline
remove_circle_outline
remove_circle_outline
remove_circle_outline
remove_circle_outline

Article Types

Countries / Regions

remove_circle_outline
remove_circle_outline
remove_circle_outline
remove_circle_outline
remove_circle_outline

Search Results (1,925)

Search Parameters:
Keywords = coefficient of uniformity

Order results
Result details
Results per page
Select all
Export citation of selected articles as:
23 pages, 2618 KB  
Article
Preliminary Neutronic Design and Thermal-Hydraulic Feasibility Analysis for a Liquid-Solid Space Reactor Using Cross-Shaped Spiral Fuel
by Zhichao Qiu, Kun Zhuang, Xiaoyu Wang, Yong Gao, Yun Cao, Daping Liu, Jingen Chen and Sipeng Wang
Energies 2026, 19(7), 1811; https://doi.org/10.3390/en19071811 (registering DOI) - 7 Apr 2026
Abstract
As the key technology of space exploration, space power has been a major area of international research focus. A lot of research work has been carried out around the world for the space nuclear reactor using the heat pipe, liquid metal and gas [...] Read more.
As the key technology of space exploration, space power has been a major area of international research focus. A lot of research work has been carried out around the world for the space nuclear reactor using the heat pipe, liquid metal and gas cooling methods. With the development of molten salt reactor in the Generation IV reactor system, molten salt dissolving fissile material and acting as a coolant at the same time has become a new cooling scheme, which provides new ideas for the design of space nuclear reactors. In this study, a novel reactor, the liquid-solid dual-fuel space nuclear reactor (LSSNR) was preliminarily proposed, combining the molten salt fuel and cross-shaped spiral solid fuel to achieve the design goals of 30-year lifetime and an active core weight of less than 200 kg. Monte Carlo neutron transport code OpenMC based on ENDF/B-VII.1 library was employed for neutronics design in the aspect of fuel type, cladding material, reflector material and the spectral shift absorber. Then, the thickness of the control drum absorber was optimized to meet the requirement of the sufficient shutdown margin, lower solid fuel enrichment, and 30-effective-full power-years (EFPY) operation lifetime. Finally, UC solid fuel with U-235 enrichment of 80.98 wt.% and B4C thickness of 0.75 cm were adopted in LSSNR, and BeO was adopted as the reflector and the matrix material of the control drum. A spectral shift absorber Gd2O3 was used to avoid the subcritical LSSNR returning to criticality in a launch accident. The keff with the control drum in the innermost position is 0.954949, and the keff reaches 1.00592 after 30 EFPY of operation. The total mass of the active core is 158.11 kg. In addition, the thermal-hydraulic feasibility of LSSNR using cross-shaped spiral fuel was analyzed based on a 4/61 reactor core model. The structure of cross-shaped spiral fuel achieves enhanced heat transfer by generating turbulence, which leads to a uniform temperature distribution of the coolant flow field and reduces local temperature peaks. Based on the LSSNR scheme, some neutronic characteristics were analyzed. Results demonstrate that the LSSNR has strongly negative reactivity coefficients due to the thermal expansion of liquid fuel, and the fission gas-induced pressure meets safety requirements. One hundred years after the end of core life, the total radioactivity of reactor core is reduced by 99% and is 7.1305 Ci. Full article
26 pages, 4663 KB  
Article
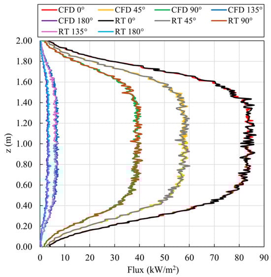
Optical-Thermal Analysis of a Thermal Receiver with Second Optics for High-Temperature Gas Heating with Solar Tower System
by Cuitlahuac Iriarte-Cornejo, Resty L. Durán, Victor M. Maytorena, Jesús F. Hinojosa and Sául F. Moreno
Thermo 2026, 6(2), 25; https://doi.org/10.3390/thermo6020025 - 7 Apr 2026
Abstract
Heating gases to high temperatures is essential for supplying energy to thermal and thermochemical processes. This study presents the optical–thermal design of a mini heliostat field coupled with a tubular solar receiver equipped with second optics, aiming to heat nitrogen to approximately 850 [...] Read more.
Heating gases to high temperatures is essential for supplying energy to thermal and thermochemical processes. This study presents the optical–thermal design of a mini heliostat field coupled with a tubular solar receiver equipped with second optics, aiming to heat nitrogen to approximately 850 K. The secondary optical system redistributed up to 40% of the incident solar flux from the front to the rear surface of the receiver, improving radial temperature uniformity and significantly reducing thermal gradients along the tube wall. An overall optical efficiency of 65.25% was achieved, accounting for atmospheric attenuation, shading, blocking, and the cosine effect. A coupled computational model was developed by solving the conservation equations of mass, momentum, and energy, with the spatially resolved solar flux distribution obtained via ray tracing used as a thermal boundary condition. The simulation results, validated with an empirical correlation, include solar flux contours, nitrogen temperature distributions, surface temperatures, and heat transfer coefficients. The configuration with a 12 mm vertex spacing between secondary reflectors demonstrated the best thermal performance, reducing the maximum tube surface temperature by 11% and improving radial symmetry, while maintaining nitrogen outlet temperatures near the design target of 850 K. These results confirm the suitability of the system for high-temperature applications such as solar pyrolysis using nitrogen as the heat transfer fluid to deliver the required thermal energy. Full article
(This article belongs to the Topic Advances in Solar Heating and Cooling, 2nd Edition)
Show Figures

