Evolution of Turbulent-Structure Scale Distribution in Decelerating Open-Channel Flow
Highlights
- Inner-layer velocity follows the log law; outer-layer velocity departs as depth increases.
- As γ increases from 1.2 to 2.8, turbulent-structure scales shift from bimodal to unimodal.
- Downstream sections retain longer coherence; normalized peak correlations are self-similar.
- Turbulent kinetic energy shifts from large and small scales toward intermediate scales downstream.
- The results provide scaling-based evidence for turbulence redistribution in decel-erating nonuniform open-channel flow.
- The identified coherence and scale-redistribution features can inform modeling of backwater, reservoir, and transport processes.
Abstract
1. Introduction
2. Experimental Program and Measurement Setup
2.1. Experimental Flume
2.2. Experimental Flow Conditions
2.3. PIV Flow-Field Measurement System
2.4. Power Spectral Analysis Method
3. Results
3.1. Cross-Sectional Distribution of Specific Energy
3.2. Turbulence Statistics
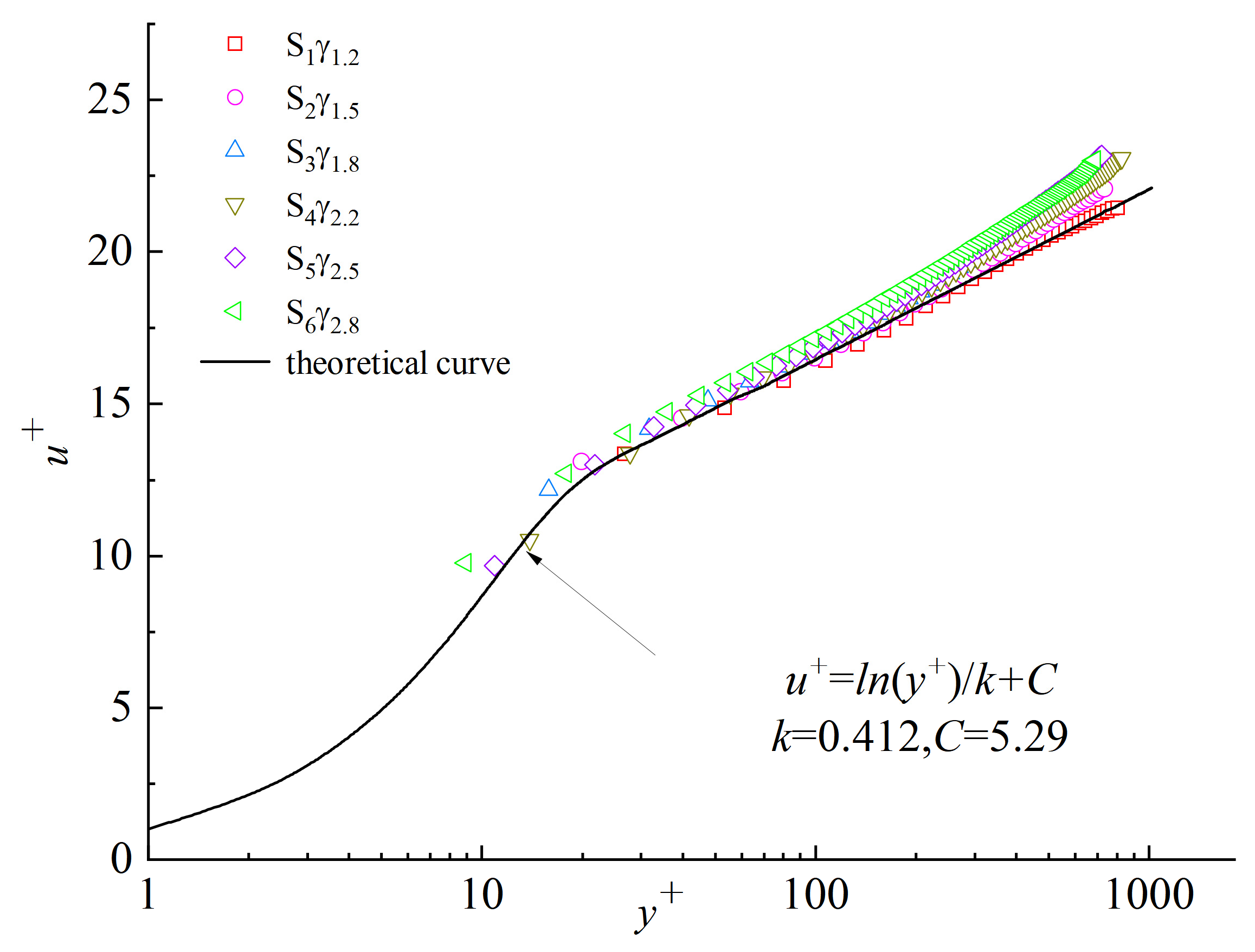
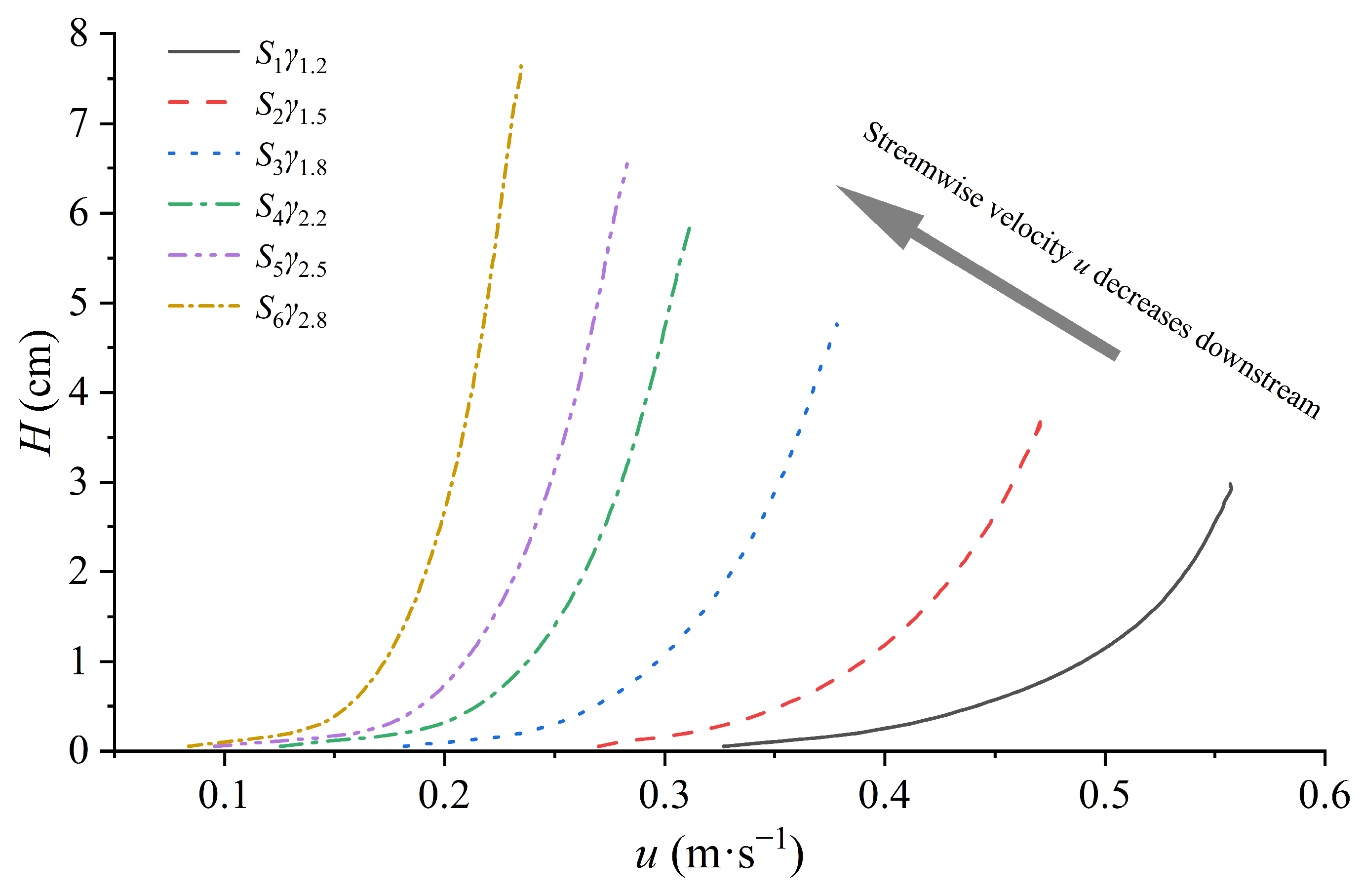
3.2.1. Time-Averaged Velocity Profiles Streamwise Variation of Time-Averaged Velocity Profiles
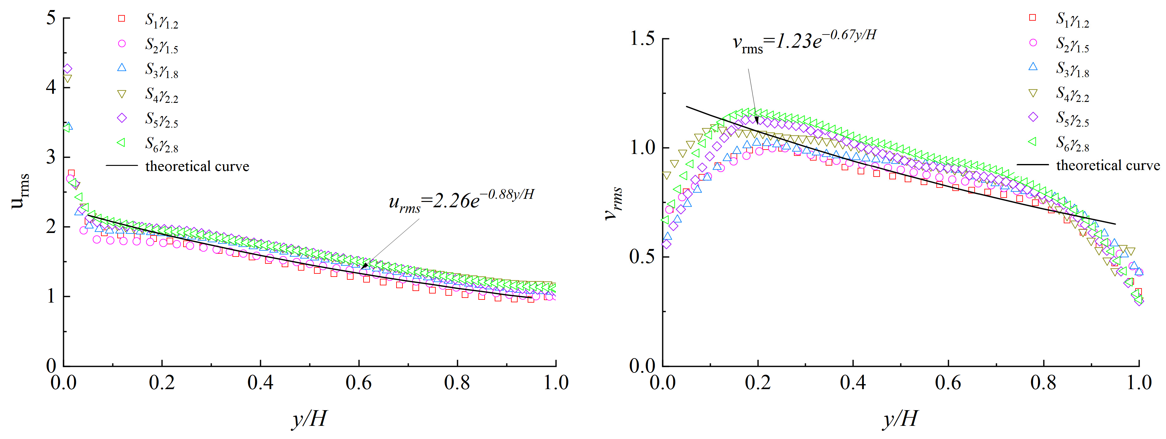
3.2.2. Distribution of Turbulence Intensity
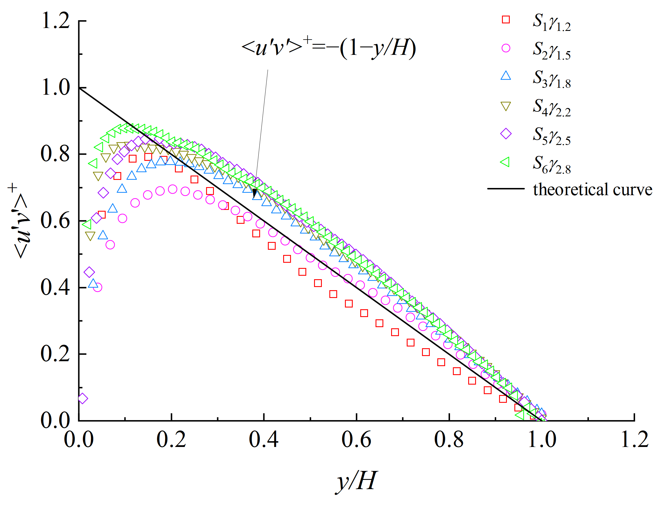
3.2.3. Reynolds-Stress Distribution
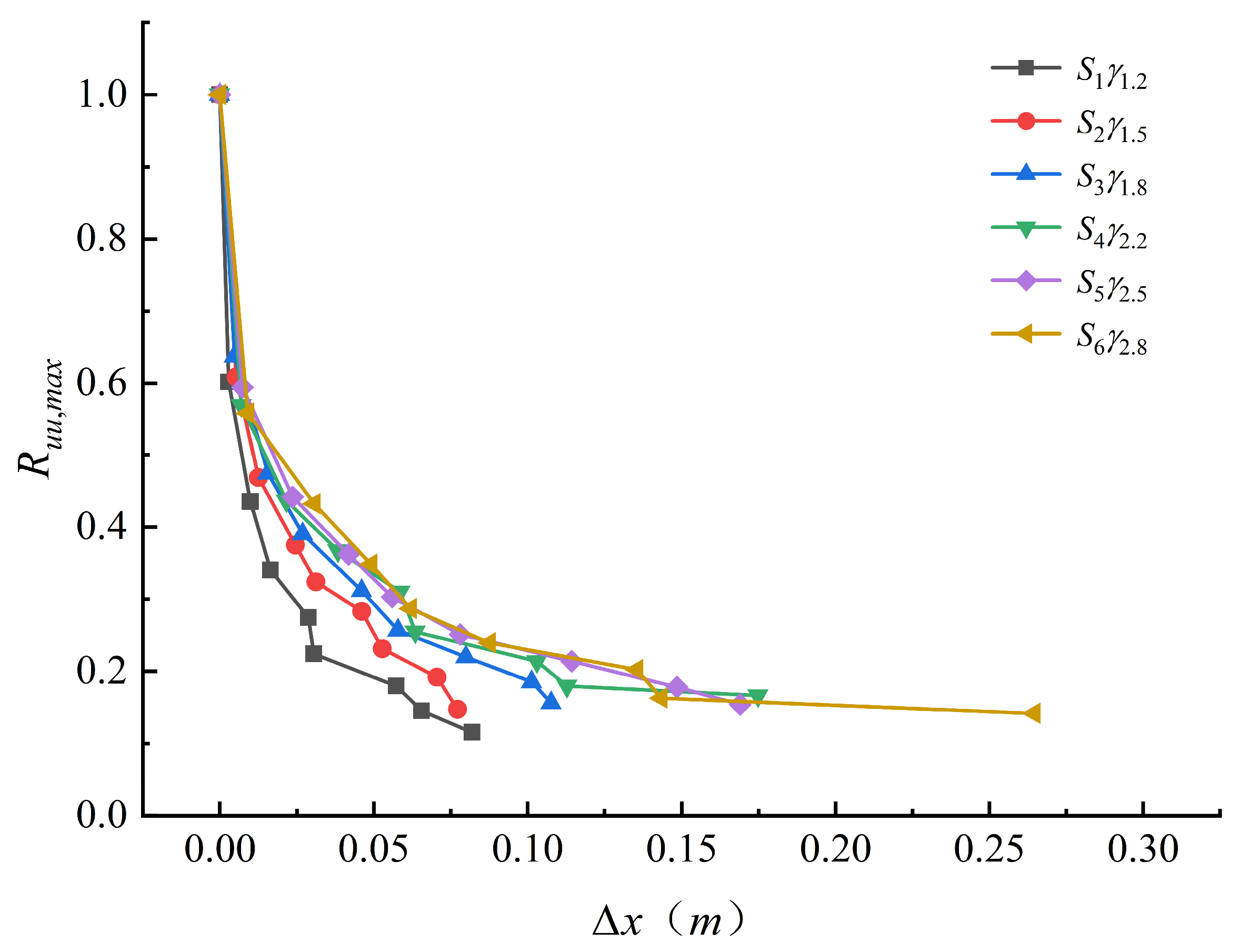
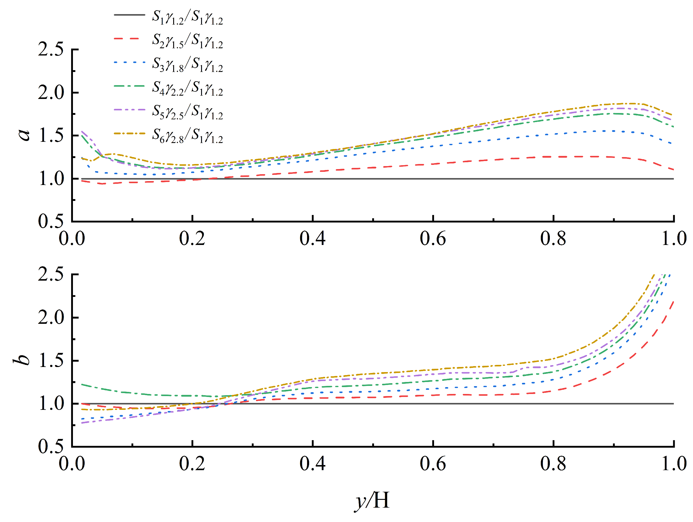
