Passive Tracking of Multiple Underwater Targets in Incomplete Detection and Clutter Environment
Abstract
:1. Introduction
2. Signal Model and Problem Formulation
2.1. System Model
2.2. Measurement Model
3. CPHD Recursion Based on Bayesian Theory
3.1. RFS Formulation of Multiple Target Filtering
3.2. CPHD Recursion
- Each expected target produces bearing and Doppler measurements independently from one another;
- The targets’ birth RFS is independent of the surviving target RFS;
- The clutter’s RFS is independent from the true targets’ measurement RFS;
- The prior and predicted multiple targets’ RFSs are both independent and identically distributed processes.
3.3. EKF-Based CPHD Recursion
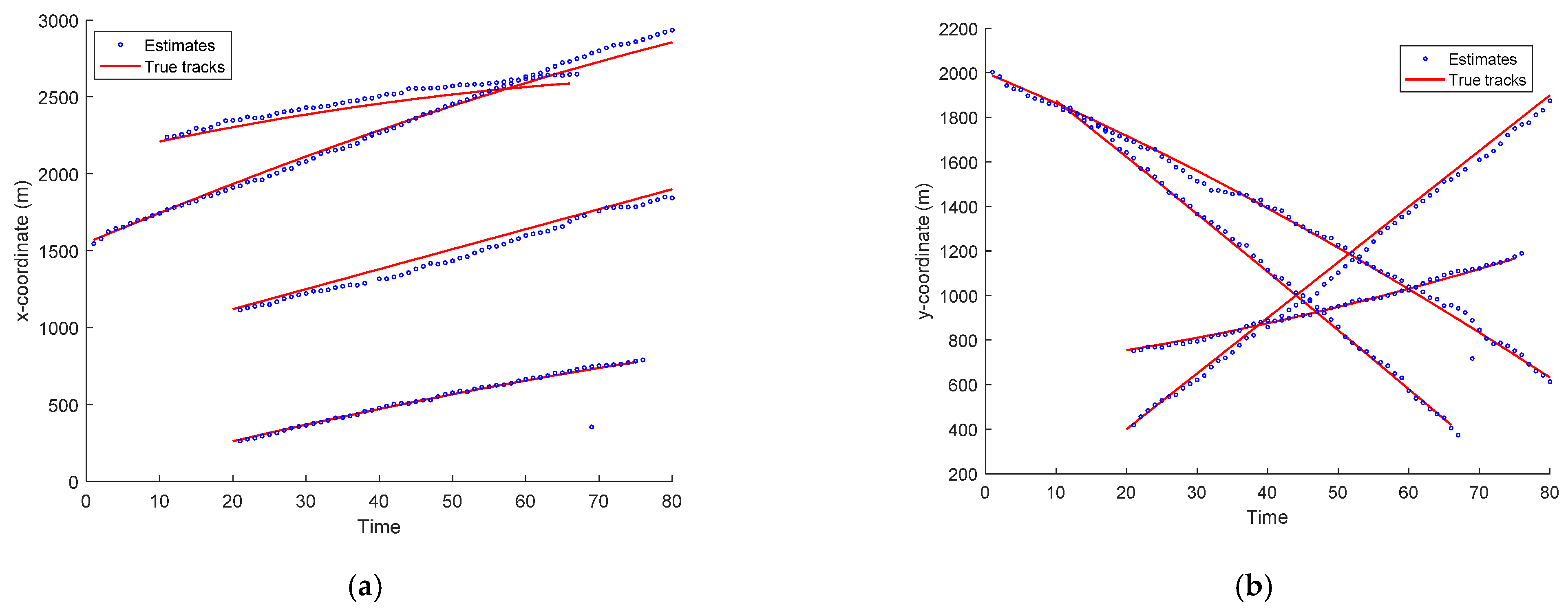
4. Simulations
5. Conclusions
Author Contributions
Funding
Data Availability Statement
Conflicts of Interest
References
- Yardim, C.; Michalopoulou, Z.H.; Gerstoft, P. An overview of sequential Bayesian filtering in ocean acoustics. IEEE J. Ocean. Eng. 2011, 36, 71–89. [Google Scholar] [CrossRef]
- Arulampalam, M.S.; Ristic, B.; Gordon, N.; Mansell, T. Bearings-only tracking of maneuvering targets using particle filters. EURASIP J. Adv. Signal Process. 2004, 15, 2351–2365. [Google Scholar]
- Ristic, B.; Arulampalam, M.S. Tracking a maneuvering target using angle-only measurements: Algorithms and performance. Signal Process. 2003, 83, 1223–1238. [Google Scholar] [CrossRef]
- Song, T.L. Observability of target tracking with bearings only measurements. IEEE Trans. Aerosp. Electron. Syst. 1996, 32, 1468–1471. [Google Scholar] [CrossRef]
- Li, Y.; Cheng, Y.; Li, X.; Wang, H.; Hua, X.; Qin, Y. Bayesian nonlinear filtering via information geometric optimization. Entropy 2017, 19, 655. [Google Scholar] [CrossRef] [Green Version]
- Hu, C.; Lin, H.; Li, Z.; He, B.; Liu, G. Kullback–Leibler divergence based distributed cubature Kalman filter and its application in cooperative space object tracking. Entropy 2018, 20, 116. [Google Scholar] [CrossRef] [Green Version]
- Ali, W.; Li, Y.; Chen, Z.; Raja, M.A.Z.; Ahmed, N.; Chen, X. Application of spherical-radial cubature Bayesian filtering and smoothing in bearings only passive target tracking. Entropy 2019, 21, 1088. [Google Scholar] [CrossRef] [Green Version]
- Chan, Y.T.; Rudnicki, S.W. Bearings-only and Doppler-bearing tracking using instrumental variables. IEEE Trans. Aerosp. Electron. Syst. 1992, 28, 1076–1083. [Google Scholar] [CrossRef]
- Miller, A.; Miller, B. Tracking of the UAV trajectory on the basis of bearing-only observations. In Proceedings of the 53rd IEEE Conference on Decision and Control, Los Angeles, CA, USA, 15–17 December 2014; pp. 4178–4184. [Google Scholar]
- Nardone, S.C.; Lindgren, A.G.; Gong, K.F. Fundamental properties and performance of conventional bearings-only target motion analysis. IEEE Trans. Autom. Control 1984, 29, 775–787. [Google Scholar] [CrossRef]
- Konatowski, S.; Kaniewski, P.; Matuszewski, J. Comparison of estimation accuracy of EKF, UKF and PF filters. Ann. Navigat. 2016, 23, 69–87. [Google Scholar] [CrossRef] [Green Version]
- Van Der Merwe, R.; Wan, E.A. The square-root unscented Kalman filter for state and parameter-estimation. In Proceedings of the 2001 IEEE International Conference on Acoustics, Speech, and Signal Processing (ICASSP’01), Salt Lake City, UT, USA, 7–11 May 2001; pp. 3461–3464. [Google Scholar]
