Next Article in Journal
How to Achieve Integrated High Supply and a Balanced State of Ecosystem Service Bundles: A Case Study of Fujian Province, China
Previous Article in Journal
Analyzing Spatiotemporal Patterns of Cultivated Land by Integrating Aggregation Degree and Omnidirectional Connectivity: A Case Study of Daqing City, China
 
 
Font Type:
Arial Georgia Verdana
Font Size:
Aa Aa Aa
Line Spacing:
Column Width:
Background:
Article

Study on Carbon Storage Evolution and Scenario Response Under Multi-Pathway Drivers in High-Groundwater-Level Coal Resource-Based Cities: A Case Study of Three Cities in Shandong, China

1
School of Geoscience and Surveying Engineering, China University of Mining and Technology (Beijing), Beijing 100083, China
2
School of Environment Science & Spatial Informatics, China University of Mining & Technology, Xuzhou 221116, China
*
Author to whom correspondence should be addressed.
Land 2025, 14(10), 2001; https://doi.org/10.3390/land14102001
Submission received: 13 August 2025 / Revised: 1 October 2025 / Accepted: 3 October 2025 / Published: 6 October 2025
(This article belongs to the Section Land Use, Impact Assessment and Sustainability)

Abstract

Land use/land cover (LULC) change is a key driving factor influencing the dynamics of terrestrial ecosystem carbon storage. In high-groundwater-level coal resource-based cities (HGCRBCs), the interplay of urban expansion, mining disturbances, and land reclamation makes the carbon storage evolution process more complex. This study takes Jining, Zaozhuang, and Heze cities in Shandong Province as the research area and constructs a coupled analytical framework of “mining–reclamation–carbon storage” by integrating the Patch-generating Land Use Simulation (PLUS), Probability Integral Method (PIM), InVEST, and Grey Multi-Objective Programming (GMOP) models. It systematically evaluates the spatiotemporal characteristics of carbon storage changes from 2000 to 2020 and simulates the carbon storage responses under different development scenarios in 2030. The results show that: (1) From 2000 to 2020, the total carbon storage in the region decreased by 31.53 Tg, with cropland conversion to construction land and water bodies being the primary carbon loss pathways, contributing up to 89.86% of the total carbon loss. (2) Among the 16 major LULC transition paths identified, single-process drivers dominated carbon storage changes. Specifically, urban expansion and mining activities individually accounted for nearly 70% and 8.65% of the carbon loss, respectively. Although the reclamation path contributed to a recovery of 1.72 Tg of carbon storage, it could not fully offset the loss caused by mining. (3) Future scenario simulations indicate that the ecological conservation scenario yields the highest carbon storage, while the economic development scenario results in the lowest. Mining activities generally lead to approximately 3.5 Tg of carbon loss, while post-mining reclamation can restore about 72% of the loss.

1. Introduction

Global warming has become one of the most pressing environmental challenges of the 21st century [1], primarily driven by the continuous increase in greenhouse gas emissions [2], which in turn has led to ecosystem degradation, disruption of the carbon cycle, and a series of related environmental issues [3]. As a key component of the global carbon cycle [4] terrestrial ecosystems play a critical role in achieving the goals of carbon peaking and carbon neutrality [5,6]. Studies have shown that land use/land cover (LULC) change is one of the main drivers of ecosystem function degradation [4], and it significantly affects the spatial pattern of terrestrial carbon storage. However, the inherent complexity of LULC transitions adds uncertainty to both the magnitude and spatial patterns of carbon storage dynamics [7].
Although numerous studies have explored the impacts of LULC change on carbon storage across various scales [8,9,10], most have focused on macroscopic spatial patterns, lacking systematic identification and quantitative analysis of how anthropogenic processes shape carbon storage under complex LULC transitions. This gap is particularly evident in high-groundwater-level coal resource-based cities (HGCRBCs), where in addition to conventional urban expansion, coal mining and land reclamation—representing typical human disturbances—exert significant and unique influences on carbon storage dynamics [11,12]. However, current research still falls short in evaluating mining disturbances, reclamation responses, and their cumulative carbon effects, underscoring the need for an integrated modeling framework to capture these coupled mechanisms.
In terms of carbon storage assessment, the Integrated Valuation of Ecosystem Services and Tradeoffs (InVEST) model is widely recognized for its simplicity and applicability, and has been applied across global, regional, urban, and mining-area scales [13,14]. Simulating future land use patterns enables effective forecasting of the spatiotemporal evolution of terrestrial carbon storage, thus supporting urban planning, resource management, and ecological protection [15,16]. To achieve this, various land use change models have been developed, such as CA-Markov [17], CLUE-S [18], and FLUS [19]. While these models perform well in spatial simulation, they remain limited in capturing driving mechanisms and simulating patch-level land use dynamics [20,21]. In contrast, the PLUS model enhances simulation accuracy by incorporating a patch-generation mechanism and random forest algorithm, effectively identifying drivers of land expansion [22,23]. However, simulations based solely on historical trends often fail to meet the demands of multi-objective land management for the future. Hence, integration with optimization models is necessary to improve the scientific robustness and foresight of simulation outcomes. Multi-Objective Programming (MOP), as an effective optimization tool, helps reconcile ecological conservation and economic development by balancing constraints across different land use types to achieve optimal land allocation [24].
In HGCRBCs, land use simulation presents even greater complexity [25]. Compared with other cities, carbon storage variation in these areas is influenced not only by urban expansion, but also by multiple interacting factors such as mining phases, reclamation practices, geological conditions, and policy orientations [26]. However, most existing studies still rely on a two-model coupling of PLUS + InVEST to assess carbon storage in coal resource–based cities; because PLUS fundamentally simulates evolution via land-transition probabilities, it cannot explicitly represent mining-induced surface disturbances—particularly in HGCRBCs—making it difficult to accurately characterize and predict the future land use impacts of mining [10,27]. The Probability Integral Method (PIM), widely used in subsidence prediction for underground coal mining, offers a scientific means of quantitatively predicting rock and surface movement patterns in mining subsidence areas [28]. Incorporating the PIM model can significantly enhance the accuracy of land use simulations in HGCRBCs.
Building upon these research advances and gaps, this study focuses on three HGCRBCs in Shandong Province—Jining, Zaozhuang, and Heze. It integrates the InVEST, PLUS, MOP, and PIM models to comprehensively assess the impact of LULC change and its driving mechanisms on the spatiotemporal evolution of carbon storage, while simulating future carbon storage trajectories under different development scenarios. Specifically, the study aims to: (1) analyze the LULC changes in HGCRBCs from 2000 to 2020 and their impacts on carbon storage; (2) identify and quantify the key processes driving LULC transitions, revealing how different drivers affect carbon storage; and (3) simulate the impact of mining and reclamation under 2030 scenarios (economic development priority vs. ecological protection priority), providing scientific guidance for carbon management and land use optimization in HGCRBCs.

2. Materials and Methods

2.1. Study Area

The cities of Jining, Zaozhuang, and Heze are located in the southwestern part of Shandong Province, within the Huang-Huai River Basin. The region is predominantly composed of plains, with mountainous areas mainly distributed in the eastern parts of Jining and Zaozhuang (see Figure 1b). These three cities are the most coal-rich areas in Shandong, with coal reserves accounting for over 65% of the province’s total. All three are classified as High-Groundwater-Level Coal Resource-Based Cities (HGCRBCs), hosting a total of 105 coal mines, and the mining areas collectively occupy 12.08% of the study region. Currently, 44 of these mines remain in operation, with farmland being the dominant surface land use in mining areas (see Figure 1c). This results in a typical “coal–grain” overlapping zone, where conflicts between coal extraction, food production, and human settlements are particularly prominent [29]. Due to coal mining-induced land subsidence, a large number of buildings and farmlands in the mining areas have been submerged, leading to significant changes in land use types and causing severe disruptions to the regional ecological and production systems.

2.2. Data Source

The data sources and spatial resolutions used in this study are summarized in Table 1. All datasets were resampled to a spatial resolution of 30 m using ArcGIS Pro 3.16 with bilinear interpolation, as illustrated in Figure 2. The correlation heatmap of the 15 driving factors is provided in Figure S3. Based on previous research, the land use/land cover (LULC) data were reclassified into six categories: Cropland, Forest Land, Grassland, Waterbodies, Construction Land, and Unused Land.

2.3. Research Method

This study is structured around four main analytical frameworks (Figure 3): First, the InVEST model was used to evaluate changes in carbon storage within the HGCRBCs from 2000 to 2020.Second, the driving forces of land expansion were systematically analyzed from three dimensions: socio-economic, natural, and topographic. Third, the impact of human activities on carbon storage in the HGCRBCs was examined based on LULC transition pathways. Finally, an integrated modeling framework combining the GMOP, PLUS, PIM, and InVEST models was established to simulate the impacts of mining and reclamation on carbon storage under future scenarios. Specifically, the GMOP model was first used to optimize the area demands of different LULC types under three development goals (ND, EP, and ED). These optimized area demands were then used as inputs for the PLUS model to generate the spatial LULC patterns for 2030. Next, the PIM model was applied to predict the spatial extent of land subsidence and degradation caused by coal mining by 2030. The predicted mining-induced damage zones were overlaid on the PLUS-simulated LULC maps to produce two additional mining-related scenarios for each development path: one assuming no reclamation (_M) and the other assuming post-mining reclamation (_R). Finally, all resulting LULC maps were input into the InVEST carbon module to estimate carbon storage under the different scenarios.