Figure 1

21 pages, 3741 KB  
Article
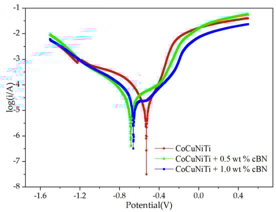
Effect of cBN Addition on Phase Composition, Microstructure, Wear Resistance, and Corrosion Resistance of CoCuNiTi + x cBN (x = 0.0, 0.5, and 1.0 wt.%) High-Entropy Alloy Coatings
by Mingxing Ma, Xiaoyan Zhang, Cun Liang, Ying Dong, Zhixin Wang, Chengjun Zhu, Liang Zhao, Yanjun Xi, Deliang Zhang and Dachuan Zhu
Coatings 2026, 16(4), 422; https://doi.org/10.3390/coatings16040422 - 2 Apr 2026
Viewed by 221
Abstract
Although 45 steel is widely used in the manufacture of mechanical parts, its application in harsh working conditions is limited owing to its low hardness, poor wear resistance, and corrosion resistance. Laser cladding can enhance the performance of the working surface without sacrificing [...] Read more.
Although 45 steel is widely used in the manufacture of mechanical parts, its application in harsh working conditions is limited owing to its low hardness, poor wear resistance, and corrosion resistance. Laser cladding can enhance the performance of the working surface without sacrificing substrate toughness. CoCuNiTi HEACs with different cBN additions were successfully prepared on a 45-steel substrate. The phase structure, microstructure, elemental composition, wear, and corrosion behavior of CoCuNiTi + x cBN (x = 0.0, 0.5, and 1.0 wt.%) HEACs were investigated using XRD, OM, SEM, EDS, friction and wear tester, and electrochemical workstation, respectively. The results show that all three coatings exhibit a dual-phase structure composed of FCC and BCC phases. The addition of cBN transforms the alloy phase structure from the original FCC main phase to the BCC main phase. The incorporation of cBN significantly reduces the lattice constant and cell volume of the alloy phase. The change in the alloy phase density is negatively correlated with the cell volume. CoCuNiTi + x cBN (x = 0.0, 0.5, and 1.0 wt.%) alloys have a dendritic structure. No pores were observed in the cBN-containing sample. The content of Ti in the primary phase is the highest. Co is enriched in the dendrite region, and Cu is enriched in the interdendrite region. The significant reduction in the average segregation coefficient for cBN-containing samples is attributed to the heterogeneous nucleation of the alloy melt at lower undercooling levels and the significant increase in the diffusion rate. The friction coefficient of the alloy decreases significantly with increasing cBN content. The sample with 1.0 wt.% cBN shows the best wear resistance, mainly due to the combined effects of hard particle support, solid solution strengthening, phase interface reduction, and high thermal conductivity of cBN. The sample with 1.0 wt.% cBN has the largest capacitive arc radius and charge-transfer resistance, along with the lowest annual corrosion rate, indicating optimal corrosion resistance. This is primarily related to the reduction in pore defects caused by cBN addition, hindrance of uniform penetration of the corrosive medium by dispersed cBN particles, and increased complexity of the anodic dissolution process. CoCuNiTi HEACs reinforced by cBN can simultaneously improve the wear and corrosion resistance of the surface of the 45-steel substrate, providing a feasible strategy for the design of high-performance protective coatings. Full article
Show Figures

