Sign in to use this feature.

Years

Between: -

Subjects

remove_circle_outline
remove_circle_outline
remove_circle_outline
remove_circle_outline
remove_circle_outline
remove_circle_outline
remove_circle_outline
remove_circle_outline
remove_circle_outline

Journals

Article Types

Countries / Regions

Search Results (49)

Search Parameters:
Keywords = co-dewatering

Order results
Result details
Results per page
Select all
Export citation of selected articles as:
17 pages, 2160 KB  
Article
Research on Carbon Emission Accounting of Municipal Wastewater Treatment Plants Based on Carbon Footprint
by Saijun Zhou, Yongyi Yu, Zhijie Zheng, Liang Zhou, Chuang Wang, Renjian Deng, Andrew Hursthouse and Mingjun Deng
Processes 2025, 13(10), 3057; https://doi.org/10.3390/pr13103057 - 25 Sep 2025
Viewed by 770
Abstract
In the context of global carbon neutrality, municipal wastewater treatment plants (WWTPs), as key sources of greenhouse gas emissions, urgently require quantification of carbon emissions and implementation of mitigation strategies. This study establishes a life-cycle carbon footprint model encompassing the stages of pretreatment, [...] Read more.
In the context of global carbon neutrality, municipal wastewater treatment plants (WWTPs), as key sources of greenhouse gas emissions, urgently require quantification of carbon emissions and implementation of mitigation strategies. This study establishes a life-cycle carbon footprint model encompassing the stages of pretreatment, biological treatment (AAO process), and sludge treatment, with integrated consideration of municipal sewer networks. Key findings reveal the following: The biological treatment stage contributes 68.14% of total carbon emissions. N2O (nitrous oxide), due to its high global warming potential (GWP), is the primary source of direct emissions (0.333 kg CO2eq/m3). In the pretreatment stage, 80.4% of carbon emissions originate from the electricity consumption of sewage lifting pump stations (0.030 kg CO2eq/m3). During the sludge treatment stage, carbon emissions are concentrated in residual sludge lifting (0.0086 kg CO2eq/m3) and sludge dewatering/pressing (0.0088 kg CO2eq/m3). Accordingly, this study proposes the following mitigation strategies: novel nitrogen removal processes should be implemented to optimize aeration control and enhance methane (CH4) recovery during the biological period, and variable frequency drive (VFD) pumps and IoT (Internet of Things) technologies should be employed to reduce energy consumption during the pretreatment period, and during the sludge treatment period, low-carbon dewatering technologies should be adopted. This work provides a theoretical foundation for process-specific carbon management in WWTPs and facilitates the synergistic advancement of environmental stewardship and dual-carbon objectives through technology–system integration. Full article
(This article belongs to the Section Environmental and Green Processes)
Show Figures

Figure 1

19 pages, 3174 KB  
Article
Characterisation of Faecal Sludge from Different Nature-Based Treatment Processes for Agricultural Application
by Girija Ramakrishna and Balachandra Patil
Sustainability 2025, 17(13), 5683; https://doi.org/10.3390/su17135683 - 20 Jun 2025
Viewed by 1067
Abstract
Nature-based systems predominantly treat faecal sludge in developing regions due to their cost-effectiveness and operational simplicity. These systems, including solid–liquid separation, anaerobic digestion, dewatering, phytofiltration, and composting produce, treated sludge with variable characteristics. However, application-specific characterisation of treated sludge from these systems remains [...] Read more.
Nature-based systems predominantly treat faecal sludge in developing regions due to their cost-effectiveness and operational simplicity. These systems, including solid–liquid separation, anaerobic digestion, dewatering, phytofiltration, and composting produce, treated sludge with variable characteristics. However, application-specific characterisation of treated sludge from these systems remains limited, hindering evidence-based agricultural application. This study investigated thirty treated faecal sludge samples from unplanted drying beds, planted drying beds, and co-composting, with a focus on their soil application potential. Nonparametric statistical analysis revealed that treatment processes significantly influenced the key properties, including electrical conductivity, total organic carbon, total nitrogen, and potassium content. The co-compost yielded comparatively higher conductivity (4.9 dS/m) and potassium levels (1.09%) but lower total nitrogen (2.15%) and organic carbon contents (28%). Additionally, co-composted sludge exhibited a balanced nutrient profile with a wide range of micronutrients and high variability. Despite this variability, all samples met the Indian compost quality guidelines for heavy metals. The findings underscore the importance of treatment-specific characterisation to inform appropriate soil application rates and ensure safe use. This study contributes to the development of quality criteria and guidelines for use of faecal sludge in agriculture, particularly in regions such as India, where no regulatory framework currently exists for faecal sludge application. Full article
(This article belongs to the Section Environmental Sustainability and Applications)
Show Figures

