Next Article in Journal
Influence Factors of Pressure Swing Adsorption for Oxygen Production by the Orthogonal Method and the Response Surface Method
Previous Article in Journal
Efficient Use of Secondary Raw Material from the Production of Polyamide Construction Products
 
 
Font Type:
Arial Georgia Verdana
Font Size:
Aa Aa Aa
Line Spacing:
Column Width:
Background:
Article

Energy-Efficient Production of Microchloropsis salina Biomass with High CO2 Fixation Yield in Open Thin-Layer Cascade Photobioreactors

1
Chair of Biochemical Engineering, School of Engineering and Design, Technical University of Munich, 85748 Garching, Germany
2
TUM-AlgaeTec Center, Technical University of Munich, 82024 Taufkirchen, Germany
3
Werner Siemens-Chair of Synthetic Biotechnology, School of Natural Sciences, Technical University of Munich, 85748 Garching, Germany
*
Author to whom correspondence should be addressed.
Processes 2024, 12(7), 1303; https://doi.org/10.3390/pr12071303
Submission received: 27 May 2024 / Revised: 20 June 2024 / Accepted: 20 June 2024 / Published: 23 June 2024

Abstract

Lipid production using microalgae is challenging for producing low-value-added products. Harnessing microalgae for their fast and efficient CO2 fixation capabilities may be more reasonable since algal biomass can be utilized as a precursor for various products in a biorefinery approach. This study aimed to optimize the productivity and efficiency of Microchloropsis salina biomass production in open thin-layer cascade (TLC) photobioreactors under physical simulation of suitable outdoor climate conditions, using an artificial seawater medium. Continuous operation proved to be the most suitable operating mode, allowing an average daily areal productivity of up to 27 g m−2 d−1 and CO2 fixation efficiency of up to 100%. Process transfer from 8 m2 to 50 m2 TLC photobioreactors was demonstrated, but with reduced daily areal productivity of 21 g m−2 d−1 and a reduced CO2 fixation efficiency, most probably due to increased temperatures at midday above 35 °C. An automated overnight switch-off of the circulation pumps was implemented successfully, reducing energy and freshwater requirements by ~40%. The ideal conditions for continuous production were determined to be a dilution rate of 0.150–0.225 d−1, pH of 8.5, and total alkalinity of 200–400 ppm, facilitating efficient pilot-scale production of microalgal biomass in TLC photobioreactors.

1. Introduction

Intensive research over the past few decades has focused on the production of microbial oils from CO2 using microalgae due to its potential for carbon-neutral and sustainable production of fuels and other valuable chemicals derived from algal lipids. Still, microalgae processes remain uncompetitive for the production of low-value-added products due to the high production costs associated with their low lipid space–time yield [1]. Hence, the current application areas of microalgae remain limited to mainly wastewater treatment [2,3]; aquaculture supplying foodstuffs [4,5]; and the production of specific polyunsaturated fatty acids (PUFAs), such as docosahexaenoic acid, eicosapentaenoic acid, or arachidonic acid, for use as nutraceuticals [6].
Marine microalgae can convert CO2 into biomass with up to 90% efficiency using sunlight as the energy source [7]. Moreover, it has been previously shown that microalgae, when grown without nutrient limitation, can achieve significantly higher productivity compared to lipid production under growth-limiting conditions [7]. Therefore, a more feasible strategy might be to harness microalgae primarily for their fast and efficient CO2 fixation capabilities, rather than for lipid production. Microalgae biomass generated in this way can then be hydrolyzed and utilized as a cultivation medium for other microorganisms to produce microbial oils or other bioproducts such as hydrogen, ethanol, and biogas through oleaginous or anaerobic processes with higher productivity [1]. Previous studies have already demonstrated it to be possible to utilize lipid-extracted and enzymatically hydrolyzed microalgae biomass with an oleaginous yeast on a laboratory scale [8,9]. This study aimed to identify the best-suited operating mode for producing microalgae biomass with high productivity on an industrially relevant scale. Furthermore, the optimal conditions for energy-efficient microalgae biomass production with a high CO2 fixation yield are examined since these aspects of the current state of the technology need further improvement to increase the cost-competitiveness of microalgae cultivation processes.
Microalgae cultivation systems are divided into open and closed photobioreactors (PBRs). In open PBRs, the microalgae suspension is directly exposed to the atmosphere, while in closed reactors, the culture is entirely separated from its surroundings. Closed cultivation systems offer improved control over the growth conditions, some degree of protection against external contamination, and decreased water loss through evaporation. Still, the installation and operation of closed PBRs are considered too expensive for the industrial production of low-value-added products due to their high complexity and poor scalability [10]. Therefore, the general assumption is that only simple open cultivation systems can economically produce microalgae biomass as a raw material for industrial use. Accordingly, an open PBR was preferred for microalgal biomass production in this study.
Microalgal biomass production requires large areas due to its reliance on energy influx per culture volume through sunlight. Hence, high areal productivity is essential for the economic success of any open microalgae cultivation system. In this sense, a promising culturing concept is the thin-layer cascade (TLC) with microalgae suspension flowing down a sloped channel in a layer with less than 1 cm thickness and being circulated between channels, which is reported to achieve high cell densities of 30–50 g L−1 in a relatively short amount of time, i.e., around 2–3 weeks [11,12,13]. Apel et al. (2017) utilized a novel scalable open TLC photobioreactor to investigate microalgal growth under the physical simulation of suitable climate zones [14]. The first objective of this research was to determine the conditions necessary to achieve high biomass productivity and more than 90% CO2 fixation efficiency in microalgal biomass production using a TLC reactor under realistic climate conditions. Additionally, a suitable mode of operation with high energy efficiency was determined for continuous biomass production.
One of the main challenges of microalgae cultivation in open PBRs is, alongside productivity issues, the heightened risk of contamination [6]. Thus, to reduce this risk, it is essential to cultivate microalgae strains that thrive in extreme conditions, which are unfavorable for potential contaminants. The marine microalgae Microchloropsis salina is known to achieve relatively high growth rates of 0.03 h−1, with an optimum salinity at 35 g L−1 at pH 7.5–pH 8.0 [15]. These conditions naturally limit the presence of contaminants in an open culture. Additionally, the high salinity requirement of the microalgae culture enables the use of seawater as the cultivation medium, reducing freshwater consumption and thereby lowering the costs and environmental impact associated with microalgae production. For these reasons, an artificial seawater (ASW) medium [15] was chosen for the cultivation of marine microalgae in this study. M. salina is a single-cell species that is not prone to aggregate or biofilm formation [16], presenting an advantage for cultivation in TLC reactors. Furthermore, multiple studies have already demonstrated the suitability of M. salina for biomass production in open TLC PBRs [7,14,17,18]. Consequently, M. salina was selected for microalgal biomass production in this work.
Generally, microalgae biomass grown under nutrient-replete conditions has around 25% (w/w) carbohydrates and 50% (w/w) proteins [7], both of which could be converted into valuable carbon sources that other microorganisms can utilize. This would correspond to a sugar concentration of about 50 g L−1 in a microalgal biomass hydrolysate produced from wet biomass with 250 g dry cell weight per liter [9]. While such a low sugar concentration is common in the waste streams or biomass hydrolysates used for microbial cultivation [19,20,21,22], the carbon source is still very diluted compared to the synthetic media generally used in industrial processes. Therefore, it is crucial to use an effective method for biomass harvest and dewatering to obtain a concentrated whole-cell microalgae paste, aiming to maximize the sugar concentration in the resulting biomass hydrolysate.
In this study, microalgae biomass is harvested using a continuous centrifuge with spiral plate technology, which involves rotating curved plates hinged onto a vertical shaft inside a sliding cylindrical drum, reducing the settling distance of particles. This, together with the fully automated continuous design of the centrifuge, provides a major improvement in the dewatering efficiency and a reduction in the overall operational costs [23]. By allowing for high dry biomass concentrations of up to 22% (w/w) in the harvested microalgae paste, as well as a biomass recovery efficiency above 95% [24], this technology perfectly meets the biomass dewatering requirements of this study.

2. Materials and Methods

2.1. Climate Simulation

This research was conducted at the TUM-AlgaeTec Center (Technical University of Munich, Taufkirchen, Germany), a pilot-scale microalgae research facility that operates under realistically simulated climate conditions. Local irradiance from sunlight entering the glass halls was complemented with light-emitting diode (LED)-based artificial sunlight (FutureLED, Berlin, Germany) within the 400–750 nm wavelength range to achieve a preset target irradiance. Air temperature and humidity were automatically controlled by either an air-conditioning system or natural ventilation, depending on the prevailing external weather conditions. The conditions recreated inside the facility, including air temperature and irradiance levels, were based on the climate data recorded on 15 June 2012 in Almería, Spain, characterized by a 14:10 light–dark cycle, a temperature range of 17–30 °C, and a photosynthetically active radiation (PAR) (400–700 nm) peak of 1823 μmol m−2 s−1. This summer day was selected to represent the seasonal average in summer in Southern Spain since it is important to keep the climate data constant at an ideal from day to day when the focus is to investigate the effects of other parameters on biomass productivity. The TUM-AlgaeTec Center, the climate simulation, and the custom-built LED arrays used were previously described in detail by Apel et al. [14].

2.2. Microalgae Strain and Cultivation Medium

The microalgae strain Microchloropsis salina (SAG 40.85), formerly referred to as Nannochloropsis salina, was acquired from the Culture Collection of Algae at the University of Göttingen (Göttingen, Germany). A modified artificial seawater (ASW) medium was used for all cultivations, including seed culture production [15]. ASW medium contained, per one liter of water, 27 g NaCl; 6.6 g MgSO4 · 7 H2O; 1.5 g CaCl2 · 2 H2O; 0.3 g urea; 0.07 g KH2PO4; 0.021 g Na2EDTA · 2 H2O; 0.014 g FeCl3 · 6 H2O; and 1 mL of a trace element solution with ZnCl2 (0.04 g L−1), H3BO3 (0.6 g L−1), CuCl2 · 2 H2O (0.04 g L−1), MnCl2 (0.4 g L−1), and (NH4)6Mo7O24 · 4 H2O (0.37 g L−1). Among these ingredients, NaCl, MgSO4 · 7 H2O, and CaCl2 are referred to as medium salts, whereas the remaining components are denoted as medium nutrients. In all processes, the concentrations of the medium salts were kept constant in the reaction medium by adding the required amount of salt through the feed stream or manually to compensate for the salt present in the harvested algae suspension. The nutrients were supplied additionally as a concentrated solution throughout the entire process to avoid nutrient depletion. The average nutrient feed rate is specified for all experiments individually and was adjusted to keep the measured urea concentration between 0.5 and 1.5 g L−1, unless stated otherwise.

2.3. Open Thin-Layer Cascade Photobioreactor Operation

The design and construction of the TLC photobioreactors at the TUM-AlgaeTec Center were described in detail previously by Apel et al. [14,25]. These reactors consisted of two white polyethylene channels that were inclined at a 1° angle in opposite directions and placed next to each other. The channels are linked with a flow reversal module, allowing the microalgae suspension introduced at the top of the first channel to flow through both channels, eventually arriving at the retention tank located at the bottom of the second channel. The microalgae suspension is circulated back into the inlet module by a centrifugal pump (MKPG, Ventaix, Monschau, Germany). This setup is different only for the pilot-scale TLC reactor, which has a retention tank and a circulation pump at the end of each channel, enabling the sequential connection of any number of channels. In addition, the channels of the pilot-scale reactor were made of white woven coated polyethylene pond liner (areal weight 320 g m−2, Daedler, Trittau, Germany) instead of polyethylene panels. The pH of the microalgae suspension was controlled at pH 8.5 during the day (from 6 a.m. to 8 p.m.) by adding pure CO2 through a gassing unit with perforated hoses (Solvocarb® and Solvox® B, Linde, Pullach, Germany) installed in the retention tanks. The pH and temperature of the microalgae suspension were measured using a combination electrode (tecLine 201020/51-18-04-18-120, Jumo, Fulda, Germany) located in the retention tank and connected to a transmitter (ecoTrans pH 03, Jumo, Fulda, Germany). The temperature of the suspension was monitored but not regulated. The volumetric flow rate of the microalgae suspension was measured using a magnetic-inductive sensor (MIK, Kobold, Hofheim, Germany) placed after the circulation pump. Additionally, a level sensor (LFFS, Baumer, Friedberg, Germany) was installed in the retention tank to monitor the liquid level inside the tank. If the level fell below the set point due to evaporation, tap water was automatically supplied via a solenoid valve (Type 52, Gemü, Ingelfingen, Germany) to maintain a constant liquid volume in the reactor. The design and operational specifications of the TLC PBRs at different scales are presented in Table 1. The salinity and total alkalinity (TA) of the microalgae suspension were measured at-line, and the TA was manually adjusted by adding sulfuric acid to the suspension.
The TUM-AlgaeTec Center has three separate halls with TLC PBRs of various sizes. The first hall, containing two TLC reactors with a 4 m2 surface area, was designated for seed culture generation. The second hall with six TLC reactors, each with an 8 m2 surface area, was used to examine the cultivation conditions. The third hall, containing the pilot-scale TLC reactor with a 50 m2 surface area, was focused on scale-up studies.

2.4. Modes of Operation

In all processes, concentrations of the medium salts were kept constant in the reaction medium. On the other hand, the nutrients in the medium were supplied as a concentrated solution additionally throughout the entire process to avoid nutrient depletion in the medium and to maintain the urea concentration between 0.5 and 1.5 g L−1. Each process was started with a nutrient concentration of two times that in the ASW medium. In order to prevent a photoinhibition of the microalgal growth, TLC photobioreactors were inoculated with a cell dry weight (CDW) concentration of 0.25–0.40 g L−1 on the 8 m2 scale and with 0.80–1.10 g L−1 CDW concentration on the 50 m2 scale. These values were determined empirically based on previous experiments. The small difference in the required culture density between the two reactor scales might be due to the longer channels and the slightly higher surface-to-volume ratio of the pilot-scale reactor.