Figure 1

33 pages, 3759 KB  
Article
Influence of Pavement Surface Texture Degradation on Skid Resistance and Traffic Safety Under Winter Operating Conditions
by Amir Karimbayev, Abdi Kiyalbayev, Dauren Yessentay, Saniya Kiyalbay and Nazym Shogelova
Eng 2026, 7(4), 162; https://doi.org/10.3390/eng7040162 - 1 Apr 2026
Viewed by 231
Abstract
This study quantifies a critical winter safety hazard caused by lateral heterogeneity of skid resistance: under non-uniform snow and ice removal, the friction coefficient in edge lanes and near barrier guardrails can be 2–5 times lower than in the central part of the [...] Read more.
This study quantifies a critical winter safety hazard caused by lateral heterogeneity of skid resistance: under non-uniform snow and ice removal, the friction coefficient in edge lanes and near barrier guardrails can be 2–5 times lower than in the central part of the carriageway, creating conditions prone to loss of control during braking and lane changes. Field measurements of friction coefficient and macrotexture were conducted on highways of different technical categories with asphalt concrete and cement concrete pavements in Kazakhstan’s continental climate. Long-term monitoring showed that, over three years of operation, texture peak height decreases by 22–33%, depending on traffic intensity and heavy-vehicle share, leading to a gradual reduction in friction. Predictive assessments of skid-resistance deterioration and braking distance calculations for passenger cars and heavy vehicles under different friction levels were performed. The results support the need for regular texture monitoring, explicit consideration of across-width friction heterogeneity in accident analysis, and targeted improvements in winter maintenance practices, particularly in edge zones adjacent to barriers. Full article
Show Figures

Figure 1

16 pages, 5671 KB  
Article
Optimization of Water Content in a High-Shear Wet Granulation Using an In-Line Rheometer
by Vadim Stepaniuk and Valery A. Sheverev
Powders 2026, 5(2), 12; https://doi.org/10.3390/powders5020012 - 1 Apr 2026
Viewed by 162
Abstract
An in-line process analytical technology that measures drag force exerted by wet mass in a high-shear granulator on a thin cylindrical probe enabled real-time identification of distinct stages in high-shear wet granulation of acetaminophen. The technology known as Lenterra in-line rheometer outputs two [...] Read more.
An in-line process analytical technology that measures drag force exerted by wet mass in a high-shear granulator on a thin cylindrical probe enabled real-time identification of distinct stages in high-shear wet granulation of acetaminophen. The technology known as Lenterra in-line rheometer outputs two parameters, the mean force pulse magnitude (MFPM) and the coefficient of variation of force pulse magnitude (CVFPM), that characterize granule densification and size uniformity in real time, providing a process fingerprint. The MFPM and CVFPM evolutions measured during granulation of acetaminophen formulations for varied amounts of added water were compared with the results of particle size distribution (PSD) analysis of the powder released after granulation and with the tablet dissolution tests. The comparison demonstrated a correlation between salient features of the MFPM and CVFPM evolutions and particle size distributions for different water amounts. Based on the measured process fingerprints, it was possible to identify the water amount optimal for best granulation output. In addition, MFPM and CVFPM evolutions allowed for the prediction of a granulation endpoint. The results indicate that in-line rheometry can be a useful tool for formulation development and scale-up of high-shear wet granulation processes. Full article
Show Figures

