Sign in to use this feature.

Years

Between: -

Subjects

remove_circle_outline
remove_circle_outline
remove_circle_outline
remove_circle_outline
remove_circle_outline
remove_circle_outline
remove_circle_outline
remove_circle_outline
remove_circle_outline

Journals

remove_circle_outline
remove_circle_outline
remove_circle_outline
remove_circle_outline
remove_circle_outline
remove_circle_outline
remove_circle_outline

Article Types

Countries / Regions

remove_circle_outline
remove_circle_outline
remove_circle_outline
remove_circle_outline
remove_circle_outline
remove_circle_outline

Search Results (725)

Search Parameters:
Keywords = carbon and water coupling

Order results
Result details
Results per page
Select all
Export citation of selected articles as:
19 pages, 8342 KB  
Article
Soil Carbon–Water Trade-Off Relationships and Driving Mechanisms in Different Forest Types on the Yunnan Plateau, China
by Zhiqiang Ding, Ping Wang, Lei Fu and Shidong Chen
Forests 2025, 16(10), 1548; https://doi.org/10.3390/f16101548 - 7 Oct 2025
Abstract
Semi-humid subtropical montane regions face the dual pressures of climate change and water scarcity, making it essential to understand how soil carbon–water coupling varies among forest types. Focusing on seven representative forest types in the central Yunnan Plateau, this study analyzes the spatial [...] Read more.
Semi-humid subtropical montane regions face the dual pressures of climate change and water scarcity, making it essential to understand how soil carbon–water coupling varies among forest types. Focusing on seven representative forest types in the central Yunnan Plateau, this study analyzes the spatial distribution, trade-offs, and drivers of soil organic carbon storage (SOCS) and soil water storage (SWS) within the 0–60 cm soil layer, using sloping rainfed farmland (SRF) as a reference. We hypothesize that, relative to SRF, both SOCS and SWS increase across forest types; however, the direction and strength of the SOCS–SWS trade-off differ among plant communities and are regulated by litter traits and soil structural properties. The results show that SOCS in all forest types exceeded that in SRF, whereas a significant increase in SWS occurred only in ACF. Broadleaf stands were particularly prominent: SOCS rose most in the 23 yr SF and the 20 yr ACF (274.44% and 256.48%, respectively), far exceeding the 9–60 yr P. yunnanensis stands (44.01%–105.32%). Carbon–water trade-offs varied by forest type and depth. In conifer stands, SWS gains outweighed SOCS and trade-off intensity increased with stand age (RMSD from 0.48 to 0.53). In broadleaf stands, SOCS gains were larger, with RMSD ranging from 0.21 to 0.45 and the weakest trade-off in SF. Across depths, SOCS gains exceeded SWS in 0–20 cm, whereas SWS gains dominated in 40–60 cm. Regression analyses indicated a significant negative SOCS–SWS relationship in conifer stands and a significant positive relationship in 0–20 cm soils (both p < 0.05), with no significant correlations in other forest types or depths (p > 0.05). Correlation results further suggest that organic matter inputs, N availability, and soil physical structure jointly regulate carbon–water trade-off intensity across forest types and soil depths. We therefore recommend prioritizing native zonal broadleaf species, as well as protecting SF and establishing mixed conifer–broadleaf stands, to achieve synergistic improvements in SOCS and SWS. Full article
(This article belongs to the Section Forest Soil)
Show Figures

Figure 1

30 pages, 9953 KB  
Article
Study on Carbon Storage Evolution and Scenario Response Under Multi-Pathway Drivers in High-Groundwater-Level Coal Resource-Based Cities: A Case Study of Three Cities in Shandong, China
by Yulong Geng, Zhenqi Hu, Weihua Guo, Anya Zhong and Quanzhi Li
Land 2025, 14(10), 2001; https://doi.org/10.3390/land14102001 - 6 Oct 2025
Abstract
Land use/land cover (LULC) change is a key driving factor influencing the dynamics of terrestrial ecosystem carbon storage. In high-groundwater-level coal resource-based cities (HGCRBCs), the interplay of urban expansion, mining disturbances, and land reclamation makes the carbon storage evolution process more complex. This [...] Read more.
Land use/land cover (LULC) change is a key driving factor influencing the dynamics of terrestrial ecosystem carbon storage. In high-groundwater-level coal resource-based cities (HGCRBCs), the interplay of urban expansion, mining disturbances, and land reclamation makes the carbon storage evolution process more complex. This study takes Jining, Zaozhuang, and Heze cities in Shandong Province as the research area and constructs a coupled analytical framework of “mining–reclamation–carbon storage” by integrating the Patch-generating Land Use Simulation (PLUS), Probability Integral Method (PIM), InVEST, and Grey Multi-Objective Programming (GMOP) models. It systematically evaluates the spatiotemporal characteristics of carbon storage changes from 2000 to 2020 and simulates the carbon storage responses under different development scenarios in 2030. The results show that: (1) From 2000 to 2020, the total carbon storage in the region decreased by 31.53 Tg, with cropland conversion to construction land and water bodies being the primary carbon loss pathways, contributing up to 89.86% of the total carbon loss. (2) Among the 16 major LULC transition paths identified, single-process drivers dominated carbon storage changes. Specifically, urban expansion and mining activities individually accounted for nearly 70% and 8.65% of the carbon loss, respectively. Although the reclamation path contributed to a recovery of 1.72 Tg of carbon storage, it could not fully offset the loss caused by mining. (3) Future scenario simulations indicate that the ecological conservation scenario yields the highest carbon storage, while the economic development scenario results in the lowest. Mining activities generally lead to approximately 3.5 Tg of carbon loss, while post-mining reclamation can restore about 72% of the loss. Full article
(This article belongs to the Section Land Use, Impact Assessment and Sustainability)
Show Figures

