Sign in to use this feature.

Years

Between: -

Subjects

remove_circle_outline
remove_circle_outline
remove_circle_outline
remove_circle_outline
remove_circle_outline

Journals

Article Types

Countries / Regions

Search Results (21)

Search Parameters:
Keywords = cardinality probability hypothesis density

Order results
Result details
Results per page
Select all
Export citation of selected articles as:
38 pages, 4236 KB  
Article
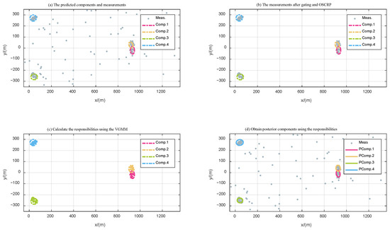
Variational Gaussian Mixture Model for Tracking Multiple Extended Targets or Unresolvable Group Targets in Closely Spaced Scenarios
by Yuanhao Cheng, Yunhe Cao, Tat-Soon Yeo, Yulin Zhang and Jie Fu
Remote Sens. 2025, 17(22), 3696; https://doi.org/10.3390/rs17223696 - 12 Nov 2025
Viewed by 503
Abstract
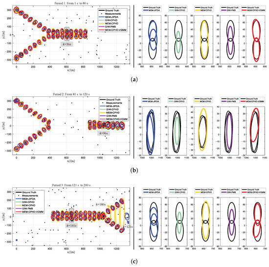
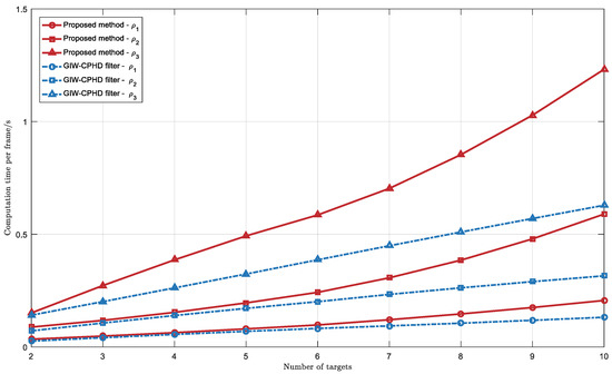
Many multi-target tracking applications (e.g., tracking multiple targets with LiDAR or millimeter-wave radar) are challenged by closely spaced targets. In this work, we propose a method for the tracking of multiple extended targets or unresolvable group targets in such scenarios. The approach builds [...] Read more.
Many multi-target tracking applications (e.g., tracking multiple targets with LiDAR or millimeter-wave radar) are challenged by closely spaced targets. In this work, we propose a method for the tracking of multiple extended targets or unresolvable group targets in such scenarios. The approach builds on the cardinality probability hypothesis density (CPHD) filtering framework for computational efficiency, models the target’s extent with the multiplicative error model (MEM), and uses variational Gaussian mixture model (VGMM)-derived responsibilities to drive probabilistic data association (PDA) measurement updates. This effectively mitigates state fusion between closely spaced targets and yields more accurate state estimation. In experiments on diverse simulated and real datasets, the proposed method consistently outperforms existing approaches, achieving the lowest localization, shape estimation, and cardinality estimation errors while maintaining an acceptable runtime and scalability. Full article
Show Figures

Figure 1

21 pages, 12482 KB  
Article
RCS–Doppler-Assisted MM-GM-PHD Filter for Passive Radar in Non-Uniform Clutter
by Jia Wang, Baoxiong Xu, Zhenkai Zhang and Biao Jin
Sensors 2025, 25(18), 5864; https://doi.org/10.3390/s25185864 - 19 Sep 2025
Viewed by 687
Abstract
In passive radar, the multiple model probability hypothesis density (MM-PHD) filter has demonstrated robust capability in tracking multi-maneuvering targets. Nevertheless, non-uniform clutter in practical scenarios causes misestimation of component weights, thereby generating false targets. To solve the false targets problem, a feature-matching MM-PHD [...] Read more.
In passive radar, the multiple model probability hypothesis density (MM-PHD) filter has demonstrated robust capability in tracking multi-maneuvering targets. Nevertheless, non-uniform clutter in practical scenarios causes misestimation of component weights, thereby generating false targets. To solve the false targets problem, a feature-matching MM-PHD (FM-MM-GM-PHD) algorithm for passive radar tracking is proposed in this paper. First, the measurement likelihood function was refined by leveraging target radar cross-section (RCS) and Doppler features to assist in suppressing false targets and reduce clutter interference. Additionally, the proposed algorithm incorporated adaptive component pruning and absorption processes to enhance tracking accuracy. Finally, a missed-alarm correction mechanism was introduced to compensate for measurement losses. Simulations of the passive radar results validated the findings that the proposed algorithm outperformed the traditional MM-PHD filter in both tracking accuracy and cardinality estimation. This superiority was particularly pronounced in non-uniform clutter environments under low detection probabilities. Full article
Show Figures

