Figure 1.
Time-dependent curves of the unit adsorption capacity of La3+, Y3+, Eu3+, and Dy3+ by kaolinite and halloysite.
Figure 1.
Time-dependent curves of the unit adsorption capacity of La3+, Y3+, Eu3+, and Dy3+ by kaolinite and halloysite.
Figure 2.
Adsorption curves of La3+ (a,b), Y3+ (c,d), Eu3+ (e,f), and Dy3+ (g,h) by kaolinite (a,c,e,g) and halloysite (b,d,f,h) with different initial REE concentrations at different pH values.
Figure 2.
Adsorption curves of La3+ (a,b), Y3+ (c,d), Eu3+ (e,f), and Dy3+ (g,h) by kaolinite (a,c,e,g) and halloysite (b,d,f,h) with different initial REE concentrations at different pH values.
Figure 3.
XRD patterns of kaolinite (a) and halloysite (b) before and after the adsorption of La3+, Y3+, Eu3+, and Dy3+.
Figure 3.
XRD patterns of kaolinite (a) and halloysite (b) before and after the adsorption of La3+, Y3+, Eu3+, and Dy3+.
Figure 4.
SEM images and EDS results of pristine kaolinite (a), pristine halloysite (b), kaolinite (c,e,g,i) and halloysite (d,f,h,j) after the adsorption of La3+ (c,d), Y3+ (e,f), Eu3+ (g,h) and Dy3+ (i,j).
Figure 4.
SEM images and EDS results of pristine kaolinite (a), pristine halloysite (b), kaolinite (c,e,g,i) and halloysite (d,f,h,j) after the adsorption of La3+ (c,d), Y3+ (e,f), Eu3+ (g,h) and Dy3+ (i,j).
Figure 5.
FT-IR spectra of kaolinite (a) and halloysite (b) before and after the adsorption of La3+, Y3+, Eu3+, and Dy3+.
Figure 5.
FT-IR spectra of kaolinite (a) and halloysite (b) before and after the adsorption of La3+, Y3+, Eu3+, and Dy3+.
Figure 6.
TEM images and EDS results of pristine kaolinite (a) and kaolinite after the adsorption of La3+ (b), Y3+ (c), Eu3+ (d) and Dy3+ (e); TEM and EDS images of pristine halloysite (f) and halloysite after the adsorption of La3+ (g), Y3+ (h), Eu3+ (i) and Dy3+ (j).
Figure 6.
TEM images and EDS results of pristine kaolinite (a) and kaolinite after the adsorption of La3+ (b), Y3+ (c), Eu3+ (d) and Dy3+ (e); TEM and EDS images of pristine halloysite (f) and halloysite after the adsorption of La3+ (g), Y3+ (h), Eu3+ (i) and Dy3+ (j).
Figure 7.
HRTEM images of pristine kaolinite (a) and kaolinite after adsorption of La3+ (b), Y3+ (c), Eu3+ (d) and Dy3+ (e); HRTEM images of pristine halloysite (f) and halloysite after adsorption of La3+ (g), Y3+ (h), Eu3+ (i) and Dy3+ (j).
Figure 7.
HRTEM images of pristine kaolinite (a) and kaolinite after adsorption of La3+ (b), Y3+ (c), Eu3+ (d) and Dy3+ (e); HRTEM images of pristine halloysite (f) and halloysite after adsorption of La3+ (g), Y3+ (h), Eu3+ (i) and Dy3+ (j).
Figure 8.
REE 3d5/2 XPS spectra of kaolinite (a,c,e,g) and halloysite (b,d,f,h) after the adsorption of La3+ (a,b), Y3+ (c,d), Eu3+ (e,f) and Dy3+ (g,h). (dark blue line: raw data, red line: fitted data, Blue, yellow, orange, purple, brown, dark green, dark purple, and green represent the fitting peaks of La3+, Y3+, Eu3+, and Dy3+ rare earth ions on kaolinite and halloysite, respectively.)
Figure 8.
REE 3d5/2 XPS spectra of kaolinite (a,c,e,g) and halloysite (b,d,f,h) after the adsorption of La3+ (a,b), Y3+ (c,d), Eu3+ (e,f) and Dy3+ (g,h). (dark blue line: raw data, red line: fitted data, Blue, yellow, orange, purple, brown, dark green, dark purple, and green represent the fitting peaks of La3+, Y3+, Eu3+, and Dy3+ rare earth ions on kaolinite and halloysite, respectively.)