3.3. Cross-Correlation Analysis
3.4. Power Spectral Density Analysis
4. Discussion
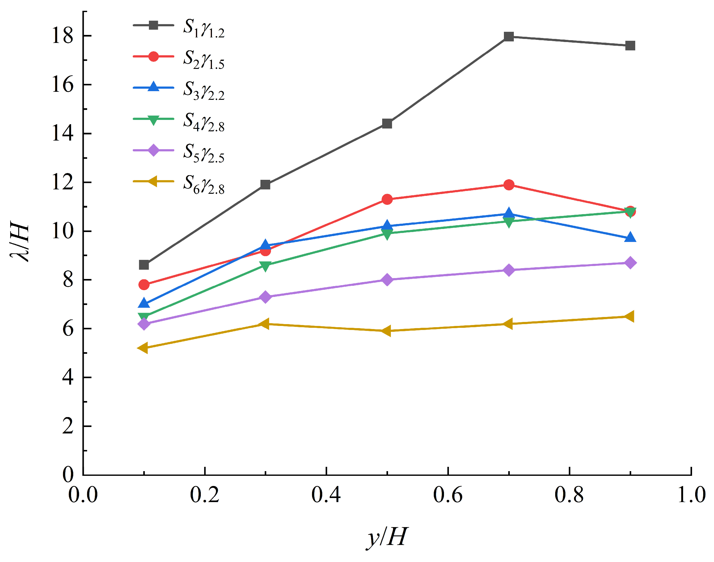
4.1. Evolution of Turbulent-Structure Scales in Decelerating Flow
4.2. Energy-Transfer Processes of Turbulent Structures in Decelerating Flow
5. Conclusions
Author Contributions
Funding
Data Availability Statement
Acknowledgments
Conflicts of Interest
References
- Bai, X.; Zhang, W.; Fang, Q.; Wang, Y.; Zheng, J.; Guo, A. The visualization of turbulent coherent structure in open channel flow. J. Hydrodyn. 2019, 31, 266–273. [Google Scholar] [CrossRef]
- Zhong, Q.; Li, D.; Chen, Q.; Wang, X. Coherent structures and their interactions in smooth open channel flows. Environ. Fluid Mech. 2015, 15, 653–672. [Google Scholar] [CrossRef]
- Nezu, I.; Nakagawa, H. Turbulence in Open-Channel Flows; Taylor & Francis: London, UK, 1993. [Google Scholar] [CrossRef]
- Zampiron, A.; Cerino, B.; Berni, C.; Proust, S.; Nikora, V.I. Very-large-scale motions in open-channel flow: Insights from velocity spectra, correlations, and structure functions. Phys. Fluids 2024, 36, 041707. [Google Scholar] [CrossRef]
- Richardson, L.F. Weather Prediction by Numerical Process; Cambridge University Press: Cambridge, UK, 1922. [Google Scholar]
- Xia, W.; Chen, H.; Wang, J.; Wu, H.; Shen, Q.; Chen, Y.; Yang, P.; Song, J.; Xiang, C. Fractal characteristics of turbulent flows in open channel. J. Hydroelectr. Eng. 2018, 37, 39–47. (In Chinese) [Google Scholar] [CrossRef]