Figure 1

20 pages, 2572 KB  
Article
A Study on Distributed Multi-Sensor Fusion for Nonlinear Systems Under Non-Overlapping Fields of View
by Liu Wang, Yang Zhou, Wenjia Li, Lijuan Shi, Jian Zhao and Haiyan Wang
Sensors 2025, 25(13), 4241; https://doi.org/10.3390/s25134241 - 7 Jul 2025
Cited by 1 | Viewed by 1033
Abstract
To explore how varying viewpoints influence the accuracy of distributed fusion in asynchronous, nonlinear visual-field systems, this study investigates fusion strategies for multi-target tracking. The primary focus is on how different sensor perspectives affect the fusion of nonlinear moving-target data and the spatial [...] Read more.
To explore how varying viewpoints influence the accuracy of distributed fusion in asynchronous, nonlinear visual-field systems, this study investigates fusion strategies for multi-target tracking. The primary focus is on how different sensor perspectives affect the fusion of nonlinear moving-target data and the spatial segmentation of such targets. We propose a differential-view nonlinear multi-target tracking approach that integrates the Gaussian mixture, jump Markov nonlinear system, and the cardinalized probability hypothesis density (GM-JMNS-CPHD). The method begins by partitioning the observation space based on the boundaries of distinct viewpoints. Next, it applies a combined technique—the TOPSIS (Technique for Order Preference by Similarity to Ideal Solution) and SOS (stochastic outlier selection)—to identify outliers near these boundaries. To achieve accurate detection, the posterior intensity is split into several sub-intensities, followed by reconstructing the multi-Bernoulli cardinality distribution to model the target population in each subregion. The algorithm’s computational complexity remains on par with the standard GM-JMNS-CPHD filter. Simulation results confirm the proposed method’s robustness and accuracy, demonstrating a lower error rate compared to other benchmark algorithms. Full article
(This article belongs to the Section Sensing and Imaging)
Show Figures

Figure 1

22 pages, 3428 KB  
Article
Robust Smoothing Cardinalized Probability Hypothesis Density Filter-Based Underwater Multi-Target Direction-of-Arrival Tracking with Uncertain Measurement Noise
by Xinyu Gu, Xianghao Hou, Boxuan Zhang, Yixin Yang and Shuanping Du
Entropy 2025, 27(4), 438; https://doi.org/10.3390/e27040438 - 18 Apr 2025
Viewed by 884
Abstract
In view of the typical multi-target scenarios of underwater direction-of-arrival (DOA) tracking complicated by uncertain measurement noise in unknown underwater environments, a robust underwater multi-target DOA tracking method is proposed by incorporating Saga–Husa (SH) noise estimation and a backward smoothing technique within the [...] Read more.
In view of the typical multi-target scenarios of underwater direction-of-arrival (DOA) tracking complicated by uncertain measurement noise in unknown underwater environments, a robust underwater multi-target DOA tracking method is proposed by incorporating Saga–Husa (SH) noise estimation and a backward smoothing technique within the framework of the cardinalized probability hypothesis density (CPHD) filter. First, the kinematic model of underwater targets and the measurement model based on the received signals of a hydrophone array are established, from which the CPHD-based multi-target DOA tracking algorithm is derived. To mitigate the adverse impact of uncertain measurement noise, the Saga–Husa approach is deployed for dynamic noise estimation, thereby reducing noise-induced performance degradation. Subsequently, a backward smoothing technique is applied to the forward filtering results to further enhance tracking robustness and precision. Finally, extensive simulations and experimental evaluations demonstrate that the proposed method outperforms existing DOA estimation and tracking techniques in terms of robustness and accuracy under uncertain measurement noise conditions. Full article
(This article belongs to the Special Issue Space-Air-Ground-Sea Integrated Communication Networks)
Show Figures