Figure 9.
Pseudo-first-order kinetic model (a), pseudo-first-order kinetic model (b), internal diffusion model (c) of La3+, Y3+, Eu3+, and Dy3+ ions adsorbed by kaolinite and halloysite.
Figure 9.
Pseudo-first-order kinetic model (a), pseudo-first-order kinetic model (b), internal diffusion model (c) of La3+, Y3+, Eu3+, and Dy3+ ions adsorbed by kaolinite and halloysite.
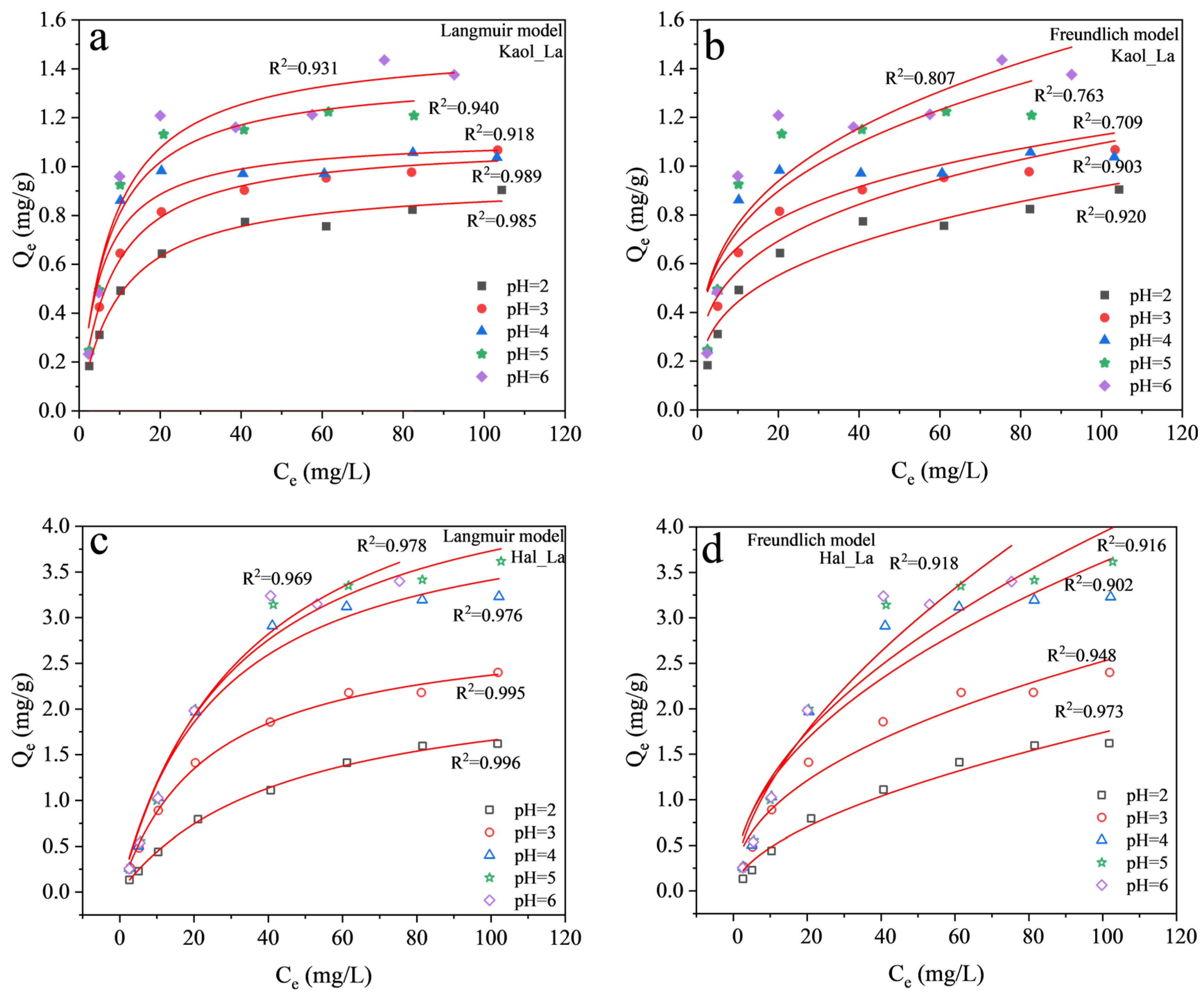
Figure 10.