Graphical abstract

17 pages, 1486 KB  
Article
Effect of Lignite Composition on Mercury Removal from Flue Gas in Sulfide Forced Wet Flue Gas Desulfurization (WFGD) Installations—Full-Scale Experiments
by Dariusz Łuszkiewicz, Maria Jędrusik, Arkadiusz Świerczok, Mariola Kobylańska-Pawlisz, Karel Borovec and Lukas Pilar
Energies 2025, 18(8), 1982; https://doi.org/10.3390/en18081982 - 12 Apr 2025
Viewed by 516
Abstract
In this article, the results of full-scale experiments on the addition of a sodium sulfide to the CaCO3 slurry circuit in a wet flue gas desulfurization (WFGD) plant are presented. Tests are performed on two comparable WFGD installations (spray tower, 4 spraying [...] Read more.
In this article, the results of full-scale experiments on the addition of a sodium sulfide to the CaCO3 slurry circuit in a wet flue gas desulfurization (WFGD) plant are presented. Tests are performed on two comparable WFGD installations (spray tower, 4 spraying levels and two stage gypsum de-watering by hydrocyclones and vacuum belt filter) which allows the investigation of the influence of lignite composition (lignite mined in Poland and the Czech Republic are compared) on the reduction in mercury emission. Additionally, the efficiency of precipitation of metals from the slurry (Hg, Zn, Pb, Cd, Cr, Cu, Ni, Fe, Se, and Mn) is investigated as the result of sulfide addition. For both objects, mercury re-emission from absorber occurs (the concentration of mercury in the chimney is higher than that before the WFGD absorber) and the sulfide addition to WFGD slurry stops this phenomenon. The addition of sulfide works effectively (mercury removal efficiency from flue gas reaches up to 88% for Polish tests and up to 87% for Czech Republic tests). For the tests in the Poland power plant, all of measured metals are precipitated from the slurry (precipitation of metals efficiency varied from 2% for zinc to 88% for mercury), but in the case of the test in the power plant in the Czech Republic, there is no effect on manganese, iron, and lead (precipitation of metals efficiency varied from 6.5% for copper to 86% for mercury). The addition of sulfide works effectively for lignite mined in Polish and Czech power plants under the conditions of similar WFGD installations. Full article
(This article belongs to the Section B: Energy and Environment)
Show Figures

Figure 1

9 pages, 1847 KB  
Article
Effect of Co-Dewatering for Aerobic Granular Sludge and Alum Sludge
by Yongfei Chen, Kangmei Tu, Dongsheng Qian, Ningyu Li and Ailan Yan
Water 2025, 17(5), 705; https://doi.org/10.3390/w17050705 - 28 Feb 2025
Cited by 1 | Viewed by 688
Abstract
Sludge dewatering plays a crucial and indispensable role in the sludge treatment and disposal process, directly affecting the subsequent disposal costs and environmental risks. Aerobic granular sludge (AGS) and alum sludge (AS) from water treatment plants are two common types of sludge with [...] Read more.
Sludge dewatering plays a crucial and indispensable role in the sludge treatment and disposal process, directly affecting the subsequent disposal costs and environmental risks. Aerobic granular sludge (AGS) and alum sludge (AS) from water treatment plants are two common types of sludge with distinct dewatering properties. In this experiment, we thoroughly investigated the effects of co-dewatering by mixing AGS and AS in different proportions. The results showed that the addition of the AS effectively altered the composition and characteristics of the AGS, which significantly improved its settlement performance. When the AGS and AS were mixed in a specific proportion, the water content of the dewatered AGS was reduced from 81.2% to 70.9%, which fully demonstrated a significant improvement in the AGS dewatering performance achieved through the mixed treatment. It is recommended to be widely promoted and applied in practical engineering. Full article
(This article belongs to the Special Issue Advanced Biological Wastewater Treatment and Nutrient Removal)
Show Figures