Figure 1

24 pages, 3276 KB  
Article
Trajectory PHD and CPHD Filters for the Pulse Doppler Radar
by Mei Zhang, Yongbo Zhao and Ben Niu
Remote Sens. 2024, 16(24), 4671; https://doi.org/10.3390/rs16244671 - 14 Dec 2024
Viewed by 1099
Abstract
Different from the standard probability hypothesis density (PHD) and cardinality probability hypothesis density (CPHD) filters, the trajectory PHD (TPHD) and trajectory CPHD (TCPHD) filters employ the sets of trajectories rather than the sets of the targets as the variables for multi-target filtering. The [...] Read more.
Different from the standard probability hypothesis density (PHD) and cardinality probability hypothesis density (CPHD) filters, the trajectory PHD (TPHD) and trajectory CPHD (TCPHD) filters employ the sets of trajectories rather than the sets of the targets as the variables for multi-target filtering. The TPHD and TCPHD filters exploit the inherent potential of the standard PHD and CPHD filters to generate the target trajectory estimates from first principles. In this paper, we develop the TPHD and TCPHD filters for pulse Doppler radars (PD-TPHD and PD-TCPHD filters) to improve the multi-target tracking performance in the scenario with clutter. The Doppler radar can obtain the Doppler measurements of targets in addition to the position measurements of targets, and both measurements are integrated into the recursive filtering of PD-TPHD and PD-TCPHD. PD-TPHD and PD-TCPHD can propagate the best augmented Poisson and independent identically distributed multi-trajectory density approximation, respectively, through the Kullback–Leibler divergence minimization operation. Considering the low computational complexity of sequential filtering, Doppler measurements are sequentially applied to the Gaussian mixture implementation. Moreover, we perform the L-scan implementations of PD-TPHD and PD-TCPHD. Simulation results demonstrate the effectiveness and robustness of the proposed algorithms in the scenario with clutter. Full article
Show Figures

Figure 1

18 pages, 2669 KB  
Communication
The GM-JMNS-CPHD Filtering Algorithm for Nonlinear Systems Based on a Generalized Covariance Intersection
by Zhixuan Xu, Yu Wei, Xiaobao Qin and Pengfei Guo
Sensors 2024, 24(5), 1508; https://doi.org/10.3390/s24051508 - 26 Feb 2024
Cited by 1 | Viewed by 1580
Abstract
Some fusion criteria in multisensor and multitarget motion tracking cannot be directly applied to nonlinear motion models, as the fusion accuracy applied in nonlinear systems is relatively low. In response to the above issue, this study proposes a distributed Gaussian mixture cardinality jumping [...] Read more.
Some fusion criteria in multisensor and multitarget motion tracking cannot be directly applied to nonlinear motion models, as the fusion accuracy applied in nonlinear systems is relatively low. In response to the above issue, this study proposes a distributed Gaussian mixture cardinality jumping Markov-cardinalized probability hypothesis density (GM-JMNS-CPHD) filter based on a generalized inverse covariance intersection. The state estimation of the JMNS-CPHD filter combines the state evaluation of traditional CPHD filters with the state estimation of jump Markov systems, estimating the target state of multiple motion models without knowing the current motion models. The performances of the generalized covariance intersection (GCI)GCI-GM-JMNS-CPHD and generalized inverse covariance intersection (GICI)GICI-GM-JMNS-CPHD methods are evaluated via simulation results. The simulation results show that, compared with algorithms such as Sensor1, Sensor2, GCI-GM-CPHD, and GICI-GM-CPHD, this algorithm has smaller optimal subpattern assignment (OSPA) errors and a higher fusion accuracy. Full article
(This article belongs to the Section Fault Diagnosis & Sensors)
Show Figures