Isothermal adsorption curves fitted by the Langmuir model (a,c) and Freundlich model (b,d) for La3+ adsorption on kaolinite (a,b) and halloysite (c,d) at different pH values (2.0, 3.0, 4.0, 5.0, and 6.0).
Figure 10.
Isothermal adsorption curves fitted by the Langmuir model (a,c) and Freundlich model (b,d) for La3+ adsorption on kaolinite (a,b) and halloysite (c,d) at different pH values (2.0, 3.0, 4.0, 5.0, and 6.0).
Figure 11.
Isothermal adsorption curves fitted by the Langmuir model (a,c) and Freundlich model (b,d) for Y3+ adsorption on kaolinite (a,b) and halloysite (c,d) at different pH values (2.0, 3.0, 4.0, 5.0, and 6.0).
Figure 11.
Isothermal adsorption curves fitted by the Langmuir model (a,c) and Freundlich model (b,d) for Y3+ adsorption on kaolinite (a,b) and halloysite (c,d) at different pH values (2.0, 3.0, 4.0, 5.0, and 6.0).
Figure 12.
Isothermal adsorption curves fitted by the Langmuir model (a,c) and Freundlich model (b,d) for Eu3+ adsorption on kaolinite (a,b) and halloysite (c,d) at different pH values (2.0, 3.0, 4.0, 5.0, and 6.0).
Figure 12.
Isothermal adsorption curves fitted by the Langmuir model (a,c) and Freundlich model (b,d) for Eu3+ adsorption on kaolinite (a,b) and halloysite (c,d) at different pH values (2.0, 3.0, 4.0, 5.0, and 6.0).
Figure 13.
Isothermal adsorption curves fitted by the Langmuir model (a,c) and Freundlich model (b,d) for Dy3+ adsorption on kaolinite (a,b) and halloysite (c,d) at different pH values (2.0, 3.0, 4.0, 5.0, and 6.0).
Figure 13.
Isothermal adsorption curves fitted by the Langmuir model (a,c) and Freundlich model (b,d) for Dy3+ adsorption on kaolinite (a,b) and halloysite (c,d) at different pH values (2.0, 3.0, 4.0, 5.0, and 6.0).
Figure 14.
Mechanistic diagram of REE adsorption by kaolinite and halloysite.
Figure 14.
Mechanistic diagram of REE adsorption by kaolinite and halloysite.
Table 1.
Binding energy positions and peak area ratios of the REE 3d5/2 XPS spectra of the adsorbed samples.
Table 1.
Binding energy positions and peak area ratios of the REE 3d5/2 XPS spectra of the adsorbed samples.
| Sample Name | Binding Energy (eV) | The Ratio of the Area of Peaks a and b |
|---|
| Kaol/La | 835.98 (a), 839.26 (b) | ~10:1 |
| Hal/La | 835.85 (a), 839.48 (b) | ~1:1 |
| Kaol/Y | 153.98 (a), 158.28 (b) | ~80:1 |
| Hal/Y | 153,98 (a), 158,48 (b) | ~32:1 |
| Kaol/Eu | 1126.26 (a), 1135.59 (b) | ~1:3 |
| Hal/Eu | 1125.28 (a), 1135.37 (b) | ~5:1 |
| Kaol/Dy | 1297.68 (a), 1303.88 (b) | ~1:2 |
| Hal/Dy | 1297.03 (a), 1298.58 (b) | ~1:6 |
Table 2.
Adsorption of La3+, Y3+, Eu3+, and Dy3+ by kaolinite and halloysite. Fitting parameters of the pseudo-first-order kinetic model and pseudo-second-order kinetic model.
Table 2.