- Li, X.; Zhao, C.; Yu, J.; Wei, W. Underwater bearing-only and bearing-Doppler target tracking based on square root unscented Kalman filter. Entropy 2019, 21, 740. [Google Scholar] [CrossRef] [Green Version]
- Ristic, B.; Arulampalam, M.S.; Gordon, N. Beyond the Kalman Filter; Artech House: Boston, MA, USA, 2004. [Google Scholar]
- Arulampalam, M.; Maskell, S.; Gordon, N. A tutorial on particle filters for online nonlinear/non-gaussian bayesian tracking. IEEE Trans. Signal Process. 2002, 50, 174–188. [Google Scholar] [CrossRef] [Green Version]
- Van Trees, H.L.; Bell, K.L. Bayesian Bounds for Parameter Estimation and Nonlinear Filtering/Tracking; Wiley: Hoboken, NJ, USA, 2007. [Google Scholar]
- Bar-Shalom, Y.; Li, X.; Kirubarajan, T. Estimation with Applications to Tracking and Navigation: Theory Algorithms and Software; JohnWiley & Sons: Hoboken, NJ, USA, 2004. [Google Scholar]
- Lang, T.; Hayes, G. Evaluation of an MHT-enabled tracker with simulated multistatic sonar data. In Proceedings of the IEEE Oceans Conference, Aberdeen, Scotland, UK, 18–21 June 2007; pp. 1–6. [Google Scholar]
- Hempel, C. Probabilistic multi-hypothesis tracking for distributed multistatic active sonar. In Proceedings of the 9th International Conference on Information Fusion, Florence, Italy, 10–13 July 2006; pp. 1–5. [Google Scholar]
- Georgescu, R.; Schoenecker, S.; Willett, P. GM-CPHD and MLPDA applied to the SEABAR07 and TNO-blind multi-static sonar data. In Proceedings of the 12th International Conference on Information Fusion, Seattle, WA, USA, 6–9 July 2009; pp. 1851–1858. [Google Scholar]
- Erdinc, O.; Willett, P.; Bar-Shalom, Y. Probability hypothesis density filter for multitarget multisensor tracking. In Proceedings of the 7th International Conference on Information Fusion, Philadelphia, PA, USA, 25–28 July 2005; pp. 146–153. [Google Scholar]
- Vo, B.-T.; Vo, B.-N.; Cantoni, A. Bayesian filtering with random finite set observations. IEEE Trans. Signal Process. 2008, 56, 1313–1326. [Google Scholar] [CrossRef] [Green Version]
- Mahler, R. Multitarget Bayes filtering via first-order multitarget moments. IEEE Trans. Aerosp. Electron. Syst. 2003, 39, 1152–1178. [Google Scholar] [CrossRef]
- Mahler, R. PHD filters of higher order in target number. IEEE Trans. Aerosp. Electron. Syst. 2007, 43, 1523–1543. [Google Scholar] [CrossRef]
- Vo, B.-N.; Singh, S.; Doucet, A. Sequential Monte Carlo methods for multitarget filtering with random finite sets. IEEE Trans. Aerosp. Electron. Syst. 2005, 41, 1224–1245. [Google Scholar]
- Vo, B.-N.; Ma, W.-K. The Gaussian mixture probability hypothesis density filter. IEEE Trans. Signal Process. 2006, 54, 4091–4104. [Google Scholar] [CrossRef]
- Vo, B.-T.; Vo, B.-N.; Cantoni, A. Analytic implementations of the cardinalized probability hypothesis density filter. IEEE Trans. Signal Process. 2007, 55, 3553–3567. [Google Scholar] [CrossRef]
- Chen, X.; Li, Y.; Yu, J.; Li, Y. Developing the fuzzy c-means clustering algorithm based on maximum entropy for multitarget tracking in a cluttered environment. J. Appl. Remote Sens. 2018, 12, 016019. [Google Scholar] [CrossRef]
- Zhan, X.; Wang, X.; Li, L. Online Multi-Object Tracking via maximum entropy Intuitionistic Fuzzy Data Association. In Proceedings of the 2018 14th IEEE International Conference on Signal Processing (ICSP), Beijing, China, 12–16 August 2018; pp. 803–806. [Google Scholar]