2.4.1. Batch Operation

Batch processes were started with a fresh inoculum cultivated with ASW medium in TLC photobioreactors on a 4 m2 scale and ended after reaching the maximum integral biomass productivity. For an easier description, the average nutrient feed rate ( r f , a v e ) in batch and semi-continuous experiments is expressed using a factor ( F ) related to the nutrient concentration in the ASW medium as follows:
r f , a v e = m n , i n · V R · t 1 = F · c n , A S W · t 1 = F × A S W   p e r   d a y ,
where m n , i n is the mass of nutrients fed, V R is the reaction volume (i.e., the volume of algae suspension in the reactor), t is the process time in days, and c n , A S W is the nutrient concentration in the ASW medium.

2.4.2. Semi-Continuous Operation

Semi-continuous processes were started analogously to batch processes. The transition to semi-continuous operation was performed after the microalgae suspension reached the desired CDW concentration, corresponding to the preselected biomass density at the start of each day. Thereafter, every day at 10 a.m., except on weekends, a fraction of the suspension was harvested from the reactor to bring the biomass concentration to the desired value based on the measured CDW concentration. The harvested suspension volume was then replaced with an equal amount of fresh ASW medium. Furthermore, additional concentrated feed medium was manually supplied as required to ensure the urea concentration remains within the stipulated range throughout the process.

2.4.3. Continuous Operation

Figure 1 illustrates the process flow for the continuous operation of TLC photobioreactors. Continuous processes were also initiated similarly to batch processes. The switch to continuous mode was started after the microalgae suspension reached the desired CDW concentration. This CDW concentration was estimated based on the corresponding expected growth rate, which is equal to the dilution rate ( D ) in a steady-state continuous operation. Thereafter, a concentrated feed medium in an external feed tank was fed to the reactor continuously by a peristaltic pump. The microalgae suspension was pumped into an external collection tank at a constant rate for only 12 h every day from 7 a.m. to 7 p.m. to avoid a wash-out of the cells at night when cell growth is minimal due to the lack of light supply. During these 12 h, the volumetric flow rate of the outlet stream was set to twice that of the inlet stream so that the volume of microalgae suspension harvested each day equaled the feed medium volume supplied daily into the reactor. Consequently, the dilution rate specified for each experiment represents a daily average. Figure 2 shows the actual configuration of the pilot-scale TLC photobioreactor and the centrifuge employed for biomass harvest in continuous operation.
In continuous processes, the concentration of the feed medium was adjusted to a factor ( C F ) of the nutrient concentration in the ASW medium without changing the concentration of medium salts. This factor was determined depending on the dilution rate ( D ) to achieve a desired feed rate. The total amount of feed medium added to the reactor ( V f ) can be calculated as follows:
V f = V R · D · t
where V R is the reaction volume, D is the dilution rate, and t is the process time in days. Similarly to batch and semi-continuous processes, the nutrient feed rate ( r f ) in each continuous experiment is described using a factor ( F ) related to the nutrient concentration in the ASW medium as follows:
r f = m n , i n · V R · t 1 = c n , f · V f · V R · t 1 = C F · D · c n , A S W = F × A S W   p e r   d a y ,
where m n , i n is the mass of nutrients fed, V R is the reaction volume, t is the process time in days, c n , f is the nutrient concentration in the feed medium, V f is the volume of the feed medium supplied, C F is the factor of nutrient concentration in the feed ASW medium, D is the dilution rate, and c n , A S W is the nutrient concentration in the ASW medium. For instance, with a 20-times concentrated ASW medium as feed ( C F = 20) and a dilution rate ( D ) of 0.175 d−1, the feed rate ( r f ) is described as 3.5 × ASW per day, meaning that F = 3.5.

2.5. Biomass Harvest and Dewatering

Microalgal biomass was harvested and dewatered in a single step using dynamic settlers with spiral plate technology (Evodos B.V., Raamsdonksveer, The Netherlands). The lab-scale centrifuge model, Evodos 10, has a maximum capacity of ~4 kg biomass (dry weight) per batch and requires manual harvesting between batches. On the other hand, the Evodos 50A model (b), designed for industrial applications, features an automated continuous harvesting system and a processing capacity of up to 500 L per hour. Dewatering of the microalgal biomass followed the parameters outlined in Table 2. Biomass in the form of microalgae paste was discharged at 30-min intervals and collected from a tray beneath the centrifuge drum at the end of centrifugation. The water content of the harvested biomass was determined by gravimetric measurement to be approximately 70% (w/w) consistently across all batches. Subsequently, the microalgal biomass was frozen and stored at −20 °C until further processing.

2.6. Optical Density and Cell Dry Weight

The cell density of the culture was measured by determining the optical density at 750 nm (OD750) against a salt solution (2.7% (w/w) NaCl) in triplicate, using a UV–Vis spectrophotometer (Genesys 10S UV–VIS, Thermo Fisher Scientific Inc., Waltham, MA, USA). The same salt solution, matching the salinity of the ASW medium, was also utilized to dilute the samples into the linear correlation range of the photometer.
Cell dry weight (CDW) was measured in triplicate at least once daily. The measurement was performed gravimetrically by transferring at least 2 mg of the sample onto a pre-dried and pre-weighed glass microfiber filter (Whatman® glass microfiber filters Grade GF/C, Cytiva Europe GmbH, Munich, Germany) using a Büchner funnel. The sample was then rinsed with 1 mL of distilled water, and the filter was dried for a minimum of 48 h at 70 °C before being weighed a second time. CDW concentration was calculated by dividing net dry weight by the volume of the sample applied to the filter. A linear correlation was observed between CDW and OD750, allowing for the estimation of a correlation factor for processes on different scales (Supplementary Figure S1). These factors were used to derive CDW from OD750 measurements.

2.7. Determination of Urea Concentration, Salinity, and Total Alkalinity

Each sample was centrifuged at 14,600 rcf for 4 min, and the supernatant was used for analyses. Urea concentration was determined photometrically, using an enzymatic assay (Roche Urea/Ammonia Assay Kit, R-Biopharm AG, Darmstadt, Germany). Salinity was measured at least once daily with a refractometer (Hanna Instruments, Voehringen, Germany), whereas TA was determined with a colorimetric test according to the manufacturer’s instructions (HI755 Checker HC, Hanna Instruments, Woonsocket, RI, USA).

2.8. Total Lipid Analysis

Total lipid content was determined using the sulfo-phospho-vanillin (SPV) assay outlined by Mishra et al. [26]. For the preparation of the phospho-vanillin reagent, 0.3 g of vanillin was dissolved in 50 mL of a 10% (v/v) ethanol solution and mixed with 200 mL of phosphoric acid. Then, 50 μL of each sample was incubated in 1 mL sulfuric acid (98% (v/v)) for 10 min at 90 °C in a glass vial and cooled at –4 °C for 5 min. After that, 2.5 mL of the phospho-vanillin reagent was added to each vial, which was then incubated in a thermomixer at 37 °C and 900 rpm for 15 min (Thermomixer basic, CellMedia, Elsteraue, Germany). After incubation, the absorption at a 530 nm wavelength against air was measured with a UV–Vis spectrophotometer (Genesys 10S UV–VIS, Thermo Fisher Scientific Inc., Waltham, MA, USA). Blank values were measured separately and subtracted from the measured absorption values manually. Each sample was measured in triplicate, and an external standard of rapeseed oil was used to correlate the absorption to lipid concentration.

2.9. Elemental and Macromolecular Composition

Carbon, hydrogen, nitrogen, and sulfur (CHNS) contents were analyzed using a CHNS elemental analyzer (Euro EA CHNS Elemental Analyzer, HEKAtech GmbH, Wegberg, Germany). In the analyzer, each sample was combusted using pure oxygen at 1800 °C, and the resulting gas mixture containing CO2, H2O, N2, and SO2 was fed into a gas chromatography column for separation, using helium as the carrier gas. Subsequently, the separated gases were measured by a thermal conductivity detector. The C, H, N, and S contents were then calculated as the mass of the element measured per mass of the initially weighed sample. Cell samples were freeze-dried for the analysis, and each sample was measured in triplicate.
Phosphorus content was determined using a colorimetric method. Samples were mineralized in round bottom flasks at 400 °C using concentrated sulfuric acid and fuming nitric acid. Then, the nitrous gases were boiled away. An aliquot part of ammonium vanadate and ammonium molybdate was added to the mixture, and the resulting phosphomolybdic acid was measured against standards photometrically at 650 nm (Cary 100 UV–Vis Spectrophotometer, Agilent, Waldbronn, Germany). Each sample was measured in duplicate.
The macromolecular composition was determined using a combination of measurements from the analysis of the samples and the literature values. Lipid content was calculated based on measurements of CDW and lipid concentrations. Total protein content was calculated from nitrogen content using a correlation factor of 4.4 for microalgal biomass [27]. The ash content of M. salina biomass cultivated in a nutrient-replete ASW medium under the same conditions as in this work was determined to be 10% (w/w) by Schädler et al. [7]. The remaining portion of the biomass is assumed to be carbohydrates.

2.10. Carbon Dioxide Fixation Efficiency

In microalgal biomass production, CO2 and urea are the only carbon sources. CO2 fixation efficiency ( η C O 2 ) was defined as the mass of carbon fixated in biomass divided by the total carbon mass supplied to the system. Using the carbon content of M. salina measured by elemental analysis ( x C , M s = 0.53), the CO2 fixation efficiency can be expressed as follows:
η C O 2 = 0.53 · ( m C D W , t m C D W , 0 ) · x C , C O 2 · 0 t m ˙ C O 2 d t + x C , U r e a · m u r e a , t 1 ,
where x C , C O 2 and x C , U r e a are the mass fractions of carbon in CO2 and urea, respectively; m ˙ C O 2 is the CO2 mass flow rate; and m u r e a , t is the total supplied mass of urea at time, t .

2.11. Biomass Productivity

Volumetric productivity ( P V ) is calculated from the dry cell mass produced between process time, t , and the starting time of the process per reaction volume:
P V = 0.53 · ( m C D W , t m C D W , 0 ) · V R · t t 0 1 ,
Areal productivity ( P A ) is calculated from the volumetric productivity using the specific volume-to-area ratio of the TLC reactor used in the process:
P A = P V · V R · A 1 ,
Integral areal productivity is calculated cumulatively over the process time, whereas daily areal productivity ( P A , d a i l y ) is determined for the last 24 h, starting at 10 a.m.

3. Results and Discussion

3.1. Different Modes of Operation in TLC Photobioreactors on an 8 m2 Scale

The first objective of this study was to determine the mode of operation that allows for the maximum areal productivity and CO2 fixation efficiency in microalgal biomass production. For this, the first batch processes on an 8 m2 scale were carried out to establish the biomass concentration range that yields the highest areal productivity. Subsequently, semi-continuous and continuous processes at various biomass concentrations were performed, and the effect of nutrient feed rate on the process performance in these operating modes was investigated.

3.1.1. Batch Operation

Batch production of microalgal biomass in a TLC photobioreactor on an 8 m2 scale was carried out in triplicate, and the average values of these, as well as the standard deviations, are presented in Figure 3a–c. In these experiments, medium nutrients were supplied as a concentrated solution additionally over the whole process to avoid nutrient depletion in the medium and to keep the urea concentration at 0.5–1.5 g L−1, resulting in an average nutrient feed rate ( r f , a v e ) of 1.4–1.6 × ASW per day.
As seen in Figure 3a, an average CDW concentration of 44.6 g L−1 (±2.0) was reached after 17 days. Using the same setup under nutrient-replete conditions, Apel et al. [14] reported achieving a CDW concentration of 38–42 g L−1 in the same time frame, after which the microalga growth stagnated, reaching a maximum of 50 g L−1 CDW concentration after 24 days. Similarly, under the same conditions, Schädler et al. [7] documented a CDW concentration of 30 g L−1 after 14 days of batch operation. Both of these reports are very consistent with the biomass concentration achieved in batch mode in this study.
The maximum integral areal productivity of 17.8 g m−2 d−1 (±1.8) was reached on day 11 and was maintained until day 17, after which the productivity started to drop (Figure 3b). This value is very similar to 15–18 g m−2 d−1 documented by Apel et al. [14], who stated that the maximum integral areal productivity in a batch process was achieved after 9 days, maintained until day 16, and declined after that until the end of the process, which was also observed in this study. Furthermore, the maximum areal integral productivity was recorded in a CDW concentration range of 29.2–44.6 g L−1.
Schädler et al. [7] suggested that keeping the TA in the microalgae suspension below 500 ppm would prevent a decrease in CO2 fixation efficiency over time. They reported a 20–30% increase in CO2 fixation efficiency in a TLC photobioreactor with an 8 m2 surface area, achieving a stable 84% for one week when the TA was maintained below 500 ppm. Therefore, the TA was controlled by an intermittent addition of sulfuric acid in all experiments in this study. Despite the manual TA control at an average of 455 ppm (±19 ppm), the TA in the reaction medium kept increasing until the end, reaching 628 ppm (±60 ppm) towards the end of the batch process. Figure 3c shows the average CO2 fixation efficiency achieved in microalgal biomass production on batch mode, reaching a maximum of 80% (±6%) on day 11, simultaneously with the maximum biomass productivity. A correlation between the time of the decline in CO2 fixation efficiency and an increase in TA was observed in all processes, verifying the statement by Schädler et al. [7].