Figure 1

26 pages, 4633 KB  
Article
A Robust TCPHD Filter for Multi-Sensor Multitarget Tracking Based on a Gaussian–Student’s t-Mixture Model
by Shaoming Wei, Yingbin Lin, Jun Wang, Yajun Zeng, Fangrui Qu, Xuan Zhou and Zhuotong Lu
Remote Sens. 2024, 16(3), 506; https://doi.org/10.3390/rs16030506 - 28 Jan 2024
Cited by 2 | Viewed by 2010
Abstract
To realize multitarget trajectory tracking under non-Gaussian heavy-tailed noise, we propose a Gaussian–Student t-mixture distribution-based trajectory cardinality probability hypothesis density filter (GSTM-TCPHD). We introduce the multi-sensor GSTM-TCPHD (MS-GSTM-TCPHD) filter to enhance tracking performance. Conventional cardinality probability hypothesis density (CPHD) filters typically assume Gaussian [...] Read more.
To realize multitarget trajectory tracking under non-Gaussian heavy-tailed noise, we propose a Gaussian–Student t-mixture distribution-based trajectory cardinality probability hypothesis density filter (GSTM-TCPHD). We introduce the multi-sensor GSTM-TCPHD (MS-GSTM-TCPHD) filter to enhance tracking performance. Conventional cardinality probability hypothesis density (CPHD) filters typically assume Gaussian noise and struggle to accurately establish target trajectories when faced with heavy-tailed non-Gaussian distributions. Heavy-tailed noise leads to significant estimation errors and filter dispersion. Moreover, the exact trajectory of the target is crucial for tracking and prediction. Our proposed GSTM-TCPHD filter utilizes the GSTM distribution to model heavy-tailed noise, reducing modeling errors and generating a set of potential target trajectories. Since single sensors have a limited field of view and limited measurement information, we extend the filter to a multi-sensor scenario. To tackle the issue of data explosion from multiple sensors, we employed a greedy approximation method to assess measurements and introduced the MS-GSTM-TCPHD filter. The simulation results demonstrate that our proposed filter outperforms the CPHD/TCPHD filter and Student’s t-based TCPHD filter in terms of accurately estimating the trajectories of multiple targets during tracking while also achieving improved accuracy and shorter processing time. Full article
(This article belongs to the Special Issue State-of-the-Art and Future Developments: Short-Range Radar)
Show Figures

Figure 1

23 pages, 6829 KB  
Article
A Gaussian Mixture CPHD Filter for Multi-Target Tracking in Target-Dependent False Alarms
by Qi Jiang, Rui Wang, Libin Dou, Longxiang Jiao and Cheng Hu
Remote Sens. 2024, 16(2), 251; https://doi.org/10.3390/rs16020251 - 8 Jan 2024
Cited by 5 | Viewed by 2313
Abstract
The estimation of the target number and individual tracks are two major tasks in multi-target tracking. The main shortcoming of traditional tracking methods is the cumbersome data association between measurements and targets. The cardinalized probability hypothesis density filter (CPHD) proposed in recent years [...] Read more.
The estimation of the target number and individual tracks are two major tasks in multi-target tracking. The main shortcoming of traditional tracking methods is the cumbersome data association between measurements and targets. The cardinalized probability hypothesis density filter (CPHD) proposed in recent years can achieve the requirement for multitarget tracking. This kind of filter jointly estimates the cardinality distribution and the posterior density, which can achieve a more stable estimate of the target number. However, targets with complex micro-Doppler signatures (drones, birds, etc.) may generate target-dependent false alarms, which is contrary to the traditional uniform distribution assumption. In this case, the estimates of traditional CPHD filter will suffer from the abnormal transfer of PHD mass, causing the degradation of filtering performance. This paper studies the individual tracking of group targets with an improved GM-CPHD filter. First, the target-dependent false alarms are modeled with a general independent and identically distributed (I.I.D.) cluster process. Second, the update equations of cardinality and PHD density in target-dependent false alarms are derived. Finally, a practical solution using the Gaussian mixture method is proposed. The effectiveness of the proposed filter is verified by the simulation and experimental results. Full article
(This article belongs to the Section Engineering Remote Sensing)
Show Figures