Figure 1

19 pages, 3706 KB  
Article
Microstructural Comparison of the Mineralization Within Borsec and Tusnad Public Springs
by Simona Elena Avram, Lucian Barbu Tudoran, Gheorghe Borodi and Ioan Petean
Water 2025, 17(19), 2892; https://doi.org/10.3390/w17192892 - 4 Oct 2025
Abstract
Mineral water content strongly depends on the geologic layer characteristics. Therefore, the aim of the present study is to make a comparison between two renowned mineral water sources in Romania, Borsec and Tusnad. Two public springs were selected from each location: Boldizsar (about [...] Read more.
Mineral water content strongly depends on the geologic layer characteristics. Therefore, the aim of the present study is to make a comparison between two renowned mineral water sources in Romania, Borsec and Tusnad. Two public springs were selected from each location: Boldizsar (about 6600 L/day) and Lazar (about 500 L/day) from Borsec and Mikes (about 5000 L/day) and Young’s spring (about 600 L/day) from Tusnad. All investigated springs are naturally carbonated. Water properties were measured in situ and in laboratory for the collected samples; the results found that Borsec mineral water has a pH of about 7.5, while Tusnad mineral water is slightly acid (pH = 6.5). TDS strongly depends on the spring’s flow (for instance, Boldizsar has a TDS of about 900 mg/L, while Lazar has a TDS of about 1529 mg/L due to its high mineralization, while Young’s spring has a TDS of 165 mg/L due to its low mineralization, although it has low flow). Borsec mineral water has a lower salinity of about 1.22 PSU, while Tusnad water has a salinity of about 2 PSU, caused by a high amount of Na and Fe ions. Mineral waters dissolve ions from the geological layers, which react with carbonic acid during drying, generating specific crystallized compounds. The crystallized matter was investigated using XRD coupled with mineralogical optical microscopy (MOM); their microstructural features were observed using SEM coupled with elemental spectroscopy. Borsec water generates mainly Ca, Mg, and Na minerals like calcite, aragonite, pseudo-dolomite, natron, and traces of halite. Tusnad mineral waters have significant amounts of Ca, but also have Fe and much more Cl, since calcite and aragonite are mixed up with large amounts of halite and iron compounds. It looks like the presence of iron ions in the Tusnad mineral water collected from Mikes and Young’s spring explains the acidic pH. All these aspects are useful for further investigation regarding specific therapeutic purposes like chronic colitis and biliary lithiasis symptom amelioration (Boldizsar), chronic colitis, and enterocolitis symptoms (Lazar). Tusnad waters, like the water from Mikes spring, are recommended for anemia and neurasthenia, while Young’s spring is recommended for renal lithiasis amelioration. Full article
Show Figures