Figure 1

21 pages, 2780 KB  
Article
Co-Hydrothermal Carbonization of Sawdust and Sewage Sludge: Assessing the Potential of the Hydrochar as an Adsorbent and the Ecotoxicity of the Process Water
by Matheus Cavali, Thuanne Braúlio Hennig, Nelson Libardi Junior, Boram Kim, Vincent Garnier, Hassen Benbelkacem, Rémy Bayard, Adenise Lorenci Woiciechowski, William Gerson Matias and Armando Borges de Castilhos Junior
Appl. Sci. 2025, 15(3), 1052; https://doi.org/10.3390/app15031052 - 21 Jan 2025
Cited by 3 | Viewed by 2139
Abstract
Hydrothermal carbonization (HTC) is a promising thermochemical process to convert residues into hydrochar. While conventional HTC utilizes one type of residue as raw material only, Co-HTC generally combines two. By mixing dry and wet wastes, Co-HTC can advantageously avoid water addition. Therefore, this [...] Read more.
Hydrothermal carbonization (HTC) is a promising thermochemical process to convert residues into hydrochar. While conventional HTC utilizes one type of residue as raw material only, Co-HTC generally combines two. By mixing dry and wet wastes, Co-HTC can advantageously avoid water addition. Therefore, this work investigated the potential of hydrochar derived from the Co-HTC of sawdust and non-dewatered sewage sludge as a dye (methylene blue) adsorbent and evaluated the toxicity of the resulting Co-HTC process water (PW) on Daphnia magna. Three hydrochars were produced by Co-HTC at 180, 215, and 250 °C and named H-180, H-215, and H-250, respectively. For methylene blue adsorption, H-180 and H-215 had a better performance than H-250. Both H-180 and H-215 presented a maximum adsorption capacity of approximately 70 mg·g−1, which was superior compared with the adsorption of methylene blue by other hydrochars in the literature. Moreover, the removal percentage obtained with H-180 remained satisfactory even after five cycles. Regarding the toxicological assays of the PWs, raising the Co-HTC temperature increased the variety of substances in the PW composition, resulting in higher toxicity to D. magna. The EC50 values of PW-180, PW-215, and PW-250 were 1.13%, 0.97%, and 0.51%, respectively. This highlights the importance of searching for the treatment and valorization of the PW. Instead of viewing this by-product as an effluent to be treated and disposed of, it is imperative to assess the potential of PWs for obtaining other higher added-value products. Full article
(This article belongs to the Special Issue Resource Utilization of Solid Waste and Circular Economy)
Show Figures

Figure 1

14 pages, 1977 KB  
Article
Inhibition of Polycyclic Aromatic Hydrocarbons Formation During Supercritical Water Gasification of Sewage Sludge by H2O2 Combined with Catalyst
by Qiao Xu, Fenfen Yan, Yujie Fan and Miao Gong
Water 2024, 16(22), 3235; https://doi.org/10.3390/w16223235 - 11 Nov 2024
Cited by 1 | Viewed by 1192
Abstract
This work evaluated the alterations in the levels and types of polycyclic aromatic hydrocarbons (PAHs) within both liquid and solid products throughout the process of the catalytic supercritical water gasification of dewatered sewage sludge to examine the catalytic effect of various catalysts and [...] Read more.
This work evaluated the alterations in the levels and types of polycyclic aromatic hydrocarbons (PAHs) within both liquid and solid products throughout the process of the catalytic supercritical water gasification of dewatered sewage sludge to examine the catalytic effect of various catalysts and the inhibit reaction pathways. The addition of Ni, NaOH, Na2CO3, H2O2, and KMnO4 reduced the concentrations of PAHs, with Ni and H2O2 showing the best performance. The concentrations of PAHs, especially higher-molecular-weight compounds in the residues, decreased sharply as the H2O2 amount increased. At a 10 wt% H2O2 addition, the levels of PAHs in the liquid and solid products were reduced by 91% and 88%, respectively. High-ring PAHs were not detected in the residues as the H2O2 amount increased to an 8 wt%. H2O2 addition evidently inhibits PAH formation by promoting the ring-opening reactions of initial aromatic compounds in raw sludge and inhibiting the polymerization of open-chain intermediate products. The addition of NaOH + H2O2 or Ni + H2O2 as combined catalysts significantly lowered PAH concentrations while increasing the H2 yield. The addition of 5 wt% Ni + H2O2 reduced PAH concentrations in the liquid and solid residues by 70% and 44%, respectively, while the H2 yield escalated from 0.13 mol/kg OM to 3.88 mol/kg OM. Possible mechanisms associated with the reaction pathways of these combined catalysts are proposed. Full article
(This article belongs to the Section Wastewater Treatment and Reuse)
Show Figures