- Liu, X.; Chong, T.H.; Law, A.W.K. Turbulence and coherent structures in fully developed open-channel flows beneath periodic surface submergence. Phys. Fluids 2025, 37, 115155. [Google Scholar] [CrossRef]
- Duan, Y.; Chen, Q.; Li, D.; Zhong, Q. Contributions of very large-scale motions to turbulence statistics in open channel flows. J. Fluid Mech. 2020, 892, A3. [Google Scholar] [CrossRef]
- Balakumar, B.J.; Adrian, R.J. Large- and very-large-scale motions in channel and boundary-layer flows. Philos. Trans. A Math. Phys. Eng. Sci. 2007, 365, 665–681. [Google Scholar] [CrossRef] [PubMed]
- Lee, J.; Ahn, J.; Sung, H.J. Comparison of large- and very-large-scale motions in turbulent pipe and channel flows. Phys. Fluids 2015, 27, 025101. [Google Scholar] [CrossRef]
- Good, G.H.; Warhaft, Z. On the probability distribution function of the velocity field and its derivative in multi-scale turbulence. Phys. Fluids 2011, 23, 095106. [Google Scholar] [CrossRef]
- Wang, Y.; Zhang, P.; Yang, S.; Hu, J.; Zeng, L. Study on the morphological characteristics of large-scale structures in open-channel flows based on tomographic particle image velocimetry. Phys. Fluids 2025, 37, 095128. [Google Scholar] [CrossRef]
- Shen, Y.; Yang, S.; Liu, J. Characteristics of very large-scale motions in rough-bed open-channel flows. Water 2023, 15, 1433. [Google Scholar] [CrossRef]