2.3.1. Carbon Storage Evaluation Based on the InVEST Model

This study employed the Carbon module of the InVEST model to evaluate carbon storage within the study area. The InVEST model categorizes carbon storage in terrestrial ecosystems into four carbon pools: aboveground biomass ( C a b o v e ), belowground biomass ( C b e l o w ), soil organic carbon ( C s o i l ), and dead organic matter ( C d e a d ) [30].
C = i = 1 n A i × C i , ( i = 1 ,   2 , n )
C i = C a b o v e i + C b e l o w i + C s o i l i + C d e a d i
In the equation, C represents the total carbon storage in the study area (Mg), A i denotes the area of each land use type i (ha), and  C i refers to the carbon density of land use type i (Mg/ha). C a b o v e i , C b e l o w i , C s o i l i , and  C d e a d i represent the carbon storage per hectare (Mg/ha) for aboveground biomass, belowground biomass, soil organic carbon, and dead organic matter, respectively, for land use type i.
Numerous studies have demonstrated that carbon density in different regions is closely related to local climatic factors. Drawing on previous research, this study uses carbon density data from China (see Table S4) and calibrates it based on the average annual temperature and precipitation of the study area. We applied two methods to correct the carbon density of HGCRBCs: one proposed by [31], which establishes a relationship between mean annual precipitation (MAP) and biomass and soil carbon density; and another by [32], which links mean annual temperature (MAT) to biomass carbon density. From 2011 to 2020, the average MAT and MAP were 15.02 °C and 755.36 mm in the study area, compared to 6.77 °C and 669.24 mm nationwide in China.
C S P = 3.3968 × M A P + 3996.1 R 2 = 0.11
C B P = 6.7981 × e 0.0054 × M A P R 2 = 0.70
C B T = 28 × M A T + 398 R 2 = 0.47 , p < 0.01
MAP and MAT represent the mean annual precipitation (mm) and mean annual temperature (°C), respectively. C S P denotes the soil carbon density (Mg/ha) corrected based on precipitation, while C B P and C B T represent the biomass carbon densities (Mg/ha) corrected based on MAP and MAT, respectively.
The correction coefficient calculation models are as follows:
K B P = C B P 1 C B P 2 ; K B T = C B T 1 C B T 2 ; K B = K B P × K B T ,
K S = C S P 1 C S P 2 ,
where K B P and K B T represent the correction coefficients for biomass carbon density MAT and MAP, respectively; K B is the overall correction coefficient for biomass carbon density, and K S is the correction coefficient for soil carbon density. Subscripts 1 and 2 refer to the study area and the national (China) average, respectively. The corrected carbon density values for the study area, calculated based on the correction formulas, are presented in Table 2, while the reference carbon density values are provided in Table S6.

2.3.2. Driving Force Analysis of Carbon Storage Changes Induced by LULC Dynamics

In high-groundwater-level coal resource-based areas, coal mining and its subsequent land reclamation have a significant impact on regional carbon storage dynamics [33]. Drawing on previous research [14] and considering the typical characteristics of High-Groundwater-Level Coal Resource-Based Cities (HGCRBCs), this study categorizes the major processes driving land use/land cover (LULC) change into four core anthropogenic drivers: Mining (M), Reclamation (R), Urbanization and Village Relocation (U), and Ecological Restoration (E) [29], as summarized in Table 3.
(1)
Mining (M): In high-groundwater-level mining areas, coal extraction is often accompanied by surface subsidence, land degradation, and waterlogging, resulting in the conversion of original land types into waterbodies.
(2)
Reclamation (R): Land reclamation primarily refers to the use of engineering or ecological measures to restore areas inundated due to mining, converting them into arable land, forest land, or construction land.
(3)
Urbanization and Village Relocation (U): Driven by both economic development and resource exploitation, construction land continuously expands. Mining activities lead to village relocation, which in turn triggers large-scale conversions of cropland and other land types into urban land.
(4)
Ecological Restoration (E): Ecological restoration generally occurs in areas not directly disturbed by mining, where human intervention or natural recovery processes promote the transformation of land into green and blue spaces such as forest land, grassland, or waterbodies.
To systematically identify the spatiotemporal evolution of these driving forces, this study applied spatial overlay analysis in ArcGIS to track and attribute LULC changes over four periods—2000–2005, 2005–2010, 2010–2015, and 2015–2020—thereby revealing the underlying mechanisms influencing regional carbon storage dynamics.
This study employed a combination of clustered heatmaps and hierarchical clustering trees to systematically analyze the impact of different driving processes on the dynamic changes of carbon storage in the study area from 2000 to 2020, as well as their mutual similarities. The clustering results were generated using the ComplexHeatmap package (version 2.22.0) in R (version 4.4.2), and the hierarchical clustering tree was constructed based on Euclidean distance to reveal the aggregation patterns of different driving processes in terms of carbon storage change dynamics [34].

2.3.3. Prediction of Mining-Induced Subsidence and Classification of Land Degradation Severity Based on the PIM Model

To more accurately predict the impact of future coal mining and land reclamation on land use/land cover (LULC), we employed the Probability Integral Model (PIM) to forecast land subsidence induced by coal extraction. PIM is the most widely used method for predicting mining-induced subsidence in China and is one of the recommended approaches established by the National Energy Administration in 2017. Based on the stochastic medium theory, PIM divides the entire mining area into numerous micro-units, each of which exerts an independent influence on the overlying strata and surface. The total subsidence effect across the mining area is the cumulative result of all micro-unit impacts. The subsidence caused by an individual micro-unit is assumed to form a surface subsidence basin that follows a normal distribution, with its spatial pattern consistent with that of a probability density function. The final subsidence profile induced by the entire mining operation can be expressed as the integral of the probability density function.
W e x = 1 r 2 exp π x 2 r 2
W e x represents the subsidence value at a given surface point caused by a mining unit. r denotes the main influence radius, which is primarily related to the mining depth and the main influence angle. x is the horizontal coordinate of any given surface point.
According to the Land Consolidation Technical Specifications and considering the variations in groundwater levels across different mining areas, land use damage by 2030 was classified into three categories: slight, moderate, and severe damage (as shown in Figure 4). The groundwater burial depth data were obtained from groundwater level monitoring stations located within the study area, as recorded in the China Geological Environment Monitoring Groundwater Level Statistical Yearbook (2020), and were spatially interpolated using the inverse distance weighting (IDW) method (RMSE = 1.239, MAE = 0.959, Bias = 0.466). Based on the classification criteria jointly informed by groundwater burial depth, the Land Consolidation Technical Specifications, the Special Plan for Comprehensive Treatment of Coal Mining Subsidence Land in Shandong Province (2019–2030), and the actual land damage conditions in each mining area, the extent of land damage was determined. Furthermore, based on mining plans provided by each coal mine, mineral resource development plans, and predicted mining parameters—including corner coordinates, coal seam strike, mining thickness, mining depth, dip angle, subsidence coefficient, tangent of the main influence angle, horizontal movement coefficient, and influence propagation angle—the MSPS (version 2009) software was used in conjunction with the Probability Integral Method (PIM) to forecast coal mining subsidence for the 2030 period.

2.3.4. Multi-Scenario Simulation of Land Use in 2030 Based on the Integration of GMOP and PLUS Models

Scenario Settings for the Year 2030
Simulating future urban development scenarios is essential for providing decision-making support to government departments in land use planning. However, most existing studies focus only on adjusting limited land use transitions to reflect different scenarios, while often neglecting policy orientation and future development needs. To address this gap, this study integrates the GMOP model with the PLUS model, following both the characteristics of land use/land cover (LULC) and macro-level policy constraints. Under the framework of local land use master planning and considering projected land degradation by 2030, we constructed the following scenario settings:
(1)
Natural Development Scenario (ND):
This scenario extends the land use trends observed over the past two decades. The projected land use demands for 2030 are estimated using the Markov chain model. Based on the ND scenario, further refinement is made by considering the characteristics of land degradation and reclamation caused by coal mining in high groundwater level mining areas. If no reclamation is implemented after mining, lightly degraded areas are assumed to naturally recover to their original land use types, while moderately and severely degraded areas are converted to waterbodies. If reclamation is carried out, priority is typically given to restoring moderately degraded areas. Following the principle of “returning suitable land to agriculture,” construction and waterbody areas are generally restored to their original land use types through artificial means, and other land types are reclaimed as cropland. According to the classification of land degradation severity defined in Section 2.3.3, two sub-scenarios are constructed: ND_M (Natural Development with No Reclamation) and ND_R (Natural Development with Reclamation).
(2)
Ecological Conservation Priority Scenario (EP):
This scenario prioritizes ecological benefits by strictly limiting the expansion of construction land and promoting the preservation and restoration of ecological land types such as Forest land, grassland, and water bodies. Two sub-scenarios are defined: EP_M (Ecological Conservation Priority with No Reclamation): mining disturbances occur without subsequent reclamation. EP_R (Ecological Conservation Priority with Reclamation): reclamation is implemented to restore post-mining degraded areas.
(3)
Economic Development Priority Scenario (ED):
This scenario emphasizes the maximization of economic benefits, allowing for greater expansion of construction land to support economic activities. Two sub-scenarios are constructed: ED_M (Economic Development Priority with No Reclamation): considers economic-driven land development with no reclamation efforts after mining. ED_R (Economic Development Priority with Reclamation): includes land reclamation after mining to partially mitigate ecological impacts.
GMOP Model
The GMOP model integrates the GM(1,1) model with the Multi-Objective Programming (MOP) model. Specifically, the GM(1,1) component is employed to forecast the future economic and ecological benefit coefficients of various LULC types, which are subsequently used to define the objective functions [35]. The MOP model is then applied to solve the multi-objective optimization problems under different development scenarios, ultimately generating the optimal land use allocations for the year 2030 [36]. The MOP model consists of three main components: decision variables, objective functions, and constraint conditions.
F 1 x = m a x i = 1 n c i x i , i = 1 , 2 , n
F 2 x = m a x i = 1 n d i x i , i = 1 , 2 , n
s . t = j = 1 m a i j x i = , b j j = 1,2 , m x i 0 i = 1,2 , n
In this model, F 1 x and  F 2 x represent the ecological benefit function and economic benefit function, respectively. The variable  x i denotes the area of land use type i, and n is the total number of land use categories. The coefficients c i and d i correspond to the ecological and economic benefit coefficients of each land use type. The term s.t denotes the constraints imposed on land use allocation, where a i j represents the coefficient of variable i under constraint j, m is the total number of constraints, and b j is the constant value for constraint j.
The economic benefit coefficients for cropland, grassland, water bodies, and forest land were estimated based on the statistical outputs of agriculture, animal husbandry, fishery, and forestry in the study area. For construction land, the coefficient was derived from the total output value of the secondary and tertiary sectors. The economic benefit coefficient for unused land was set to 100 CNY /km2. Future economic benefit coefficients for the year 2030 were projected using the GM(1,1) model. The ecological benefit coefficients were estimated using the ecosystem service value (ESV) equivalent factor method proposed by Xie Gaodi, which reflects the relative ecological service contribution of each land use type. (Table 4) The detailed calculation process is provided in the Supplementary Materials.
PLUS Model
To improve the accuracy of future land use simulations, Liang developed the Patch-generating Land Use Simulation (PLUS) model based on the FLUS model [22]. The PLUS model integrates a Land Expansion Analysis Strategy (LEAS) and a Multi-type Random Patch Seeds (CARS) mechanism. The LEAS module extracts expansion areas for various land use types using two-period land use data and identifies their key driving factors and development probabilities via a Random Forest algorithm. The CARS module simulates spatial competition among land use categories at the patch level by incorporating both top-down and bottom-up mechanisms, which account for adaptability, neighborhood effects, and development probability, thus better meeting macro-scale land use demands.
Building on this framework, we parameterized PLUS as follows. In this study, the expansion intensity of each land use category was represented by a neighborhood weight (0–1), with values closer to 1 indicating stronger expansion propensity. The weights were determined through literature-guided manual tuning (Table 5) [37,38,39,40].
The simulation parameters of the PLUS model were determined based on relevant studies and further refined through manual adjustments (Table 6). Land use conversion rules for the three scenarios (ND, EP, and ED) are summarized in Supplementary Table S3 [41,42].
Constraint Conditions
In addition to the basic conditions described in Section Scenario Settings for the Year 2030, the Ecological Conservation Priority (EP) and Economic Development (ED) scenarios are also subject to both land use area constraints and policy regulation constraints. The area constraints were established based on the observed LULC change patterns from 2000 to 2020 in the study area and relevant studies from comparable regions, while the policy constraints were derived from provincial planning documents such as the Shandong “14th Five-Year” Natural Resources Protection and Utilization Plan and the Shandong Territorial Spatial Plan (2021–2035). The detailed constraints are shown in Table 7.