3.1.2. Semi-Continuous Operation

Semi-continuous microalgal biomass production was investigated with various daily starting CDW concentrations ranging from 8.0 to 20.0 g L−1. The goal was to determine if a higher maximum of integral areal productivity can be achieved and sustained over a more extended time period compared to the batch operation. Figure 3d–f shows the results of this experimental series with four separate experiments in a semi-continuous mode. After an initial batch phase to achieve the target biomass concentration, the daily starting CDW concentration during semi-continuous operation was maintained at different set-points of 8 g L−1, 12 g L−1, 13 g L−1, and 20 g L−1. The amount of medium nutrients supplied was adjusted to keep the urea concentration at 0.5–1.5 g L−1, which resulted in an average nutrient feed rate ( r f , a v e ) of 1.5–2.2 × ASW per day in all experiments. The duration of the batch phase varied, lasting 10 days for the experiment, with a daily starting CDW concentration of 8 g L−1 and 13–14 days for the others, as shown in Figure 3d. Throughout the semi-continuous operation, the integral areal productivity continuously increased in all cases, as depicted in Figure 3e. In experiments with a similar daily starting biomass concentration of 8–13 g L−1 CDW, the areal productivity reached 11.3–13.8 g m−2 d−1, displaying no significant difference. The maximum areal productivity of 21.1 g m−2 d−1 was achieved with the highest CDW concentration, 20 g L−1.
As expected, the areal productivity of microalgal biomass production in TLC photobioreactors depends very much on the CDW concentration. In semi-continuous processes operated at a CDW concentration range of 8–25 g L−1, areal productivity was generally higher for higher CDW concentrations in the investigated range. Compared to batch mode, areal productivity improved from a range of 17–19 g m−2 d−1 to a range of 20–21 g m−2 d−1, using semi-continuous operation without any sign of productivity decline until the end of the process after 24 days. It has already been suggested in the literature that higher integral areal productivity can be achieved with a semi-continuous operational mode compared to batch mode. He et al. [28] reported that switching to a semi-continuous operation increased areal productivity by 35–88% compared to the batch process in a 200 m2 open raceway pond with Chlorella and Monoraphidium species. Similarly, Yadav et al. [29] stated that switching from batch to semi-continuous operation increased areal productivity from 3.3 g m−2 d−1 to 11.5 g m−2 d−1 in outdoor raceway ponds with Chlorella vulgaris. Thus, a productivity increase of up to 4 g m−2 d−1 achieved in this study with M. salina, corresponding to a 24% increase compared to the batch operation, conforms with the literature.
Figure 3f shows the change in CO2 fixation efficiency over the process time in the semi-continuous experiment series. With a CDW concentration of 8 g L−1 and 13 g L−1, the initial CO2 fixation efficiency was slightly higher than the rest due to a difference in inoculation conditions. In these experiments, the TA was at 546–557 ppm on average; however, it stayed around 700 ppm for one week during the batch phase. The maximum CO2 fixation efficiency reached in these processes was 62% for a CDW concentration of 8 g L−1 and 71% for 13 g L−1 CDW. Although the CO2 fixation efficiency kept increasing throughout these experiments and did not reach a final value, it should be mentioned that the TA has also declined over the process time, presumably having a positive effect on the CO2 fixation efficiency. On the other hand, in the experiments with daily starting CDW concentrations of 12 g L−1 and 20 g L−1 maintained at an average TA of 402–403 ppm, maximum CO2 fixation efficiencies of 84% and 89% were achieved, respectively. These values indicate that the biomass concentration has a slight positive effect on the CO2 fixation efficiency. Nonetheless, the influence of TA is much more significant than that of biomass concentration since decreasing the TA from 557 ppm to 417 ppm in a semi-continuous process with 12–13 g L−1 CDW concentration caused an increase in CO2 fixation efficiency by 13%, whereas an increase in the CDW concentration to 20 g L−1 at a constant average TA of 402–403 ppm increased the efficiency only by 5%.

3.1.3. Continuous Operation

In order to determine whether the areal productivity and CO2 fixation efficiency of biomass production with M. salina can be further improved using a continuous operating mode compared to the semi-continuous operation, two experiment series were carried out in continuous mode in TLC photobioreactors on an 8 m2 scale. The first one investigated the variation in the dilution rate at a constant nutrient feed rate, while the other examined the variation in the nutrient feed rate at a constant dilution rate among the experiments.
Continuous processes began the same way as batch processes, and the switch to continuous operation was started after the microalgae suspension reached the desired biomass concentration, which was estimated based on the selected dilution rate since the dilution rate is equal to the biomass growth rate in a continuous process at steady state. After that, a concentrated feed medium in an external feed tank was continuously supplied to the reactor. A microalgae suspension was pumped into an external collection tank only for 12 h every day, from 7 a.m. to 7 p.m., to avoid washing out of the cells at night when the cell growth was minimal due to the lack of light supply. The volumetric flow rate of the outlet stream in these 12 h was set to twice that of the inlet stream so that the daily harvested suspension volume equaled the daily feed medium volume supplied to the reactor. Hence, the dilution rate specified for each experiment is a daily average.
In the first series of experiments for continuous biomass production with M. salina, the dilution rate varied between 0.075 and 0.200 d−1, while the nutrient feed rate was set to 2.5 × ASW per day for all experiments. In the process with a dilution rate of 0.200 d−1, a steady state was observed after two times the mean hydraulic residence time. In all the remaining experiments, no significant change in the biomass concentration was observed after one mean hydraulic residence time in continuous operation, so a steady state was presumed after that point.
Figure 4a shows the course of the CDW concentration with various dilution rates at a constant nutrient feed rate of 2.5 × ASW per day in continuous operation. With dilution rates of 0.075 d−1, 0.100 d−1, 0.150 d−1, and 0.200 d−1, the average CDW concentrations recorded at steady state were 35.9 g L−1, 31.5 g L−1, 24.4 g L−1, and 14.9 g L−1, respectively. As anticipated, the biomass concentration achieved in continuous operation at a steady state was inversely proportional to the dilution rate.
The lowest average integral areal productivity of 14.8 g m−2 d−1 was measured in the continuous process with a dilution rate of 0.200 d−1, resulting in the lowest steady-state CDW concentration of 18.1 g L−1. Decreasing the dilution rate to 0.100–0.150 d−1, and thus increasing the steady-state CDW concentration to 24.4–31.5 g L−1, the integral areal productivity was improved to 22.6–22.9 g m−2 d−1 on average at steady state (Figure 4b). On the other hand, decreasing the dilution rate further to 0.075 d−1, resulting in an average steady-state CDW concentration of 35.9 g L−1, led to a slight drop in biomass productivity to 21.3 g m−2 d−1, which can be considered insignificant. Nevertheless, the areal productivity was improved slightly to 23 g m−2 d−1 using a continuous operating mode compared to 17–19 g m−2 d−1 and 20–21 g m−2 d−1 achieved on batch and semi-continuous modes of operation. However, it must be noted that the nutrient feed rate applied in these continuous processes ( r f = 2.5 × ASW per day) was a bit higher than in the semi-continuous processes ( r f , a v e = 1.5–2.2 × ASW per day), which is anticipated to affect the process productivity.
Figure 4c shows the change in CO2 fixation efficiency over the course of these continuous processes operated at different dilution rates. In all cases, the TA was kept below 585 ppm via the manual addition of sulfuric acid, with an average between 309 and 420 ppm for all experiments. Interestingly, apparent CO2 fixation efficiencies slightly over 100% were measured temporarily in some cases, probably due to a combination of the noise in the CO2 flow rate measurement and the slight imprecision of the biomass concentration measurements. However, the values stabilized towards the end of each process. In continuous processes with dilution rates of 0.075 d−1, 0.100 d−1, 0.150 d−1, and 0.200 d−1, the average CO2 fixation efficiency recorded at steady state was 91%, 98%, 75%, and 89%, respectively. The results suggest that the CO2 fixation efficiency correlates with areal productivity. Only in the continuous process with a dilution rate of 0.150 d−1, the manual TA control was not as successful as in the other cases, leading to an increased TA level above 450 ppm for the last two weeks and thus the lowest CO2 fixation efficiency measured in this series. Nonetheless, it was demonstrated that a higher CO2 fixation efficiency of 98% can be achieved in a continuous operating mode compared to 80% and 89% reached in batch and semi-continuous modes of operation, respectively.
In a further experiment for continuous biomass production with M. salina, the dilution rate was kept at 0.150 d−1, while the nutrient feed rate was increased from 2.5 × ASW per day to 3.0 × ASW per day by increasing the nutrient concentration factor of the feed stream ( C F ) from 16.7 to 20.0. Similarly to the previous experiments, a steady state was observed after one mean hydraulic residence time. In the continuous process with a higher nutrient feeding rate, at steady state, a CDW concentration of 24.0 g L−1 and an integral areal productivity of 22.2 g m−2 d−1 were recorded, which are very similar to the results of the reference process, as shown in Figure 4d,e. However, increasing the nutrient feed rate from 2.5 to 3.0 × ASW per day led to an increase in the CO2 fixation efficiency (Figure 4f). Despite the average TA being very similar between the two processes (403–420 ppm), with a higher nutrient feed rate, the average CO2 fixation efficiency reached 99%, showing an increase by 24% compared to the experiment with the lower nutrient feed rate.
In Section 3.1.2, it was demonstrated in a semi-continuous process that increasing the average nutrient feed rate from 1.8 to 2.8 × ASW per day results in a higher areal productivity but makes almost no difference in the CO2 fixation efficiency. This might suggest that an increase in the nutrient feed rate positively affects biomass productivity at low nutrient concentrations due to the nutrient-limited growth of the microalgae. However, when the nutrient concentration is so high that the microalgae grow without nutrient limitation, a further increase in the nutrient feed rate might contribute to a higher CO2 fixation efficiency. Since the urea-containing feed medium is acidic, a higher feed supply to the microalgae suspension under nutrient-replete conditions might contribute to a reduced TA of the reaction medium and thus positively affect the CO2 fixation efficiency.

