Unraveling Seasonal Dynamics of Dissolved Organic Matter in Agricultural Ditches Using UV-Vis Absorption and Excitation–Emission Matrix (EEM) Fluorescence Spectroscopy
Abstract
1. Introduction
2. Materials and Methods
2.1. Study Area
2.2. Sample Collection and Treatment
2.3. Basic Physicochemical Properties Detection
2.4. DOC Concentration Determination
2.5. CDOM Analysis and Optical Parameters Calculation
2.6. FDOM Analysis and Data Process
2.7. Statistical Analysis
3. Results
3.1. Physicochemical Parameters in the Surface of Agricultural Ditches
3.2. UV-Vis Characteristics in Surface Water of Agricultural Ditches
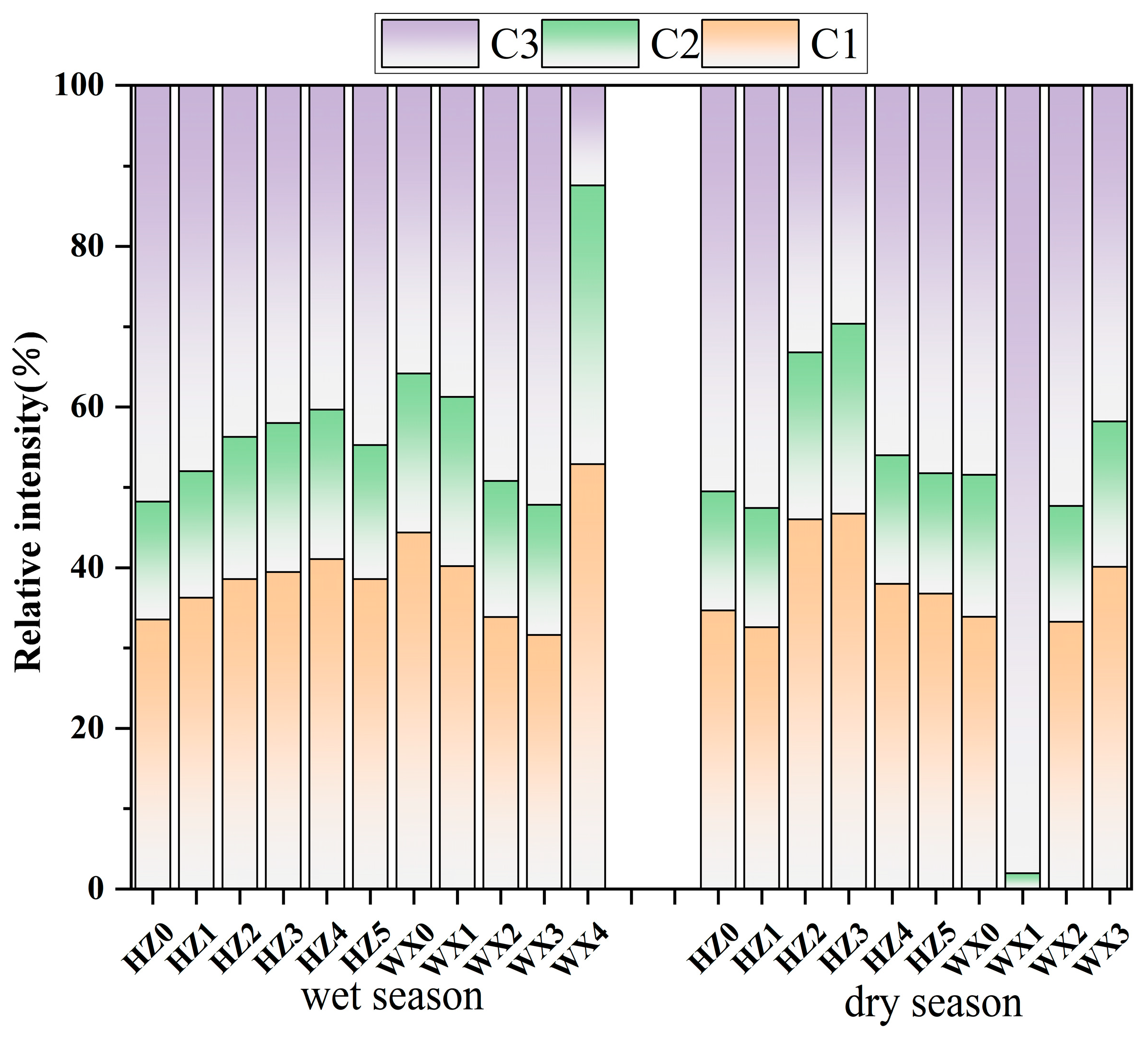
3.3. Fluorescence Characteristics
4. Discussion
4.1. Seasonal Dynamics of DOM Characteristics
4.2. Seasonal Changes in DOM Components
4.3. Correlation Between Physicochemical Parameters and Fluorescent Characteristics
4.4. The Role of Chemical Sensors
4.5. Limitations of the Study
5. Conclusions
5.1. Theoretical and Methodological Implications
5.2. Perspectives for Future Studies
Supplementary Materials
Author Contributions
Funding
Institutional Review Board Statement
Informed Consent Statement
Data Availability Statement
Conflicts of Interest
Abbreviations
| 3D-EEMs | Three-dimensional excitation–emission matrix fluorescence spectroscopy |
| BIX | Biological index |
| CDOM | Chromophoric dissolved organic matter |
| DO | Dissolved oxygen |
| DOC | Dissolved organic carbon |
| DOM | Dissolved organic matter |
| DON | Dissolved organic nitrogen |
| Em | Emission |
| Ex | Excitation |
| FD | Field ditch |
| FDOM | Fluorescent dissolved organic matter |
| FI | Fluorescence index |
| HIX | Humification index |
| LD | Lateral ditch |
| LOD | limit of detection |
| MD | Main ditch |
| NDIR | Non-dispersive infrared |
| OC | Organic carbon |
| PARAFAC | Parallel factor analysis |
| pH | Pondus hydrogenic |
| R | River |
| Sal | Salinity |
| TDS | Total dissolved solids |
| UV-vis | Ultraviolet-visible spectroscopy |
References
- Foley, J.A.; DeFries, R.; Asner, G.P.; Barford, C.; Bonan, G.; Carpenter, S.R.; Chapin, F.S.; Coe, M.T.; Daily, G.C.; Gibbs, H.K. Global consequences of land use. Science 2005, 309, 570–574. [Google Scholar] [CrossRef]
- Woltemade, C. Ability of restored wetlands to reduce nitrogen and phosphorus concentrations in agricultural drainage water. J. Soil Water Conserv. 2000, 55, 303–309. [Google Scholar] [CrossRef]
- Ogle, S.M.; Breidt, F.J.; Paustian, K. Agricultural management impacts on soil organic carbon storage under moist and dry climatic conditions of temperate and tropical regions. Biogeochemistry 2005, 72, 87–121. [Google Scholar] [CrossRef]
- Wen, Z.; Song, K.; Liu, G.; Lyu, L.; Shang, Y.; Fang, C.; Du, J. Characterizing DOC sources in China’s Haihe River basin using spectroscopy and stable carbon isotopes. Environ. Pollut. 2020, 258, 113684. [Google Scholar] [CrossRef]
- Xu, J.; Wang, Y.; Gao, D.; Yan, Z.; Gao, C.; Wang, L. Optical properties and spatial distribution of chromophoric dissolved organic matter (CDOM) in Poyang Lake, China. J. Great Lakes Res. 2017, 43, 700–709. [Google Scholar] [CrossRef]