3. Result

3.1. LULC Dynamics from 2000 to 2020

3.1.1. Spatiotemporal Characteristics of LULC Change

Based on the statistical analysis of land use/land cover (LULC) data for five time points between 2000 and 2020 (Figure 5, Table S6), the results show that cropland has consistently been the dominant land type in the study area, accounting for over 65% of the total area. However, it has exhibited a continuous decline, with its area decreasing from 19,858.55 km2 in 2000 to 19,016.63 km2 in 2020, and its proportion dropping from 71.51% to 68.48%. In contrast, construction land has continued to expand, increasing from 3988.71 km2 to 5257.36 km2 over the same period, with its share rising from 14.36% to 18.93%, although the rate of expansion has gradually slowed.
The most notable changes in forest land and grassland occurred between 2005 and 2010, when forest land decreased from 617.62 km2 to 448.09 km2, and grassland from 1609.49 km2 to 1298.13 km2. Aside from this period, both land types remained relatively stable across the other years.
Waterbodies showed a sustained increase over the 20-year period, expanding from 1545.13 km2 in 2000 to 1678.34 km2 in 2020, representing a net growth of 133.22 km2. Notably, although mining areas account for only 12.08% of the total area, they contributed 29.31% of the total increase in waterbody area.
As shown in Figure 6, Tables S5 and S7, over the past two decades, urban boundary expansion, ecological restoration, and mining activities have significantly influenced the patterns of land use/land cover (LULC). A total of 4364.33 km2 of land in the study area underwent transformation, accounting for 15.71% of the total area.
Among these changes, the conversion of cropland to waterbodies and construction land was particularly notable, with 279.12 km2 and 1981.35 km2 of cropland, respectively, transitioning into these categories. These figures represent 12.05% and 85.55% of the total cropland loss. The replenishment of cropland mainly originated from grassland and construction land, contributing 20.16% and 56.99% of the newly added cropland area, respectively.
In addition to cropland, grassland also experienced a degree of transformation, with 25.45 km2 converted to waterbodies, accounting for 6.08% of total grassland loss, and another 78.17 km2 converted to construction land, representing 18.67%. Unused land was mainly transformed into cropland and construction land, which accounted for 21.98% and 47.79% of its total loss area, respectively.

3.1.2. Contributions of Driving Factors to LULC Expansion Based on the PLUS Model

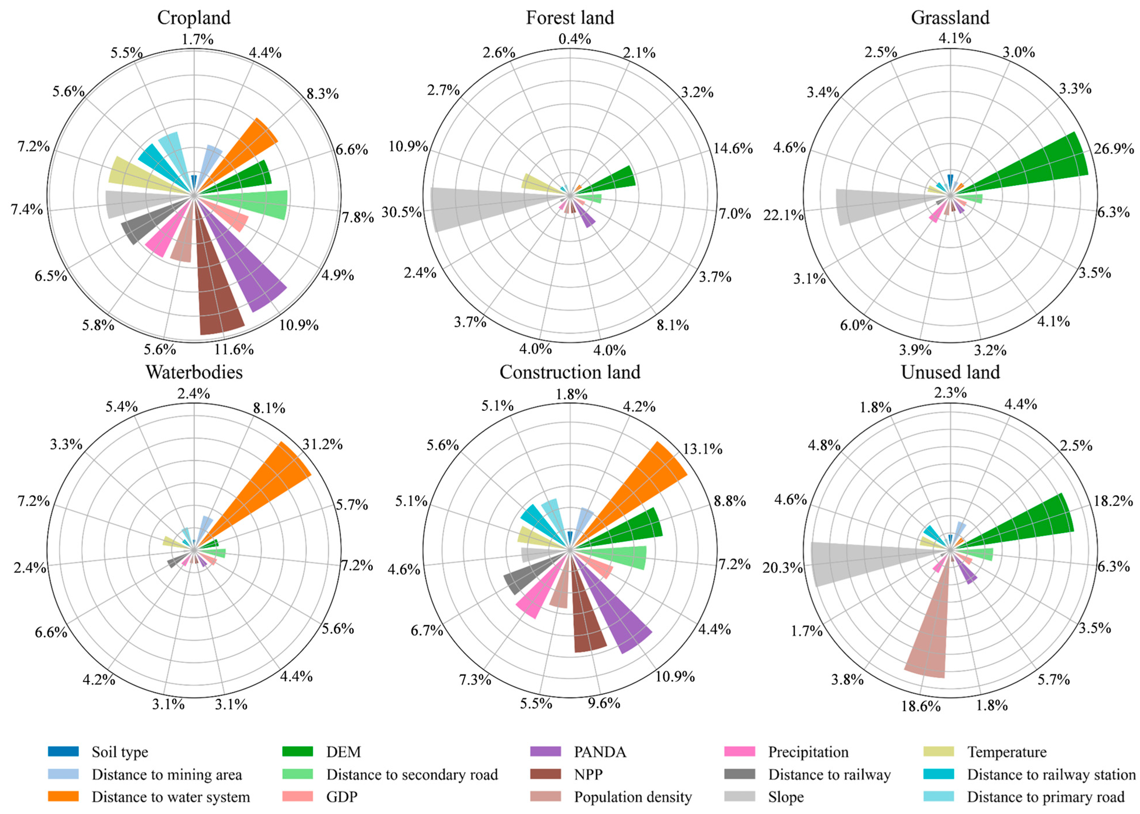
Based on the LEAS module of the PLUS model, this study quantified the relative contributions of various driving factors to the expansion of different land use/land cover (LULC) types from 2000 to 2020 (Figure 7). The results reveal clear differences in the dominant drivers of each LULC category.
Natural topographic conditions play a critical role in the formation and maintenance of forest lands and grasslands. Specifically, slope contributes the most to forest land change, accounting for 30.54%—the highest among all driving factors—and also contributes 22.08% to grassland change. Additionally, topographic relief (DEM) has a significant impact on grassland (26.91%) and forest land (14.60%) transitions, suggesting that areas with complex terrain are more favorable for the preservation and expansion of natural vegetation, while also serving as a physical barrier to urban sprawl. Changes in water bodies are primarily driven by hydrological and geographical factors, with distance to rivers contributing 31.24%—the most influential factor. Furthermore, distance to mining areas also shows a notable effect, contributing 8.11% to water body changes, ranking second only to distance to rivers. This highlights a strong spatial coupling between mining distribution and waterbody patterns. In high-groundwater mining areas, coal extraction often induces surface subsidence and geological disturbances, leading to groundwater overflow and the formation of surface water bodies.
Regarding changes in construction land, factors associated with human activity intensity contribute more significantly. For instance, the PANDA index (nighttime light intensity) and population density account for 10.91% and 9.63%, respectively, indicating the dominant role of socio-economic factors in driving urban expansion. In addition, proximity to waterbodies (13.13%), railways (7.27%), major roads (5.08%), and railway stations (5.60%) also facilitates the conversion of land into urban areas, highlighting the importance of transportation accessibility and resource proximity in urban land development.
For cropland dynamics, NPP (11.63%) and the PANDA index (10.90%) exhibit high contributions, indicating that cropland change is jointly influenced by natural productivity and socio-economic factors.
Unused land is subject to a combination of multiple driving factors. The main contributors include DEM (18.19%), slope (20.28%), and population density (18.55%), suggesting that unused land is typically distributed in areas with higher elevation, steeper slopes, and lower population density—conditions that collectively constrain development potential due to both natural and social limitations.

3.2. Dynamic Changes in Carbon Storage from 2000 to 2020

3.2.1. Spatiotemporal Variation of Carbon Storage

Over the past two decades, the total carbon storage in the study area has shown a declining trend, although the rate of decline has slowed over time (Figure 8, Table S8). Overall, the cumulative loss of carbon storage amounted to 31.53 Tg. The period from 2000 to 2010 experienced the most significant reduction, with a loss of 24.40 Tg, accounting for 77.39% of the total carbon loss. Among the different land use types, cropland contributed the most to this decline, with its carbon loss representing 89.86% of the total carbon storage reduction.
As shown in Figure 9, areas with high carbon storage in the study region are mainly distributed in the eastern parts, corresponding to regions dominated by forest land and grassland, which aligns closely with the spatial pattern of land use. In contrast, areas with the lowest carbon storage are primarily concentrated in the southern part of the region. Among the four carbon pools, the most significant decreases occurred in the aboveground biomass and belowground biomass pools, accounting for 21.40% and 57.86% of the total carbon loss, respectively. This change is mainly attributed to the reduction in cropland area across the study area.

3.2.2. Response of Carbon Storage Change to LULC Transitions

To investigate the response mechanism of carbon storage to land use/land cover (LULC) changes, this study analyzed the impact of land transitions on carbon storage from 2000 to 2020. As shown in Figure 10, the results indicate that different types of land transitions have significantly different effects on carbon storage gains and losses. The cumulative positive impact of LULC transitions on carbon storage amounted to 24.15 Tg, with the conversion of construction land to cropland contributing the most—accounting for 65.54% of the total positive impact—followed by the conversion of water bodies to cropland (21.54%) and unused land to cropland (5.26%). Meanwhile, the cumulative negative impact of LULC changes on carbon storage reached 55.67 Tg. Among these, the conversion of cropland to construction land contributed the most to carbon loss, accounting for 67.02%, followed by the conversion of cropland to water bodies (16.84%) and forest land to cropland (4.82%).