3.2. Scale-Up of Microalgal Biomass Production to 50 m2 Scale

The TLC reactor scale-up was carried out previously by Apel et al. [25], who described the methodology in detail, which was also employed by Schädler et al. [18] to investigate microalgal oil production on a pilot scale. This study focused on the scale-up of the microalgal biomass production using different modes of operation and also evaluated the CO2 fixation efficiency on the pilot-scale TLC reactor with a 50 m2 channel surface area.
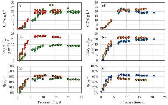
The scale-up of the batch process to the TLC photobioreactor with a 50 m2 surface area was carried out successfully, as shown in Figure 5, with reference to the batch process on the 8 m2 scale. The manual supply of the concentrated nutrient solution to keep the urea concentration at 0.5–1.5 g L−1 resulted in an average nutrient feed rate of 1.6 × ASW per day. Although the average nutrient feed rate was the same on both scales, microalgal growth was slower on the pilot scale, reaching a final CDW concentration of 29.3 g L−1 after 15 days, while this took only 11 days on the 8 m2 scale. The experiment was terminated after 13 days, which is shorter than the reference experiment duration. Nonetheless, it was possible to observe that the maximum integral areal productivity of 13.6 g m−2 d−1 was reached after 11 days, similarly to the batch processes on the 8 m2 scale, but at a lower CDW concentration of 23.7 g L−1. As anticipated, the productivity started to decline after this point. Even though the timing for peak areal productivity was consistent across both scales, the maximum areal productivity achieved dropped by 4.2 g m−2 d−1 on the pilot scale. In the pilot-scale batch process, the TA was maintained below 515 ppm via a periodic addition of sulfuric acid, with an average of 359 ppm throughout the experiment. Similarly to the batch process on the 8 m2 scale, the maximum CO2 fixation efficiency achieved was 82%.
Two experiments were carried out to scale up the semi-continuous biomass production with M. salina to the pilot scale in the TLC PBR with 50 m2 surface area, as illustrated in Figure 6a–c. In both cases, the daily starting CDW concentration in the semi-continuous phase was kept at 18.5 g L−1, while the average nutrient feed rates were adjusted differently, namely to 1.8 × ASW per day (green) and 2.8 × ASW per day (red) on average. As can be seen in Figure 6a, with a lower nutrient feed rate, the batch phase took longer, namely 13 days, compared to the 7 days with the higher feed rate. However, this is also partly due to a technical issue with the LED lights, which caused the light supply to be cut off completely for a whole day on day 5 of the experiment with the lower feed rate.
Microalgal biomass production in semi-continuous operational mode on the pilot scale was first performed with a daily starting CDW concentration of 18.5 g L−1 and an average nutrient feed rate of 1.8 × ASW per day. During semi-continuous operation, an average integral areal productivity of 14.3 g m−2 d−1 and an average CO2 fixation efficiency of 52% were recorded. Both of these values are below the process performance of a semi-continuous process on the 8 m2 scale performed under similar conditions, with a CDW concentration of 20.4 g L−1, that achieved a productivity of 19.5 g m−2 d−1 and 87% CO2 fixation efficiency.
Since the nutrient feed rate proved to influence the process productivity, another scale-up experiment was carried out with the same daily starting CDW concentration of 18.5 g L−1 but a higher average nutrient feed rate of 2.7 × ASW per day. With this nutrient feed rate, the estimated urea concentration in the microalgae suspension was sustained between 0.3 and 3.1 g L−1 at all times, with an average of 1.0 g L−1 over the whole process. In this experiment, an average integral areal productivity of 22.6 g m−2 d−1 and an average CO2 fixation efficiency of 63% were achieved, both of which are significantly improved compared to the previous process with a lower nutrient feed rate. The influence of the feed rate on integral areal productivity is evident in Figure 6b. Hence, it is concluded that higher productivity can be reached by increasing the nutrient feeding rate, most likely to a sufficient level to prevent nutrient limitation. High ammonia concentrations in the cultivation medium can be toxic for microalgae, meaning that the urea concentration should be kept in a particular range that allows the fast growth of microalgae without nutrient limitation, as well as without causing ammonia intoxication. Nonetheless, the CO2 fixation efficiency stayed much lower in processes on the 50 m2 scale, namely around 25–30% less than on the 8 m2 scale (Figure 6c), even with a higher nutrient feed rate.
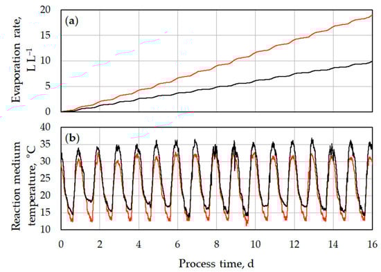
The lower CO2 fixation efficiency on the pilot scale should not result from a lower TA than the semi-continuous processes on the 8 m2 scale since the TA was kept below 450 ppm in both scale-up experiments. There is, however, a technical difference on the pilot scale TLC photobioreactor with a 50 m2 surface area: the volumetric ratio of the microalgae suspension falling freely from the reactor channels into the retention tanks to the total liquid volume inside the reactor is smaller than on the 8 m2 scale. This results in a lower evaporation rate in the pilot-scale reactor, which is considered an advantage since it reduces the freshwater consumption required for the reactor operation. However, it also leads to slightly higher temperatures of the microalgae suspension in the pilot-scale TLC photobioreactor operated under the same climate conditions as an 8 m2 TLC reactor. This is illustrated in Figure 7, which compares two semi-continuous processes in TLC photobioreactors on different scales. In this example, the process on the 8 m2 scale had a mean volume-specific evaporation rate of 1.2 L L−1 d−1, whereas it was 0.6 L L−1 d−1 on the 50 m2 scale (Figure 7a).
Consequently, the mean temperature of the microalgae suspension was higher on the pilot scale (24.4 °C) than on the 8 m2 scale (22.3 °C), with the most significant temperature differences up to 5 °C observed during the highest irradiation periods at midday and the cool-down periods overnight (Figure 7b). The maximum temperature achieved at midday during microalgae cultivation was 34 °C in the 8 m2 TLC reactor, whereas it reached 37 °C on the pilot scale. This seemingly small temperature difference is significant for the cultivation of M. salina, since the optimal temperature for the growth of this strain lies around 26–28 °C, with a sharp decrease in growth rate at temperatures above 30 °C and no growth above 35 °C [15,30]. Higher temperatures of the microalgae suspension would also mean a lower gas solubility and a shift in the distribution of the dissolved organic carbon (DIC) species in water by affecting the carbonic acid dissociation constants [31]. Hence, higher temperatures of the reaction medium might be the reason for lower CO2 fixation efficiency on the pilot scale.
For continuous microalgal biomass production on the 8 m2 scale, a dilution rate between 0.100 and 0.150 d−1 yielded the highest productivity. Hence, for the scale-up of continuous biomass production to pilot scale, the process with a dilution rate of 0.150 d−1 and a nutrient feed rate of 2.5 × ASW per day was selected as the reference. Figure 6d–f show the results of this scale-up experiment (orange marks). After a batch phase of almost 7 days, continuous operation started, and after one mean residence time, a steady state was observed. An average CDW concentration of 22.5 g L−1 was reached at steady state, which is only marginally lower than the 24.4 g L−1 recorded on the 8 m2 under the same operating conditions. The average integral areal productivity recorded at steady state was 21.5 g m−2 d−1, which is very similar to the 22.6 g m−2 d−1 reached in the reference experiment on the 8 m2 scale. An average CO2 fixation efficiency of 48% was achieved in continuous operation on the pilot scale, which was 27% lower than on the 8 m2 scale, which was also the case for the semi-continuous process scale-up.
Since previous experiments on both scales showed that increasing the nutrient feed rate has a positive influence on CO2 fixation efficiency, another pilot-scale process was performed with a dilution rate of 0.175 d−1 and a nutrient feed rate of 3.5 × ASW per day, which is depicted in Figure 6d–f (blue marks). After a batch phase of 8 days, continuous operation was started, and a steady state was observed after one mean residence time. At steady state, the CDW concentration was 19.1 g L−1 on average, and an average integral areal productivity of 19.6 g m−2 d−1 was achieved, both slightly lower than with a dilution rate of 0.150 d−1, as anticipated. Nevertheless, the average CO2 fixation efficiency was improved by 17% to 65% compared to the first scale-up experiment (Figure 6f). Since the dilution rate was shown to not have a significant effect on the CO2 fixation efficiency and the TA was maintained at 380–400 ppm on average in these processes, the increase in the CO2 fixation efficiency was attributed to the increase in the nutrient feed rate, from 2.5 to 3.5 × ASW per day. However, a CO2 efficiency of 65% is still much lower than the 98% accomplished in continuous processes on the 8 m2 scale.
In the scale-up experiment with a dilution rate of 0.150 d−1 and a nutrient feed rate of 2.5 × ASW per day, an average urea concentration of 0.52 g L−1 was measured in the microalgae suspension at steady state continuous operation. On the other hand, with a dilution rate of 0.175 d−1 and a higher nutrient feed rate of 3.5 × ASW per day, the urea concentration measured was 0.90 g L−1 on average at steady state and 1.44 g L−1 at maximum throughout the experiment. The urea concentration stayed above 0.35 g L−1 in both processes at all times.

3.3. Effect of pH

pH is one of the most important parameters in microalgae cultivation due to its effect on the distribution of DIC species. For water under standard conditions at pH 8.5, the fraction of CO2 in the total DIC content is below 1%, while bicarbonate fraction equals 95% [32]. This is favorable for open microalgae culturing systems, since many algae possess an active transport system for both CO2 and bicarbonate [33], but the latter cannot escape to the atmosphere. While the pH determines their distribution, the absolute concentrations of individual DIC species depend on TA, which is the acid neutralization capacity of water based on its negatively charged ion content consisting mostly of carbonates. Hence, the combined effects of pH and TA greatly influence the CO2 availability for microalgae in a suspension and the CO2 uptake capacity of the reaction medium.
The influence of pH on microalgal biomass production in TLC reactors was investigated in a series of experiments in semi-continuous mode at various pHs, ranging from pH 7.5 to pH 8.5. Figure 8a shows the results of six experiments carried out in TLC photobioreactors with a similar daily starting CDW concentration between 18 and 20 g L−1 but at different pHs on both scales. On the 8 m2 scale, increasing the pH from pH 7.5 to pH 8.0 led to a significant increase in the CO2 fixation efficiency by 30%, from 38% to 68%. A further increase to pH 8.5 had a less significant impact, increasing the CO2 fixation efficiency to 81%. As noted in previous experiments, the CO2 fixation efficiency was lower on the pilot scale than on the 8 m2 scale at the same pH. Still, a positive correlation between pH and CO2 fixation efficiency was observed also on the 50 m2 scale. On the pilot scale, a pH increase from pH 8.0 to pH 8.5 increased the CO2 fixation efficiency by 30%, from 29% to 59%. Thus, it was demonstrated that the CO2 fixation efficiency increases with the increasing pH in TLC photobioreactors on both scales in the examined pH range.
Figure 8b shows the mean integral areal productivity in these semi-continuous processes operated at the same daily initial biomass concentration but at different pHs on both scales. The data labels on the diagram indicate the average nutrient feed rate as a factor ( F ) of the nutrient concentration in the ASW medium per day. The TA measured throughout these experiments ranged between 225 and 655 ppm, with an average TA below 487 ppm (9.7 mM) in each process. The results indicate that the areal productivity is only marginally affected by the pH. With the pH increasing from pH 7.5 to pH 8.0 at the same nutrient feed rate, the integral areal productivity exhibited only a slight gain by 1.4 g m−2 d−1 on the 8 m2. Likewise, a pH increase from pH 8.3 to pH 8.5 increased the mean productivity by only 0.4 g m−2 d−1, which is insignificant. On the other hand, increasing the nutrient feed rate at a similar pH (pH 8.0–8.3) led to a more remarkable increase in the areal productivity, namely by 8.0 g m−2 d−1 on the 8 m2 scale.
Similarly, on the pilot scale, a pH increase from pH 8.0 to pH 8.5 increased the integral areal productivity only by 3.4 g m−2 d−1. As already observed in previous experiments, productivity and CO2 fixation efficiency were lower on the 50 m2 scale than on the 8 m2 scale under the same conditions. Still, process performance was the highest in operation at pH 8.5 within the investigated pH range in both cases.
The literature indicates that the optimal pH range for M. salina is between pH 7.5 and pH 8.0 [15,34]. Surprisingly, the highest biomass productivity was achieved at pH 8.5, surpassing the reported optimal range. Since biomass productivity depends on biomass concentration, as well as growth rate, the data suggest that, at a constant biomass concentration, M. salina has a higher pH optimum when cultivated in TLC photobioreactors. Due to the effect of pH on the distribution of DIC species, it was already anticipated that the highest CO2 fixation efficiency would be reached at pH 8.5. Also, the effect of a pH increase from pH 8.0 to pH 8.5 was much more remarkable on the pilot scale than on the 8 m2 scale. This raises the question of whether a further increase in the pH on the pilot scale would further improve the CO2 fixation efficiency. As shown in Figure 7b, the average temperature of the microalgae suspension under the same climate conditions is higher in TLC bioreactors on the pilot scale than on the 8 m2 scale. It is known that temperature affects the DIC balance in water, with the dissociation constants of carbonic acid increasing with the rising temperature [31]. Thus, it is possible that increasing the pH further above pH 8.5 would further enhance the CO2 fixation efficiency. However, it should be noted that pH 8.5 is already above the optimal range for M. salina growth, and a further increase in pH could drastically reduce the areal productivity.

3.4. Effect of Automated Switch-Off of the Circulation Pumps Overnight

Energy consumption for the circulation of microalgae suspension makes up the largest portion of the process costs for microalgae cultivation in open TLC reactors. To reduce the energy consumption of microalgal biomass production, a switch-off of the circulation pumps overnight from 8 p.m. to 6 a.m. was implemented. During this period, the mixing of the algae suspension in the reactor’s retention tanks was achieved solely through the agitation created by aerating the suspension with pressurized air.
First, two batch processes were carried out on the 8 m2 scale with and without the automated pump switch-off mechanism to examine the effect of the intermittent pump operation on microalgal biomass production. The results are presented in Figure 9a–d. The automated mechanism functioned successfully throughout the process, as seen in Figure 9d, showing the flow rate through the circulation pumps. In both cases, the average nutrient feed rate was between 2.0 and 3.0 × ASW per day. The CDW concentration achieved very similar values of 34.2 g L−1 and 33.5 g L−1 in both processes after 12 days, as seen in Figure 9a. Likewise, a final integral areal productivity of 19.0 g m−2 d−1 was recorded in the process with overnight switch-off of the circulation pumps, which is very close to the 19.5 g m−2 d−1 achieved with continuous pump operation (Figure 9b). Thus, it is concluded that the automated switch-off of the circulation pumps overnight does not affect microalgal growth or biomass productivity.
The CO2 fixation efficiency was initially higher with the pump switch-off mechanism; however, it kept increasing in the reference process with a continuous circulation of the suspension, achieving the same 67% in both processes after 7 days (Figure 9c). Thereafter, CO2 fixation efficiency started to decline in the process with the pump switch-off mechanism, reaching an average of 55% on the last day. On the other hand, with continuous circulation pump operation, the CO2 fixation efficiency was stable until the end of the process, reaching a final daily average of 68%. The relatively lower CO2 fixation efficiency in both processes should be considered normal since the TA was not controlled in these experiments. However, the difference in CO2 fixation efficiency was observed first after day 9 above a CDW concentration of 20 g L−1. Hence, it cannot be deduced from these results whether the drop in CO2 fixation efficiency occurs only at high biomass concentrations or is an ultimate effect of the pump switch-off overnight.
To investigate how the intermittent pump operation affects the process performance of microalgal biomass production on the 50 m2 scale, an experiment in continuous operation mode was performed with the automated switch-off of the circulation pumps overnight. For this, the final optimized continuous process on the 50 m2 scale with a dilution rate of 0.175 d−1 and a nutrient feed rate of 3.5 × ASW per day was used as a reference. Figure 9e–h shows the results of this experiment with the automated pump switch-off on the pilot scale, together with the reference process.
The batch phase took around 8 days in both experiments. After reaching the desired biomass concentration, the continuous operation was started with a dilution rate of 0.175 d−1 and 20-times-concentrated ASW medium ( C F = 20) as the feed medium, corresponding to a nutrient feed rate of 3.5 × ASW per day. A steady state was observed after one mean hydraulic residence time. An average CDW concentration of 19.3 g L−1 and an average integral areal productivity of 20.7 g m−2 d−1 were recorded at the steady state, both very similar to the reference experiment, with 19.1 g L−1 and 19.6 g m−2 d−1 (Figure 9e,f). This means that the microalgal growth and areal productivity are not noticeably affected by the switch-off of the circulation pumps overnight, as already demonstrated in batch processes on the 8 m2 scale.
On the other hand, as shown in Figure 9g, CO2 fixation efficiency went down by 21% with the intermittent pump operation on the pilot scale, from 65% to 44%, even though the TA was kept successfully below 520 ppm throughout the experiment, with an average of 374 ppm. The drop in the CO2 fixation efficiency could result from an insufficient mixing of the algae suspension overnight, which was accomplished by gassing with pressurized air at only one location at the bottom of each retention tank. Thus, the drop in CO2 fixation efficiency could probably be diminished by better mixing of the microalgae suspension overnight in the retention tanks. This could be realized, for instance, via a pressurized air supply through a perforated floor mat system covering the whole bottom area of the retention tanks, or minimal agitation by a mechanical mixer part with low energy consumption. None of these options could, however, be investigated in this study due to the difficulty of making the necessary technical changes to the TLC photobioreactor.
An advantage of switching off the circulation pumps overnight, besides the reduction of the energy consumption, is decreasing the water evaporation rate in the TLC photobioreactor. Figure 9h shows the volume-specific water evaporation over time in both processes. By limiting the operation of the circulation pumps to only 14 h during daytime, the water evaporation rate in the pilot-scale TLC reactor decreased by 44%, from 0.68 L L−1 d−1 to 0.38 L L−1 d−1. Implementing an automatic pump switch-off mechanism in TLC photobioreactors for industrial-scale application would bring considerable financial benefits, decreasing the usage of freshwater by 44% and reducing the energy consumption by the circulation pumps by 40%, as demonstrated in this study.
The electrical power input ( P e l ) required for the circulation of the microalgae suspension per unit TLC reactor surface area ( A ) can be calculated from the hydraulic power input ( P h y d ) as follows:
P e l · A 1 = P h y d · A · η 1 = V ˙ · ρ · g · H · A · η 1 ,
where η is the pump efficiency, V ˙ is the volumetric flow rate, ρ is the density of the suspension, g is the gravitational acceleration, and H is the pump height. Assuming a suspension density of 1.025 kg L−1, similar to seawater, with the earth’s gravitational acceleration at 9.832 m s−2 and an 80% circulation pump efficiency [35], the electrical power input is estimated to be 1.57 W m−2 for the 50 m2 pilot-scale TLC reactor with two circulation pumps with a pump height of 65 cm each. A 40% reduction in the hydraulic power input required for reactor operation would decrease the required electrical power input to 0.63 W m−2. Moreover, the energy requirement would be much lower for an industrial-scale TLC reactor, since the ratio of volumetric flow rate to reactor surface area ( V ˙ / A ) would be minimized by adjusting the channel length and width accordingly.