Figure 1

15 pages, 1925 KB  
Article
Evaluation of the Feasibility and Utilizability of Pretreated Sewage Sludge in Cement Kiln Co-Processing
by Wei Cheng, Xiaohu Lin, Wei Liu, Haihua Cao and Jingcheng Xu
Sustainability 2024, 16(20), 9025; https://doi.org/10.3390/su16209025 - 18 Oct 2024
Cited by 3 | Viewed by 2348
Abstract
The treatment and resource utilization of sludge from municipal sewage treatment plants is an important environmental issue. Cement kiln co-processing offers a promising solution, but challenges remain, particularly regarding sludge properties and feasibility in kiln systems. This study analyzes the characteristics of three [...] Read more.
The treatment and resource utilization of sludge from municipal sewage treatment plants is an important environmental issue. Cement kiln co-processing offers a promising solution, but challenges remain, particularly regarding sludge properties and feasibility in kiln systems. This study analyzes the characteristics of three pretreated sludges: mechanically dewatered sludge, deeply dewatered sludge, and lime-dried sludge. Using techniques such as thermogravimetric analysis (TGA) and X-ray diffraction (XRD), this study investigates their calorific values and raw material utilizability in co-processing. As the sludge moisture content decreases from interstitial to bound water, energy consumption per ton of evaporated water rises, particularly below 30%. At 10 °C/min heating, energy consumption for mechanically dewatered sludge at 80%, 30%, and 10% moisture was 3573, 8220, and 34,751 kJ/kg, respectively; for deeply dewatered sludge at 60%, 30%, and 10%, the values were 4398, 7550, and 11,504 kJ/kg. Keeping moisture content above 30% before kiln entry reduces energy use and enhances calorific value. Sludge utilizability as a raw material depends on its pretreatment. The ash composition of deeply and mechanically dewatered sludge resembles iron-rich raw materials, while lime-dried sludge aligns more with limestone. The utilizable ash content was 23.3%, 8.1%, and 46.3%, respectively, with lime-dried sludge showing the highest potential. This study provides insights into sludge properties and their co-processing potential in cement kilns, offering scientific and technical support for practical applications. Full article
Show Figures