3.2.3. Analysis of Differences in Carbon Storage Changes Between Mining and Non-Mining Areas

To more comprehensively analyze the characteristics of carbon storage changes within and outside mining areas, this study divided the research period into two stages: 2000–2010 and 2010–2020 (Figure 11, Table S9). Overall, the carbon storage exhibited a significant downward trend from 2000 to 2010, with a total reduction of 24.40 Tg, accounting for 77.40% of the total carbon loss over the 20-year period. In contrast, the rate of carbon storage loss slowed during 2010–2020, with a total decrease of 7.13 Tg.
Spatially, the changes in carbon storage from 2000 to 2020 were dominated by areas with “no significant change,” which accounted for over 85% of the study area, indicating that land use and ecological conditions remained relatively stable in most regions. However, areas with decreased carbon storage (including both “significant decrease” and “slight decrease”) made up 9.29% of the total area, far exceeding the 4.03% accounted for by areas with increased carbon storage. This confirms an overall declining trend in regional carbon storage. Among these, “slight decrease” zones were most prevalent, likely associated with land use changes such as cropland degradation or conversion to construction land.
There was a pronounced contrast in carbon storage changes between mining and non-mining areas. Although mining areas accounted for only 12.08% of the total study area, they contributed 6.08 Tg to the total carbon loss over 20 years, representing 19.27% of the regional decline. In comparison, non-mining areas experienced a carbon storage reduction of 25.45 Tg over the same period, further highlighting the more intense carbon loss dynamics within mining zones.
Over the entire 20-year period (2000–2020), areas with stable carbon storage in non-mining regions accounted for 87.23% (21,401.28 km2), slightly higher than the proportion in mining areas, which was 82.43% (2668.32 km2) (Table 8). The proportion of “Severely Reduced” areas in carbon storage was significantly higher in mining areas (3.14%) than in non-mining areas (1.01%), indicating that drastic carbon loss was more concentrated and severe within mining zones. Similarly, “Slightly Reduced” areas made up 10.03% of the mining areas, compared to 7.77% in non-mining areas, reflecting that both the extent and intensity of carbon storage decline were greater in mining regions.
Comparing the two stages, 2000–2010 was the period with the most significant carbon loss. In this decade, the proportion of carbon-decreased areas (including both “Severely” and “Slightly Reduced”) reached 11.57% in mining areas and 7.25% in non-mining areas. During 2010–2020, the decline slowed, with the proportions dropping to 2.04% and 1.99% in mining and non-mining areas, respectively. Notably, the proportion of “Significantly Increased” areas in carbon storage was slightly higher in mining zones during both time periods. This may be attributed to stronger efforts in land reclamation and ecological restoration within mining areas compared to non-mining regions.

3.3. Analysis of Driving Factors of Carbon Storage Changes from 2000 to 2020

This study identified a total of 287 distinct processes driving changes in carbon storage. To ensure representativeness, we selected those with an affected area larger than 5 km2, resulting in 16 major processes for in-depth analysis. As shown in Figure 12, these 16 processes collectively accounted for 99.48% of the area where carbon storage change occurred. Single-factor drivers played a dominant role in carbon dynamics, contributing to 85.33% of the total carbon loss and 69.44% of the total carbon gain.
Among all driving factors, urban expansion emerged as the most significant single driver of carbon loss, with a cumulative reduction of 38.83 Tg, accounting for 69.76% of the total carbon decrease. In comparison, mining, as a standalone driving force, resulted in a carbon loss of 3.36 Tg—approximately 8.65% of the loss induced by urban expansion. Although mining areas occupy a relatively small portion of the region, their impact on carbon storage remains substantial and cannot be overlooked.
Notably, under compound driving scenarios, the mining–reclamation (M–R) pathway covered an area of only 3.62 km2 and led to a cumulative carbon loss of 0.043 Tg. This indicates that even when reclamation measures are implemented following mining activities, complete restoration of the original land use type is often unattainable, and varying degrees of carbon loss persist.
We performed a cluster analysis using Euclidean distance on the 16 major carbon storage driving processes and categorized them into three distinct clusters. Cluster 1 represents areas influenced by multiple driving forces. In these areas, carbon storage exhibited a pattern of initial decline followed by recovery over the 20-year period, although the overall magnitude of change remained relatively small. Cluster 2 comprises the dominant drivers of carbon loss. Although this cluster covers only 1.25% of the total study area, it was responsible for as much as 86.61% of the cumulative carbon storage decline, indicating highly intensive and spatially concentrated negative impacts on the carbon pool. Cluster 3, in contrast, includes the primary contributors to carbon gain, accounting for 62.62% of the total increase in carbon storage across the study area. This suggests that the processes within this cluster, such as reclamation and ecological restoration, have considerable potential for enhancing regional carbon sequestration.

3.4. Analysis of Ecosystem Carbon Storage Changes Under Different Scenarios in 2030

3.4.1. Evaluation of Mining-Induced Land Damage in 2030

Based on the PIM model prediction, the spatial distribution and intensity of land degradation within the mining areas of High-Groundwater-Level Coal Resource-Based Cities (HGCRBCs) in 2030 exhibit clear stratification. As shown in Figure 13, areas with slight degradation dominate the landscape, covering 146.57 km2 and accounting for approximately 50.4% of the total degraded area. Moderate degradation follows, with a total area of 90.57 km2, representing 31.1% of the total. Severely degraded land occupies the smallest portion, with only 42.67 km2, comprising 18.5% of the total degradation extent.

3.4.2. Differences in Ecosystem Carbon Storage Under Different Scenarios

Using the integrated GMOP–PLUS–PIM–InVEST framework, we simulated future land use patterns and evaluated regional carbon storage under multiple scenarios (Figure 14, Figure S1 and Figure S2). The results indicate that mining disturbances and ecological restoration activities exert a significant influence on future carbon storage patterns, and that the carbon storage levels of all three development pathways—Natural Development (ND), Ecological Priority (EP), and Economic Development (ED)—are lower than the 2020 baseline.
Under the Natural Development (ND) scenario, the total regional carbon storage reaches 783.98 Tg. When mining disturbances are introduced (ND_M), carbon storage declines to 780.42 Tg, resulting in a loss of 3.56 Tg. The implementation of post-mining reclamation (ND_R) effectively restores carbon storage to 783.01 Tg, recovering approximately 72.65% of the mining-induced loss.
In the Ecological Priority (EP) scenario, carbon storage is the highest among all scenarios, reaching 784.65 Tg. This outcome underscores the significant carbon sink enhancement effect of ecologically driven policies. However, under mining disturbance (EP_M), carbon storage decreases to 781.08 Tg (a reduction of about 0.46%). After reclamation (EP_R), carbon storage rebounds to 783.67 Tg, with a recovery ratio of 72.58%.
In contrast, the Economic Development (ED) scenario yields the lowest total carbon storage, at only 781.72 Tg. With added mining disturbance (ED_M), the carbon storage drops further to 778.14 Tg, down by 3.58 Tg (approximately 0.46%). Reclamation efforts (ED_R) restore carbon to 780.74 Tg, achieving a 72.56% recovery rate.
In terms of land use types, cropland remains the primary carbon storage carrier, accounting for over 80% of the regional carbon storage (Tables S10 and S11). In the EP scenario, the expansion of forest land and grassland serves as key contributors to increased carbon storage. Conversely, the expansion of construction land—particularly evident in the ED scenario—is associated with significant carbon loss, highlighting a strong negative correlation between urban expansion and carbon sequestration capacity.

4. Discussion

This study integrates four analytical frameworks to systematically evaluate the carbon storage dynamics of High-Groundwater-Level Coal Resource-Based Cities (HGCRBCs). First, the InVEST model was applied to quantify the spatiotemporal variations of carbon storage from 2000 to 2020. Second, the LEAS module of the PLUS model was employed to systematically identify the driving mechanisms of land expansion from socio-economic, natural, and topographic dimensions, thereby revealing how multiple drivers jointly shaped land use/land-cover transitions. Third, carbon storage responses to human activities were examined through explicit LULC transition pathways, highlighting the combined effects of urban expansion, mining disturbance, and ecological restoration. Finally, an integrated framework combining GMOP, PLUS, PIM, and InVEST was developed to simulate land use patterns and carbon storage evolution under different development scenarios for 2030, with particular emphasis on the spatially heterogeneous impacts of mining subsidence and reclamation practices.
Most existing studies on carbon storage in resource-based cities mainly rely on single-model approaches or scenario-based simulations, which often fail to capture the complex processes of mining subsidence and waterlogging that largely determine the future land use patterns of coal resource-based cities [38,44]. In this study, the PIM model was introduced and combined with GMOP, PLUS, and InVEST, which not only enabled more accurate projections of land use changes under mining disturbance but also allowed the construction of reclamation scenarios based on land management regulations. This integrated approach provides a more refined assessment of the impacts of future mining and reclamation activities on carbon storage, thereby significantly improving the reliability and practical value of the results. The proposed multi-model framework not only strengthens the systematic identification of driving factors but also better reveals the complex coupling between human activities and carbon storage, offering a solid scientific basis for more comprehensive evaluations of the trade-offs between development and ecological sustainability.

4.1. LULC Transformation Pathways Drive Carbon Storage Evolution: Urban Expansion Suppresses Carbon Sequestration, Mining Disturbances Intensify Spatial Heterogeneity

LULC change is recognized as the core driving factor influencing regional carbon storage dynamics [45]. Between 2000 and 2020, the total carbon storage in the study area declined by 31.53 Tg, with the most substantial reduction occurring during 2000–2010, amounting to 24.40 Tg and accounting for 77.4% of the total loss. This period coincided with a phase of rapid urbanization, during which large-scale expansion of construction land led to the occupation and conversion of high-carbon-density land types such as cropland and forest land [46]. The conversion of cropland to construction areas and waterbodies was the primary pathway of carbon loss, contributing 89.86% of the total reduction. This finding aligns with the conclusions of Wu et al., who identified urban expansion as one of the dominant pressures driving terrestrial carbon storage degradation [9].
Meanwhile, mining areas, as typical zones of intensive LULC change, exhibited more pronounced disturbances and spatial heterogeneity in carbon storage dynamics. Although mining areas accounted for only 12.08% of the total study area, they contributed 19.27% of the total carbon loss, indicating a much higher carbon loss intensity per unit area compared to non-mining regions. Further analysis revealed that areas classified as “Severely Reduced” in terms of carbon storage accounted for 3.14% of the mining area, in contrast to only 1.01% in non-mining areas. This underscores the strong disruption to the carbon system caused by coal mining, including surface subsidence, cropland degradation, and the formation of waterlogged areas.
It is worth noting that although carbon storage in mining areas generally showed a declining trend, the proportion of areas with “Significantly Increased” carbon storage was consistently higher in mining areas than in non-mining areas across both time periods. This suggests that land reclamation and ecological restoration efforts in mining zones have achieved some success. On one hand, some subsided lands have been reclaimed and now exhibit strong carbon sequestration capacity. On the other hand, the policy-driven emphasis on ecological restoration in mining areas—through stronger investment and stricter management—has led to a distinctive pattern of “high disturbance–high restoration.”