Figure 1

21 pages, 5688 KB  
Article
An Efficient Implementation Method for Distributed Fusion in Sensor Networks Based on CPHD Filters
by Liu Wang and Guifen Chen
Sensors 2024, 24(1), 117; https://doi.org/10.3390/s24010117 - 25 Dec 2023
Cited by 2 | Viewed by 2294
Abstract
A highly efficient implementation method for distributed fusion in sensor networks based on CPHD filters is proposed to address the issues of unknown cross-covariance fusion estimation and long fusion times in multi-sensor distributed fusion. This method can effectively and efficiently fuse multi-node information [...] Read more.
A highly efficient implementation method for distributed fusion in sensor networks based on CPHD filters is proposed to address the issues of unknown cross-covariance fusion estimation and long fusion times in multi-sensor distributed fusion. This method can effectively and efficiently fuse multi-node information in multi-target tracking applications. Discrete gamma cardinalized probability hypothesis density (DG-CPHD) can effectively reduce the computational burden while ensuring computational accuracy similar to that of CPHD filters. Parallel inverse covariance intersection (PICI) can effectively avoid solving high-dimensional weight coefficient convex optimization problems, reduce the computational burden, and efficiently implement filtering fusion strategies. The effectiveness of the algorithm is demonstrated through simulation results, which indicate that PICI-GM-DG-CPHD can substantially reduce the computational time compared to other algorithms and is more suitable for distributed sensor fusion. Full article
(This article belongs to the Section Sensor Networks)
Show Figures

Figure 1

18 pages, 493 KB  
Article
Vardiational Bayesian Hybrid Multi-Bernoulli and CPHD Filters for Superpositional Sensors
by Wenjie Xu, Huaguo Zhang, Gaiyou Li and Wanchun Li
Electronics 2023, 12(9), 2083; https://doi.org/10.3390/electronics12092083 - 2 May 2023
Cited by 3 | Viewed by 1872
Abstract
This paper addresses the problem of multi-target tracking with superpositional sensors, while the covariance matrices of measurement noise are not known. The proposed method is based on the hybrid multi-Bernoulli cardinalized probability hypothesis density (HMB-CPHD) filter, which has been developed for superpositional sensors-based [...] Read more.
This paper addresses the problem of multi-target tracking with superpositional sensors, while the covariance matrices of measurement noise are not known. The proposed method is based on the hybrid multi-Bernoulli cardinalized probability hypothesis density (HMB-CPHD) filter, which has been developed for superpositional sensors-based multi-target tracking with known measurement noises. Specifically, we firstly propose the Gaussian mixture (GM) implementation of the HMB-CPHD filter, and then the covariance matrices of measurement noises are augmented into the target state vector, resulting in the Gaussian and inverse Wishart mixture (GIWM) representation of the augmented state. Then the variational Bayesian (VB) method is exploited to approximate the posterior distribution so that it maintains the same form as the prior distribution. A remarkable feature of the proposed method is that it can jointly perform multi-target tracking and measurement noise covariance estimation. The performance of the proposed algorithm is demonstrated via simulations. Full article
(This article belongs to the Section Microwave and Wireless Communications)
Show Figures