Figure 1

16 pages, 3518 KB  
Article
Transparent Polyurethane Elastomers with Excellent Foamability and Self-Healing Property via Molecular Design and Dynamic Covalent Bond Regulation
by Rongli Zhu, Mingxi Linghu, Xueliang Liu, Liang Lei, Qi Yang, Pengjian Gong and Guangxian Li
Polymers 2025, 17(19), 2639; https://doi.org/10.3390/polym17192639 - 30 Sep 2025
Abstract
Microcellular thermoplastic polyurethane (TPU) foams with dynamic covalent bonds demonstrating exceptional self-healing capabilities, coupled with precisely controlled micron-scale cellular architectures, present a promising solution for developing advanced materials that simultaneously achieve damage recovery and low density. In this study, a series of self-healable [...] Read more.
Microcellular thermoplastic polyurethane (TPU) foams with dynamic covalent bonds demonstrating exceptional self-healing capabilities, coupled with precisely controlled micron-scale cellular architectures, present a promising solution for developing advanced materials that simultaneously achieve damage recovery and low density. In this study, a series of self-healable materials (named as PU-S) with high light transmittance possessing two dynamic covalent bonds (oxime bond and disulfide bond) in different ratios were fabricated by the one-pot method, and then the prepared PU-S were foamed utilizing the green and efficient supercritical carbon dioxide (scCO2) foaming technology. The PU-S foams possess multiple dynamic covalent bonds as well as porous structures, and the effect of the dynamic covalent bonds endows the materials with excellent self-healing properties and recyclability. Owing to the tailored design of dynamic covalent bonding synergies and micron-sized porous structures, PU-S5 exhibits hydrophobicity (97.5° water contact angle), low temperature flexibility (Tg = −30.1 °C), high light transmission (70.6%), and light weight (density of 0.12 g/cm3) together with high expansion ratio (~10 folds) after scCO2 foaming. Furthermore, PU-S5 achieves damage recovery under mild thermal conditions (60 °C). Accordingly, self-healing PU-S based on multiple dynamic covalent bonds will realize a wide range of potential applications in biomedical, new energy automotive, and wearable devices. Full article
(This article belongs to the Special Issue Advances in Cellular Polymeric Materials)
Show Figures

Figure 1

28 pages, 4334 KB  
Article
Analysis of Carbon Emissions and Ecosystem Service Value Caused by Land Use Change, and Its Coupling Characteristics in the Wensu Oasis, Northwest China
by Yiqi Zhao, Songrui Ning, An Yan, Pingan Jiang, Huipeng Ren, Ning Li, Tingting Huo and Jiandong Sheng
Agronomy 2025, 15(10), 2307; https://doi.org/10.3390/agronomy15102307 - 29 Sep 2025
Abstract
Oases in arid regions are crucial for sustaining agricultural production and ecological stability, yet few studies have simultaneously examined the coupled dynamics of land use/cover change (LUCC), carbon emissions, and ecosystem service value (ESV) at the oasis–agricultural scale. This gap limits our understanding [...] Read more.
Oases in arid regions are crucial for sustaining agricultural production and ecological stability, yet few studies have simultaneously examined the coupled dynamics of land use/cover change (LUCC), carbon emissions, and ecosystem service value (ESV) at the oasis–agricultural scale. This gap limits our understanding of how different land use trajectories shape trade-offs between carbon processes and ecosystem services in fragile arid ecosystems. This study examines the spatiotemporal interactions between land use carbon emissions and ESV from 1990 to 2020 in the Wensu Oasis, Northwest China, and predicts their future trajectories under four development scenarios. Multi-period remote sensing data, combined with the carbon emission coefficient method, modified equivalent factor method, spatial autocorrelation analysis, the coupling coordination degree model, and the PLUS model, were employed to quantify LUCC patterns, carbon emission intensity, ESV, and its coupling relationships. The results indicated that (1) cultivated land, construction land, and unused land expanded continuously (by 974.56, 66.77, and 1899.36 km2), while grassland, forests, and water bodies declined (by 1363.93, 77.92, and 1498.83 km2), with the most pronounced changes occurring between 2000 and 2010; (2) carbon emission intensity increased steadily—from 23.90 × 104 t in 1990 to 169.17 × 104 t in 2020—primarily driven by construction land expansion—whereas total ESV declined by 46.37%, with water and grassland losses contributing substantially; (3) carbon emission intensity and ESV exhibited a significant negative spatial correlation, and the coupling coordination degree remained low, following a “high in the north, low in the south” distribution; and (4) scenario simulations for 2030–2050 suggested that this negative correlation and low coordination will persist, with only the ecological protection scenario (EPS) showing potential to enhance both carbon sequestration and ESV. Based on spatial clustering patterns and scenario outcomes, we recommend spatially differentiated land use regulation and prioritizing EPS measures, including glacier and wetland conservation, adoption of water-saving irrigation technologies, development of agroforestry systems, and renewable energy utilization on unused land. By explicitly linking LUCC-driven carbon–ESV interactions with scenario-based prediction and evaluation, this study provides new insights into oasis sustainability, offers a scientific basis for balancing agricultural production with ecological protection in the oasis of the arid region, and informs China’s dual-carbon strategy, as well as the Sustainable Development Goals. Full article
Show Figures