4.2. Spatiotemporal Dynamics of Carbon Storage Under Typical LULC Transition Pathways

This study investigates the spatiotemporal evolution of carbon storage in high-groundwater-level coal resource-based cities (HGCRBCs) by analyzing 16 major LULC transition pathways. These pathways account for 99.48% of the areas with significant carbon storage change and were categorized into three typical evolution patterns through clustering analysis, capturing the complex responses of carbon systems under anthropogenic disturbance.
(1)
Single-Process Dominance in Carbon Storage Dynamics
Among all identified pathways, single-process transitions played a dominant role in shaping carbon storage outcomes, accounting for 85.33% of the total carbon loss and 69.44% of the total carbon gain. Urban expansion (U) emerged as the most impactful driver, contributing to a cumulative carbon loss of 38.83 Tg—nearly 70% of the total loss in the study area. This process involved widespread land conversion (306.92 km2), primarily characterized by the replacement of high-carbon-density land types such as cropland, forest land, and grassland by construction areas. The continued expansion of urban space significantly weakened the region’s carbon sink capacity.
Although spatially concentrated, mining (M) activities affected 101.35 km2 and led to a carbon loss of 3.36 Tg—approximately 8.65% of the carbon loss attributed to urban expansion. This indicates that mining-induced disturbances—such as surface subsidence, waterbody formation, and vegetation destruction—have substantial carbon impacts even within limited areas, demonstrating high carbon loss intensity per unit area.
In contrast, the land reclamation (R) pathway exhibited a degree of carbon storage restoration. Covering an area of 55.30 km2, reclamation activities contributed to a cumulative recovery of 1.72 Tg of carbon. While these efforts did not fully offset the losses caused by mining, they partially mitigated the long-term degradation of the regional carbon sink. However, considering prior findings that subsided waterbodies may have different carbon densities compared to natural waterbodies [47], this study may have overestimated the impacts of mining and reclamation on carbon storage due to data limitations.
(2)
Compound Pathways Reveal the Coupled Mechanism Between Human Disturbance and Ecological Response
Compound pathways illustrated the complex land use transitions influenced by policy, economic development, and ecological restoration. These transitions showed pronounced temporal fluctuations. For instance, the U–O–U pathway (urban–abandonment–reurbanization) resulted in a net carbon change of −0.617 Tg, reflecting the instability of carbon sinks during the cyclical transformation of urban land.
Notably, the mining–reclamation (M–R) pathway, although intended as an ecological compensation strategy, failed to deliver ideal restoration outcomes. Even after reclamation, carbon storage in these areas still experienced a net loss of 0.043 Tg. This suggests that post-mining reclamation cannot fully restore carbon levels, likely due to limitations in returning land to its original ecological state [12].

4.3. Impacts of Mining and Reclamation Under Different Development Scenarios

Scenario simulations based on the PLUS model revealed significant variations in carbon storage by 2030 under three land use scenarios: Natural Development (ND), Ecological Priority (EP), and Economic Development (ED). These differences underscore the profound influence of policy orientation and land use structure on regional carbon dynamics. The EP scenario demonstrated the highest carbon sequestration potential, highlighting the effectiveness of expanding forest and grassland areas while controlling urban sprawl—an approach consistent with findings by Chen et al. [48].
In contrast, the ED scenario exhibited the lowest carbon storage, driven by the rapid expansion of construction land that displaced high-carbon-density land types such as cropland and forest land. This efficiency-oriented land configuration significantly weakened ecosystem carbon sinks and is unfavorable for achieving carbon peaking and neutrality goals.
Mining disturbances were integrated into all three scenarios and consistently led to significant carbon reductions—approximately 3.5 Tg in each case. This confirms mining as a major negative driver of regional carbon storage in HGCRBCs [27]. The main causes of these losses include land degradation from subsidence, expansion of waterbodies, and cropland loss—particularly the destruction of cropland, which originally had high carbon density.
Further simulations evaluated the impact of post-mining reclamation on carbon recovery. Results showed that reclamation consistently offset around 72% of the mining-induced carbon loss across all scenarios, demonstrating strong ecological compensation potential. This recovery rate was consistent under the ND, EP, and ED scenarios, suggesting that reclamation is a broadly effective and adaptive measure for restoring carbon sink functions in mining areas. Nevertheless, the effectiveness of reclamation is constrained by factors such as land use conversion types, technical feasibility, implementation delays, and policy enforcement [49] making it difficult to fully restore pre-disturbance carbon levels.
Although the differences in carbon storage among the ND, EP, and ED scenarios are smaller compared to the magnitude of historical changes, this outcome reflects the policy-oriented nature of the scenario design: under strict land use regulations and planning constraints, the overall range of variation among scenarios is limited. At the same time, we also observed relatively small differences between the _M and _R sub-scenarios within each pathway. This is mainly attributable to the scale effect—mining-affected areas account for only a small proportion of the entire study region, causing the localized impacts of mining disturbances and ecological restoration to be diluted when assessed at the city-wide level. This explains why the observed differences between the _M and _R scenarios are relatively insignificant.
According to the findings of this study, mining activities exert a significant negative impact on carbon storage, whereas reclamation can substantially restore carbon stocks. However, further reducing the adverse effects of mining and enhancing the restorative capacity of reclamation critically depend on policy orientation. In particular, the conflict between mining rights approval and ecological protection red lines has not yet been effectively addressed. Future efforts should strengthen the enforcement of ecological red line controls, establish sound ecological compensation mechanisms, and promote multi-objective land use planning to optimize the mining and reclamation process. Such policy-oriented measures are essential for reconciling mining development with ecological protection and for enhancing the long-term stability of regional carbon storage.

4.4. Scientific Significance and Limitations

This study focuses on High-Groundwater-Level Coal Resource-Based Cities (HGCRBCs), integrating mining disturbances, land reclamation processes, and multi-scenario simulations to construct an analytical framework for the coupled relationship between mining, reclamation, and carbon storage. Methodologically, it integrates the Multi-Objective Programming (MOP) model, Patch-generating Land Use Simulation (PLUS) model, Probability Integral Method (PIM), and the InVEST carbon storage assessment model. This combination ensures both high spatial accuracy in land use/cover change (LULC) simulation and ecological logic in the carbon storage process, significantly improving the spatial resolution and dynamic response capacity of carbon assessments. In addition, this study is the first to systematically identify and quantify the impacts of 16 typical LULC transition pathways on carbon dynamics. Through pathway clustering, it reveals the heterogeneous responses of carbon storage to various combinations of anthropogenic disturbances, thus expanding the scope of ecosystem service impact assessments related to land use change. Furthermore, by incorporating reclamation policies into future scenario simulations, this research provides quantitative evidence and theoretical support for ecological restoration, low-carbon transition, and refined land use policymaking in resource-based cities.
Nevertheless, several limitations remain. First, the InVEST model applies fixed carbon pool values for each LULC type. Although this study adjusts those values using regional climate data (e.g., temperature and precipitation), it does not fully capture carbon density variability within the same land class under different environmental or successional conditions. Second, existing research has shown that the carbon density of subsidence-induced waterbodies is significantly higher than that of natural waterbodies [47]. However, this study does not differentiate between these two types in the model settings, potentially leading to an underestimation of carbon storage in waterbody-related areas. Third, the accuracy of carbon storage assessments is heavily dependent on the quality and classification of LULC data. Although the datasets used in this study have been widely validated in academic literature [8] and are of relatively high accuracy, inherent uncertainties in remote sensing interpretation and land classification may still introduce errors that affect the precision of the carbon storage simulations. Moreover, given that subsidence zones in coal resource–based cities are often fragmented, the use of 30 m resolution may fail to detect small, localized subsidence waterbodies, thereby underestimating the spatial heterogeneity of carbon-stock changes. Fourth, the economic and ecological efficiency coefficients used in the GMOP model are subject to uncertainty. Although the economic efficiency coefficients were derived from local statistical yearbooks and the ecological efficiency coefficients were based on the widely used ESV equivalent factor method proposed by Xie et al. [50]., these values may not fully represent the actual conditions of the study area. Finally, the scenario settings (e.g., “low-carbon development” and “coordinated governance”) were designed from a national strategic perspective and may not be fully consistent with local policies, while the ecological migration recommendations were proposed qualitatively without cost–benefit analysis. These issues should be addressed in future research.

5. Conclusions

This study takes High-Groundwater-Level Coal Resource-Based Cities (HGCRBCs) as the research object, integrating the PLUS, PIM, InVEST, and GMOP models to systematically assess the impact of land use/land cover (LULC) changes on regional carbon storage from 2000 to 2020, and to simulate the carbon storage responses under different mining and reclamation scenarios in 2030. The main conclusions are as follows:
(1)
Regional carbon storage showed a significant downward trend from 2000 to 2020, with the major carbon losses attributed to urban expansion and cropland conversion—particularly the replacement of high carbon density land types by urban land. Although mining areas occupy a limited spatial extent, their carbon loss intensity per unit area is considerably higher than that of non-mining areas.
(2)
Sixteen identified LULC transition pathways revealed that single drivers remain the dominant factors shaping carbon storage evolution. Among them, urban expansion (U) and mining activities (M) contributed the most to carbon loss, while reclamation (R) pathways showed a certain degree of carbon sink restoration potential.
(3)
Scenario simulations for 2030 indicate that the Ecological Priority (EP) scenario yields the highest total carbon storage, while the Economic Development (ED) scenario shows the lowest, underscoring the profound impact of land use structure on regional carbon sink capacity. Mining activities are projected to reduce carbon storage by approximately 3.5 Tg, yet reclamation efforts could potentially recover about 72% of this loss.

Supplementary Materials

The following supporting information can be downloaded at: https://www.mdpi.com/article/10.3390/land14102001/s1. References [51,52,53,54] are cited in the Supplementary Materials.

Author Contributions

Y.G.: Writing—original draft, Software, Conceptualization, Methodology. Z.H.: Supervision, Funding acquisition. W.G.: Formal analysis. A.Z.: Methodology. Q.L.: Visualization. All authors have read and agreed to the published version of the manuscript.

Funding

The research was supported by the National Key Research and Development Program (2023YFE0122300).

Data Availability Statement

No new data were created or analyzed in this study. The original contributions presented in the study are included in the article, further inquiries can be directed to the corresponding author.

Acknowledgments

We would like to express our gratitude and respect to the editors and reviewers for their valuable comments and suggestions to improve the quality of this paper.

Conflicts of Interest

The authors declare no conflicts of interest.