- Shozo, M.; Chee, C. Cross-entropy method for K-best dependent-target data association hypothesis selection. In Proceedings of the 13th International Conference on Information Fusion, Edinburgh, UK, 26–29 July 2010; pp. 1–8. [Google Scholar]
- Lian, X.; Hamdulla, A. A Maximal Fuzzy Entropy Based Gaussian Clustering Algorithm for Tracking Dim Moving Point Targets in Image Sequences. In Proceedings of the 2008 International Conference on Computer Science and Software Engineering, Wuhan, China, 12–14 December 2008; pp. 54–57. [Google Scholar]
- Zhou, X.; Li, Y.; He, B.; Bai, T. GM-PHD-Based Multi-Target Visual Tracking Using Entropy Distribution and Game Theory. IEEE Trans. Ind. Inform. 2014, 10, 1064–1076. [Google Scholar] [CrossRef]
- Guo, Y.; Gong, J. Group Targets Tracking Using Maximum Entropy Fuzzy Based on Fire-fly Algorithm and Particle Filter. In Proceedings of the 2020 7th International Forum on Electrical Engineering and Automation (IFEEA), Hefei, China, 25–27 September 2020; pp. 937–942. [Google Scholar]
- Saucan, A.; Varshney, P. Distributed Cross-Entropy δ-GLMB Filter for Multi-Sensor Multi-Target Tracking. In Proceedings of the 2018 21st International Conference on Information Fusion (FUSION), Cambridge, UK, 10–13 July 2018; pp. 1559–1566. [Google Scholar]
- Li, X.R.; Jilkov, V.P. Survey of maneuvering target tracking-Part I. Dynamic models. IEEE Trans. Aerosp. Electron. Syst. 2004, 39, 1333–1364. [Google Scholar]
- Lan, J.; Li, X.R.; Jilkov, V.P.; Mu, C. Second-order Markov Chain based multiple-model algorithm for maneuvering target tracking. IEEE Trans. Aerosp. Electron. Syst. 2013, 49, 3–19. [Google Scholar] [CrossRef]
- Xu, L.; Li, X.R. Hybrid grid multiple-model estimation with application to maneuvering target tracking. IEEE Trans. Aerosp. Electron. Syst. 2016, 52, 122–136. [Google Scholar] [CrossRef]
- Mahler, R.; Vo, B.-T.; Vo, B.-N. CPHD filtering with unknown clutter rate and detection profile. IEEE Trans. Signal Process. 2011, 59, 3497–3513. [Google Scholar] [CrossRef]
- Zhang, H.; Jing, Z.; Hu, S. Gaussian mixture CPHD filter with gating technique. Signal Process. 2009, 89, 1521–1530. [Google Scholar] [CrossRef]








Publisher’s Note: MDPI stays neutral with regard to jurisdictional claims in published maps and institutional affiliations. |
© 2021 by the authors. Licensee MDPI, Basel, Switzerland. This article is an open access article distributed under the terms and conditions of the Creative Commons Attribution (CC BY) license (https://creativecommons.org/licenses/by/4.0/).
Share and Cite
Li, X.; Lu, B.; Ali, W.; Jin, H. Passive Tracking of Multiple Underwater Targets in Incomplete Detection and Clutter Environment. Entropy 2021, 23, 1082. https://doi.org/10.3390/e23081082
Li X, Lu B, Ali W, Jin H. Passive Tracking of Multiple Underwater Targets in Incomplete Detection and Clutter Environment. Entropy. 2021; 23(8):1082. https://doi.org/10.3390/e23081082
Chicago/Turabian StyleLi, Xiaohua, Bo Lu, Wasiq Ali, and Haiyan Jin. 2021. "Passive Tracking of Multiple Underwater Targets in Incomplete Detection and Clutter Environment" Entropy 23, no. 8: 1082. https://doi.org/10.3390/e23081082
APA StyleLi, X., Lu, B., Ali, W., & Jin, H. (2021). Passive Tracking of Multiple Underwater Targets in Incomplete Detection and Clutter Environment. Entropy, 23(8), 1082. https://doi.org/10.3390/e23081082