- Cerino, B.; Zampiron, A.; Proust, S.; Berni, C.; Nikora, V. Large and very large scale motions in open-channel flows over rough bed in the presence and absence of a mixing layer. Environ. Fluid Mech. 2024, 24, 1421–1442. [Google Scholar] [CrossRef]
- Stewart, R.L.; Fox, J.F. Role of macroturbulence to sustain turbulent energy in decelerating flows over a gravel bed. Geomorphology 2015, 248, 147–160. [Google Scholar] [CrossRef]
- Scarano, F. Iterative image deformation methods in PIV. Meas. Sci. Technol. 2002, 13, R1–R19. [Google Scholar] [CrossRef]
- Westerweel, J.; Scarano, F. Universal outlier detection for PIV data. Exp. Fluids 2005, 39, 1096–1100. [Google Scholar] [CrossRef]
- Zhang, P.; Duan, Y.; Li, D.; Hu, J.; Li, W.; Yang, S. Turbulence statistics and very-large-scale motions in decelerating open-channel flow. Phys. Fluids 2019, 31, 125106. [Google Scholar] [CrossRef]
- Baars, W.J.; Talluru, K.M.; Hutchins, N.; Marusic, I. Wavelet analysis of wall turbulence to study large-scale modulation of small scales. Exp. Fluids 2015, 56, 188. [Google Scholar] [CrossRef]
- Nezu, I.; Rodi, W. Open-channel flow measurements with a laser Doppler anemometer. J. Hydraul. Eng. 1986, 112, 335–355. [Google Scholar] [CrossRef]
- Dharmarathne, S.; Tutkun, M.; Araya, G.; Castillo, L. Structures of scalar transport in a turbulent channel. Eur. J. Mech. B Fluids 2016, 55, 259–271. [Google Scholar] [CrossRef]