Figure 1

22 pages, 7292 KB  
Article
Revealing Nonlinear Relationships and Thresholds of Human Activities and Climate Change on Ecosystem Services in Anhui Province Based on the XGBoost–SHAP Model
by Lei Zhang, Xinmu Zhang, Shengwei Gao and Xinchen Gu
Sustainability 2025, 17(19), 8728; https://doi.org/10.3390/su17198728 - 28 Sep 2025
Abstract
Under the combined influence of global climate change and intensified human activities, ecosystem services (ESs) are undergoing substantial transformations. Identifying their nonlinear driving mechanisms is crucial for promoting regional sustainable development. Taking Anhui Province as a case study, this research evaluates the spatial [...] Read more.
Under the combined influence of global climate change and intensified human activities, ecosystem services (ESs) are undergoing substantial transformations. Identifying their nonlinear driving mechanisms is crucial for promoting regional sustainable development. Taking Anhui Province as a case study, this research evaluates the spatial patterns and temporal dynamics of six key ecosystem services from 2000 to 2020—namely, biodiversity maintenance (BM), carbon fixation (CF), crop production (CP), net primary productivity (NPP), soil retention (SR), and water yield (WY). The InVEST and CASA models were employed to quantify service values, and the XGBoost–SHAP framework was used to reveal the nonlinear response paths and threshold effects of dominant drivers. Results show a distinct “high in the south, low in the north” spatial gradient of ES across Anhui. Regulatory services such as BM, NPP, and WY are concentrated in the southern mountainous areas (high-value zones > 0.7), while CP is prominent in the northern and central agricultural zones (>0.8), indicating a clear spatial complementarity of service types. Over the two-decade period, areas with significant increases in NPP and CP accounted for 50% and 64%, respectively, suggesting notable achievements in ecological restoration and agricultural modernization. CF remained stable across 98.3% of the region, while SR and WY exhibited strong sensitivity to topography and precipitation. Temporal trend analysis indicated that NPP rose from 395.83 in 2000 to 537.59 in 2020; SR increased from 150.02 to 243.28; and CP rose from 203.18 to 283.78, reflecting an overall enhancement in ecosystem productivity and regulatory functions. Driver analysis identified precipitation (PRE) as the most influential factor for most services, while elevation (DEM) was particularly important for CF and NPP. Temperature (TEM) and potential evapotranspiration (PET) affected biomass formation and hydrothermal balance. SHAP analysis revealed key threshold effects, such as the peak positive contribution of PRE to NPP occurring near 1247 mm, and the optimal temperature for BM at approximately 15.5 °C. The human footprint index (HFI) exerted negative impacts on both BM and NPP, highlighting the suppressive effect of intensive anthropogenic disturbances on ecosystem functioning. Anhui’s ES exhibit a trend of multifunctional synergy, governed by the nonlinear coupling of climatic, hydrological, topographic, and anthropogenic drivers. This study provides both a modeling toolkit and quantitative evidence to support ecosystem restoration and service optimization in similar transitional regions. Full article
Show Figures

Figure 1

30 pages, 10855 KB  
Article
Hydrochemical Characteristics and Evolution Mechanisms of Shallow Groundwater in the Alluvial–Coastal Transition Zone of the Tangshan Plain, China
by Shiyin Wen, Shuang Liang, Guoxing Pang, Qiang Shan, Yingying Ye, Jianan Zhang, Mingqi Dong, Linping Fu and Meng Wen
Water 2025, 17(19), 2810; https://doi.org/10.3390/w17192810 - 24 Sep 2025
Viewed by 16
Abstract
To elucidate the hydrochemical characteristics and evolution mechanisms of shallow groundwater in the alluvial–coastal transitional zone of the Tangshan Plain, 76 groundwater samples were collected in July 2022. An integrated approach combining Piper and Gibbs diagrams, ionic ratio analysis, multivariate statistical methods (including [...] Read more.
To elucidate the hydrochemical characteristics and evolution mechanisms of shallow groundwater in the alluvial–coastal transitional zone of the Tangshan Plain, 76 groundwater samples were collected in July 2022. An integrated approach combining Piper and Gibbs diagrams, ionic ratio analysis, multivariate statistical methods (including Pearson correlation, hierarchical cluster analysis, and principal component analysis), and PHREEQC inverse modeling was employed to identify hydrochemical facies, dominant controlling factors, and geochemical reaction pathways. Results show that groundwater in the upstream alluvial plain is predominantly of the HCO3–Ca type with low mineralization, primarily controlled by carbonate weathering, water–rock interaction, and natural recharge. In contrast, groundwater in the downstream coastal plain is characterized by high-mineralized Cl–Na type water, mainly influenced by seawater intrusion, evaporation concentration, and dissolution of evaporite minerals. The spatial distribution of groundwater follows a pattern of “freshwater in the north and inland, saline water in the south and coastal,” reflecting the transitional nature from freshwater to saline water. Ionic ratio analysis reveals a concurrent increase in Na+, Cl, and SO42− in the coastal zone, indicating coupled processes of saline water mixing and cation exchange. Statistical analysis identifies mineralization processes, carbonate weathering, redox conditions, and anthropogenic inputs as the main controlling factors. PHREEQC simulations demonstrate that groundwater in the alluvial zone evolves along the flow path through CO2 degassing, dolomite precipitation, and sulfate mineral dissolution, whereas in the coastal zone, continuous dissolution of halite and gypsum leads to the formation of high-mineralized Na–Cl water. This study establishes a geochemical evolution framework from recharge to discharge zones in a typical alluvial–coastal transitional setting, providing theoretical guidance for salinization boundary identification and groundwater management. Full article
(This article belongs to the Section Hydrogeology)
Show Figures