Figure 1

31 pages, 6930 KB  
Article
Energy-Efficient Production of Microchloropsis salina Biomass with High CO2 Fixation Yield in Open Thin-Layer Cascade Photobioreactors
by Ayşe Koruyucu, Torben Schädler, Amelie Gniffke, Konrad Mundt, Susann Krippendorf, Peter Urban, Karlis Blums, Billy Halim, Thomas Brück and Dirk Weuster-Botz
Processes 2024, 12(7), 1303; https://doi.org/10.3390/pr12071303 - 23 Jun 2024
Cited by 3 | Viewed by 2539
Abstract
Lipid production using microalgae is challenging for producing low-value-added products. Harnessing microalgae for their fast and efficient CO2 fixation capabilities may be more reasonable since algal biomass can be utilized as a precursor for various products in a biorefinery approach. This study [...] Read more.
Lipid production using microalgae is challenging for producing low-value-added products. Harnessing microalgae for their fast and efficient CO2 fixation capabilities may be more reasonable since algal biomass can be utilized as a precursor for various products in a biorefinery approach. This study aimed to optimize the productivity and efficiency of Microchloropsis salina biomass production in open thin-layer cascade (TLC) photobioreactors under physical simulation of suitable outdoor climate conditions, using an artificial seawater medium. Continuous operation proved to be the most suitable operating mode, allowing an average daily areal productivity of up to 27 g m−2 d−1 and CO2 fixation efficiency of up to 100%. Process transfer from 8 m2 to 50 m2 TLC photobioreactors was demonstrated, but with reduced daily areal productivity of 21 g m−2 d−1 and a reduced CO2 fixation efficiency, most probably due to increased temperatures at midday above 35 °C. An automated overnight switch-off of the circulation pumps was implemented successfully, reducing energy and freshwater requirements by ~40%. The ideal conditions for continuous production were determined to be a dilution rate of 0.150–0.225 d−1, pH of 8.5, and total alkalinity of 200–400 ppm, facilitating efficient pilot-scale production of microalgal biomass in TLC photobioreactors. Full article
Show Figures

Figure 1

23 pages, 11017 KB  
Article
Environmental Win–Win Management: Using Aluminum-Based Solid Waste for Synozol Red-KHL Dye Oxidation
by Manasik M. Nour, Zahraa A. Elsayed and Maha A. Tony
ChemEngineering 2024, 8(3), 59; https://doi.org/10.3390/chemengineering8030059 - 7 Jun 2024
Viewed by 2201
Abstract
The awareness of the concept of the “Circular Economy” is motivating scientists to convert drinking water treatment plant by-products, which are based on aluminum waste, into a valorized material for wastewater treatment. Alum sludge from a local waterworks plant in Egypt was collected [...] Read more.
The awareness of the concept of the “Circular Economy” is motivating scientists to convert drinking water treatment plant by-products, which are based on aluminum waste, into a valorized material for wastewater treatment. Alum sludge from a local waterworks plant in Egypt was collected and dewatered using chitosan-coated magnetic nanoparticles. The role of the conditioned sludge in wastewater treatment was then examined. Chitosan (Ch) augmented with magnetite nanoparticles (MNs), labeled as ChMNs, was prepared by means of a simple co-precipitation route with mixing ratios of 1:1, 2:1, and 3:1 of chitosan and magnetite nanoparticles to form the ChMN catalyst. The ChMNs were shown to beneficially enhance alum sludge conditioning and dewaterability. The conditioned and dried aluminum-based sludge (AS) loaded with ChMNs was then used as a source of Fenton’s catalyst for Synozol Red-KHL textile dyeing wastewater. The characteristics of the AS-ChMN sample were investigated using Fourier transform infrared spectroscopy (FTIR), transmission electron microscopy (TEM), and scanning electron microscopy (SEM). The photocatalytic activity of the AS-ChMN composite was assessed by examining its diffuse reflectance spectra (DRS). Response surface methodological analysis was applied to optimize the operational parameters in order to reduce the use of chemicals and improve dye oxidation to form a complete (99%) dye oxidation strategy. The experiments demonstrated that the optimal operating parameters included doses of 1.5 g/L and 420 mg/L for AS-ChMNs and hydrogen peroxide, respectively, as a source of Fenton’s reaction at a working pH of 3.5. Kinetic and thermodynamic analyses for potential full-scale applications were conducted, showing the reaction to be exothermic and spontaneous in nature and following second-order reaction kinetics. Hence, the novelty of this work lies in the introduction of conditioned and dewatered alum sludge waste as a photocatalyst for textile dye effluent oxidation, which could be considered a “win–win” strategy. Full article
(This article belongs to the Special Issue Chemical Engineering in Wastewater Treatment)
Show Figures