Abbreviations

HGCRBCsHigh-Groundwater-Level Coal Resource-Based Cities
LULCLand use/land cover
CSCarbon storage
RReclamation
UUrbanization and Village Relocation
EEcological Restoration
NDNatural Development Scenario
ND_MNatural Development with No Reclamation
ND_RNatural Development with Reclamation
EPEcological Conservation Priority Scenario
EP_MEcological Conservation Priority with No Reclamation
EP_REcological Conservation Priority with Reclamation
EDEconomic Development Priority Scenario
ED_MEconomic Development Priority with No Reclamation
ED_REconomic Development Priority with Reclamation

References

  1. Cramer, W.; Guiot, J.; Fader, M.; Garrabou, J.; Gattuso, J.-P.; Iglesias, A.; Lange, M.A.; Lionello, P.; Llasat, M.C.; Paz, S.; et al. Climate change and interconnected risks to sustainable development in the Mediterranean. Nat. Clim. Change 2018, 8, 972–980. [Google Scholar] [CrossRef]
  2. Tokarska, K.B.; Gillett, N.P. Cumulative carbon emissions budgets consistent with 1.5 °C global warming. Nat. Clim. Change 2018, 8, 296–299. [Google Scholar] [CrossRef]
  3. Althor, G.; Watson, J.E.M.; Fuller, R.A. Global mismatch between greenhouse gas emissions and the burden of climate change. Sci. Rep. 2016, 6, 20281. [Google Scholar] [CrossRef]
  4. Gomes, E.; Inácio, M.; Bogdzevič, K.; Kalinauskas, M.; Karnauskaitė, D.; Pereira, P. Future land-use changes and its impacts on terrestrial ecosystem services: A review. Sci. Total Environ. 2021, 781, 146716. [Google Scholar] [CrossRef] [PubMed]
  5. He, Q.; Zeng, C.; Xie, P.; Liu, Y.; Zhang, M. An assessment of forest biomass carbon storage and ecological compensation based on surface area: A case study of Hubei Province, China. Ecol. Indic. 2018, 90, 392–400. [Google Scholar] [CrossRef]
  6. Tian, S.; Wang, S.; Bai, X.; Luo, G.; Li, Q.; Yang, Y.; Hu, Z.; Li, C.; Deng, Y. Global patterns and changes of carbon emissions from land use during 1992–2015. Environ. Sci. Ecotechnol. 2021, 7, 100108. [Google Scholar] [CrossRef]
  7. Le Quéré, C.; Andrew, R.M.; Friedlingstein, P.; Sitch, S.; Hauck, J.; Pongratz, J.; Pickers, P.A.; Korsbakken, J.I.; Peters, G.P.; Canadell, J.; et al. Global carbon budget 2018. Earth Syst. Sci. Data 2018, 10, 2141–2194. [Google Scholar] [CrossRef]
  8. Wang, Z.; Zhong, A.; Li, Q. Optimization of Land Use Structure Based on the Coupling of GMOP and PLUS Models: A Case Study of Lvliang City, China. Land 2024, 13, 1335. [Google Scholar] [CrossRef]
  9. Wu, Q.; Wang, L.; Wang, T.; Ruan, Z.; Du, P. Spatial–temporal evolution analysis of multi-scenario land use and carbon storage based on PLUS-InVEST model: A case study in Dalian, China. Ecol. Indic. 2024, 166, 112448. [Google Scholar] [CrossRef]
  10. Li, H.; Zhang, K.; Liu, Y.; Qin, Y.; Wang, W.; Wang, M.; Liu, Y.; Li, Y. Spatiotemporal evolution of land use and carbon storage in China: Multi-Scenario simulation and driving factor analysis based on the PLUS-InVEST model and SHAP. Environ. Res. 2025, 279, 121860. [Google Scholar] [CrossRef]
  11. Xiao, W.; Hu, Z.; Chugh, Y.P.; Zhao, Y. Dynamic subsidence simulation and topsoil removal strategy in high groundwater table and underground coal mining area: A case study in Shandong Province. Int. J. Min. Reclam. Environ. 2014, 28, 250–263. [Google Scholar] [CrossRef]
  12. Han, J.; Hu, Z.; Mao, Z.; Li, G.; Liu, S.; Yuan, D.; Guo, J. How to Account for Changes in Carbon Storage from Coal Mining and Reclamation in Eastern China? Taking Yanzhou Coalfield as an Example to Simulate and Estimate. Remote Sens. 2022, 14, 2014. [Google Scholar] [CrossRef]
  13. Li, P.; Chen, J.; Li, Y.; Wu, W. Using the InVEST-PLUS Model to Predict and Analyze the Pattern of Ecosystem Carbon storage in Liaoning Province, China. Remote Sens. 2023, 15, 4050. [Google Scholar] [CrossRef]
  14. Fu, Y.; He, Y.; Chen, W.; Xiao, W.; Ren, H.; Shi, Y.; Hu, Z. Dynamics of carbon storage driven by land use/land cover transformation in coal mining areas with a high groundwater table: A case study of Yanzhou Coal Mine, China. Environ. Res. 2024, 247, 118392. [Google Scholar] [CrossRef] [PubMed]
  15. Jiang, H.; Hu, H.; Zhong, R.; Xu, J.; Xu, J.; Huang, J.; Wang, S.; Ying, Y.; Lin, T. A deep learning approach to conflating heterogeneous geospatial data for corn yield estimation: A case study of the US Corn Belt at the county level. Glob. Change Biol. 2020, 26, 1754–1766. [Google Scholar] [CrossRef] [PubMed]
  16. Wang, J.; Wang, W.; Zhang, S.; Wang, Y.; Sun, Z.; Wu, B. Spatial and temporal changes and development predictions of urban green spaces in Jinan City, Shandong, China. Ecol. Indic. 2023, 152, 110373. [Google Scholar] [CrossRef]
  17. Yulianto, F.; Maulana, T.; Khomarudin, M.R. Analysis of the dynamics of land use change and its prediction based on the integration of remotely sensed data and CA-Markov model, in the upstream Citarum Watershed, West Java, Indonesia. Int. J. Digit. Earth 2019, 12, 1151–1176. [Google Scholar] [CrossRef]
  18. Xu, K.; Chi, Y.; Ge, R.; Wang, X.; Liu, S.J.P. Land use changes in Zhangjiakou from 2005 to 2025 and the importance of ecosystem services. PeerJ 2021, 9, e12122. [Google Scholar] [CrossRef] [PubMed]
  19. Liang, X.; Liu, X.; Li, X.; Chen, Y.; Tian, H.; Yao, Y. Delineating multi-scenario urban growth boundaries with a CA-based FLUS model and morphological method. Landsc. Urban Plan. 2018, 177, 47–63. [Google Scholar] [CrossRef]
  20. Sohl, T.L.; Claggett, P.R. Clarity versus complexity: Land-use modeling as a practical tool for decision-makers. J. Environ. Manag. 2013, 129, 235–243. [Google Scholar] [CrossRef]
  21. Yang, J.; Gong, J.; Tang, W.; Liu, C. Patch-based cellular automata model of urban growth simulation: Integrating feedback between quantitative composition and spatial configuration. Comput. Environ. Urban Syst. 2020, 79, 101402. [Google Scholar] [CrossRef]
  22. Liang, X.; Guan, Q.; Clarke, K.C.; Liu, S.; Wang, B.; Yao, Y. Understanding the drivers of sustainable land expansion using a patch-generating land use simulation (PLUS) model: A case study in Wuhan, China. Comput. Environ. Urban Syst. 2021, 85, 101569. [Google Scholar] [CrossRef]
  23. Lin, Z.; Peng, S. Comparison of multimodel simulations of land use and land cover change considering integrated constraints - A case study of the Fuxian Lake basin. Ecol. Indic. 2022, 142, 109254. [Google Scholar] [CrossRef]
  24. Shi, Q.; Gu, C.-J.; Xiao, C. Multiple scenarios analysis on land use simulation by coupling socioeconomic and ecological sustainability in Shanghai, China. Sustain. Cities Soc. 2023, 95, 104578. [Google Scholar] [CrossRef]
  25. Han, J.; Hu, Z.; Wang, P.; Yan, Z.; Li, G.; Zhang, Y.; Zhou, T. Spatio-temporal evolution and optimization analysis of ecosystem service value—A case study of coal resource-based city group in Shandong, China. J. Clean. Prod. 2022, 363, 132602. [Google Scholar] [CrossRef]
  26. Hou, H.; Zhang, S.; Ding, Z.; Huang, A.; Tian, Y. Spatiotemporal dynamics of carbon storage in terrestrial ecosystem vegetation in the Xuzhou coal mining area, China. Environ. Earth Sci. 2015, 74, 1657–1669. [Google Scholar] [CrossRef]
  27. Wang, Z.; Zhong, A.; Wei, E.; Hu, C. Carbon Storage Simulation and Land Use Optimization for High-Water-Table Resource-Based Cities Based on the Coupled GMOP-PLUS-InVEST Model. Remote Sens. 2024, 16, 4480. [Google Scholar] [CrossRef]
  28. Peng, S.; Qin, S.; Wang, M.; Li, G. Mining subsidence prediction for multi-seam and non-rectangular goafs based on probability integral model: A case study from China. Arab. J. Geosci. 2021, 14, 1231. [Google Scholar] [CrossRef]
  29. Xiao, W.; Fu, Y.; Wang, T.; Lv, X. Effects of land use transitions due to underground coal mining on ecosystem services in high groundwater table areas: A case study in the Yanzhou coalfield. Land Use Policy 2018, 71, 213–221. [Google Scholar] [CrossRef]
  30. Sharp, R.; Chaplin-Kramer, R.; Wood, S.; Guerry, A.; Tallis, H.; Ricketts, T.; Nelson, E.; Ennaanay, D.; Wolny, S.; Olwero, N.; et al. InVEST User’s Guide; Stanford University: Palo Alto, CA, USA, 2018. [Google Scholar] [CrossRef]
  31. Alam, S.A.; Starr, M.; Clark, B.J.F. Tree biomass and soil organic carbon densities across the Sudanese woodland savannah: A regional carbon sequestration study. J. Arid Environ. 2013, 89, 67–76. [Google Scholar] [CrossRef]
  32. Giardina, C.P.; Ryan, M.G. Evidence that decomposition rates of organic carbon in mineral soil do not vary with temperature. Nature 2000, 404, 858–861. [Google Scholar] [CrossRef]
  33. Zhou, S.; Li, X.; Zhang, P.; Lu, G.; Zhang, X.; Zhang, H.; Zhang, F. Carbon Sequestration Capacity after Ecological Restoration of Open-Pit Mines: A Case Study in Yangtze River Basin, Jurong City, Jiangsu Province. Sustainability 2024, 16, 8149. [Google Scholar] [CrossRef]
  34. Ma, T.; Li, X.; Bai, J.; Ding, S.; Zhou, F.; Cui, B. Four decades’ dynamics of coastal blue carbon storage driven by land use/land cover transformation under natural and anthropogenic processes in the Yellow River Delta, China. Sci. Total Environ. 2019, 655, 741–750. [Google Scholar] [CrossRef]
  35. Jin, T.; Zhang, P.; Zhou, N.; Li, S. Unveiling the spatiotemporal heterogeneity and driving mechanisms of carbon storage changes in response to land use/land cover changes under different future scenarios: Insights from the GMOP-SEM model. J. Clean. Prod. 2025, 487, 144622. [Google Scholar] [CrossRef]
  36. Wang, Y.; Li, X.; Zhang, Q.; Li, J.; Zhou, X. Projections of future land use changes: Multiple scenarios-based impacts analysis on ecosystem services for Wuhan city, China. Ecol. Indic. 2018, 94, 430–445. [Google Scholar] [CrossRef]
  37. Chugh, Y.P. Concurrent mining and reclamation for underground coal mining subsidence impacts in China. In Land Reclamation in Ecological Fragile Areas; CRC Press: Boca Raton, FL, USA, 2017; pp. 315–332. [Google Scholar]
  38. Dong, J.; Guo, Z.; Zhao, Y.; Hu, M.; Li, J. Coupling coordination analysis of industrial mining land, landscape pattern and carbon storage in a mining city: A case study of Ordos, China. Geomat. Nat. Hazards Risk 2023, 14, 2275539. [Google Scholar] [CrossRef]
  39. Lin, J.; Li, X.; Wen, Y.; He, P. Modeling urban land-use changes using a landscape-driven patch-based cellular automaton (LP-CA). Cities 2023, 132, 103906. [Google Scholar] [CrossRef]
  40. Zhao, X.; Rao, Z.; Lin, J.; Zhang, X. Scenario forecasting of carbon neutrality by combining the LEAP model and future land-use simulation: An empirical study of Shenzhen, China. Sustain. Cities Soc. 2025, 125, 106367. [Google Scholar] [CrossRef]
  41. Guo, P.; Wang, H.; Qin, F.; Miao, C.; Zhang, F. Coupled MOP and PLUS-SA Model Research on Land Use Scenario Simulations in Zhengzhou Metropolitan Area, Central China. Remote Sens. 2023, 15, 3762. [Google Scholar] [CrossRef]
  42. He, N.; Guo, W.; Wang, H.; Yu, L.; Cheng, S.; Huang, L.; Jiao, X.; Chen, W.; Zhou, H. Temporal and Spatial Variations in Landscape Habitat Quality under Multiple Land-Use/Land-Cover Scenarios Based on the PLUS-InVEST Model in the Yangtze River Basin, China. Land 2023, 12, 1338. [Google Scholar] [CrossRef]
  43. Wang, K.; Li, Z.; Xu, Z.; Wang, J.; Jia, M.; Wang, L.; Yue, X.; Duo, X. Evaluating and simulating the impacts of land use patterns on carbon emissions in coal resource-based regions: A case study of shanxi province, China. J. Clean. Prod. 2024, 458, 142494. [Google Scholar] [CrossRef]
  44. Min, X.Y.; Zhang, B.Z.; Wang, Y.S. Mining activities drive the temporal and spatial changes of ecosystem carbon storage in coal resource-based city with high groundwater table. Habitat Int. 2025, 161, 103420. [Google Scholar] [CrossRef]
  45. Clerici, N.; Cote-Navarro, F.; Escobedo, F.J.; Rubiano, K.; Villegas, J.C. Spatio-temporal and cumulative effects of land use-land cover and climate change on two ecosystem services in the Colombian Andes. Sci. Total Environ. 2019, 685, 1181–1192. [Google Scholar] [CrossRef] [PubMed]
  46. Ouyang, X.; Wei, X.; Wei, G.; Wang, K. The expansion efficiency of urban land in China’s urban agglomerations and its impact on ecosystem services. Habitat Int. 2023, 141, 102944. [Google Scholar] [CrossRef]
  47. Fu, Y.; Hu, Z.; Zhu, Q.; Rong, Y. Characteristics of labile organic carbon fractions under different types of subsidence waterlogging areas in a coal mining area: A case study in Xinglongzhuang Coal Mine, China. CATENA 2023, 232, 107398. [Google Scholar] [CrossRef]
  48. Chen, N.; Xin, C.L.; Tang, D.B.; Zhang, L.; Xin, S.J. Multi-scenario Land Use Optimization and Carbon Storage Assessment in Northwest China. Huan Jing Ke Xue= Huanjing Kexue 2023, 44, 4655–4665. [Google Scholar] [CrossRef]
  49. Hu, Z.; Yang, G.; Xiao, W.; Li, J.; Yang, Y.; Yu, Y. Farmland damage and its impact on the overlapped areas of cropland and coal resources in the eastern plains of China. Resour. Conserv. Recycl. 2014, 86, 1–8. [Google Scholar] [CrossRef]
  50. Xie, G.-D.; Zhang, C.-X.; Zhang, L.-M.; Chen, W.-H.; Li, S.M. Improvement of the evaluation method for ecosystem service value based on per unit area. J. Nat. Resour. 2015, 30, 1243–1254. [Google Scholar]