Figure 1

14 pages, 1297 KB  
Article
Optimizing Natural Organic Matter Removal from Water by UV/H2O2 Advanced Oxidation Using Central Composite Design
by Hrvoje Juretić, Darko Smoljan, Hrvoje Cajner and Draženka Stipaničev
Separations 2025, 12(10), 261; https://doi.org/10.3390/separations12100261 - 24 Sep 2025
Viewed by 7
Abstract
The inevitable ubiquity of natural organic matter (NOM) in all waters presents a challenge to the proper functioning of water treatment processes. Therefore, minimizing NOM in raw water is crucial to avoid operational issues in subsequent treatment steps. In this experimental study, we [...] Read more.
The inevitable ubiquity of natural organic matter (NOM) in all waters presents a challenge to the proper functioning of water treatment processes. Therefore, minimizing NOM in raw water is crucial to avoid operational issues in subsequent treatment steps. In this experimental study, we aimed to maximize the degradation of NOM using UV/H2O2 advanced oxidation, employing design of experiments (DoE) and response surface methodology (RSM) for process optimization. Experiments were carried out on synthetic water, and the effects of dissolved organic carbon (DOC) content and hydrogen peroxide concentration on DOC removal at neutral pH were examined. NOM isolated from the Suwannee River was used as a representative model. The process was modeled and optimized using Design-Expert 14.0.7.0 software. The highest DOC removal of approximately 34% was observed at a DOC level of ~8 mg L−1 and an H2O2 concentration just below 250 mg L−1. Degradation products were analyzed by ultra-high-performance liquid chromatography coupled with hybrid quadrupole time-of-flight mass spectrometry, revealing sixteen compounds, mostly long-chain saturated fatty acids. Finally, the energy efficiency of the experimental setup was assessed and discussed. Full article
Show Figures

Figure 1

21 pages, 2734 KB  
Article
Spatiotemporal Variation of Soil Enzyme Activities and Their Dominant Drivers in Salinized Wheat Fields of the Yellow River Delta
by Minghui Li, Sijia Guo, Jikun Xu, Sai Guan, Deyong Zhao, Yuxia Wang, Xianrui Song, Jian Li, Jianlin Wang and Shuaipeng Zhao
Sustainability 2025, 17(19), 8566; https://doi.org/10.3390/su17198566 - 24 Sep 2025
Viewed by 97
Abstract
Soil salinization is one of the most important factors limiting the sustainable development of global agriculture. As the core driving force of the soil carbon cycle, soil-carbon-metabolism-related enzyme activity is very important for soil ecological balance and fertility enhancement. To explore the spatial [...] Read more.
Soil salinization is one of the most important factors limiting the sustainable development of global agriculture. As the core driving force of the soil carbon cycle, soil-carbon-metabolism-related enzyme activity is very important for soil ecological balance and fertility enhancement. To explore the spatial and temporal variation characteristics and coupling mechanisms of soil water, salt, nutrients and enzyme activities in different salinized wheat fields in the Yellow River Delta, field experiments were conducted in Dongying City, Shandong Province. The results showed that the soil moisture content of the low-salt wheat field was higher and that the salt content of three wheat fields was concentrated in the 0–20 cm and 80–100 cm soil layers. Here, soil nutrients and enzyme activities are concentrated in the 0–20 cm topsoil, with significant differences in different degrees among salinized wheat fields at the different growth stages of wheat. Overall, invertase activity (S-SC) and amylase activity (S-AL) presented a trend of low salt > high salt > medium salt, while cellulase activity (S-CL) presented a trend of medium salt > low salt > high salt. Redundancy analysis showed that available potassium (AK) (67.6%) and electric conductivity (EC) (21.2%) in the low-salinity wheat field, total nitrogen (TN) (48.6%) and AK (28.8%) in the medium-salinity wheat field, and EC (67%) and soil organic matter (SOM) (19%) in the high-salinity wheat field contributed the most to soil enzyme activity. This study provides a theoretical basis for the management and sustainable development of different salinized wheat fields in the Yellow River Delta. Full article
Show Figures