Figure 1

15 pages, 1089 KB  
Article
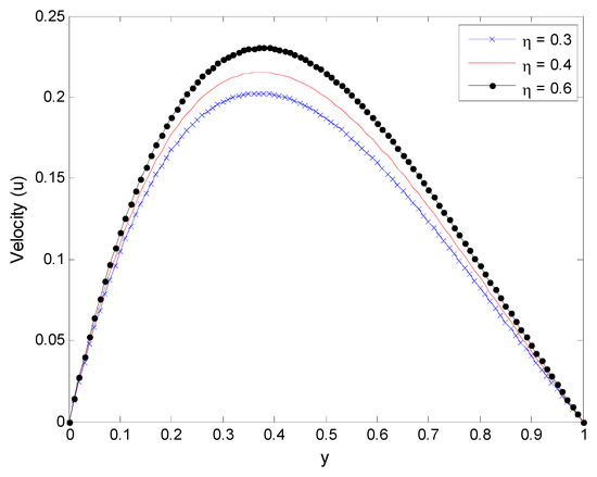
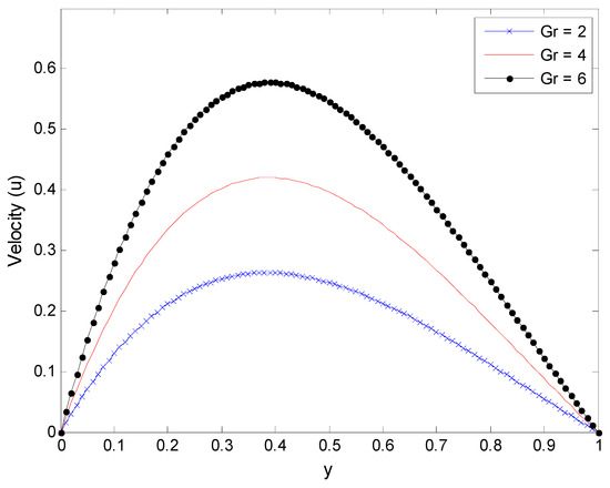
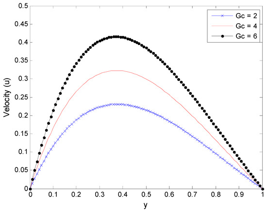
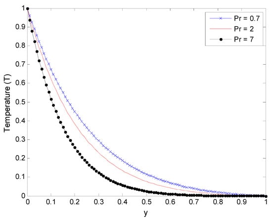
Application of Lie Group Transformation to Laminar Magnetohydrodynamic Flow Between Two Infinite Parallel Plates Under Uniform Magnetic Field
by Anood M. Hanafy, Mina B. Abd-el-Malek and Nagwa A. Badran
Axioms 2026, 15(4), 254; https://doi.org/10.3390/axioms15040254 - 31 Mar 2026
Viewed by 189
Abstract
This study aims to advance the understanding of laminar magnetohydrodynamic (MHD) fluid flow between two parallel plates subjected to a uniform transverse magnetic field, motivated by its significant applications in engineering and industrial systems such as nuclear reactor cooling, MHD generators, and electromagnetic [...] Read more.
This study aims to advance the understanding of laminar magnetohydrodynamic (MHD) fluid flow between two parallel plates subjected to a uniform transverse magnetic field, motivated by its significant applications in engineering and industrial systems such as nuclear reactor cooling, MHD generators, and electromagnetic pumping devices. The governing equations are simplified using a one-parameter Lie group symmetry transformation, which exploits the inherent symmetry properties of the system to reduce the original unsteady partial differential equations to a system of ordinary differential equations. The reduced equations are solved exactly under appropriate boundary and initial conditions, ensuring mathematically consistent and physically realistic solutions. A comprehensive analysis is conducted to examine the influence of key physical parameters, along with the applied magnetic field, on the velocity, temperature, and concentration profiles. The selected parameter ranges encompass a broad spectrum of physically relevant cases, enabling a detailed assessment of their effects. The results indicate that the transverse magnetic field exerts a damping effect on the flow, reducing the velocity profile due to the Lorentz force. Moreover, an increase in the Schmidt number accelerates the achievement of a steady-state concentration, while higher Prandtl numbers reduce the temperature profile. In contrast, the radiation parameter enhances the temperature distribution. In addition, the skin-friction coefficient is presented graphically, and the Nusselt number is evaluated to characterize the heat transfer performance. Overall, the findings provide valuable insight into the effects of magnetic, thermal, and solutal parameters on laminar MHD flow between parallel plates. Full article
(This article belongs to the Section Mathematical Analysis)
Show Figures

Figure 1

19 pages, 5906 KB  
Article
Continuum-Spectral Modeling of Surface Roughness in Electron-Beam-Deposited GO/Ag Nanocomposite Thin Films
by Seyedeh Soheila Mousavi, Milad Mousavi, Davood Raoufi and Ágota Drégelyi-Kiss
Nanomaterials 2026, 16(7), 419; https://doi.org/10.3390/nano16070419 - 30 Mar 2026
Viewed by 177
Abstract
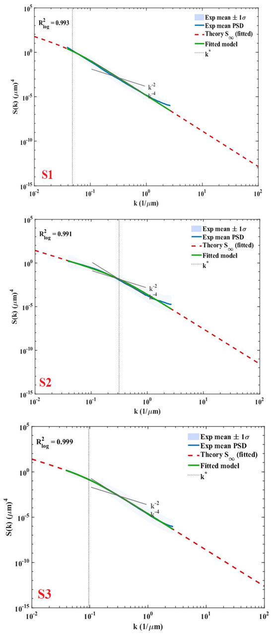
This study investigates the structural, chemical, and morphological characteristics of electron-beam–deposited GO/Ag nanocomposite thin films and establishes a compact continuum–spectral framework for quantifying their post-deposition roughness. Since atomic force microscope (AFM) measurements provide only the final, frozen morphology and no direct temporal information, [...] Read more.
This study investigates the structural, chemical, and morphological characteristics of electron-beam–deposited GO/Ag nanocomposite thin films and establishes a compact continuum–spectral framework for quantifying their post-deposition roughness. Since atomic force microscope (AFM) measurements provide only the final, frozen morphology and no direct temporal information, distinguishing between transient and stationary spectra is not experimentally feasible within the limited AFM wavenumber band. In practice, the accessible power spectral densities (PSDs) show no resolvable deviation from the stationary form, and transient contributions cannot be uniquely identified. The stationary PSD is fitted directly to azimuthally averaged AFM spectra, allowing the smoothing coefficients, noise intensity, correlation length, and crossover scale to be extracted in a fully data-driven manner. The fitted model accurately reproduces the characteristic dual (k−2)/(k−4) spectral scaling and predicts the scan-size dependence of root-mean-square roughness, typically achieving logarithmic determination coefficients above 0.98. The close agreement among parameters obtained from spatially separated sampling points confirms the lateral uniformity of the deposited films and highlights the robustness of the continuum–spectral approach for data-guided roughness control in electron-beam-grown nanocomposite coatings. Full article
(This article belongs to the Section 2D and Carbon Nanomaterials)
Show Figures