Figure 1

17 pages, 3535 KB  
Article
Gaussian Mixture Cardinalized Probability Hypothesis Density(GM-CPHD): A Distributed Filter Based on the Intersection of Parallel Inverse Covariances
by Liu Wang, Guifen Chen and Guangjiao Chen
Sensors 2023, 23(6), 2921; https://doi.org/10.3390/s23062921 - 8 Mar 2023
Cited by 5 | Viewed by 2330
Abstract
A distributed GM-CPHD filter based on parallel inverse covariance crossover is designed to attenuate the local filtering and uncertain time-varying noise affecting the accuracy of sensor signals. First, the GM-CPHD filter is identified as the module for subsystem filtering and estimation due to [...] Read more.
A distributed GM-CPHD filter based on parallel inverse covariance crossover is designed to attenuate the local filtering and uncertain time-varying noise affecting the accuracy of sensor signals. First, the GM-CPHD filter is identified as the module for subsystem filtering and estimation due to its high stability under Gaussian distribution. Second, the signals of each subsystem are fused by invoking the inverse covariance cross-fusion algorithm, and the convex optimization problem with high-dimensional weight coefficients is solved. At the same time, the algorithm reduces the burden of data computation, and data fusion time is saved. Finally, the GM-CPHD filter is added to the conventional ICI structure, and the generalization capability of the parallel inverse covariance intersection Gaussian mixture cardinalized probability hypothesis density (PICI-GM-CPHD) algorithm reduces the nonlinear complexity of the system. An experiment on the stability of Gaussian fusion models is organized and linear and nonlinear signals are compared by simulating the metrics of different algorithms, and the results show that the improved algorithm has a smaller metric OSPA error than other mainstream algorithms. Compared with other algorithms, the improved algorithm improves the signal processing accuracy and reduces the running time. The improved algorithm is practical and advanced in terms of multisensor data processing. Full article
(This article belongs to the Section Physical Sensors)
Show Figures

Figure 1

17 pages, 2059 KB  
Article
SMC-CPHD Filter with Adaptive Survival Probability for Multiple Frequency Tracking
by Sun Young Kim, Chang Ho Kang and Chan Gook Park
Appl. Sci. 2022, 12(3), 1369; https://doi.org/10.3390/app12031369 - 27 Jan 2022
Cited by 6 | Viewed by 1990
Abstract
We propose a sequential Monte Carlo-based cardinalized probability hypothesis density (SMC-CPHD) filter with adaptive survival probability for multiple frequency tracking to enhance the tracking performance. The survival probability of the particles in the filter is adjusted using the pre-designed exponential function related to [...] Read more.
We propose a sequential Monte Carlo-based cardinalized probability hypothesis density (SMC-CPHD) filter with adaptive survival probability for multiple frequency tracking to enhance the tracking performance. The survival probability of the particles in the filter is adjusted using the pre-designed exponential function related to the distribution of the estimated particle points. In order to ensure whether the proposed survival probability affects the stability of the filter, the error bounds in the prediction process are analyzed. Moreover, an inverse covariance intersection-based compensation method is added to enhance cardinality tracking performance by integrating two types of cardinality information from the CPHD filter and data clustering process. To evaluate the proposed method’s performance, MATLAB-based simulations are performed. As a result, the tracking performance of the multiple frequencies has been confirmed, and the accuracy of cardinality estimates are improved compared to the existing filters. Full article
Show Figures

Figure 1

20 pages, 712 KB  
Communication
Cooperative-PHD Tracking Based on Distributed Sensors for Naval Surveillance Area
by Kleberson Meireles de Lima and Ramon Romankevicius Costa
Sensors 2022, 22(3), 729; https://doi.org/10.3390/s22030729 - 19 Jan 2022
Cited by 4 | Viewed by 2717
Abstract
Brazil has an extensive coastline and Exclusive Economic Zone (EEZ) area, which are of high economic and strategic importance. A Maritime Surveillance System becomes necessary to provide information and data to proper authorities, and target tracking is crucial. This paper focuses on a [...] Read more.
Brazil has an extensive coastline and Exclusive Economic Zone (EEZ) area, which are of high economic and strategic importance. A Maritime Surveillance System becomes necessary to provide information and data to proper authorities, and target tracking is crucial. This paper focuses on a multitarget tracking application to a large-scale maritime surveillance system. The system is composed of a sensor network distributed over an area of interest. Due to the limited computational capabilities of nodes, the sensors send their tracking data to a central station, which is responsible for gathering and processing information obtained by the distributed components. The local Multitarget Tracking (MTT) algorithm employs a random finite set approach, which adopts a Gaussian mixture Probability Hypothesis Density (PHD) filter. The proposed data fusion scheme, utilized in the central station, consists of an additional step of prune & merge to the original GM PHD filter algorithm, which is the main contribution of this work. Through simulations, this study illustrates the performance of the proposed algorithm with a network composed of two stationary sensors providing the data. This solution yields a better tracking performance when compared to individual trackers, which is attested by the Optimal Subpattern Assignment (OSPA) metric and its location and cardinality components. The presented results illustrate the overall performance improvement attained by the proposed solution. Moreover, they also stress the need to resort to a distributed sensor network to tackle real problems related to extended targets. Full article
(This article belongs to the Section Physical Sensors)
Show Figures