- Stedmon, C.A.; Markager, S.; Kaas, H. Optical properties and signatures of chromophoric dissolved organic matter (CDOM) in Danish coastal waters. Estuar. Coast. Shelf Sci. 2000, 51, 267–278. [Google Scholar] [CrossRef]
- Coble, P.G. Characterization of marine and terrestrial DOM in seawater using excitation-emission matrix spectroscopy. Mar. Chem. 1996, 51, 325–346. [Google Scholar] [CrossRef]
- Huguet, A.; Vacher, L.; Relexans, S.; Saubusse, S.; Froidefond, J.-M.; Parlanti, E. Properties of fluorescent dissolved organic matter in the Gironde Estuary. Org. Geochem. 2009, 40, 706–719. [Google Scholar] [CrossRef]
- Herzon, I.; Helenius, J. Agricultural drainage ditches, their biological importance and functioning. Biol. Conserv. 2008, 141, 1171–1183. [Google Scholar] [CrossRef]
- Clarke, S.J. Conserving freshwater biodiversity: The value, status and management of high quality ditch systems. J. Nat. Conserv. 2015, 24, 93–100. [Google Scholar] [CrossRef]
- Kalita, P.K.; Kanwar, R.S. Effect of water-table management practices on the transport of nitrate-N to shallow groundwater. Trans. ASAE 1993, 36, 413–422. [Google Scholar] [CrossRef]
- Dollinger, J.; Dagès, C.; Bailly, J.-S.; Lagacherie, P.; Voltz, M. Managing ditches for agroecological engineering of landscape. A review. Agron. Sustain. Dev. 2015, 35, 999–1020. [Google Scholar] [CrossRef]
- Siebert, S.; Kummu, M.; Porkka, M.; Döll, P.; Ramankutty, N.; Scanlon, B.R. A global data set of the extent of irrigated land from 1900 to 2005. Hydrol. Earth Syst. Sci. 2015, 19, 1521–1545. [Google Scholar] [CrossRef]
- Tilman, D.; Cassman, K.G.; Matson, P.A.; Naylor, R.; Polasky, S. Agricultural sustainability and intensive production practices. Nature 2002, 418, 671–677. [Google Scholar] [CrossRef]
- Borin, M.; Bonaiti, G.; Giardini, L. Controlled drainage and wetlands to reduce agricultural pollution: A lysimetric study. J. Environ. Qual. 2001, 30, 1330–1340. [Google Scholar] [CrossRef]
- Klick, S.A.; Pitula, J.S.; Bryant, R.B.; Collick, A.S.; Hashem, F.M.; Allen, A.L.; May, E.B. Seasonal and temporal factors leading to urea-nitrogen accumulation in surface waters of agricultural drainage ditches. J. Environ. Qual. 2020, 50, 185–197. [Google Scholar] [CrossRef]
- Moore, M.; Kröger, R.; Locke, M.; Cullum, R.; Steinriede, R., Jr.; Testa Iii, S.; Lizotte, R., Jr.; Bryant, C.; Cooper, C. Nutrient mitigation capacity in Mississippi Delta, USA drainage ditches. Environ. Pollut. 2010, 158, 175–184. [Google Scholar] [CrossRef]
- Smith, D.R.; Pappas, E.A. Effect of ditch dredging on the fate of nutrients in deep drainage ditches of the Midwestern United States. J. Soil Water Conserv. 2007, 62, 252–261. [Google Scholar] [CrossRef]
- Zhijun, Y.; Yanping, G.; Yingchun, G. Analysis of distribution regulation of annual runoff and affection to annual runoff by human activity in the Chaobaihe River. Prog. Geogr. 2003, 22, 599–606. [Google Scholar]