Figure 1

14 pages, 2013 KB  
Article
Relative Contribution of Fungal Communities to Carbon Loss and Humification Process in Algal Sludge Aerobic Composting
by Hainan Wu, Sen Zhang, Jiahui Zhou, Haibing Cong, Shaoyuan Feng and Feng Sun
Water 2024, 16(8), 1084; https://doi.org/10.3390/w16081084 - 10 Apr 2024
Cited by 4 | Viewed by 2127
Abstract
Harmful algal blooms in eutrophic lakes pose significant challenges to the aquatic environment. Aerobic composting is an effectively method for processing and reusing dewatered algal sludge. The fungal communities are the main driver of composting. However, their relationship with carbon loss and the [...] Read more.
Harmful algal blooms in eutrophic lakes pose significant challenges to the aquatic environment. Aerobic composting is an effectively method for processing and reusing dewatered algal sludge. The fungal communities are the main driver of composting. However, their relationship with carbon loss and the humification process during algal sludge composting remains unclear. In this study, the succession of fungal communities in algal sludge composting was investigated via internal transcribed spacer (ITS) rRNA amplicon sequencing analysis. Overall, no significant differences were observed with the α-diversity of fungal communities at different stages. The composition of the fungal communities changed significantly before and after compost maturation and became more stable after the compost maturation. Redundancy analysis showed that the fungal communities were significantly correlated with physicochemical properties, including humic acid (HA)/fulvic acid (FA), temperature, pH, humic acid, microcystins, and CO2. The co-occurrence network showed that different fungal community modules had different relationships with physicochemical properties. Structural equation modeling further revealed that different metabolic or transformation processes may be mainly driven by different fungi modules. The microcystin degradation, carbon loss, and humification during composting were mainly mediated by fungal communities which were mainly influenced by temperature. Humification was influenced not only by fungal communities but also by the microcystin levels. These results show that changes in the fungal community composition and interaction and their relationship with physicochemical properties could represent a useful guide for optimizing the composting process. Full article
Show Figures

Figure 1

16 pages, 4367 KB  
Article
Simultaneous Environmental Waste Management through Deep Dewatering of Alum Sludge Using Waste-Derived Cellulose
by Manasik M. Nour and Maha A. Tony
ChemEngineering 2024, 8(2), 40; https://doi.org/10.3390/chemengineering8020040 - 3 Apr 2024
Cited by 1 | Viewed by 2712
Abstract
To simultaneously solve problems in an eco-friendly manner, introducing a waste residual as a sustainable conditioner to aid alum sludge dewatering is suggested as a cradle-to-cradle form of waste management. In this regard, the superiority of deep dewatering alum sludge with a powdered [...] Read more.
To simultaneously solve problems in an eco-friendly manner, introducing a waste residual as a sustainable conditioner to aid alum sludge dewatering is suggested as a cradle-to-cradle form of waste management. In this regard, the superiority of deep dewatering alum sludge with a powdered wood chip composite residual as a novel conditioner was explored, whereby traditional conventional conditioners, i.e., polyelectrolytes and lime, were substituted with powdered wood chips. Initially, Fe3O4 was prepared at the nanoscale using a simple co-precipitation route. Next, wooden waste was chemically and thermally treated to attain cellulosic fine powder. Subsequently, the resultant wood powder and Fe3O4 nanoparticles were mixed at 50 wt % to attain a wood powder augmented with iron, and this conditioner was labeled nano-iron-cellulose (nIC-Conditioner). This material (nIC-Conditioner) was mixed with hydrogen peroxide to represent a dual oxidation and skeleton builder conditioning substance. Characterization of the resultant conditioner was carried out using transmission electron microscopy (TEM) and Fourier transform infrared (FT-IR) transmittance spectrum analysis. The feasibility of the experimental results revealed that the moisture content in the sludge cake was lower after conditioning, and the capillary suction time (CST) was reduced to 78% compared to that of raw alum sludge after 5 min of dewatering time. Moreover, the optimal system parameters, including nIC-Conditioner and H2O2 concentrations, as well as the working pH, were optimized, and optimal values were recorded at 1 g/L and 200 mg/L for nIC-Conditioner and H2O2, respectively, with a pH of 6.5. Additionally, scanning electron microscope (SEM) analyses of the sludge prior to and after conditioning were conducted to verify the change in sludge molecules due to this conditioning technique. The results of this study confirm the sustainability of an alum sludge and waste management facility. Full article
Show Figures