Adsorption of La3+, Y3+, Eu3+, and Dy3+ by kaolinite and halloysite. Fitting parameters of the pseudo-first-order kinetic model and pseudo-second-order kinetic model.
| Rare-Earth Element | Adsorbent | Pseudo-First-Order Kinetic Model | Pseudo-Second-Order Kinetic Model |
|---|
| qe (mg/g) | k1 (min−1) | R2 | qe (mg/g) | k2 (g/mg·min) | R2 |
|---|
| La(III) | Hal | 2.026 | 1.706 | 0.995 | 1.976 | −6.177 | 0.999 |
| Kaol | 0.919 | 63.005 | 0.996 | 0.904 | −52.093 | 0.999 |
| Y(III) | Hal | 1.489 | 1.506 | 0.994 | 1.439 | −4.566 | 0.999 |
| Kaol | 0.715 | 2.298 | 0.995 | 0.733 | 4.059 | 0.999 |
| Eu(III) | Hal | 2.086 | 1.957 | 0.994 | 2.006 | −2.122 | 0.999 |
| Kaol | 1.058 | 4.878 | 0.998 | 1.039 | −8.851 | 0.999 |
| Dy(III) | Hal | 2.422 | 1.520 | 0.997 | 2.362 | −3.286 | 0.999 |
| Kaol | 1.178 | 2.612 | 0.990 | 1.216 | 4.897 | 0.999 |
Table 3.
Fitting parameters of the intraparticle diffusion models for kaolinite and halloysite adsorption of La3+, Y3+, Eu3+, and Dy3+.
Table 3.
Fitting parameters of the intraparticle diffusion models for kaolinite and halloysite adsorption of La3+, Y3+, Eu3+, and Dy3+.
| Rare-Earth Element | Adsorbent | Stage I | Stage II | Stage II |
|---|
| C1 | kd1 | R2 | C2 | kd2 | R2 | C3 | kd3 | R2 |
|---|
| La(III) | Hal | 0.048 | 0.718 | 0.851 | 0.973 | −0.019 | 0.984 | 0.903 | −1.684 | −0.997 |
| Kaol | 0.032 | 1.482 | 0.983 | 2.079 | −0.018 | 0.773 | 2.045 | −0.009 | 0.933 |
| Y(III) | Hal | 0.024 | 0.530 | 0.925 | 0.710 | 0.003 | 0.831 | 0.685 | 0.001 | −0.613 |
| Kaol | 0.016 | 1.060 | 0.991 | 1.455 | 0.017 | 0.817 | 1.545 | −0.014 | 0.894 |
| Eu(III) | Hal | 0.053 | 0.812 | 0.857 | 1.081 | −0.006 | 0.903 | 1.070 | −0.004 | 0.511 |
| Kaol | 0.048 | 1.554 | 0.966 | 2.105 | 0.003 | −0.987 | 2.200 | −0.025 | 0.860 |
| Dy(III) | Hal | 0.059 | 0.837 | 0.836 | 1.062 | 0.036 | 0.344 | 1.162 | 0.007 | −0.456 |
| Kaol | 0.057 | 1.657 | 0.959 | 2.174 | 0.096 | 0.079 | 2.503 | −0.018 | 0.878 |
Table 4.
Langmuir and Freundlich isotherms of La3+ adsorption on kaolinite and halloysite.
Table 4.
Langmuir and Freundlich isotherms of La3+ adsorption on kaolinite and halloysite.
| Adsorbent | pH | Langmuir | Freundlich |
|---|
| qm (mg·g−1) | KL (L·g−1) | R2 | 1/n | KF (mg·g−1)·(g·L−1)1/n | R2 |
|---|
| Hal | 2 | 2.389 | 0.022 | 0.996 | 0.562 | 0.041 | 0.973 |
| 3 | 2.927 | 0.042 | 0.995 | 0.455 | 0.064 | 0.948 |
| 4 | 4.316 | 0.037 | 0.976 | 0.479 | 0.091 | 0.902 |
| 5 | 4.878 | 0.032 | 0.978 | 0.506 | 0.098 | 0.916 |
| 6 | 5.256 | 0.289 | 0.969 | 0.578 | 0.104 | 0.918 |
| Kaol | 2 | 0.939 | 0.102 | 0.985 | 0.315 | 0.021 | 0.920 |
| 3 | 1.100 | 0.127 | 0.989 | 0.283 | 0.023 | 0.903 |
| 4 | 1.121 | 0.188 | 0.918 | 0.227 | 0.020 | 0.709 |
| 5 | 1.377 | 0.141 | 0.940 | 0.287 | 0.031 | 0.763 |
| 6 | 1.503 | 0.126 | 0.931 | 0.300 | 0.034 | 0.807 |
Table 5.
Langmuir and Freundlich isotherms of Y3+ adsorption on kaolinite and halloysite.
Table 5.