3.5. Comparison between Modes of Operation and Optimal Conditions

Several experimental series were carried out to identify the best operational mode and the ideal conditions for microalgal biomass production with M. salina in open TLC photobioreactors. The main objective was to maximize biomass productivity and CO2 fixation efficiency. These series involved one batch, four semi-continuous, and eight continuous processes on an 8 m2 scale. Eventually, one batch, two semi-continuous, and two continuous processes were scaled up to a pilot scale in the TLC reactor with a 50 m2 surface area. This section provides a summary of these studies and compares their performances to identify the ideal operating conditions.
In the batch process on an 8 m2 scale, the maximum integral areal productivity and CO2 fixation efficiency recorded were 17.8 g m−2 d−1 and 80%, respectively, at a CDW concentration of 29.2 g L−1 after 11 days. The daily areal productivity varied from 21.0 g m−2 d−1 to 25.2 g m−2 d−1 on this day among the triplicate experiments. Both areal productivity and CO2 fixation efficiency declined 6 days after reaching their maximum. Table 3 summarizes the key figures of the batch processes in this study, together with the batch phases of two continuous experiments with higher nutrient feed rates and literature reports for comparison. The data suggest that increasing the nutrient feed rate from 1.6 × to 2.8–3.5 × ASW per day significantly increases the areal productivity. The main issue with the batch operation mode, apart from the low areal productivity, is that the maximum productivity and efficiency achieved are limited to only a couple of days, corresponding to only 30% of the total operation time, which makes it unsuitable for an industrial-scale production facility. For this reason, only semi-continuous and continuous modes of operation are considered for microalgal biomass production on an industrially relevant scale.
Figure 10 outlines the key figures of semi-continuous processes for biomass production in TLC photobioreactors on an 8 m2 scale. In semi-continuous mode, the daily starting CDW concentration varied in a range from 8 g L−1 to 21 g L−1 between the experiments. For the productivity comparison, the daily areal productivity was averaged over the whole semi-continuous operation time. The results demonstrate that the daily areal productivity increases with the growing CDW concentration within the investigated range. CO2 fixation efficiency, on the other hand, is not noticeably affected by biomass concentration but is very strongly influenced by the TA. An average TA of over 10 mM in a semi-continuous process directly correlates with a sharp drop of CO2 fixation efficiency by 15–20% compared to other processes with a TA below 10 mM. Among all the semi-continuous processes presented in Figure 10, the maximum average daily areal productivity of 24.9 g m−2 d−1 and the maximum CO2 fixation efficiency of 87% were achieved in the same process, with a daily starting CDW concentration of 20.4 g L−1, which is noted as the best-performing semi-continuous process in this experiment series.
Figure 11 summarizes all continuous processes carried out in this study for biomass production in TLC photobioreactors on an 8 m2 scale. For a productivity comparison, the daily areal productivity was averaged over the steady-state continuous operation time. Figure 11a illustrates the results of the experiment series, in which the dilution rate was varied between experiments using the same nutrient feeding rate of 2.5 × ASW per day. As anticipated, the biomass concentration achieved at steady state was inversely proportional to the dilution rate. The highest average daily areal productivity of 24.8 g m−2 d−1 was reached with a dilution rate of 0.150 d−1 at an average CDW concentration of 24.6 g L−1. However, these conditions also resulted in a CO2 fixation efficiency of 77%, which is the lowest recorded in this experiment series. Repeating this process with a higher nutrient feed rate of 3.0 × ASW per day not only successfully improved the CO2 fixation efficiency to 98% but also slightly increased the daily areal productivity. Therefore, another experiment series for continuous biomass production with higher nutrient feed rates was conducted subsequently.
Figure 11b shows the results of the experiment series in continuous mode, in which the dilution rate was varied using 20-times-concentrated ASW medium as the feed medium, meaning that the nutrient feed rate increased with the increasing dilution rate. This corresponds to a nutrient feed rate of 3.0 ×, 3.5 ×, 4.5 ×, and 5.0 × ASW per day for the dilution rates of 0.150 d−1, 0.175 d−1, 0.225 d−1, and 0.250 d−1, respectively. The detailed results of this experiment series are given in Supplementary Figure S2. With a dilution rate between 0.150 and 0.225 d−1 and a nutrient feed rate of 3.0–4.5 × ASW per day, the average daily areal productivity ranged between 25.9 and 27.1 g m−2 d−1, and a CO2 fixation efficiency of 98–100% was achieved. With a further increase in the dilution rate to 0.250 d−1 and a nutrient feed rate of 5.0 × ASW per day, the average daily areal productivity and CO2 fixation efficiency declined to 19.8 g m−2 d−1 and 80%, respectively. Nevertheless, the best results were achieved in the continuous process, with a dilution rate of 0.175 d−1 and a CDW concentration of 22.2 g L−1, achieving an average daily areal productivity of 27.1 g m−2 d−1 and a CO2 fixation efficiency of 100%.
Comparing the results of semi-continuous processes to the continuous processes indicates that, in both production modes, the highest areal productivity is reached at a similar CDW concentration of 20–24 g L−1. The highest mean daily areal productivity recorded was the same in continuous and semi-continuous processes on the 8 m2 scale, namely 27 g m−2 d−1. There was, however, a remarkable difference in the highest mean CO2 fixation efficiency achieved, which was 88% and 100% in semi-continuous and continuous processes, respectively. Thus, in TLC photobioreactors with an 8 m2 surface area, the continuous operating mode exhibited a better performance for microalgal biomass production with M. salina.
Finally, the best-performing process on each operating mode was transferred to the pilot scale in a TLC reactor with a 50 m2 surface area. The key performance indicators of these pilot-scale processes are depicted in Figure 12. The batch process on the pilot scale achieved a maximum daily areal productivity of 17.7 g m−2 d−1 and CO2 fixation efficiency of 82%, respectively, at a CDW concentration of 23.3 g L−1 after 11 days. Also, the integral areal productivity reached its peak at 13.7 g m−2 d−1 on this day and declined after that.
As shown in Figure 12, the mean daily areal productivity achieved in both semi-continuous and continuous processes under similar conditions on the pilot scale was 21 g m−2 d−1, around 6 g m−2 d−1 lower than on the 8 m2 scale. Similarly, the mean CO2 fixation efficiency was very similar between the two operating modes, with the efficiency on the continuous mode being slightly higher, i.e., 62%. These results suggest that the most suitable mode of operation for microalgal biomass production on a pilot scale is continuous. Nonetheless, it should be noted that both CO2 fixation efficiency and areal productivity are lower for biomass production on the 50 m2 scale in comparison to the 8 m2 scale. Especially the maximum CO2 fixation efficiency achieved presents the most significant difference, being 34% lower on the pilot scale compared to the 100% reached on the 8 m2 scale. Table 4 summarizes the best results of the semi-continuous and continuous processes in this study, together with the literature values for comparison.
Table 5 summarizes the optimal conditions determined to achieve a mean daily areal productivity above 26 g m−2 d−1 and an average CO2 fixation efficiency above 90% consistently in TLC photobioreactors with an 8 m2 surface area. On the pilot scale, these same conditions guarantee an aerial productivity above 21 g m−2 d−1 and a CO2 fixation efficiency of at least 60%. Under these conditions, around 30 mL of concentrated sulfuric acid per day was required on the pilot scale to keep the TA in the range of 4–8 mM (200–400 ppm), which is crucial to obtaining a high CO2 fixation efficiency.
Ketchum and Redfield [37] demonstrated for the first time that microalgae cultivation in continuous operating mode allows biomass productivity to be kept at its highest over a more extended period than batch cultivation. This study showed that semi-continuous and continuous modes are suitable for achieving high areal productivity over 27 g m−2 d−1. However, continuous operation enabled a higher CO2 fixation efficiency of up to 100%, performing better than the semi-continuous operation in this regard. One of the most critical factors affecting CO2 fixation efficiency was shown to be the TA. Keeping the TA below 10 mM consistently yielded a CO2 fixation efficiency of over 80%, as Schädler et al. [7] suggested. Additionally, a pH of 8.5 was shown to be optimal for the cultivation of M. salina in TLC photobioreactors, although this value is above the optimal pH range of M. salina according to the literature [15,34]. Both productivity and CO2 fixation efficiency achieved under the determined optimal conditions were higher than 17.9 g m−2 d−1 productivity and 84% CO2 fixation efficiency reported in the most recent studies using the same cultivation setup in continuous mode with a dilution rate of 0.4 d−1 [7,18]. For outdoor TLC photobioreactors on larger scales, i.e., up to 2,500 L, daily areal productivities of about 10–30 g m−2 d−1 are found in the literature for Chlorella and Scenedesmus species, conforming with the values achieved in this study [36] (Table 3).
In the process scale-up to the TLC PBR with 50 m2 surface area, both areal productivity and CO2 fixation efficiency recorded under the optimal conditions remained below that on the 8 m2 scale. In particular, the maximum CO2 fixation efficiency reached on the pilot scale was 66%, 34% lower than on the 8 m2 scale. On the other hand, the maximum CO2 fixation efficiency achieved in this study on the pilot scale still competes with the literature values for comparable continuous processes in large-scale outdoor systems, such as 63% achieved in a 50 L tubular airlift PBR [38] or 70–77% reported for 100–224 m2 scale TLC reactors [11]. Moreover, to the best of our knowledge, 100% CO2 fixation efficiency achieved on the 8 m2 scale is the highest reported so far.
The water evaporation rate in the 50 m2 scale TLC photobioreactor was measured to be 0.68 L L−1 d−1, which is in accordance with the previously reported 0.65 L L−1 d−1 for the same reactor setup [14]. In order to reduce the water and energy demand of the TLC PBR operation, an automatic switch-off of the circulation pumps overnight for 10 h was implemented, diminishing the evaporation rate by 44% to 0.38 L L−1 d−1. It was demonstrated that the pump switch-off mechanism does not affect either microalgae growth or biomass productivity but causes a reduction of CO2 fixation efficiency. In addition, it was shown that this method provides around 40% savings in energy and freshwater supply costs due to the reduction of the evaporation rate in the reactor.

3.6. Microalgal Biomass Harvest

The recovery of microalgae biomass from the reaction medium and biomass dewatering are essential in microalgae processes. These steps account for a large portion of the energy consumption in microalgal biomass production and are, therefore, important in this study. Biomass harvest and dewatering took place in a single step by centrifugation, employing a dynamic settler with a spiral plate technology. Microalgal biomass harvested this way had a CDW mass fraction of 31.2% (±0.7%), corresponding to a water content of 68.8% (w/w). The separation efficiency achieved using this dynamic settler on two different scales is documented in Table 6. The settler model Evodos 10 (Evodos B.V., Raamsdonksveer, The Netherlands) has a maximum capacity of 4 kg biomass per batch with manual discontinuous harvesting between batches. Evodos 50A (Evodos B.V., Raamsdonksveer, The Netherlands) is the settler model designed for commercial use with an automated continuous harvesting system and thus without a capacity limit for the harvested biomass. In both cases, the biomass recovery efficiency was around 85%, and the biomass concentration factor was around 15, when processing a microalgae suspension with a CDW concentration of 20 g L−1.
Using a dynamic settler with spiral plate technology, it was possible to concentrate the microalgae biomass to a 31% solid content. In comparison, a solid fraction of 0.4–22.0% in the discharge is reported for other centrifugal methods, such as disc-stacked centrifuge or decanter, while solid concentrations reaching 18% with continuous and 22–27% with discontinuous methods of filtration-based dewatering operations are found in the literature [23]. Therefore, a dynamic settler with spiral plate technology proves to be the best option if the aim is the highest possible solid concentration. Nonetheless, the biomass recovery efficiency of around 85% recorded in this study is lower than the range of 95–99% stated for the spiral plate technology in the literature [24]. This was probably due to the loss of microalgae suspension at the end of each solids discharge step since the microalgae suspension inside the centrifuge drum was drained completely before each discharge. Redirecting the discharged algae suspension back into the feed tank could mitigate this loss, thereby improving the recovery efficiency.
Spiral plate technology has a high performance for microalgal biomass harvest and dewatering in general and is considered an efficient, scalable, and continuous method suited for industrial application. However, its relatively high energy requirement of 0.95–2.0 kWh m−3 should also be considered when selecting equipment depending on process requirements [24]. Continuous microalgal lipid production in TLC PBRs was reported to operate at a CDW concentration of 5–15 g L−1 [7,18]. In this study, microalgae cultivation under nutrient-replete conditions was determined to yield the highest productivity at a CDW concentration of 19–25 g L−1. Increasing the biomass concentration to be harvested from 10 g L−1 to 25 g L−1 would reduce the energy required for biomass dewatering by 2.5-fold. Considering an average energy consumption of 1.48 kWh m−3 for a centrifuge with spiral plate technology, this would correspond to a reduction of the energy requirement of biomass dewatering from 0.20 kWh per kg CDW to 0.06 kWh kg−1.