Figure 1

19 pages, 2264 KB  
Article
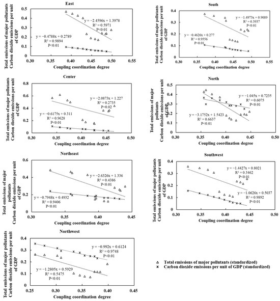
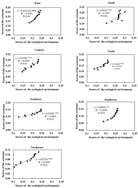
The Practice of the Construction of China’s Core Concept of Ecological Civilization: The Coordinated Development of the Environment and Economy
by Hai Yu, Runzhe Geng, Meng Wang and Meng Zhang
Sustainability 2025, 17(18), 8353; https://doi.org/10.3390/su17188353 - 17 Sep 2025
Viewed by 270
Abstract
The “Lucid Waters and Lush Mountains are Invaluable Assets” idea (i.e., “Two Mountains” concept) has charted a new path for balancing economic and ecological needs. To systematically evaluate the extent to which China’s ecological conservation has supported economic development since 2012, an assessment [...] Read more.
The “Lucid Waters and Lush Mountains are Invaluable Assets” idea (i.e., “Two Mountains” concept) has charted a new path for balancing economic and ecological needs. To systematically evaluate the extent to which China’s ecological conservation has supported economic development since 2012, an assessment indicator system was established that employs a coupling coordination degree (D) model, the entropy weight method, and statistical analysis. The results revealed significant correlations between ecological protection and economic development, and D increased from 2012 to 2023. D in China was good (0.6 < D ≤ 0.8) in this period, which indicates that ecological protection has played a growing role in supporting high-quality economic development and that notable progress has been made in the implementation of the “Two Mountains” concept. Both emission reduction and resource conservation were significantly correlated with D. Reducing carbon emissions and lowering energy consumption had stronger effects on coordinated development than reducing pollutant emissions and increasing water productivity. D was highest in East and South China. The “Two Mountains” concept should be implemented to balance ecological protection and economic development and enhance the economic benefits derived from ecological resources. Management measures should be implemented based on local conditions. Ultimately, these changes would help meet established sustainable development goals. Full article
(This article belongs to the Section Sustainable Management)
Show Figures

Figure 1

19 pages, 4940 KB  
Article
Unraveling Seasonal Dynamics of Dissolved Organic Matter in Agricultural Ditches Using UV-Vis Absorption and Excitation–Emission Matrix (EEM) Fluorescence Spectroscopy
by Keyan Li, Jinfeng Ge, Qiaozhuan Hu, Wenrui Yao, Xiaoli Fu, Chao Ma and Yulin Qi
Chemosensors 2025, 13(9), 346; https://doi.org/10.3390/chemosensors13090346 - 10 Sep 2025
Viewed by 420
Abstract
Seasonal dynamics of dissolved organic matter (DOM) in agricultural ditches significantly impact carbon cycling and water quality in connected rivers. This study aimed to characterize seasonal variations in DOM composition and dynamics within hierarchical agricultural ditch systems in Tianjin, northern China. Surface water [...] Read more.
Seasonal dynamics of dissolved organic matter (DOM) in agricultural ditches significantly impact carbon cycling and water quality in connected rivers. This study aimed to characterize seasonal variations in DOM composition and dynamics within hierarchical agricultural ditch systems in Tianjin, northern China. Surface water samples were collected from river channels, main ditches, branch ditches, lateral ditches, and field ditches during wet (June 2021) and dry (December 2021) seasons. DOM characteristics were analyzed using dissolved organic carbon (DOC) quantification, ultraviolet-visible (UV-Vis) absorption spectroscopy, and three-dimensional excitation–emission matrix spectroscopy (3D-EEMs) coupled with parallel factor analysis (PARAFAC). The concentration of DOC in ditch surface water exhibited significant seasonal variations, with significantly higher levels observed during the wet season (Huangzhuang: 6.72 ± 0.7 mg/L; Weixing: 13.15 ± 3.1 mg/L) compared to the dry season (Huangzhuang: 5.93 ± 0.3 mg/L; Weixing: 9.35 ± 2.6 mg/L). Both UV-Vis spectral and EEM-PARAFAC analysis revealed that DOM in ditch systems was predominantly composed of fulvic-like and tryptophan-like components, representing the portion of organic matter in water bodies that is highly biologically active, highly mobile, relatively “fresh”, or “not fully humified”. PARAFAC identified microbial humic-like (C1: wet season 40.36%, dry season 34.42%) and protein-like (C3: wet season 40.3%, dry season 49.87%) components as dominant. DOM sources were influenced by dual inputs from terrestrial and autochthonous origins during the wet season, while primarily deriving from autochthonous sources in the dry season. This study elucidates the advances of spectroscopic techniques in deciphering the composition, sources, and influencing factors of DOM in aquatic systems. The findings support implementing riparian buffer strips and optimized fertilizer management to mitigate seasonal peaks of bioavailable DOM in agricultural ditch systems. Full article
(This article belongs to the Special Issue Spectroscopic Techniques for Chemical Analysis)
Show Figures