- Sillero, J.A.; Jiménez, J.; Moser, R.D. Two-point statistics for turbulent boundary layers and channels at Reynolds numbers up to δ+ ≈ 2000. Phys. Fluids 2014, 26, 105109. [Google Scholar] [CrossRef]
- Tutkun, M.; George, W.K.; Delville, J.; Stanislas, M.; Johansson, P.B.V.; Foucaut, J.M.; Coudert, S. Two-point correlations in high Reynolds number flat plate turbulent boundary layers. J. Turbul. 2009, 10, N21. [Google Scholar] [CrossRef]
- Bross, M.; Scharnowski, S.; Kähler, C.J. Large-scale coherent structures in compressible turbulent boundary layers. J. Fluid Mech. 2021, 911, A2. [Google Scholar] [CrossRef]
- Cameron, S.M.; Nikora, V.I.; Stewart, M.T. Very-large-scale motions in rough-bed open-channel flow. J. Fluid Mech. 2017, 814, 416–429. [Google Scholar] [CrossRef]
- Zhang, P.; Duan, Y.; Zhong, Q.; Li, D.; Yang, S.; Hu, J.; Li, W. Self-similarity of spanwise rotational motions population trends in decelerating open-channel flow. Theor. Appl. Mech. Lett. 2022, 12, 100344. [Google Scholar] [CrossRef]
- Williams, P.; Roussinova, V.; Balachandar, R. Turbulence structure of non-uniform rough open channel flow. E3S Web Conf. 2018, 40, 05039. [Google Scholar] [CrossRef]
- Pu, J.H.; Tait, S.; Guo, Y.; Huang, Y.; Hanmaiahgari, P.R. Dominant features in three-dimensional turbulence structure: Comparison of non-uniform accelerating and decelerating flows. Environ. Fluid Mech. 2018, 18, 395–416. [Google Scholar] [CrossRef]