4. Conclusions

Microalgae cultivation in open TLC photobioreactors under nutrient-replete conditions allowed for a substantial improvement in biomass productivity and CO2 fixation efficiency. It was shown for the first time that continuous processes allow 100% CO2 fixation efficiency even at high areal productivities in 8 m2 TLC reactors. However, these results could not be replicated on a pilot scale, most probably due to the maximal temperatures at midday reaching 37 °C, about 3 °C higher than in the 8 m2 reactors. This issue could be circumvented by employing strategies to decrease the temperature of the microalgae suspension, for example, by selecting a climate with lower midday temperatures or by taking technical measures to allow for better cooling of the reaction medium inside the reactor. Alternatively, choosing a strain of microalgae that can withstand these elevated temperatures might be another solution.
Among the investigated modes of operation, continuous mode yielded the highest mean daily areal productivity of 27 g m−2 d−1 on the 8 m2 scale and 21 g m−2 d−1 on the 50 m2 scale. In addition to the parameter study of various operating modes, the influence of the pH on the process performance was investigated in a range of pH 7.5–8.5 of the microalgae suspension. A pH of 8.5 resulted in the highest biomass productivity and CO2 fixation efficiency, even though this pH is above the optimal range for M. salina growth.
An automated overnight switch-off of the circulation pumps was implemented successfully on both reactor scales to reduce the energy requirement of microalgae cultivation without any negative impact on biomass productivity. The intermittent pump operation resulted in, in addition to a 40% reduction in energy consumption, a reduced water evaporation rate in the open PBR, and, thus, a 44% cut down on freshwater usage. Hence, intermittent circulation pump operation was demonstrated to be a useful method to maximize the energy efficiency of microalgae cultivation processes in open pond systems.
The microalgal biomass harvest using a centrifuge with spiral plate technology allowed for an efficient concentration of the microalgal biomass by a factor of 15, yielding a thick microalgae paste with a CDW concentration of 31% (w/w). The efficiency of biomass recovery was 85%, which is lower than the 95–99% stated for this technology in the literature [24]. Nonetheless, this difference was caused primarily by the loss of microalgal suspension with each step of solids discharge due to the complete draining of the suspension left in the centrifuge drum prior to discharge. Redirecting the discharged algae suspension back into the feed tank would mitigate this loss, thereby improving recovery efficiency.
Highly concentrated microalgae biomass generated in this way could be hydrolyzed and utilized as a cultivation medium for other microorganisms to produce various bioproducts, such as microbial oils, hydrogen, ethanol, or biogas, through oleaginous or anaerobic processes with high productivity [1]. Such a process integration would make CO2 the main carbon source for the biotechnological production of these materials. M. salina biomass grown under nutrient-replete conditions has around 25% (w/w) carbohydrates and 50% (w/w) proteins [7], both of which could be converted into valuable carbon sources. This suggests that the hydrolysate produced from the concentrated biomass harvested in this work with a CDW concentration of 30% (w/w) could theoretically have an up to 60 g L−1 sugar concentration. It has already been demonstrated that microbial oil production with oleaginous yeasts using a dilute substrate with 50 g L−1 sugar concentration is feasible with high lipid productivity if a membrane bioreactor with total cell retention is employed [9,39].

Supplementary Materials

The following supporting information can be downloaded at https://www.mdpi.com/article/10.3390/pr12071303/s1, Figure S1: Correlation between OD750 and CDW concentration for Microchloropsis salina cultures grown in a nutrient-replete ASW medium in open TLC photobioreactors; Figure S2: Biomass production with M. salina in open TLC PBRs in continuous mode with the variation in dilution rate at a constant feed medium concentration on an 8 m2 scale.

Author Contributions

Conceptualization, A.K., T.B. and D.W.-B.; methodology, validation, formal analysis, and investigation, A.K., T.S., A.G., K.M., S.K., P.U., K.B. and B.H.; writing—original draft preparation, A.K.; writing—review and editing, T.B. and D.W.-B.; visualization, A.K.; supervision, D.W.-B.; project administration, T.B. and D.W.-B.; funding acquisition, T.B. and D.W.-B. All authors have read and agreed to the published version of the manuscript.

Funding

This research was funded by the German Federal Ministry of Education and Research (BMBF, Berlin, Germany), under grant number 03SF0577A.

Data Availability Statement

Data presented in this manuscript are available upon request from the corresponding author.

Acknowledgments

We also thank Ulrike Ammari and Bircan Dilki at the Analytical Department of the TUM Catalysis Research Center (CRC) for performing the elemental analysis. The support of Ayse Koruyucu and Torben Schädler by the TUM Graduate School (Technical University of Munich, Germany) is acknowledged as well.

Conflicts of Interest

The authors declare no conflict of interest. The funders had no role in the design of the study; in the collection, analyses, or interpretation of data; in the writing of the manuscript; or in the decision to publish the results.