Figure 1

12 pages, 3945 KB  
Article
Land-Use Impacts on Soil Nutrients, Particle Composition, and Ecological Functions in the Green Heart of the Chang-Zhu-Tan Urban Agglomeration, China
by Qi Zhong, Zhao Shi, Cong Lin, Hao Zou, Pan Zhang, Ming Cheng, Tianyong Wan, Wei and Cong Zhang
Atmosphere 2025, 16(9), 1063; https://doi.org/10.3390/atmos16091063 - 10 Sep 2025
Viewed by 444
Abstract
Urban green hearts provide essential ecosystem services, including carbon sequestration, water purification, and hydrological regulation. The Green Heart Area of the Chang-Zhu-Tan Urban Agglomeration in Hunan Province, China, is the largest globally, and plays a critical role in regional water management. These functions [...] Read more.
Urban green hearts provide essential ecosystem services, including carbon sequestration, water purification, and hydrological regulation. The Green Heart Area of the Chang-Zhu-Tan Urban Agglomeration in Hunan Province, China, is the largest globally, and plays a critical role in regional water management. These functions are increasingly threatened by intensive land-use, while soil, as the foundational ecosystem component, mediates water retention, nutrient cycling, and erosion resistance. This study examined the effects of four land-use types—cropland, plantation, arbor woodland, and other woodland—on soil particle composition and key nutrients (organic carbon, total nitrogen, and total phosphorus). Statistical comparisons among land-use types were performed. Results indicated that silt was the dominant soil fraction across all land-uses (64–72%). Arbor woodland exhibited significantly higher sand content (29%) compared to cropland (19%; p < 0.05), suggesting improved water permeability and erosion resistance. Cropland showed elevated nutrient levels, with TN (1450.32 mg·kg−1) and TP (718.86 mg·kg−1) exceeding both national averages and those in arbor woodland. Coupled with acidic soil conditions (pH 5.23) and lower stoichiometric ratios (C/N: 10.82; C/P: 35.67; N/P: 3.29), these traits indicate an increased risk of nutrient leaching in croplands. In contrast, arbor woodland displayed more balanced C:N:P ratios (C/N: 12.21; C/P: 48.05; N/P: 3.84), supporting greater nutrient retention and aggregate stability. These findings underscore the significant influence of land-use type on soil ecological functions, including water infiltration, runoff reduction, and climate adaptability. The study highlights the importance of adopting conservation-oriented practices such as reduced tillage and targeted phosphorus management in croplands, alongside reforestation with native species, to improve soil structure and promote long-term ecological sustainability. Full article
Show Figures

Figure 1

15 pages, 2931 KB  
Article
Spatial Distribution Characteristics of Soil Nutrients in the Ferralic Cambisols Watershed
by Haibin Chen, Shengquan Fang, Gengen Lin, Yuanbin Shangguan, Falian Cao and Zhibiao Chen
Nitrogen 2025, 6(3), 77; https://doi.org/10.3390/nitrogen6030077 - 1 Sep 2025
Viewed by 323
Abstract
In southern China, the long-term irrational utilization of land resources has caused severe damage to the ecology and environment of the entire region. Serious issues such as soil degradation and water erosion have led to the decline of soil quality and productivity. In [...] Read more.
In southern China, the long-term irrational utilization of land resources has caused severe damage to the ecology and environment of the entire region. Serious issues such as soil degradation and water erosion have led to the decline of soil quality and productivity. In this study, the spatial distribution characteristics of soil carbon, nitrogen, and phosphorus in Zhuxi watershed, Changting County, southern China, were analyzed by coupling geostatistics with GIS. The analysis generated several important results: (1) The concentrations of soil organic matter (OM), alkali-hydrolyzable nitrogen (AN), and available phosphorus (AP) are at moderate levels, and AP exhibits local enrichment in the downstream farmland, while the concentrations of total nitrogen (TN) and total phosphorus (TP) remain at low levels. (2) The optimal theoretical model for AN is an exponential model, while other nutrients follow spherical models. Except for AP, which has a nugget effect exceeding 75%, the nugget effects of other nutrients range between 25% and 75%, indicating that their spatial distribution is moderately correlated. According to Kriging interpolation results, the distribution of OM, TN, and AN shows a clear trend of decreasing from northeast to southwest, followed by a gradual increase, which is generally consistent with the direction of rivers. The trends of TP and AP are more irregular, generally decreasing from downstream to upstream. (3) OM, TN, and AN exhibit a negative correlation with the degree of soil erosion, indicating that soil erosion is associated with the loss of carbon and nitrogen nutrients. However, the impact on phosphorus is relatively insignificant. Full article
Show Figures