  51. Xu, L.; Yu, G.; He, N. Increased soil organic carbon storage in Chinese terrestrial ecosystems from the 1980s to the 2010s. J. Geogr. Sci. 2019, 29, 49–66. [Google Scholar] [CrossRef]
  52. Tang, X.; Zhao, X.; Bai, Y.; Tang, Z.; Wang, W.; Zhao, Y.; Wan, H.; Xie, Z.; Shi, X.; Wu, B.; et al. Carbon pools in China’s terrestrial ecosystems: New estimates based on an intensive field survey. Proc. Natl. Acad. Sci. USA 2018, 115, 4021–4026. [Google Scholar] [CrossRef]
  53. Wang, H.; Wu, L.; Yue, Y.; Jin, Y.; Zhang, B. Impacts of climate and land use change on terrestrial carbon storage: A multi-scenario case study in the Yellow River Basin (1992–2050). Sci. Total Environ. 2024, 930, 172557. [Google Scholar] [CrossRef] [PubMed]
  54. Zhu, C.; Zhao, S.-Q.; Zhou, D.-C. Organic carbon storage in urban built-up areas of China in 1997–2006. Ying Yong Sheng Tai Xue Bao 2012, 23, 1195–1202. [Google Scholar] [PubMed]
Figure 1. Overview of the Study Area, (a) Geographical location of the study area; (b) Topography of the study area; (c) Distribution of mining areas and land use/land cover (LULC).
Figure 1. Overview of the Study Area, (a) Geographical location of the study area; (b) Topography of the study area; (c) Distribution of mining areas and land use/land cover (LULC).
Land 14 02001 g001
Figure 2. Spatial distribution of 15 driving factors affecting LULC: (a) DEM; (b) Slope; (c) NPP; (d) Soil type; (e) Temperature; (f) Precipitation; (g) PANDA (nighttime light index); (h) Population density; (i) GDP; (j) Distance to primary roads; (k) Distance to secondary roads; (l) Distance to railways; (m) Distance to railway stations; (n) Distance to water system; (o) Distance to mining areas.
Figure 2. Spatial distribution of 15 driving factors affecting LULC: (a) DEM; (b) Slope; (c) NPP; (d) Soil type; (e) Temperature; (f) Precipitation; (g) PANDA (nighttime light index); (h) Population density; (i) GDP; (j) Distance to primary roads; (k) Distance to secondary roads; (l) Distance to railways; (m) Distance to railway stations; (n) Distance to water system; (o) Distance to mining areas.
Land 14 02001 g002
Figure 3. Technology Roadmap.
Figure 3. Technology Roadmap.
Land 14 02001 g003
Figure 4. Groundwater Depth and Classification Standards for Damaged Mining Land in HGCRBCs.
Figure 4. Groundwater Depth and Classification Standards for Damaged Mining Land in HGCRBCs.
Land 14 02001 g004
Figure 5. LULC Area Changes from 2000 to 2020: (a) Line chart of area changes; (b) Proportional area change by land use category.
Figure 5. LULC Area Changes from 2000 to 2020: (a) Line chart of area changes; (b) Proportional area change by land use category.
Land 14 02001 g005
Figure 6. Spatiotemporal changes in LULC: (a) LULC in 2000; (bf) land use transition maps between each pair of years, where 1: Cropland, 2: forest land, 3: Grassland, 4: Water body, 5: Construction land, 6: Unused land.
Figure 6. Spatiotemporal changes in LULC: (a) LULC in 2000; (bf) land use transition maps between each pair of years, where 1: Cropland, 2: forest land, 3: Grassland, 4: Water body, 5: Construction land, 6: Unused land.
Land 14 02001 g006
Figure 7. Relative importance of driving factors influencing LULC expansion from 2000 to 2020.
Figure 7. Relative importance of driving factors influencing LULC expansion from 2000 to 2020.
Land 14 02001 g007
Figure 8. Carbon Storage Changes in Each land use Type.
Figure 8. Carbon Storage Changes in Each land use Type.
Land 14 02001 g008
Figure 9. Spatiotemporal changes in carbon storage: (a) Carbon storage in 2000; (be) carbon storage change maps between each pair of years; (f) spatial distribution of carbon storage across the four carbon pools.
Figure 9. Spatiotemporal changes in carbon storage: (a) Carbon storage in 2000; (be) carbon storage change maps between each pair of years; (f) spatial distribution of carbon storage across the four carbon pools.
Land 14 02001 g009
Figure 10. Contribution of LULC Transitions to Carbon Storage Changes, where CR: Cropland, FL: Forest land, GL: Grassland, WB: Water body, CO: Construction land, UL: Unused land.
Figure 10. Contribution of LULC Transitions to Carbon Storage Changes, where CR: Cropland, FL: Forest land, GL: Grassland, WB: Water body, CO: Construction land, UL: Unused land.
Land 14 02001 g010
Figure 11. Carbon storage Changes Inside and Outside Mining Areas. Based on the actual conditions of the study area, the natural breakpoint method was adjusted to classify the region into five categories. Severely reduced: CS decreased by more than 20.97 Mg/grid. Slightly reduced: CS decreased between 3.90 and 20.97 Mg/grid. Basically unchanged: CS changed by less than 3.90 Mg/grid. Slightly increased: CS increased between 3.90 and 20.97 Mg/grid. Significantly increased: CS increased by more than 20.97 Mg/grid.
Figure 11. Carbon storage Changes Inside and Outside Mining Areas. Based on the actual conditions of the study area, the natural breakpoint method was adjusted to classify the region into five categories. Severely reduced: CS decreased by more than 20.97 Mg/grid. Slightly reduced: CS decreased between 3.90 and 20.97 Mg/grid. Basically unchanged: CS changed by less than 3.90 Mg/grid. Slightly increased: CS increased between 3.90 and 20.97 Mg/grid. Significantly increased: CS increased by more than 20.97 Mg/grid.
Land 14 02001 g011
Figure 12. The impact of major driving processes on carbon storage dynamics from 2000 to 2020. E: Ecological Restoration; O: Others; U: Urbanization and Village Relocation; M: Mining; R: Reclamation; M–R: indicates that LULC underwent both mining and reclamation stages during the 20-year period; CS: Carbon Storage; CSC: Carbon Storage Change.
Figure 12. The impact of major driving processes on carbon storage dynamics from 2000 to 2020. E: Ecological Restoration; O: Others; U: Urbanization and Village Relocation; M: Mining; R: Reclamation; M–R: indicates that LULC underwent both mining and reclamation stages during the 20-year period; CS: Carbon Storage; CSC: Carbon Storage Change.
Land 14 02001 g012
Figure 13. Predicted Land Degradation Intensity in 2030: (a) Areas of the three degradation types; (b) Spatial distribution of the three types of degraded land.
Figure 13. Predicted Land Degradation Intensity in 2030: (a) Areas of the three degradation types; (b) Spatial distribution of the three types of degraded land.
Land 14 02001 g013
Figure 14. Comparison of Carbon Storage under Different Scenarios. ND: Natural Development, EP: Ecological Priority, ED: Economic Development, _M: with Mining disturbance, _R: with Reclamation.
Figure 14. Comparison of Carbon Storage under Different Scenarios. ND: Natural Development, EP: Ecological Priority, ED: Economic Development, _M: with Mining disturbance, _R: with Reclamation.
Land 14 02001 g014
Table 1. Data sources used in this study.
Table 1. Data sources used in this study.
CategoryDataResolutionSource
LULCLand use/land cover (2000, 2005, 2010, 2015, 2020)30 mhttp://www.resdc.cn/, accessed on 27 May 2025
Socioeconomic factorsPopulation density1 kmhttp://www.resdc.cn/, accessed on 27 May 2025
GDP density1 kmhttp://www.resdc.cn/, accessed on 27 May 2025
Road network information-https://www.openstreetmap.org/, accessed on 27 May 2025
Nighttime-light Dataset1 kmhttps://data.tpdc.ac.cn/, accessed on 27 May 2025
Climate and environmental factorsAnnual average temperature1 kmhttp://www.resdc.cn/, accessed on 27 May 2025
Annual precipitation1 kmhttp://www.resdc.cn/, accessed on 27 May 2025
FVC1 kmhttp://www.resdc.cn/, accessed on 27 May 2025
DEM30 mhttps://lpdaac.usgs.gov/products/srtmgl1v003/, accessed on 27 May 2025
Slope30 mRetrieved from DEM
Soil type1 kmHWSD v1.2
Table 2. Carbon densities of different land use types in the study area (Mg/ha).
Table 2. Carbon densities of different land use types in the study area (Mg/ha).
Land Use/Cover Type C a b o v e C b e l o w C s o i l C d e a d
Cropland37.71 179.02 113.46 6.30
Forest land94.06 257.10 166.21 9.07
Grassland78.31 191.88 104.56 4.86
Waterbodies0.67 0.00 0.00 0.00
Construction land5.55 61.00 81.64 0.00
Unused land2.88 0.00 22.61 0.00
Table 3. Driving factors of LULC changes within the study area, characterized by the initial–final LULC types (1: Cropland, 2: forest land, 3: Grassland, 4: Water body, 5: Construction land, 6: Unused land).
Table 3. Driving factors of LULC changes within the study area, characterized by the initial–final LULC types (1: Cropland, 2: forest land, 3: Grassland, 4: Water body, 5: Construction land, 6: Unused land).
Driving FactorEcological Change ResultInitial–Final LULC Transition
MiningLand in mining areas subsides due to coal extraction, resulting in water accumulation and transformation to waterbodies.In mining areas: (1, 2, 3, 5, 6) → 4
ReclamationSubsided waterlogged areas are reclaimed into cropland, forest land, grassland, or construction land.In mining areas: 4 → 1; 4 → 2; 4 → 3; 4 → 5
Urbanization and Village RelocationExpansion of construction land.In mining areas: (1, 2, 3, 6) → 5
Outside mining areas: (1, 2, 3, 4, 6) → 5
Ecological RestorationIncrease in forest land, grassland, and waterbodies.In mining areas: (1, 3, 5, 6) → 2; (1, 5, 6) → 3
Outside mining areas: (1, 3, 5, 6) → 2; (1, 5, 6) → 3; (1, 5, 6) → 4
StabilityNo change in LULC types during the study period.
OthersLULC changes caused by other factors.In mining areas: (1, 2, 3, 4, 5) → 6; 2→3; (2, 3, 5, 6) → 1
Outside mining areas: (1, 2, 3, 4, 5) → 6; (2, 4) → 3; (2, 3, 4, 5, 6) → 1; 4 → 2
Table 4. Economic and Ecological Efficiency Coefficients (10,000 CNY/km2).
Table 4. Economic and Ecological Efficiency Coefficients (10,000 CNY/km2).
Efficiency CoefficientCroplandForest LandGrasslandWaterbodiesConstruction LandUnused Land
Economic efficiency coefficient1126.371498.027485.361571.1238,075.210.01
Ecological efficiency coefficient118.01 623.59 355.01 3696.52 −35.16 5.89
Table 5. Neighborhood weights.
Table 5. Neighborhood weights.
CroplandForest LandGrasslandWaterbodiesConstruction LandUnused Land
0.250 0.021 0.045 0.067 0.613 0.004
Table 6. PLUS Model Simulation Parameters.
Table 6. PLUS Model Simulation Parameters.
Expansion CoefficientPercentage of SeedsPatch Generation ThresholdNeighborhood Size
0.10.00010.83
Table 7. Constraints of the MOP model.
Table 7. Constraints of the MOP model.
CodeConstraintFormula (km2)Description
1Total Area ConstraintX1 + X2 + X3 + X4 + X5 + X6 = 27,771The sum of all land use types should equal the total area of the study region.
2Cropland Area ConstraintX1 ≥ 14,632According to the planning requirement, the minimum cropland area in 2030 must meet the lowest red-line constraint set by the government.
18,688 ≤ X1 ≤ 19,016Cropland has shown a declining trend over the past 20 years. Therefore, the lower limit for 2030 is set to 90% of the 2020 area, and the upper limit is the 2020 area.
3Forest Land Area Constraint446 ≤ X2 ≤ 538Forest land has also declined. Based on a five-year average trend, the lower limit is set to 90% of the 2020 area, and the upper limit to the 2020 forecast.
4Grassland Area Constraint1161 ≤ X3 ≤ 1419Grassland has remained relatively stable. Therefore, 90% of the current area is used as the lower limit, and 110% of the 2020 forecast as the upper limit [25,43].
5Waterbodies Area Constraint1678 ≤ X4 ≤ 1704Due to coal mining-induced surface subsidence and ponding, the water area has continued to increase from 2000 to 2020. With mining stabilization, the lower limit is set as the current value and the upper limit as the 2020 forecast.
6Construction Land Area Constraint5257 ≤ X5 ≤ 6043According to national planning (2021–2035), construction land should be reserved at 1.3 times the 2020 forecast. Thus, the lower limit is the 2020 forecast value, and the upper limit is 1.3 times the total forecast for urban and rural construction land in 2020.
7Unuse Land Area Constraint64 ≤ X6 ≤ 96The area of unuse land is constrained between 90% of the current area and 110% of the 2020 forecast.
8Non-negativity Constraint All decision variables must be non-negative.
Table 8. Area of Carbon Storage Change Intensity Inside and Outside Mining Areas.
Table 8. Area of Carbon Storage Change Intensity Inside and Outside Mining Areas.
PeriodRegionTypeSeverely ReducedSlightly ReducedBasically UnchangedSlightly IncreasedSignificantly Increased
2020–2000Non-mining areaArea (km2)248.411906.5221,401.28824.79152.72
Percentage1.01%7.77%87.23%3.36%0.62%
Mining areaArea (km2)101.52324.742668.3286.3656.25
Percentage3.14%10.03%82.43%2.67%1.74%
2020–2010Non-mining areaArea (km2)41.04446.3323,869.91154.5122.19
Percentage0.17%1.82%97.29%0.63%0.09%
Mining areaArea (km2)12.6153.533149.0317.604.41
Percentage0.39%1.65%97.28%0.54%0.14%
2010–2000Non-mining areaArea (km2)214.331565.4821,845.36767.18141.67
Percentage0.87%6.38%89.04%3.13%0.58%
Mining areaArea (km2)91.63283.062726.8181.6854.01
Percentage2.83%8.74%84.23%2.52%1.67%
Disclaimer/Publisher’s Note: The statements, opinions and data contained in all publications are solely those of the individual author(s) and contributor(s) and not of MDPI and/or the editor(s). MDPI and/or the editor(s) disclaim responsibility for any injury to people or property resulting from any ideas, methods, instructions or products referred to in the content.