- Wu, W.; Niu, X.; Yan, Z.; Li, S.; Comer-Warner, S.A.; Tian, H.; Li, S.-L.; Zou, J.; Yu, G.; Liu, C.-Q. Agricultural ditches are hotspots of greenhouse gas emissions controlled by nutrient input. Water Res. 2023, 242, 120271. [Google Scholar] [CrossRef]
- Li, P.; Chen, L.; Zhang, W.; Huang, Q. Spatiotemporal distribution, sources, and photobleaching imprint of dissolved organic matter in the Yangtze Estuary and its adjacent sea using fluorescence and parallel factor analysis. PLoS ONE 2015, 10, e0130852. [Google Scholar] [CrossRef]
- Williams, C.J.; Yamashita, Y.; Wilson, H.F.; Jaffé, R.; Xenopoulos, M.A. Unraveling the role of land use and microbial activity in shaping dissolved organic matter characteristics in stream ecosystems. Limnol. Oceanogr. 2010, 55, 1159–1171. [Google Scholar] [CrossRef]
- Stedmon, C.A.; Bro, R. Characterizing dissolved organic matter fluorescence with parallel factor analysis: A tutorial. Limnol. Oceanogr. Methods 2008, 6, 572–579. [Google Scholar] [CrossRef]
- Mostofa, K.M.; Wu, F.; Liu, C.-Q.; Fang, W.L.; Yuan, J.; Ying, W.L.; Wen, L.; Yi, M. Characterization of Nanming River (southwestern China) sewerage-impacted pollution using an excitation-emission matrix and PARAFAC. Limnology 2010, 11, 217–231. [Google Scholar] [CrossRef]
- Mohinuzzaman, M.; Yuan, J.; Yang, X.; Senesi, N.; Li, S.-L.; Ellam, R.M.; Mostofa, K.M.; Liu, C.-Q. Insights into solubility of soil humic substances and their fluorescence characterisation in three characteristic soils. Sci. Total Environ. 2020, 720, 137395. [Google Scholar] [CrossRef]
- Lawaetz, A.J.; Stedmon, C.A. Fluorescence intensity calibration using the Raman scatter peak of water. Appl. Spectrosc. 2009, 63, 936–940. [Google Scholar] [CrossRef]
- Tang, J.; Wang, W.; Yang, L.; Qiu, Q.; Lin, M.; Cao, C.; Li, X. Seasonal variation and ecological risk assessment of dissolved organic matter in a peri-urban critical zone observatory watershed. Sci. Total. Environ. 2020, 707, 136093. [Google Scholar] [CrossRef]
- Wilson, H.F.; Xenopoulos, M.A. Effects of agricultural land use on the composition of fluvial dissolved organic matter. Nat. Geosci. 2009, 2, 37–41. [Google Scholar] [CrossRef]
- Vignudelli, S.; Santinelli, C.; Murru, E.; Nannicini, L.; Seritti, A. Distributions of dissolved organic carbon (DOC) and chromophoric dissolved organic matter (CDOM) in coastal waters of the northern Tyrrhenian Sea (Italy). Estuar. Coast. Shelf Sci. 2004, 60, 133–149. [Google Scholar] [CrossRef]
- Del Vecchio, R.; Blough, N.V. Photobleaching of chromophoric dissolved organic matter in natural waters: Kinetics and modeling. Mar. Chem. 2002, 78, 231–253. [Google Scholar] [CrossRef]
- Yi, Y.; Zhong, J.; Bao, H.; Mostofa, K.M.; Xu, S.; Xiao, H.-Y.; Li, S.-L. The impacts of reservoirs on the sources and transport of riverine organic carbon in the karst area: A multi-tracer study. Water Res. 2021, 194, 116933. [Google Scholar] [CrossRef]