Figure 1

19 pages, 4682 KB  
Article
Sewage Sludge-Derived Biochar and Its Potential for Removal of Ammonium Nitrogen and Phosphorus from Filtrate Generated during Dewatering of Digested Sludge
by Katarzyna Wystalska and Anna Grosser
Energies 2024, 17(6), 1310; https://doi.org/10.3390/en17061310 - 8 Mar 2024
Cited by 12 | Viewed by 3066
Abstract
Utilizing waste, such as sewage sludge, into biochar fits the circular economy concept. It maximizes the reuse and recycling of waste materials in the wastewater treatment plant. The experiments were conducted to assess: (1) the impact of the temperature on the properties of [...] Read more.
Utilizing waste, such as sewage sludge, into biochar fits the circular economy concept. It maximizes the reuse and recycling of waste materials in the wastewater treatment plant. The experiments were conducted to assess: (1) the impact of the temperature on the properties of biochar from sewage sludge (400 °C, 500 °C, 600 °C, 700 °C); (2) how the physical activation (CO2, hot water) or chemical modification using (MgCl2, KOH) could affect the removal of ammonia nitrogen and phosphorus from filtrate collected from sludge dewatering filter belts or synthetic solution, wherein the concentration of ammonium nitrogen and phosphorus were similar to the filtrate. Based on the Brunner–Emmett–Teller (BET) surface and the type and concentration of surface functional groups for the second stage, biochar was selected and produced at 500 °C. The modification of biochar had a statistically significant effect on removing nitrogen and phosphorus from the media. The best results were obtained for biochar modified with potassium hydroxide. For this trial, 15%/17% (filtrate/synthetic model solution) and 72%/86% nitrogen and phosphorus removal, respectively, were achieved. Full article
(This article belongs to the Section B: Energy and Environment)
Show Figures

Figure 1

18 pages, 4272 KB  
Article
Impact of Conditioning Agent Addition Sequence on Dewatering Performance of Advanced Anaerobic Digested Sludge
by Xiuqin Cao, Ran Yu and Xin Wang
Water 2024, 16(5), 695; https://doi.org/10.3390/w16050695 - 27 Feb 2024
Cited by 2 | Viewed by 2979
Abstract
The advanced anaerobic digestion process enhances sludge resource utilization. However, thermal hydrolysis pretreatment of anaerobically digested sludge reduces dewatering efficiency due to excessive organic matter decomposition. This necessitates significant time and effort for sludge conditioning in wastewater treatment plants. Using conditioning agents can [...] Read more.
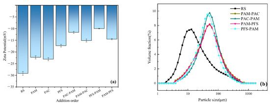
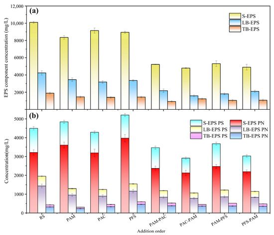
The advanced anaerobic digestion process enhances sludge resource utilization. However, thermal hydrolysis pretreatment of anaerobically digested sludge reduces dewatering efficiency due to excessive organic matter decomposition. This necessitates significant time and effort for sludge conditioning in wastewater treatment plants. Using conditioning agents can achieve high dewatering efficiency. This study investigates how the order of adding coagulants and flocculants impacts the dewatering performance of digested sludge. The results indicate that, compared to the flocculation–coagulation process with the same dosage, the coagulation–flocculation process leads to a 15–20% increase in the average particle size of digested sludge. The content of polysaccharides and proteins in S-EPS decreases by 28.8–30.8% and 10.1–11.3%, respectively. The filter cake solids content increases by 8.5%, and there is an increase in surface water channels within the flocs. This is because initially adding coagulants efficiently adsorbs small particles, forming larger aggregates that settle effectively. This promotes the breakdown of extracellular polymeric substances, releasing more bound water. Adding flocculants later bridges the aggregates, further enhancing settling and filtration performance, thereby improving sludge dewatering efficiency. These research findings contribute to a better understanding of the mechanisms of coagulant and flocculant co-conditioning for digested sludge and provide recommendations for optimizing sludge conditioning steps. Full article
(This article belongs to the Section Wastewater Treatment and Reuse)
Show Figures