Share and Cite

MDPI and ACS Style

Geng, Y.; Hu, Z.; Guo, W.; Zhong, A.; Li, Q. Study on Carbon Storage Evolution and Scenario Response Under Multi-Pathway Drivers in High-Groundwater-Level Coal Resource-Based Cities: A Case Study of Three Cities in Shandong, China. Land 2025, 14, 2001. https://doi.org/10.3390/land14102001

AMA Style

Geng Y, Hu Z, Guo W, Zhong A, Li Q. Study on Carbon Storage Evolution and Scenario Response Under Multi-Pathway Drivers in High-Groundwater-Level Coal Resource-Based Cities: A Case Study of Three Cities in Shandong, China. Land. 2025; 14(10):2001. https://doi.org/10.3390/land14102001

Chicago/Turabian Style

Geng, Yulong, Zhenqi Hu, Weihua Guo, Anya Zhong, and Quanzhi Li. 2025. "Study on Carbon Storage Evolution and Scenario Response Under Multi-Pathway Drivers in High-Groundwater-Level Coal Resource-Based Cities: A Case Study of Three Cities in Shandong, China" Land 14, no. 10: 2001. https://doi.org/10.3390/land14102001

APA Style

Geng, Y., Hu, Z., Guo, W., Zhong, A., & Li, Q. (2025). Study on Carbon Storage Evolution and Scenario Response Under Multi-Pathway Drivers in High-Groundwater-Level Coal Resource-Based Cities: A Case Study of Three Cities in Shandong, China. Land, 14(10), 2001. https://doi.org/10.3390/land14102001

Note that from the first issue of 2016, this journal uses article numbers instead of page numbers. See further details here.

Article Metrics

Back to TopTop