References

  1. Gouveia, L.; Oliveira, A.C.; Congestri, R.; Bruno, L.; Soares, A.T.; Menezes, R.S.; Filho, N.R.A.; Tzovenis, I. 10-Biodiesel from microalgae. In Microalgae-Based Biofuels and Bioproducts; Gonzalez-Fernandez, C., Muñoz, R., Eds.; Woodhead Publishing: Cambridge, UK, 2017; pp. 235–258. [Google Scholar]
  2. Brenner, A.; Abeliovich, A. Water Purification: Algae in Wastewater Oxidation Ponds. In Handbook of Microalgal Culture; Wiley: Hoboken, NJ, USA, 2013; pp. 595–601. [Google Scholar]
  3. Kaplan, D. Absorption and Adsorption of Heavy Metals by Microalgae. In Handbook of Microalgal Culture; Wiley: Hoboken, NJ, USA, 2013; pp. 602–611. [Google Scholar]
  4. Becker, E.W. Microalgae for Aquaculture: Nutritional Aspects. In Handbook of Microalgal Culture; Wiley: Hoboken, NJ, USA, 2013; pp. 671–691. [Google Scholar]
  5. Muller-Feuga, A. Microalgae for Aquaculture: The Current Global Situation and Future Trends. In Handbook of Microalgal Culture; Wiley: Hoboken, NJ, USA, 2013; pp. 613–627. [Google Scholar]
  6. Ratledge, C.; Wynn, J.P. Oils from Microorganisms. In Bailey’s Industrial Oil and Fat Products; Wiley: Hoboken, NJ, USA, 2020; pp. 1–34. [Google Scholar]
  7. Schädler, T.; Caballero Cerbon, D.; de Oliveira, L.; Garbe, D.; Brück, T.; Weuster-Botz, D. Production of lipids with Microchloropsis salina in open thin-layer cascade photobioreactors. Bioresour. Technol. 2019, 289, 121682. [Google Scholar] [CrossRef] [PubMed]
  8. Younes, S.; Bracharz, F.; Awad, D.; Qoura, F.; Mehlmer, N.; Brueck, T. Microbial lipid production by oleaginous yeasts grown on Scenedesmus obtusiusculus microalgae biomass hydrolysate. Bioprocess Biosyst. Eng. 2020, 43, 1629–1638. [Google Scholar] [CrossRef] [PubMed]
  9. Meo, A.; Priebe, X.L.; Weuster-Botz, D. Lipid production with Trichosporon oleaginosus in a membrane bioreactor using microalgae hydrolysate. J. Biotechnol. 2017, 241, 1–10. [Google Scholar] [CrossRef] [PubMed]
  10. Zittelli, G.C.; Rodolfi, L.; Bassi, N.; Biondi, N.; Tredici, M.R. Photobioreactors for Microalgal Biofuel Production. In Algae for Biofuels and Energy; Borowitzka, M.A., Moheimani, N.R., Eds.; Springer: Dordrecht, The Netherlands, 2013; pp. 115–131. [Google Scholar]
  11. Doucha, J.; Lívanský, K. Productivity, CO2/O2 exchange and hydraulics in outdoor open high density microalgal (Chlorella sp.) photobioreactors operated in a Middle and Southern European climate. J. Appl. Phycol. 2006, 18, 811–826. [Google Scholar] [CrossRef]
  12. Doucha, J.; Lívanský, K. Outdoor open thin-layer microalgal photobioreactor: Potential productivity. J. Appl. Phycol. 2009, 21, 111–117. [Google Scholar] [CrossRef]
  13. Masojídek, J.; Kopecký, J.; Giannelli, L.; Torzillo, G. Productivity correlated to photobiochemical performance of Chlorella mass cultures grown outdoors in thin-layer cascades. J. Ind. Microbiol. Biotechnol. 2011, 38, 307–317. [Google Scholar] [CrossRef] [PubMed]
  14. Apel, A.C.; Pfaffinger, C.E.; Basedahl, N.; Mittwollen, N.; Göbel, J.; Sauter, J.; Brück, T.; Weuster-Botz, D. Open thin-layer cascade reactors for saline microalgae production evaluated in a physically simulated Mediterranean summer climate. Algal Res. 2017, 25, 381–390. [Google Scholar] [CrossRef]
  15. Boussiba, S.; Vonshak, A.; Cohen, Z.; Avissar, Y.; Richmond, A. Lipid and biomass production by the halotolerant microalga Nannochloropsis salina. Biomass 1987, 12, 37–47. [Google Scholar] [CrossRef]
  16. Andersen, R.A. The Microalgal Cell. In Handbook of Microalgal Culture; Wiley: Hoboken, NJ, USA, 2013; pp. 1–20. [Google Scholar]
  17. Pfaffinger, C.E.; Severin, T.S.; Apel, A.C.; Göbel, J.; Sauter, J.; Weuster-Botz, D. Light-dependent growth kinetics enable scale-up of well-mixed phototrophic bioprocesses in different types of photobioreactors. J. Biotechnol. 2019, 297, 41–48. [Google Scholar] [CrossRef]
  18. Schädler, T.; Thurn, A.-L.; Brück, T.; Weuster-Botz, D. Continuous Production of Lipids with Microchloropsis salina in Open Thin-Layer Cascade Photobioreactors on a Pilot Scale. Energies 2021, 14, 500. [Google Scholar] [CrossRef]
  19. Moon, N.J.; Hammond, E.G.; Glatz, B.A. Conversion of Cheese Whey and Whey Permeate to Oil and Single-Cell Protein1. J. Dairy Sci. 1978, 61, 1537–1547. [Google Scholar] [CrossRef]
  20. Masri, M.A.; Younes, S.; Haack, M.; Qoura, F.; Mehlmer, N.; Brück, T. A Seagrass-Based Biorefinery for Generation of Single-Cell Oils for Biofuel and Oleochemical Production. Energy Technol. 2018, 6, 1026–1038. [Google Scholar] [CrossRef]
  21. Yousuf, A.; Sannino, F.; Addorisio, V.; Pirozzi, D. Microbial Conversion of Olive Oil Mill Wastewaters into Lipids Suitable for Biodiesel Production. J. Agric. Food Chem. 2010, 58, 8630–8635. [Google Scholar] [CrossRef] [PubMed]
  22. Yu, X.; Zheng, Y.; Dorgan, K.M.; Chen, S. Oil production by oleaginous yeasts using the hydrolysate from pretreatment of wheat straw with dilute sulfuric acid. Bioresour. Technol. 2011, 102, 6134–6140. [Google Scholar] [CrossRef] [PubMed]
  23. Pahl, S.L.; Lee, A.K.; Kalaitzidis, T.; Ashman, P.J.; Sathe, S.; Lewis, D.M. Harvesting, Thickening and Dewatering Microalgae Biomass. In Algae for Biofuels and Energy; Borowitzka, M.A., Moheimani, N.R., Eds.; Springe: Dordrecht, The Netherlands, 2013; pp. 165–185. [Google Scholar]
  24. Fasaei, F.; Bitter, J.H.; Slegers, P.M.; van Boxtel, A.J.B. Techno-economic evaluation of microalgae harvesting and dewatering systems. Algal Res. 2018, 31, 347–362. [Google Scholar] [CrossRef]
  25. Apel, A.C. Offene Flachgerinnereaktoren zur Massenproduktion von Mikroalgen mit physikalischer Klimasimulation. Doctoral Dissertation, Technical University of Munich, Munich, Germany, 2018. [Google Scholar]
  26. Mishra, S.K.; Suh, W.I.; Farooq, W.; Moon, M.; Shrivastav, A.; Park, M.S.; Yang, J.-W. Rapid quantification of microalgal lipids in aqueous medium by a simple colorimetric method. Bioresour. Technol. 2014, 155, 330–333. [Google Scholar] [CrossRef] [PubMed]
  27. González López, C.V.; García, M.d.C.C.; Fernández, F.G.A.; Bustos, C.S.; Chisti, Y.; Sevilla, J.M.F. Protein measurements of microalgal and cyanobacterial biomass. Bioresour. Technol. 2010, 101, 7587–7591. [Google Scholar] [CrossRef] [PubMed]
  28. He, Q.; Yang, H.; Hu, C. Culture modes and financial evaluation of two oleaginous microalgae for biodiesel production in desert area with open raceway pond. Bioresour. Technol. 2016, 218, 571–579. [Google Scholar] [CrossRef] [PubMed]
  29. Yadav, G.; Dubey, B.K.; Sen, R. A comparative life cycle assessment of microalgae production by CO2 sequestration from flue gas in outdoor raceway ponds under batch and semi-continuous regime. J. Clean. Prod. 2020, 258, 120703. [Google Scholar] [CrossRef]
  30. Van Wagenen, J.; Miller, T.W.; Hobbs, S.; Hook, P.; Crowe, B.; Huesemann, M. Effects of Light and Temperature on Fatty Acid Production in Nannochloropsis Salina. Energies 2012, 5, 731–740. [Google Scholar] [CrossRef]
  31. Woosley, R.J. Evaluation of the temperature dependence of dissociation constants for the marine carbon system using pH and certified reference materials. Mar. Chem. 2021, 229, 103914. [Google Scholar] [CrossRef]
  32. Acién, F.G.; Fernández-Sevilla, J.M.; Molina Grima, E. Supply of CO2 to Closed and Open Photobioreactors. In Microalgal Production for Biomass and High-Value Products, 1st ed.; Slocombe, S.P., Benemann, J.R., Eds.; CRC Press: Boca Raton, FL, USA, 2016; p. 27. [Google Scholar]
  33. Beardall, J.; Raven, J.A. Limits to Phototrophic Growth in Dense Culture: CO2 Supply and Light. In Algae for Biofuels and Energy; Borowitzka, M.A., Moheimani, N.R., Eds.; Springer: Dordrecht, The Netherlands, 2013; pp. 91–97. [Google Scholar]
  34. Bartley, M.L.; Boeing, W.J.; Dungan, B.N.; Holguin, F.O.; Schaub, T. pH effects on growth and lipid accumulation of the biofuel microalgae Nannochloropsis salina and invading organisms. J. Appl. Phycol. 2014, 26, 1431–1437. [Google Scholar] [CrossRef]
  35. Gmehling, J.; Brehm, A. Grundoperationen. In Technische Chemie, 2nd ed.; Baerns, M., Behr, A., Brehm, A., Gmehling, J., Hinrichsen, K.-O., Hofmann, H., Onken, U., Palkovits, R., Renken, A., Eds.; Wiley-VCH: Weinheim, Germany, 2013; pp. 379–428. [Google Scholar]
  36. Borowitzka, M.A.; Moheimani, N.R. Open Pond Culture Systems. In Algae for Biofuels and Energy; Borowitzka, M.A., Moheimani, N.R., Eds.; Springer: Dordrecht, The Netherlands, 2013; pp. 133–152. [Google Scholar]
  37. Ketchum, B.H.; Redfield, A.C. A Method for Maintaining a Continuous Supply of Marine Diatoms by Culture. Biol. Bull. 1938, 75, 165–169. [Google Scholar] [CrossRef]
  38. Mazzuca Sobczuk, T.; García Camacho, F.; Camacho Rubio, F.; Acién Fernández, F.G.; Molina Grima, E. Carbon dioxide uptake efficiency by outdoor microalgal cultures in tubular airlift photobioreactors. Biotechnol. Bioeng. 2000, 67, 465–475. [Google Scholar] [CrossRef]
  39. Koruyucu, A.; Blums, K.; Peest, T.; Schmack-Rauscher, L.; Brück, T.; Weuster-Botz, D. High-Cell-Density Yeast Oil Production with Diluted Substrates Imitating Microalgae Hydrolysate Using a Membrane Bioreactor. Energies 2023, 16, 1757. [Google Scholar] [CrossRef]
Figure 1. Process flow for continuous microalgal biomass production in TLC photobioreactors. Concentrated feed medium in an external feed tank is supplied into the reactor continuously by a peristaltic pump, and microalgae suspension is pumped into an external collection tank with the same volumetric flow rate as the feed stream. Once enough suspension has been accumulated in the collection tank, the microalgal biomass is harvested by centrifugation.
Figure 1. Process flow for continuous microalgal biomass production in TLC photobioreactors. Concentrated feed medium in an external feed tank is supplied into the reactor continuously by a peristaltic pump, and microalgae suspension is pumped into an external collection tank with the same volumetric flow rate as the feed stream. Once enough suspension has been accumulated in the collection tank, the microalgal biomass is harvested by centrifugation.
Processes 12 01303 g001
Figure 2. Pilot-scale TLC photobioreactor in continuous operation. (a) The concentrated feed medium in an external feed tank shown on the left (Type TR 5/L made of black polyethylene, Aricon Kunststoffwerk GmbH, Solingen, Germany) is continuously supplied into the reactor by a peristaltic pump. Microalgae suspension is pumped into an external collection tank shown on the right (Type TR 5/L made of standard polyethylene, Aricon Kunststoffwerk GmbH, Solingen, Germany) at a constant rate for 12 h every day, from 7 a.m. to 7 p.m. (b) After the accumulation of 400–500 L microalgae suspension in the collection tank, the microalgal biomass is harvested by centrifugation using a dynamic settler with spiral plate technology (Evodos 50A, Evodos B.V., Raamsdonksveer, The Netherlands).
Figure 2. Pilot-scale TLC photobioreactor in continuous operation. (a) The concentrated feed medium in an external feed tank shown on the left (Type TR 5/L made of black polyethylene, Aricon Kunststoffwerk GmbH, Solingen, Germany) is continuously supplied into the reactor by a peristaltic pump. Microalgae suspension is pumped into an external collection tank shown on the right (Type TR 5/L made of standard polyethylene, Aricon Kunststoffwerk GmbH, Solingen, Germany) at a constant rate for 12 h every day, from 7 a.m. to 7 p.m. (b) After the accumulation of 400–500 L microalgae suspension in the collection tank, the microalgal biomass is harvested by centrifugation using a dynamic settler with spiral plate technology (Evodos 50A, Evodos B.V., Raamsdonksveer, The Netherlands).
Processes 12 01303 g002
Figure 3. Biomass production with M. salina in open TLC PBRs in batch (left) and semi-continuous (right) modes. Presented on the left side are the results of a batch process on an 8 m2 scale carried out in triplicate, with an average nutrient feed rate ( r f , a v e ) of 1.4–1.6 × ASW d−1. Data points show the average values from all three experiments together with the standard deviation. (a) CDW concentration ( c X ), (b) integral areal productivity ( P A ), and (c) CO2 fixation efficiency ( η C O 2 ). Presented on the right side are the results of four experiments in semi-continuous mode with various daily starting CDW concentrations of 8 g L−1 (), 12 g L−1 (), 13 g L−1 (), and 20 g L−1 () on an 8 m2 scale: (d) CDW concentration ( c X ), (e) integral areal productivity ( P A ), and (f) CO2 fixation efficiency ( η C O 2 ). The average nutrient feed rate ( r f , a v e ) was maintained at 1.5–2.2 × ASW d−1 for all semi-continuous experiments.
Figure 3. Biomass production with M. salina in open TLC PBRs in batch (left) and semi-continuous (right) modes. Presented on the left side are the results of a batch process on an 8 m2 scale carried out in triplicate, with an average nutrient feed rate ( r f , a v e ) of 1.4–1.6 × ASW d−1. Data points show the average values from all three experiments together with the standard deviation. (a) CDW concentration ( c X ), (b) integral areal productivity ( P A ), and (c) CO2 fixation efficiency ( η C O 2 ). Presented on the right side are the results of four experiments in semi-continuous mode with various daily starting CDW concentrations of 8 g L−1 (), 12 g L−1 (), 13 g L−1 (), and 20 g L−1 () on an 8 m2 scale: (d) CDW concentration ( c X ), (e) integral areal productivity ( P A ), and (f) CO2 fixation efficiency ( η C O 2 ). The average nutrient feed rate ( r f , a v e ) was maintained at 1.5–2.2 × ASW d−1 for all semi-continuous experiments.
Processes 12 01303 g003
Figure 4. Biomass production with M. salina in open TLC PBRs in continuous mode with variation in the dilution rate (left) and variation in the nutrient feed rate (right) on an 8 m2 scale. Continuous operation was performed as described in Section 2.4.3. Presented on the left side are the results of four experiments with a dilution rate of 0.075 d−1 (), 0.100 d−1 (), 0.150 d−1 (), and 0.200 d−1 (): (a) CDW concentration ( c X ), (b) integral areal productivity ( P A ), and (c) CO2 fixation efficiency ( η C O 2 ). The nutrient feed rate ( r f ) was adjusted to 2.5 × ASW d−1 for all of these experiments. Presented on the right side are the results of two experiments with a dilution rate of 0.150 d−1 and a nutrient feed rate ( r f ) of 2.5 × ASW d−1 () and 3.0 × ASW d−1 (): (d) CDW concentration ( c X ), (e) integral areal productivity ( P A ), and (f) CO2 fixation efficiency ( η C O 2 ).
Figure 4. Biomass production with M. salina in open TLC PBRs in continuous mode with variation in the dilution rate (left) and variation in the nutrient feed rate (right) on an 8 m2 scale. Continuous operation was performed as described in Section 2.4.3. Presented on the left side are the results of four experiments with a dilution rate of 0.075 d−1 (), 0.100 d−1 (), 0.150 d−1 (), and 0.200 d−1 (): (a) CDW concentration ( c X ), (b) integral areal productivity ( P A ), and (c) CO2 fixation efficiency ( η C O 2 ). The nutrient feed rate ( r f ) was adjusted to 2.5 × ASW d−1 for all of these experiments. Presented on the right side are the results of two experiments with a dilution rate of 0.150 d−1 and a nutrient feed rate ( r f ) of 2.5 × ASW d−1 () and 3.0 × ASW d−1 (): (d) CDW concentration ( c X ), (e) integral areal productivity ( P A ), and (f) CO2 fixation efficiency ( η C O 2 ).
Processes 12 01303 g004
Figure 5. Scale-up of the biomass production with M. salina in batch operating mode to the pilot scale, using the TLC PBR with a 50 m2 surface area. Green marks () show the results of the pilot-scale batch process, whereas the grey marks () represent the batch process on the 8 m2 scale as a reference. The average nutrient feed rate ( r f , a v e ) was adjusted to 1.6 × ASW d−1. (a) CDW concentration ( c X ). (b) Integral areal productivity ( P A ). (c) CO2 fixation efficiency ( η C O 2 ).
Figure 5. Scale-up of the biomass production with M. salina in batch operating mode to the pilot scale, using the TLC PBR with a 50 m2 surface area. Green marks () show the results of the pilot-scale batch process, whereas the grey marks () represent the batch process on the 8 m2 scale as a reference. The average nutrient feed rate ( r f , a v e ) was adjusted to 1.6 × ASW d−1. (a) CDW concentration ( c X ). (b) Integral areal productivity ( P A ). (c) CO2 fixation efficiency ( η C O 2 ).
Processes 12 01303 g005
Figure 6. Scale-up of the biomass production with M. salina in different operational modes to the pilot scale, using the TLC bioreactor with a 50 m2 surface area. Presented on the left side are the results of two semi-continuous processes with a daily starting CDW concentration of 18.5 g L−1 and an average nutrient feed rate ( r f , a v e ) of either 1.8 × ASW d−1 () or 2.7 × ASW d−1 (): (a) CDW concentration ( c X ), (b) integral areal productivity ( P A ), and (c) CO2 fixation efficiency ( η C O 2 ). Presented on the right side are the results of two continuous processes: one with a dilution rate of 0.150 d−1 and a nutrient feed rate ( r f ) of 2.5 × ASW d−1 () and the other with a dilution rate of 0.175 d−1 and a nutrient feed rate ( r f ) of 3.5 × ASW d−1 (). Twenty-times-concentrated ASW medium ( C F = 20) was used as feed medium in all cases. (d) CDW concentration ( c X ). (e) Integral areal productivity ( P A ). (f) CO2 fixation efficiency ( η C O 2 ).
Figure 6. Scale-up of the biomass production with M. salina in different operational modes to the pilot scale, using the TLC bioreactor with a 50 m2 surface area. Presented on the left side are the results of two semi-continuous processes with a daily starting CDW concentration of 18.5 g L−1 and an average nutrient feed rate ( r f , a v e ) of either 1.8 × ASW d−1 () or 2.7 × ASW d−1 (): (a) CDW concentration ( c X ), (b) integral areal productivity ( P A ), and (c) CO2 fixation efficiency ( η C O 2 ). Presented on the right side are the results of two continuous processes: one with a dilution rate of 0.150 d−1 and a nutrient feed rate ( r f ) of 2.5 × ASW d−1 () and the other with a dilution rate of 0.175 d−1 and a nutrient feed rate ( r f ) of 3.5 × ASW d−1 (). Twenty-times-concentrated ASW medium ( C F = 20) was used as feed medium in all cases. (d) CDW concentration ( c X ). (e) Integral areal productivity ( P A ). (f) CO2 fixation efficiency ( η C O 2 ).
Processes 12 01303 g006
Figure 7. Comparison of the water evaporation rate and the reaction medium temperature in TLC photobioreactors in semi-continuous mode on different scales. Presented are two semi-continuous processes: one operated at a CDW concentration of 20 g L−1 on an 8 m2 scale marked in red (), and the other operated at a CDW concentration of 18.5 g L−1 on a 50 m2 scale marked in black (━). (a) Volume-specific water evaporation rate. (b) Temperature of the reaction medium (i.e., microalgae suspension).
Figure 7. Comparison of the water evaporation rate and the reaction medium temperature in TLC photobioreactors in semi-continuous mode on different scales. Presented are two semi-continuous processes: one operated at a CDW concentration of 20 g L−1 on an 8 m2 scale marked in red (), and the other operated at a CDW concentration of 18.5 g L−1 on a 50 m2 scale marked in black (━). (a) Volume-specific water evaporation rate. (b) Temperature of the reaction medium (i.e., microalgae suspension).
Processes 12 01303 g007
Figure 8. Influence of pH on biomass production with M. salina in open TLC photobioreactors in semi-continuous mode. Presented are experiments with a similar daily initial CDW concentration of around 20 g L−1 at pHs ranging from pH 7.5 to pH 8.5 on both 8 m2 and 50 m2 scales. (a) CO2 fixation efficiency ( η C O 2 ). (b) Mean integral areal productivity ( P A ). Data labels indicate the average nutrient feed rate in the corresponding experiment by a factor ( F ) of the ASW medium nutrient concentration per day.
Figure 8. Influence of pH on biomass production with M. salina in open TLC photobioreactors in semi-continuous mode. Presented are experiments with a similar daily initial CDW concentration of around 20 g L−1 at pHs ranging from pH 7.5 to pH 8.5 on both 8 m2 and 50 m2 scales. (a) CO2 fixation efficiency ( η C O 2 ). (b) Mean integral areal productivity ( P A ). Data labels indicate the average nutrient feed rate in the corresponding experiment by a factor ( F ) of the ASW medium nutrient concentration per day.
Processes 12 01303 g008
Figure 9. Effect of switching off the circulation pumps overnight on biomass production with M. salina in TLC PBRs on an 8 m2 (left) and on a 50 m2 scale (right). Presented on the left side are two batch processes on an 8 m2 scale with continuous circulation of the microalgae suspension () and with the automated overnight pump switch-off mechanism (): (a) CDW concentration ( c X ), (b) integral areal productivity ( P A ), (c) CO2 fixation efficiency ( η C O 2 ), and (d) volumetric flow rate through the circulation pumps. Presented on the right side are two continuous processes on a 50 m2 scale with a dilution rate of 0.175 d−1 and a nutrient feed rate ( r f ) of 3.5 × ASW d−1. The reference process with continuous circulation of the microalgae suspension () is compared to the process with the automated overnight pump switch-off mechanism (): (e) CDW concentration ( c X ), (f) integral areal productivity ( P A ), (g) CO2 fixation efficiency ( η C O 2 ), and (h) volume-specific water evaporation rate.
Figure 9. Effect of switching off the circulation pumps overnight on biomass production with M. salina in TLC PBRs on an 8 m2 (left) and on a 50 m2 scale (right). Presented on the left side are two batch processes on an 8 m2 scale with continuous circulation of the microalgae suspension () and with the automated overnight pump switch-off mechanism (): (a) CDW concentration ( c X ), (b) integral areal productivity ( P A ), (c) CO2 fixation efficiency ( η C O 2 ), and (d) volumetric flow rate through the circulation pumps. Presented on the right side are two continuous processes on a 50 m2 scale with a dilution rate of 0.175 d−1 and a nutrient feed rate ( r f ) of 3.5 × ASW d−1. The reference process with continuous circulation of the microalgae suspension () is compared to the process with the automated overnight pump switch-off mechanism (): (e) CDW concentration ( c X ), (f) integral areal productivity ( P A ), (g) CO2 fixation efficiency ( η C O 2 ), and (h) volume-specific water evaporation rate.
Processes 12 01303 g009
Figure 10. Summary of experiments for semi-continuous microalgal biomass production in TLC PBRs on an 8 m2 scale. Presented are average daily areal productivity ( P A , d a i l y ) in blue (), total alkalinity (TA) in green (), and CO2 fixation efficiency ( η C O 2 ) in red (). Variation in the daily starting biomass concentration in semi-continuous mode, with data labels indicating the average nutrient feed rate in the corresponding experiment by a factor ( F ) of the ASW medium nutrient concentration per day. The best-performing process is marked with a star (★).
Figure 10. Summary of experiments for semi-continuous microalgal biomass production in TLC PBRs on an 8 m2 scale. Presented are average daily areal productivity ( P A , d a i l y ) in blue (), total alkalinity (TA) in green (), and CO2 fixation efficiency ( η C O 2 ) in red (). Variation in the daily starting biomass concentration in semi-continuous mode, with data labels indicating the average nutrient feed rate in the corresponding experiment by a factor ( F ) of the ASW medium nutrient concentration per day. The best-performing process is marked with a star (★).
Processes 12 01303 g010
Figure 11. Summary of experiments for continuous microalgal biomass production in TLC PBRs on an 8 m2 scale. Presented are CDW concentration ( c X ) in grey (), average daily areal productivity ( P A , d a i l y ) in blue (), and CO2 fixation efficiency ( η C O 2 ) in red (). (a) Variation in the dilution rate in a range of 0.075–0.200 d−1 with a constant nutrient feed rate of 2.5 × ASW d−1. (b) Variation in the dilution rate using 20 × concentrated ASW medium as feed medium ( C F = 20), corresponding to a nutrient feed rate of 3.0, 3.5, 4.5, and 5.0 × ASW d−1 for a dilution rate of 0.150, 0.175, 0.225, and 0.250 d−1, respectively. The best-performing process is marked with a star (★).
Figure 11. Summary of experiments for continuous microalgal biomass production in TLC PBRs on an 8 m2 scale. Presented are CDW concentration ( c X ) in grey (), average daily areal productivity ( P A , d a i l y ) in blue (), and CO2 fixation efficiency ( η C O 2 ) in red (). (a) Variation in the dilution rate in a range of 0.075–0.200 d−1 with a constant nutrient feed rate of 2.5 × ASW d−1. (b) Variation in the dilution rate using 20 × concentrated ASW medium as feed medium ( C F = 20), corresponding to a nutrient feed rate of 3.0, 3.5, 4.5, and 5.0 × ASW d−1 for a dilution rate of 0.150, 0.175, 0.225, and 0.250 d−1, respectively. The best-performing process is marked with a star (★).
Processes 12 01303 g011
Figure 12. Summary of experiments for microalgal biomass production in a TLC PBR on a 50 m2 scale in different operational modes. Presented are CDW concentration ( c X ) in grey (), average daily areal productivity ( P A , d a i l y ) in blue (), and CO2 fixation efficiency ( η C O 2 ) in red (). For the batch mode, data from the day of maximum areal productivity are shown. For the semi-continuous mode, CDW concentration is the set point of the daily initial biomass concentration. Data labels indicate the nutrient feed rate in terms of a factor ( F ) of the ASW medium nutrient concentration per day. The best-performing process is marked with a star (★).
Figure 12. Summary of experiments for microalgal biomass production in a TLC PBR on a 50 m2 scale in different operational modes. Presented are CDW concentration ( c X ) in grey (), average daily areal productivity ( P A , d a i l y ) in blue (), and CO2 fixation efficiency ( η C O 2 ) in red (). For the batch mode, data from the day of maximum areal productivity are shown. For the semi-continuous mode, CDW concentration is the set point of the daily initial biomass concentration. Data labels indicate the nutrient feed rate in terms of a factor ( F ) of the ASW medium nutrient concentration per day. The best-performing process is marked with a star (★).
Processes 12 01303 g012
Table 1. Specifications of the TLC reactors on different scales. The 4 m2 TLC reactor was used only for seed culture generation. The 8 m2 and 50 m2 reactors were used for experimentation and scale-up.
Table 1. Specifications of the TLC reactors on different scales. The 4 m2 TLC reactor was used only for seed culture generation. The 8 m2 and 50 m2 reactors were used for experimentation and scale-up.
Reactor Surface Area
Specification4 m28 m250 m2
Working volume40 L55 L330 L
A/V ratio100 m−1145 m−1152 m−1
Flow rate2.0 L s−12.4 L s−14.8 L s−1
Channel length1.7 m3.7 m12 m
Channel width1 m1 m2 m
Channel slope
Layer thickness0.6 cm0.6 cm0.6 cm
Table 2. Operational settings of Evodos™ 50A centrifuge with spiral plate technology.
Table 2. Operational settings of Evodos™ 50A centrifuge with spiral plate technology.
SeparationParameterValue
Step 1Rotor speed4000 min−1
Feed rate500 L h−1
Duration1 min
Step 2Rotor speed4200 min−1
Feed rate500 L h−1
Duration2 h
GeneralStart of centrifuge by rotor speed4000 min−1
Drum prefill settling time240 s
Solids compressing time120 s
Pump pulsing time0 s (Pulsing off)
Pump pulsing off time10 s
Table 3. Summary of biomass production with M. salina on batch operating mode in TLC photobioreactors on different scales and comparison of the results with the literature reports using the same reactor type but different microalgae species.
Table 3. Summary of biomass production with M. salina on batch operating mode in TLC photobioreactors on different scales and comparison of the results with the literature reports using the same reactor type but different microalgae species.
Operating
Mode
Reactor
Scale
Feed
Factor   ( F )
Process Time, dCDW
conc., g L−1
TA, mMDaily PA,
g m−2 d−1
Integral PA,
g m−2 d−1
CO2 Fixation
Efficiency, –
Source
Mean Max.Max
Batch8 m21.511.129.29.117.880.0%This study
50 m21.611.023.66.817.713.781.9%This study
50 m22.86.722.39.430.722.564.5%This study
50 m23.57.923.17.629.718.268.8%This study
Batch8 m26.0201087%[7]
Fed-batch100–224 m212–18≤4510–3069–77%[11] a
~2500 L12–23[36] b
a Study carried out with a Chlorella species. b Studies carried out with Scenedesmus species.
Table 4. Summary of biomass production with M. salina on semi-continuous and continuous modes in TLC photobioreactors on different scales and comparison of the results with the literature reports.
Table 4. Summary of biomass production with M. salina on semi-continuous and continuous modes in TLC photobioreactors on different scales and comparison of the results with the literature reports.
Operating
Mode
Reactor
Scale
Feed
Factor   ( F )
CDW
conc., g L−1
TA, mMDaily PA,
g m−2 d−1
Integral PA,
g m−2 d−1
CO2 Fixation
Efficiency, –
Source
MeanMeanMeanMean
Semi-continuous8 m22.220.4 a8.624.918.487.0%This study
50 m22.718.5 a8.921.122.659.4%This study
Continuous8 m23.522.2 b9.327.124.199.9%This study
(D = 0.175 d−1)50 m23.518.8 b7.620.619.762.0%This study
Continuous
(D = 0.4 d−1)
8 m26.5 b17.9[7,18]
Continuous8 m27 b10.0[7]
(turbidostat)
a Daily initial CDW concentration after biomass harvest in semi-continuous mode. b Average CDW concentration at a steady state of the continuous operation.
Table 5. Optimal process conditions to achieve maximum areal productivity and CO2 fixation efficiency in microalgal biomass production with M. salina in open TLC photobioreactors. Nutrient concentration in the feed medium is given as a factor ( C F ) of the nutrient concentration in the ASW medium with unchanged salt concentration. The nutrient feed rate is expressed by a factor ( F ) of the nutrient concentration in the ASW medium per day.
Table 5. Optimal process conditions to achieve maximum areal productivity and CO2 fixation efficiency in microalgal biomass production with M. salina in open TLC photobioreactors. Nutrient concentration in the feed medium is given as a factor ( C F ) of the nutrient concentration in the ASW medium with unchanged salt concentration. The nutrient feed rate is expressed by a factor ( F ) of the nutrient concentration in the ASW medium per day.
Mode of Operation
ParameterSemi-ContinuousContinuous
CDW concentration19–25 g L−119–25 g L−1
Dilution rate0.150–0.225 d−1
Nutrient concentration in feed medium20 × ASW
Nutrient supply to the reactor2.5–3.5 × ASW d−13.0–4.5 × ASW d−1
pH8.5
Total alkalinity (TA)4–8 mM (200–400 ppm)
Table 6. Performance evaluation of microalgae biomass harvest and dewatering using dynamic settlers with the spiral plate technology (Evodos B.V., Raamsdonksveer, The Netherlands). Evodos 10 has a maximum capacity of 4 kg biomass per batch with manual discontinuous harvesting between batches, whereas Evodos 50A is a model designed for commercial use with an automated continuous harvesting system and a processing capacity of 500 L h−1.
Table 6. Performance evaluation of microalgae biomass harvest and dewatering using dynamic settlers with the spiral plate technology (Evodos B.V., Raamsdonksveer, The Netherlands). Evodos 10 has a maximum capacity of 4 kg biomass per batch with manual discontinuous harvesting between batches, whereas Evodos 50A is a model designed for commercial use with an automated continuous harvesting system and a processing capacity of 500 L h−1.
Centrifuge Model
ParameterEvodos 10Evodos 50A
Microalgae suspension volume50.0 L710.0 L
CDW concentration19.6 g L−120.7 g L−1
Total dry weight0.98 kg14.7 kg
Harvested wet biomass2.7 kg40.1 kg
Harvested dry mass0.85 kg12.4 kg
Recovery efficiency86.5%84.6%
Concentration factor15.815.0
Disclaimer/Publisher’s Note: The statements, opinions and data contained in all publications are solely those of the individual author(s) and contributor(s) and not of MDPI and/or the editor(s). MDPI and/or the editor(s) disclaim responsibility for any injury to people or property resulting from any ideas, methods, instructions or products referred to in the content.