Figure 1

22 pages, 2601 KB  
Article
Study on Maximum Vertical Prestressing Spacing for Long-Span PC Continuous Rigid-Frame Bridges
by Fei Xia, Shenxin Zhang and Yasir Ibrahim Shah
Buildings 2026, 16(7), 1363; https://doi.org/10.3390/buildings16071363 - 30 Mar 2026
Viewed by 243
Abstract
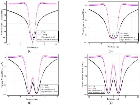
Vertical prestressing is critical for shear resistance in long-span PC continuous rigid-frame bridges, yet existing design methods rely on the inaccurate superposition of single-tendon stress fields, neglecting mechanical interaction between adjacent tendons. This study derives the first closed-form elastic analytical solution for the [...] Read more.
Vertical prestressing is critical for shear resistance in long-span PC continuous rigid-frame bridges, yet existing design methods rely on the inaccurate superposition of single-tendon stress fields, neglecting mechanical interaction between adjacent tendons. This study derives the first closed-form elastic analytical solution for the vertical normal stress field under two interacting prestressing tendons, explicitly capturing the coupling term. Validated against high-fidelity Finite Element Analysis (FEA), the solution achieves a Mean Absolute Percentage Error (MAPE) below 6.8%, outperforming conventional superposition methods by 6.8–17.7 percentage points. The analysis reveals a transition from diffusion-dominated to superposition-dominated stress regimes and establishes a predictive linear relationship between tendon spacing and the depth of the prestressing blind zone. The section at one-fourth of the web height below the top edge is identified as the critical control section, leading to a proposed maximum spacing limit of 0.34 times the web height to ensure a stress uniformity coefficient greater than 0.95. This criterion represents a 13.3% increase over empirical rules and a 27.5% increase over the JTG 3362-2018 limit, enabling estimated savings of 52,000 CNY per typical four-span bridge while maintaining structural safety. This represents a 13.3% increase over empirical rules and a 27.5% increase over the limit in JTG 3362-2018, enabling estimated savings of 52,000 CNY per typical four-span bridge while maintaining structural safety. Full article
Show Figures

Figure 1

19 pages, 10214 KB  
Article
Evolution of Turbulent-Structure Scale Distribution in Decelerating Open-Channel Flow
by Qian Mei, Peng Zhang, Yongqiang Wang, Shangwu Liu and Jiang Hu
Water 2026, 18(7), 815; https://doi.org/10.3390/w18070815 - 29 Mar 2026
Viewed by 253
Abstract
To investigate the evolution of turbulent-structure scales in decelerating open-channel flow, this study uses a high-frequency particle image velocimetry system in combination with a 28 m high-precision variable-slope flume to conduct controlled flume experiments. The analysis includes cross-sectional specific energy, velocity profiles, turbulence [...] Read more.
To investigate the evolution of turbulent-structure scales in decelerating open-channel flow, this study uses a high-frequency particle image velocimetry system in combination with a 28 m high-precision variable-slope flume to conduct controlled flume experiments. The analysis includes cross-sectional specific energy, velocity profiles, turbulence intensity, Reynolds stress, cross-correlation, and power spectral density. The study examines the turbulent statistical characteristics of decelerating flow and the evolution of turbulent-structure scale distributions during streamwise development. The results show that the velocity profile within the decelerating-flow region generally follows a logarithmic distribution, whereas the outer-region velocity profile gradually deviates from the logarithmic law as water depth increases. Compared with uniform open-channel flow, decelerating flow exhibits significantly higher turbulence intensities and Reynolds-stress levels. During flow development, turbulent structures maintain stronger spatial coherence, with spatial correlation increasing as water depth increases. As the nonuniformity coefficient γ increases, the turbulent-structure scale distribution shifts from bimodal to unimodal. Across the measured sections, the dominant turbulent-structure scales range approximately from λ/H = 2.5 to 20, over the ranges Reτ = 596–849 and γ = 1.2–2.8. During downstream development, turbulent kinetic energy increases progressively and is redistributed from large and small scales toward intermediate scales. These results provide new insight into turbulence-scale redistribution in decelerating open-channel flow. Full article
(This article belongs to the Special Issue Advances in Open-Channel Flow Hydrodynamics)
Show Figures