Langmuir and Freundlich isotherms of Y3+ adsorption on kaolinite and halloysite.
| Adsorbent | pH | Langmuir | Freundlich |
|---|
| qm (mg·g−1) | KL (L·g−1) | R2 | 1/n | KF (mg·g−1)·(g·L−1)1/n | R2 |
|---|
| Hal | 2 | 2.386 | 0.017 | 0.999 | 0.602 | 0.036 | 0.989 |
| 3 | 1.784 | 0.083 | 0.966 | 0.344 | 0.041 | 0.845 |
| 4 | 2.653 | 0.065 | 0.967 | 0.385 | 0.061 | 0.863 |
| 5 | 2.642 | 0.068 | 0.960 | 0.384 | 0.062 | 0.853 |
| 6 | 2.920 | 0.056 | 0.952 | 0.438 | 0.069 | 0.863 |
| Kaol | 2 | 0.677 | 0.143 | 0.943 | 0.274 | 0.014 | 0.892 |
| 3 | 0.773 | 0.193 | 0.973 | 0.228 | 0.014 | 0.874 |
| 4 | 0.754 | 0.307 | 0.869 | 0.183 | 0.011 | 0.624 |
| 5 | 0.938 | 0.195 | 0.867 | 0.248 | 0.019 | 0.796 |
| 6 | 1.086 | 0.162 | 0.946 | 0.263 | 0.022 | 0.855 |
Table 6.
Langmuir and Freundlich isotherms of Eu3+ adsorption on kaolinite and halloysite.
Table 6.
Langmuir and Freundlich isotherms of Eu3+ adsorption on kaolinite and halloysite.
| Adsorbent | pH | Langmuir | Freundlich |
|---|
| qm (mg·g−1) | KL (L·g−1) | R2 | 1/n | KF (mg·g−1)·(g·L−1)1/n | R2 |
|---|
| Hal | 2 | 3.772 | 0.011 | 0.996 | 0.674 | 0.041 | 0.991 |
| 3 | 3.318 | 0.030 | 0.996 | 0.498 | 0.064 | 0.975 |
| 4 | 3.807 | 0.042 | 0.978 | 0.449 | 0.082 | 0.900 |
| 5 | 4.418 | 0.035 | 0.985 | 0.481 | 0.090 | 0.920 |
| 6 | 4.487 | 0.034 | 0.987 | 0.488 | 0.091 | 0.929 |
| Kaol | 2 | 1.138 | 0.071 | 0.997 | 0.360 | 0.026 | 0.934 |
| 3 | 1.554 | 0.071 | 0.995 | 0.363 | 0.035 | 0.955 |
| 4 | 1.494 | 0.120 | 0.972 | 0.286 | 0.032 | 0.821 |
| 5 | 2.222 | 0.068 | 0.987 | 0.375 | 0.051 | 0.913 |
| 6 | 2.644 | 0.050 | 0.979 | 0.419 | 0.058 | 0.954 |
Table 7.
Langmuir and Freundlich isotherms of Dy3+ adsorption on kaolinite and halloysite.
Table 7.
Langmuir and Freundlich isotherms of Dy3+ adsorption on kaolinite and halloysite.
| Adsorbent | pH | Langmuir | Freundlich |
|---|
| qm (mg·g−1) | KL (L·g−1) | R2 | 1/n | KF (mg·g−1)·(g·L−1)1/n | R2 |
|---|
| Hal | 2 | 2.979 | 0.014 | 0.991 | 0.632 | 0.040 | 0.990 |
| 3 | 3.033 | 0.037 | 0.993 | 0.479 | 0.064 | 0.953 |
| 4 | 4.145 | 0.031 | 0.963 | 0.499 | 0.081 | 0.944 |
| 5 | 4.365 | 0.037 | 0.976 | 0.468 | 0.090 | 0.900 |
| 6 | 4.978 | 0.031 | 0.982 | 0.502 | 0.098 | 0.924 |
| Kaol | 2 | 1.496 | 0.049 | 0.987 | 0.422 | 0.033 | 0.971 |
| 3 | 1.419 | 0.079 | 0.997 | 0.369 | 0.034 | 0.933 |
| 4 | 1.500 | 0.130 | 0.909 | 0.273 | 0.031 | 0.746 |
| 5 | 1.642 | 0.117 | 0.933 | 0.289 | 0.035 | 0.776 |
| 6 | 2.159 | 0.080 | 0.971 | 0.372 | 0.053 | 0.853 |