- Xu, A.; Han, X.; Liu, M.; Guo, L.; La, W.; Ding, H.; Guo, Q.; Lang, Y. Spectral characteristics and influencing factors of dissolved organic matter in two rivers and their coastal waters in the Bohai Bay. Earth Environ. 2022, 50, 526–536. [Google Scholar] [CrossRef]
- Graeber, D.; Gelbrecht, J.; Pusch, M.T.; Anlanger, C.; von Schiller, D. Agriculture has changed the amount and composition of dissolved organic matter in Central European headwater streams. Sci. Total Environ. 2012, 438, 435–446. [Google Scholar] [CrossRef]
- Yu, H.; Song, Y.; Du, E.; Yang, N.; Peng, J.; Liu, R. Comparison of PARAFAC components of fluorescent dissolved and particular organic matter from two urbanized rivers. Environ. Sci. Pollut. Res. 2016, 23, 10644–10655. [Google Scholar] [CrossRef]
- Wang, D.; Li, Z.; Li, Z.; Ma, W.; Nie, X. Response of organic carbon in drainage ditch water to rainfall events in Zoige Basin in the Qinghai-Tibet Plateau. J. Hydrol. 2019, 579, 124187. [Google Scholar] [CrossRef]
- Wang, Q.-L.; Jiang, T.; Zhao, Z.; Liang, J.; Mu, Z.-J.; Wei, S.-Q.; Chen, X.-S. Spectral characteristics of dissolved organic matter (DOM) in waters of typical agricultural watershed of Three Gorges Reservoir areas. Huan Jing Ke Xue Huanjing Kexue 2016, 37, 2082–2092. [Google Scholar]
- Zhang, L.; Sun, Q.; You, Y.; Zhang, K.; Gao, C.; Peng, Y. Compositional and structural characteristics of dissolved organic matter in overlying water of the Chaobai River and its environment significance. Environ. Sci. Pollut. Res. 2021, 28, 59673–59686. [Google Scholar] [CrossRef]
- Ge, J.; Qi, Y.; Li, C.; Ma, J.; Yi, Y.; Hu, Q.; Mostofa, K.M.; Volmer, D.A.; Li, S.-L. Fluorescence and molecular signatures of dissolved organic matter to monitor and assess its multiple sources from a polluted river in the farming-pastoral ecotone of northern China. Sci. Total Environ. 2022, 837, 154575. [Google Scholar] [CrossRef]
- WeishaarJL, A.; BergamaschiB, A. E-valuation of specific ultravio let absorbance as an indicator of the chemical composition and reactivity of dissolved organic carbon. Environ. Technol. 2003, 37, 4702–4708. [Google Scholar] [CrossRef]
- Helms, J.R.; Stubbins, A.; Ritchie, J.D.; Minor, E.C.; Kieber, D.J.; Mopper, K. Absorption spectral slopes and slope ratios as indicators of molecular weight, source, and photobleaching of chromophoric dissolved organic matter. Limnol. Oceanogr. 2008, 53, 955–969. [Google Scholar] [CrossRef]
- Yang, X.; Wu, Z.; Ye, Y.; Chen, X.; Yuan, Z.; Wang, J. Parallel factor analysis of fluorescence excitation emission matrix spectroscopy of DOM in waters of agricultural watershed of Dianbu River. Spectrosc. Spectr. Anal. 2022, 42, 978–983. [Google Scholar]
- Zhou, S.; Sun, Y.; Huang, T.; Zhan, J.; Wang, H.; Li, Z. Characteristics of nitrogen, phosphorus and dissolved organic matter in atmospheric wet deposition of Zhoucun Reservoir. Water Resour. Prot. 2020, 36, 52–59. [Google Scholar] [CrossRef]
- Stedmon, C.A.; Markager, S.; Bro, R. Tracing dissolved organic matter in aquatic environments using a new approach to fluorescence spectroscopy. Mar. Chem. 2003, 82, 239–254. [Google Scholar] [CrossRef]