Figure 1

19 pages, 2589 KB  
Article
Stochastic Sirs Modeling of Greenhouse Strawberry Infections and Integration with Computer Vision-Based Mobile Spraying Robot
by Raikhan Amanova, Madina Soltangeldinova, Madina Suleimenova, Nurgul Karymsakova, Samal Abdreshova and Zhansaya Duisenbekkyzy
Appl. Sci. 2026, 16(7), 3232; https://doi.org/10.3390/app16073232 - 27 Mar 2026
Viewed by 210
Abstract
Viral and fungal diseases of greenhouse strawberries lead to significant crop losses, while traditional uniform spraying schemes do not account for the actual distribution of infection foci or changes in the microclimate. This paper proposes an integrated system for greenhouse farms that combines [...] Read more.
Viral and fungal diseases of greenhouse strawberries lead to significant crop losses, while traditional uniform spraying schemes do not account for the actual distribution of infection foci or changes in the microclimate. This paper proposes an integrated system for greenhouse farms that combines a stochastic SIRS model of the epidemic process with a microclimate-dependent infection coefficient βeff(t), a computer vision module based on a lightweight YOLOv10n detector, and a mobile sprayer robot. For three sets of parameters corresponding to moderate infection, outbreak, and suppression scenarios, ensemble simulations are performed (100 realizations per scenario). The results show that the maximum number of infected plants reaches approximately 690 out of 1000 in the outbreak scenario and only about 28 out of 1000 in the suppression scenario, reflecting the effect of timely microclimate correction and local spraying. The YOLOv10n detector is used as a sensor to determine the proportion of affected plants I(0)/N and provides automatic formation of the initial conditions of the population model. The resulting forecasts then serve as the basis for selecting one of three operating modes for the spraying robot (observation, microclimate correction, local treatment). Unlike existing works that consider disease detection, epidemiological models, or robotic spraying separately, this paper proposes a unified closed-loop scheme of “computer vision—stochastic model—mobile robot,” linking detection quality with epidemic process forecasting and treatment strategy. In this study, the feasibility of the proposed system was examined through numerical simulations, detector-level performance evaluation, and offline image-based integrated validation of the detector-to-decision workflow. Full closed-loop experiments in a real greenhouse environment are planned for future work. Full article
Show Figures

Figure 1

19 pages, 6333 KB  
Article
A Study on Rational Pre-Tensioning Schemes for 60 m Prefabricated Railway Box Girders Considering Steel Formwork Constraints
by Tao Zhang, Weitao Ye, Wei Yang, Zuqing Zhao, Lei Wang, Fei Wang and Yuliang Cai
Buildings 2026, 16(7), 1320; https://doi.org/10.3390/buildings16071320 - 26 Mar 2026
Viewed by 159
Abstract
Early-age cracking is a common issue in the prefabrication of large-scale box girders, and the application of pre-tensioning techniques to introduce pre-compressive stress is an effective measure to mitigate such cracking. To determine an optimal pre-tensioning scheme for the 60 m large-scale box [...] Read more.
Early-age cracking is a common issue in the prefabrication of large-scale box girders, and the application of pre-tensioning techniques to introduce pre-compressive stress is an effective measure to mitigate such cracking. To determine an optimal pre-tensioning scheme for the 60 m large-scale box girder used in the Ningbo–Xiangshan intercity railway, friction coefficient tests and field stress monitoring were conducted. A numerical model simulating the pre-tensioning process of the box girder, accounting for the constraint of the steel formwork, was developed using Abaqus 2021. Based on the validated finite element model, a parametric study was performed to investigate the effects of friction coefficient, internal formwork roof, and prestressing tendon arrangement on the pre-compressive stress. The results indicate that the bond force between cast-in-place concrete and steel formwork is approximately 2.1 times the sliding friction force. As the friction coefficient increases, the pre-compressive stress in the box girder exhibits a notable decreasing trend. For the critical midspan section S40, the inclusion of frictional effects results in a more uniform distribution of pre-compressive stress. Compared to the case without the internal formwork roof, its inclusion leads to a 9.2% to 10.4% reduction in pre-compressive stress at section S40. To mitigate prestress losses transmitted from the ends to the midspan section, it is recommended that the internal formwork be completely removed prior to prestressing tensioning. The pre-compressive stress in the box girder varies considerably with different prestressing combinations. The comparative analysis of different prestressing combinations reveals substantial variations in pre-compressive stress distribution. After evaluating multiple schemes, the optimal pre-tensioning sequence for the 60-m railway box girder is determined as follows: sequentially tensioning tendon groups F1-2, F1-4, F1-5, F1-6, and B2-3, with an anchorage stress controlled at 558 MPa. This scheme ensures that all critical sections of the box girder remain in a pre-compressive state. In particular, the pre-compressive stress at the key midspan section S40 ranges from 1.12 to 1.26 MPa, achieving the desired effect and effectively suppressing early-age cracking in the large-scale box girder concrete. Full article
(This article belongs to the Section Building Structures)
Show Figures