- Fjørtoft, R. On the changes in the spectral distribution of kinetic energy for two-dimensional, non-divergent flow. Tellus 1953, 5, 225–230. [Google Scholar] [CrossRef]
- Kraichnan, R.H. Inertial ranges in two-dimensional turbulence. Phys. Fluids 1967, 10, 1417–1423. [Google Scholar] [CrossRef]















| Section | X (m) | J | H (cm) | γ | U (m/s) | υ (10−6 m2/s) | u* (cm/s) | Fr | Re | Reτ |
|---|---|---|---|---|---|---|---|---|---|---|
| S1γ1.2 | 3.55 | 0.0025 | 3.5 | 1.2 | 0.439 | 0.823 | 0.025 | 0.75 | 13,651 | 849 |
| S2γ1.5 | 7.55 | 0.0025 | 4.2 | 1.5 | 0.366 | 0.823 | 0.021 | 0.57 | 13,354 | 746 |
| S3γ1.8 | 11.5 | 0.0025 | 5.2 | 1.8 | 0.295 | 0.823 | 0.017 | 0.41 | 12,952 | 708 |
| S4γ2.2 | 16.4 | 0.0025 | 6.2 | 2.2 | 0.248 | 0.823 | 0.014 | 0.32 | 12,573 | 732 |
| S5γ2.5 | 18 | 0.0025 | 7.2 | 2.5 | 0.213 | 0.823 | 0.013 | 0.25 | 12,216 | 611 |
| S6γ2.8 | 22.7 | 0.0025 | 8.1 | 2.8 | 0.190 | 0.823 | 0.011 | 0.21 | 11,911 | 596 |
| Section | Δx+ | Δy+ | y* | Resolution (mm/pix) | Image Size (Pixel) | Frame Rate (Hz) | Sampling Duration, t (s) | Ut/H |
|---|---|---|---|---|---|---|---|---|
| S1γ1.2 | 16.53 | 16.53 | 0.030 | 0.062 | 128 × 1200 | 700 | 366 | 4598 |
| S2γ1.5 | 12.40 | 12.40 | 0.040 | 0.062 | 128 × 1400 | 700 | 566 | 4930 |
| S3γ1.8 | 9.73 | 9.73 | 0.051 | 0.062 | 128 × 1400 | 500 | 1408 | 7989 |
| S4γ2.2 | 8.70 | 8.70 | 0.057 | 0.062 | 128 × 1600 | 500 | 1155 | 4621 |
| S5γ2.5 | 6.44 | 6.44 | 0.077 | 0.062 | 128 × 1600 | 400 | 1636 | 4842 |