- Wang, H.; Wang, Y.; Zhuang, W.-E.; Chen, W.; Shi, W.; Zhu, Z.; Yang, L. Effects of fish culture on particulate organic matter in a reservoir-type river as revealed by absorption spectroscopy and fluorescence EEM-PARAFAC. Chemosphere 2020, 239, 124734. [Google Scholar] [CrossRef]
- Yamashita, Y.; Tanoue, E. Chemical characterization of protein-like fluorophores in DOM in relation to aromatic amino acids. Mar. Chem. 2003, 82, 255–271. [Google Scholar] [CrossRef]
- Hermes, R.G.; Molist, F.; Ywazaki, M.; Nofrarías, M.; Gomez de Segura, A.; Gasa, J.; Pérez, J. Effect of dietary level of protein and fiber on the productive performance and health status of piglets. J. Anim. Sci. 2009, 87, 3569–3577. [Google Scholar] [CrossRef]
- He, W.; Hur, J. Conservative behavior of fluorescence EEM-PARAFAC components in resin fractionation processes and its applicability for characterizing dissolved organic matter. Water Res. 2015, 83, 217–226. [Google Scholar] [CrossRef]
- Liu, Q.; Jiang, Y.; Tian, Y.; Hou, Z.; He, K.; Fu, L.; Xu, H. Impact of land use on the DOM composition in different seasons in a subtropical river flowing through a region undergoing rapid urbanization. J. Clean. Prod. 2019, 212, 1224–1231. [Google Scholar] [CrossRef]
- McKnight, D.M.; Boyer, E.W.; Westerhoff, P.K.; Doran, P.T.; Kulbe, T.; Andersen, D.T. Spectrofluorometric characterization of dissolved organic matter for indication of precursor organic material and aromaticity. Limnol. Oceanogr. 2001, 46, 38–48. [Google Scholar] [CrossRef]
- Cory, R.M.; McKnight, D.M. Fluorescence spectroscopy reveals ubiquitous presence of oxidized and reduced quinones in dissolved organic matter. Environ. Sci. Technol. 2005, 39, 8142–8149. [Google Scholar] [CrossRef]
- Nebbioso, A.; Piccolo, A. Molecular understanding of a humic acid by “humeomic” fractionation and benefits from preliminary HPSEC separation. In Functions of Natural Organic Matter in Changing Environment; Xu, J., Wu, J., He, Y., Eds.; Springer: Berlin/Heidelberg, Germany, 2012; pp. 89–94. [Google Scholar]
- Xu, H.; Zheng, H.; Chen, X.; Ren, Y.; Ouyang, Z. Relationships between river water quality and landscape factors in Haihe River Basin, China: Implications for environmental management. Chin. Geogr. Sci. 2016, 26, 197–207. [Google Scholar] [CrossRef]
- Danhiez, F.; Vantrepotte, V.; Cauvin, A.; Lebourg, E.; Loisel, H. Optical properties of chromophoric dissolved organic matter during a phytoplankton bloom. Implication for DOC estimates from CDOM absorption. Limnol. Oceanogr. 2017, 62, 1409–1425. [Google Scholar] [CrossRef]
- Yao, W.; Qi, Y.; Han, Y.; Ge, J.; Dong, Y.; Wang, J.; Yi, Y.; Volmer, D.A.; Li, S.-L.; Fu, P. Seasonal variation and dissolved organic matter influence on the distribution, transformation, and environmental risk of pharmaceuticals and personal care products in coastal zone: A case study of Tianjin, China. Water Res. 2024, 249, 120881. [Google Scholar] [CrossRef] [PubMed]