Share and Cite

MDPI and ACS Style

Koruyucu, A.; Schädler, T.; Gniffke, A.; Mundt, K.; Krippendorf, S.; Urban, P.; Blums, K.; Halim, B.; Brück, T.; Weuster-Botz, D. Energy-Efficient Production of Microchloropsis salina Biomass with High CO2 Fixation Yield in Open Thin-Layer Cascade Photobioreactors. Processes 2024, 12, 1303. https://doi.org/10.3390/pr12071303

AMA Style

Koruyucu A, Schädler T, Gniffke A, Mundt K, Krippendorf S, Urban P, Blums K, Halim B, Brück T, Weuster-Botz D. Energy-Efficient Production of Microchloropsis salina Biomass with High CO2 Fixation Yield in Open Thin-Layer Cascade Photobioreactors. Processes. 2024; 12(7):1303. https://doi.org/10.3390/pr12071303

Chicago/Turabian Style

Koruyucu, Ayşe, Torben Schädler, Amelie Gniffke, Konrad Mundt, Susann Krippendorf, Peter Urban, Karlis Blums, Billy Halim, Thomas Brück, and Dirk Weuster-Botz. 2024. "Energy-Efficient Production of Microchloropsis salina Biomass with High CO2 Fixation Yield in Open Thin-Layer Cascade Photobioreactors" Processes 12, no. 7: 1303. https://doi.org/10.3390/pr12071303

APA Style

Koruyucu, A., Schädler, T., Gniffke, A., Mundt, K., Krippendorf, S., Urban, P., Blums, K., Halim, B., Brück, T., & Weuster-Botz, D. (2024). Energy-Efficient Production of Microchloropsis salina Biomass with High CO2 Fixation Yield in Open Thin-Layer Cascade Photobioreactors. Processes, 12(7), 1303. https://doi.org/10.3390/pr12071303

Note that from the first issue of 2016, this journal uses article numbers instead of page numbers. See further details here.

Article Metrics

Back to TopTop