Figure 1

24 pages, 3043 KB  
Article
Friction-Induced Thermal Effects in an FGM Layer in Contact with a Homogeneous Layer
by Katarzyna Topczewska
Materials 2026, 19(7), 1299; https://doi.org/10.3390/ma19071299 - 25 Mar 2026
Viewed by 170
Abstract
An analytical model of frictional heat transfer during the uniform sliding of two layers is proposed. One layer is composed of a functionally graded material (FGM) with a thermal conductivity coefficient that varies exponentially across its thickness, while the second layer is homogeneous, [...] Read more.
An analytical model of frictional heat transfer during the uniform sliding of two layers is proposed. One layer is composed of a functionally graded material (FGM) with a thermal conductivity coefficient that varies exponentially across its thickness, while the second layer is homogeneous, with constant thermophysical properties. The thermal problem of friction is formulated as an initial boundary value problem of heat conduction, accounting for the thermal contact conductance and convective heat exchange with the environment. An exact solution for constant friction power was obtained using the Laplace integral transform, supplemented by an asymptotic form for the initial stage of heating. Based on these analytical solutions, a comprehensive study was carried out for a frictional system comprising a ceramic–metal FGM composite in contact with a homogeneous friction material. A dimensional analysis allowed for both a qualitative and quantitative investigation into the influence of contact conductance, convective heat exchange, layer thickness and the FGM gradient parameter on the temperature evolution and distribution, as well as the time to reach the steady state. It was demonstrated that the implementation of an appropriately graded material can substantially improve thermal operating conditions by enhancing heat dissipation into the material bulk and intensifying convective cooling. Full article
Show Figures

Figure 1

25 pages, 4663 KB  
Article
Research and Design of a Concave Solenoid Wireless Power Transmission System with High Misalignment Tolerance
by Yi Yang, Zhihao Lin, Haixiao Li, Ke Guo and Jianhao Jiang
World Electr. Veh. J. 2026, 17(4), 165; https://doi.org/10.3390/wevj17040165 - 24 Mar 2026
Viewed by 149
Abstract
To address the issue of significantly reduced coupling coefficient and limited transmission efficiency in traditional flat solenoid magnetic couplers within wireless power transfer (WPT) systems under horizontal lateral offset conditions, this paper proposes a design method for a concave flat solenoid coil magnetic [...] Read more.
To address the issue of significantly reduced coupling coefficient and limited transmission efficiency in traditional flat solenoid magnetic couplers within wireless power transfer (WPT) systems under horizontal lateral offset conditions, this paper proposes a design method for a concave flat solenoid coil magnetic coupler for engineering applications, aiming to achieve high misalignment tolerance. An equivalent model of the LCC/S compensation circuit is established, its output characteristics are analyzed, and the parameter configuration method for its resonant elements is derived. Secondly, from the perspective of winding arrangement, the mechanism by which the coil winding method, turn spacing, and port concavity angle affect the uniformity of magnetic field distribution and the retention rate of the coupling coefficient is analyzed in detail, and corresponding parameter trade-off and optimization methods are proposed. Subsequently, a simulation model of multiple configuration magnetic couplers is established based on Ansys/Maxwell, comparing the magnetic field distribution and coupling coefficient variation of different structures under horizontal offset conditions. The results show that the concave structure with a non-uniform arrangement and a port concavity angle of 30° can still maintain a high coupling coefficient and stable transmission performance under a maximum horizontal offset equal to 60% of the corresponding transmitter-side characteristic dimension. To achieve lightweight and integrated design, the receiver is designed with a flexible printed circuit board (FPC) coil structure, meeting the miniaturization and high power density requirements of low-to-medium power portable devices. Finally, a 100 W experimental prototype was built. Experimental results show that within an offset range of ±15 mm on the X-axis and ±30 mm on the Y-axis at the receiver, the system output voltage fluctuation is controlled within 4%, and the maximum transmission efficiency reaches 87.3%. These results verify the feasibility and practical applicability of the proposed magnetic coupler with high misalignment tolerance. Full article
(This article belongs to the Section Automated and Connected Vehicles)
Show Figures