Figure 1

25 pages, 3972 KB  
Article
Development, Characterization, and Stability of Flavored Water Kefir: Impact of Fermentation and Storage
by Samarha Pacheco Wichello, Kamila Ferreira Chaves, Wallaf Costa Vimercati, Sérgio Henriques Saraiva and Luciano Jose Quintão Teixeira
Fermentation 2025, 11(9), 513; https://doi.org/10.3390/fermentation11090513 - 31 Aug 2025
Viewed by 854
Abstract
The increasing demand for functional beverages sparked greater interest in health-promoting craft drinks, highlighting the need to optimize production parameters and assess their stability. This study aimed to develop, optimize, and characterize a grape juice-flavored naturally carbonated water kefir, evaluating its sensory qualities, [...] Read more.
The increasing demand for functional beverages sparked greater interest in health-promoting craft drinks, highlighting the need to optimize production parameters and assess their stability. This study aimed to develop, optimize, and characterize a grape juice-flavored naturally carbonated water kefir, evaluating its sensory qualities, physicochemical and microbiological stability. Fermentation conditions (F1) were optimized using Central Composite Rotational Design, leading to the selection of 24 h at 30 °C with (6.5% w/v) brown sugar, ensuring efficient pH reduction to safe levels. Sensory analysis selected grape juice as the flavoring agent, and a mixture design coupled with the desirability function determined the optimal formulation as 50% kefired water, 46.4% grape juice, and 3.6% water, resulting in high overall sensory desirability. During 42 days of refrigerated storage (4 °C), the beverage exhibited progressive sugar consumption from residual metabolic activity, a dynamic antioxidant profile characterized by increases in total phenolic compounds and FRAP activity, stability in ABTS activity, and decline in DPPH activity. Lactic acid bacteria counts remained stable during storage, while acetic acid bacteria and yeast populations decreased. Furthermore, pH (~3.30) and alcohol content (~1.86 °GL) remained stable, although the latter requires clear labeling in compliance with regulations for similar fermented beverages. Full article
(This article belongs to the Section Fermentation for Food and Beverages)
Show Figures

Graphical abstract

20 pages, 24590 KB  
Article
Ecosystem Service Management Zoning Based on Supply–Demand Coupling Analysis: A Case Study of Jiangxi Province
by Faming Zhong, Zhu-An Chen and Xiuquan Li
Sustainability 2025, 17(17), 7766; https://doi.org/10.3390/su17177766 - 29 Aug 2025
Viewed by 512
Abstract
Against the backdrop of ongoing degradation of ecosystem services and the increasing demand for sustainable development, the scientific delineation of ecological management zones has become a critical means by which to balance human wellbeing and ecological conservation. This study takes Jiangxi Province as [...] Read more.
Against the backdrop of ongoing degradation of ecosystem services and the increasing demand for sustainable development, the scientific delineation of ecological management zones has become a critical means by which to balance human wellbeing and ecological conservation. This study takes Jiangxi Province as the research area and selects four typical ecosystem services—food production, water supply, carbon storage, and soil retention—to systematically evaluate their supply–demand relationships from both static and dynamic dimensions. By introducing the entropy weight method to construct a comprehensive supply–demand index and integrating a coupling coordination degree model with a four-quadrant dynamic evolution model, this paper proposes a coupled “static–dynamic” analytical framework. The findings reveal significant spatial heterogeneity in various ecosystem services; high-supply areas are concentrated in the southern and peripheral mountainous regions while demand is closely linked to population distribution, exhibiting a pattern of high demand in the central areas and high supply in the peripheral areas. Our supply–demand matching analysis uncovers a distinct gradient distribution characterized by core imbalance and peripheral coordination, with prominent supply–demand conflicts in urban expansion areas and enhanced coordination in peripheral ecological barrier zones. Based on these insights, we divide Jiangxi Province into five types of ecological management zones: Degraded Restoration, Conflict Mitigation, Coordination Enhancement, Potential Development, and Maintenance Conservation, with tailored management strategies proposed for each zone type. As a result, this study not only provides scientific support for regional ecological spatial optimization but also offers a new methodological paradigm for ecosystem services management. Full article
Show Figures

Figure 1

Back to TopTop