Graphical abstract

14 pages, 1846 KB  
Article
Reprocessing and Resource Utilization of Landfill Sludge—A Case Study in a Chinese Megacity
by Yifeng Yang, Jingshuai Luan, Jing Nie, Xin Zhang, Jiong Du, Gang Zhao, Lei Dong, Yong Fan, He Cui and Yubo Li
Water 2024, 16(3), 468; https://doi.org/10.3390/w16030468 - 31 Jan 2024
Cited by 4 | Viewed by 3090
Abstract
In the past, due to improper sludge treatment technology and the absence of treatment standards, some municipal sludge was simply dewatered and then sent to landfills, occupying a significant amount of land and posing a serious threat of secondary pollution. To free up [...] Read more.
In the past, due to improper sludge treatment technology and the absence of treatment standards, some municipal sludge was simply dewatered and then sent to landfills, occupying a significant amount of land and posing a serious threat of secondary pollution. To free up land in the landfill area for the expansion of a large-scale wastewater treatment plant (WWTP) in Shanghai, in this study, we conducted comprehensive pilot research on the entire chain of landfill sludge reprocessing and resource utilization. Both the combination of polyferric silicate sulfate (PFSS) and polyetheramine (PEA) and the combination of polyaluminum silicate (PAS) and polyetheramine (PEA) were used for sludge conditioning before dewatering, resulting in dewatered sludge with approximately 60% moisture content. The combined process involved coagulation and sedimentation, flocculation, and oxidation to treat the leachate generated during dewatering. The treatment process successfully met the specified water pollutant discharge concentration limits for the leachate, with the concentration of ammonia nitrogen in the effluent as low as 15.6 mg/L. Co-incineration in a power plant and modification were applied to stabilize and harmlessly dispose of the dewatered sludge. The coal-generating system ran stably, and no obvious problems were observed in the blending process. In the modification experiment, adding 5% to 7% of the solidifying agent increased the sludge bearing ratio by 53% and 57%, respectively. This process effectively reduced levels of fecal coliforms and heavy metals in the sludge but had a less noticeable effect on organic matter content. The modified sludge proved suitable for use as backfill material in construction areas without requirements for organic matter. The results of this study provide valuable insights for a completed full-scale landfill sludge reclamation and land resource release project. Full article
Show Figures

Figure 1

16 pages, 3305 KB  
Article
Feasibility of Nutrient Removal and Recovery from Abattoir Wastewater Using Microalgae
by Sofia Chaudry, Arsalan Alavianghavanini, Pooya Darvehei, Navid R. Moheimani and Parisa A. Bahri
Energies 2024, 17(2), 308; https://doi.org/10.3390/en17020308 - 8 Jan 2024
Cited by 2 | Viewed by 2199
Abstract
The wastewater produced from the meat-processing industry is a rich source of nutrients which can be recovered using microalgae. This study assesses the potential of microalgae cultivation on abattoir wastewater based on its nutrient removal capacity from wastewater, biomass production and greenhouse gas [...] Read more.
The wastewater produced from the meat-processing industry is a rich source of nutrients which can be recovered using microalgae. This study assesses the potential of microalgae cultivation on abattoir wastewater based on its nutrient removal capacity from wastewater, biomass production and greenhouse gas (GHG) emission savings potential. Designing the treatment ponds at the recycling rate of almost 80% of treated water results in high-quality water containing less than 1 mg/L nitrogen and 12 mg/L phosphorus. At the same time, the process can produce valuable algal biomass (≈2 kg/m3 of abattoir wastewater) which can be further dewatered to make the process either economically self-sufficient or profit-making depending upon the use of algal biomass. It can finally avoid GHG emissions from 3.46 kg CO2-eq to 6.11 kg CO2-eq per m3 of wastewater treated depending upon the credit of the product displaced by the algal biomass. Full article
(This article belongs to the Collection Feature Papers in Bio-Energy)
Show Figures

Figure 1

Back to TopTop