| S6γ2.8 | 5.70 | 5.70 | 0.087 | 0.062 | 128 × 1600 | 400 | 2021 | 4742 |
Disclaimer/Publisher’s Note: The statements, opinions and data contained in all publications are solely those of the individual author(s) and contributor(s) and not of MDPI and/or the editor(s). MDPI and/or the editor(s) disclaim responsibility for any injury to people or property resulting from any ideas, methods, instructions or products referred to in the content. |
© 2026 by the authors. Licensee MDPI, Basel, Switzerland. This article is an open access article distributed under the terms and conditions of the Creative Commons Attribution (CC BY) license.
Share and Cite
Mei, Q.; Zhang, P.; Wang, Y.; Liu, S.; Hu, J. Evolution of Turbulent-Structure Scale Distribution in Decelerating Open-Channel Flow. Water 2026, 18, 815. https://doi.org/10.3390/w18070815
Mei Q, Zhang P, Wang Y, Liu S, Hu J. Evolution of Turbulent-Structure Scale Distribution in Decelerating Open-Channel Flow. Water. 2026; 18(7):815. https://doi.org/10.3390/w18070815
Chicago/Turabian StyleMei, Qian, Peng Zhang, Yongqiang Wang, Shangwu Liu, and Jiang Hu. 2026. "Evolution of Turbulent-Structure Scale Distribution in Decelerating Open-Channel Flow" Water 18, no. 7: 815. https://doi.org/10.3390/w18070815
APA StyleMei, Q., Zhang, P., Wang, Y., Liu, S., & Hu, J. (2026). Evolution of Turbulent-Structure Scale Distribution in Decelerating Open-Channel Flow. Water, 18(7), 815. https://doi.org/10.3390/w18070815