Figure 1

15 pages, 1799 KB  
Article
Passive Tracking of Multiple Underwater Targets in Incomplete Detection and Clutter Environment
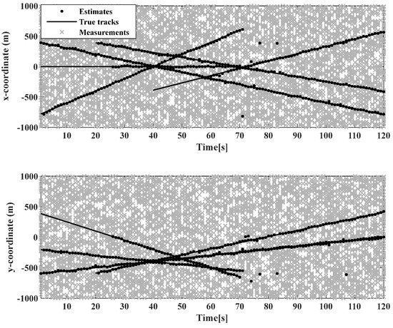
by Xiaohua Li, Bo Lu, Wasiq Ali and Haiyan Jin
Entropy 2021, 23(8), 1082; https://doi.org/10.3390/e23081082 - 20 Aug 2021
Cited by 7 | Viewed by 3324
Abstract
A major advantage of the use of passive sonar in the tracking multiple underwater targets is that they can be kept covert, which reduces the risk of being attacked. However, the nonlinearity of the passive Doppler and bearing measurements, the range unobservability problem, [...] Read more.
A major advantage of the use of passive sonar in the tracking multiple underwater targets is that they can be kept covert, which reduces the risk of being attacked. However, the nonlinearity of the passive Doppler and bearing measurements, the range unobservability problem, and the complexity of data association between measurements and targets make the problem of underwater passive multiple target tracking challenging. To deal with these problems, the cardinalized probability hypothesis density (CPHD) recursion, which is based on Bayesian information theory, is developed to handle the data association uncertainty, and to acquire existing targets’ numbers and states (e.g., position and velocity). The key idea of the CPHD recursion is to simultaneously estimate the targets’ intensity and the probability distribution of the number of targets. The CPHD recursion is the first moment approximation of the Bayesian multiple targets filter, which avoids the data association procedure between the targets and measurements including clutter. The Bayesian-filter-based extended Kalman filter (EKF) is applied to deal with the nonlinear bearing and Doppler measurements. The experimental results show that the EKF-based CPHD recursion works well in the underwater passive multiple target tracking system in cluttered and noisy environments. Full article
Show Figures

Figure 1

17 pages, 3758 KB  
Article
Multisensor RFS Filters for Unknown and Changing Detection Probability
by Zhiguo Zhang, Qing Li and Jinping Sun
Electronics 2019, 8(7), 741; https://doi.org/10.3390/electronics8070741 - 30 Jun 2019
Cited by 4 | Viewed by 2899
Abstract
The detection probability is an important parameter in multisensor multitarget tracking. The existing multisensor multi-Bernoulli (MS-MeMBer) filter and multisensor cardinalized probability hypothesis density (MS-CPHD) filter require that detection probability is a priori. However, in reality, the value of the detection probability is constantly [...] Read more.
The detection probability is an important parameter in multisensor multitarget tracking. The existing multisensor multi-Bernoulli (MS-MeMBer) filter and multisensor cardinalized probability hypothesis density (MS-CPHD) filter require that detection probability is a priori. However, in reality, the value of the detection probability is constantly changing due to the influence of sensors, targets, and other environmental characteristics. Therefore, to alleviate the performance deterioration caused by the mismatch of the detection probability, this paper applies the inverse gamma Gaussian mixture (IGGM) distribution to both the MS-MeMBer filter and the MS-CPHD filter. Specifically, the feature used for detection is assumed to obey the inverse gamma distribution and is statistically independent of the target’s spatial position. The feature is then integrated into the target state to iteratively estimate the target detection probability as well as the motion state. The experimental results demonstrate that the proposed methods can achieve a better filtering performance in scenarios with unknown and changing detection probability. It is also shown that the distribution of the sensors has a vital influence on the filtering accuracy, and the filters perform better when sensors are dispersed in the monitoring area. Full article
(This article belongs to the Special Issue Radar Sensor for Motion Sensing and Automobile)
Show Figures

Figure 1

Back to TopTop