Figure 1

19 pages, 6258 KB  
Article
Clogging Evolution and Structural Optimization of Drip Emitters Under Sediment-Laden Water
by Guowei Wang, Mengyang Wang, Yayang Feng, Mo Zhu, Shengliang Fan, Rui Li, Mengyun Xue and Qibiao Han
Agronomy 2026, 16(7), 682; https://doi.org/10.3390/agronomy16070682 - 24 Mar 2026
Viewed by 291
Abstract
Long-term operation of drip emitters under sediment-laden water conditions readily induces particle deposition and clogging, leading to discharge reduction and deterioration of irrigation uniformity. To clarify the temporal evolution and spatial distribution of clogging and to support structure-oriented anti-clogging improvement, three integrated drip [...] Read more.
Long-term operation of drip emitters under sediment-laden water conditions readily induces particle deposition and clogging, leading to discharge reduction and deterioration of irrigation uniformity. To clarify the temporal evolution and spatial distribution of clogging and to support structure-oriented anti-clogging improvement, three integrated drip tape emitters with different labyrinth-channel geometries were tested at sediment concentrations of 1, 2, and 3 g·L−1 under a constant pressure of 100 kPa. The average relative discharge ratio (Dra) and Christiansen’s uniformity coefficient (CU) were continuously monitored, and cross-sectional observation and numerical simulation were combined to identify dominant deposition hotspot regions within the labyrinth channel. The results showed that increasing sediment concentration significantly accelerated clogging development and shortened operating lifetime. At 1 g·L−1, the times required for the three emitter types to reach the clogging criterion of Dra < 75% were 120, 81, and 107 h, respectively, whereas at 3 g·L−1 these values decreased to 39, 42, and 39 h. CU continuously declined with operating time and, in some treatments, responded earlier than Dra to system deterioration. Sediment deposition was mainly concentrated in the inlet section and bend regions, indicating that these locations were the dominant hotspots for clogging initiation and propagation. These findings demonstrate that clogging in drip emitters is jointly regulated by sediment load and labyrinth-channel geometry, and that hotspot-based structural optimization provides an effective basis for improving anti-clogging performance under sediment-laden water conditions. Full article
Show Figures

Figure 1

19 pages, 3318 KB  
Article
Investigation of Wear Behavior and LSTM-Based Friction Prediction in Cr/Nanodiamond-Coated Al10Cu Alloys
by Mihail Kolev, Vladimir Petkov, Rumyana Lazarova, Veselin Petkov, Krasimir Kolev and Shaban Uzun
Alloys 2026, 5(1), 8; https://doi.org/10.3390/alloys5010008 - 23 Mar 2026
Viewed by 640
Abstract
Cr-based composite coatings with superior wear resistance are in growing demand for high-performance applications in the automotive, aerospace, and general manufacturing sectors. In this study, an Al10Cu alloy produced via powder metallurgy was coated with a chromium/nanodiamond (Cr/ND) composite layer using an electrodeposition [...] Read more.
Cr-based composite coatings with superior wear resistance are in growing demand for high-performance applications in the automotive, aerospace, and general manufacturing sectors. In this study, an Al10Cu alloy produced via powder metallurgy was coated with a chromium/nanodiamond (Cr/ND) composite layer using an electrodeposition process to enhance its tribological performance. The coatings were characterized using scanning electron microscopy, energy-dispersive X-ray spectroscopy, and X-ray diffraction. The resulting Cr/ND layer exhibited a uniform thickness of 73.5–76.2 μm and markedly improved surface hardness (809.4 HV), representing a 15-fold increase over the uncoated alloy (53.6 HV). Pin-on-disk tribological testing under dry sliding conditions showed complete elimination of detectable mass loss (0.00 mg vs. 0.55 mg for uncoated) within the measurement system resolution, indicating excellent resistance to both abrasive and adhesive wear. XRD analysis revealed the formation of a hexagonal close-packed Cr2H phase with incorporated nanodiamond particles. To capture and predict the temporal evolution of the friction coefficient, a customized dual-layer long short-term memory neural network—optimized with a look-back window of 3 timesteps and ReLU-activated dense layers—was implemented. The model achieved superior predictive performance on the coated system, with validation and test R2 values of 0.9973 and 0.9965, respectively, demonstrating enhanced modeling accuracy for surface-engineered materials. These findings demonstrate a significant advancement in wear protection for aluminum alloys and introduce a robust data-driven approach for real-time friction prediction in engineered surfaces. Full article
Show Figures

Figure 1

Back to TopTop