- Ferrari, G.M.; Dowell, M.D.; Grossi, S.; Targa, C. Relationship between the optical properties of chromophoric dissolved organic matter and total concentration of dissolved organic carbon in the southern Baltic Sea region. Mar. Chem. 1996, 55, 299–316. [Google Scholar] [CrossRef]
- Zhang, Y.L.; Qin, B.Q.; Chen, W.M.; Zhu, G.W. A preliminary study of chromophoric dissolved organic matter (CDOM) in Lake Taihu, a shallow subtropical lake in China. Acta Hydrochim. Hydrobiol. 2005, 33, 315–323. [Google Scholar] [CrossRef]
- Davies, B.; Biggs, J.; Williams, P.; Whitfield, M.; Nicolet, P.; Sear, D.; Bray, S.; Maund, S. Comparative biodiversity of aquatic habitats in the European agricultural landscape. Agric. Ecosyst. Environ. 2008, 125, 1–8. [Google Scholar] [CrossRef]






| Site | Season | a254 (m−1) | SUVA254 (L·(mg·m)−1) | SR | a355 (m−1) |
|---|---|---|---|---|---|
| HZ | wet | 19.88~30.17 | 3.27~4.10 | 0.89~1.28 | 3.79~5.30 |
| 25.21 ± 3.5 | 3.74 ± 0.3 | 1.00 ± 0.2 | 4.62 ± 0.6 | ||
| dry | 18.04~47.50 | 3.07~7.36 | 0.90~1.17 | 3.20~11.69 | |
| 26.97 ± 12.1 | 4.49 ± 1.8 | 1.04 ± 0.1 | 5.74 ± 3.5 | ||
| WX | wet | 36.34~82.56 | 2.99~5.58 | 0.81~1.48 | 6.33~19.60 |
| 56.25 ± 19.9 | 4.24 ± 1.0 | 1.15 ± 0.2 | 12.73 ± 6.1 | ||
| dry | 8.07~31.76 | 0.77~3.29 | 1.02~1.67 | 1.71~6.19 | |
| 18.89 ± 9.8 | 2.17 ± 1.2 | 1.27 ± 0.3 | 3.60 ± 1.9 |
| Component | Fluorescence Peaks and Positions (nm) | Fluorescence Peaks and Positions (nm) | References | |
|---|---|---|---|---|
| C1 | Microbial humic-like (Humic-like) | A 240/406 | M 305/410 | Williams et al. [22] |
| C2 | Terrestrial humic-like (Fulvic-like acid) | A 260/477 | C 350/466 | He and Hur. [47] |
| C3 | Protein-like (tryptophan-like) | TUV 225/337 | T 275/337 | Liu et al. [48] |
Disclaimer/Publisher’s Note: The statements, opinions and data contained in all publications are solely those of the individual author(s) and contributor(s) and not of MDPI and/or the editor(s). MDPI and/or the editor(s) disclaim responsibility for any injury to people or property resulting from any ideas, methods, instructions or products referred to in the content. |
© 2025 by the authors. Licensee MDPI, Basel, Switzerland. This article is an open access article distributed under the terms and conditions of the Creative Commons Attribution (CC BY) license (https://creativecommons.org/licenses/by/4.0/).
Share and Cite
Li, K.; Ge, J.; Hu, Q.; Yao, W.; Fu, X.; Ma, C.; Qi, Y. Unraveling Seasonal Dynamics of Dissolved Organic Matter in Agricultural Ditches Using UV-Vis Absorption and Excitation–Emission Matrix (EEM) Fluorescence Spectroscopy. Chemosensors 2025, 13, 346. https://doi.org/10.3390/chemosensors13090346
Li K, Ge J, Hu Q, Yao W, Fu X, Ma C, Qi Y. Unraveling Seasonal Dynamics of Dissolved Organic Matter in Agricultural Ditches Using UV-Vis Absorption and Excitation–Emission Matrix (EEM) Fluorescence Spectroscopy. Chemosensors. 2025; 13(9):346. https://doi.org/10.3390/chemosensors13090346
Chicago/Turabian StyleLi, Keyan, Jinfeng Ge, Qiaozhuan Hu, Wenrui Yao, Xiaoli Fu, Chao Ma, and Yulin Qi. 2025. "Unraveling Seasonal Dynamics of Dissolved Organic Matter in Agricultural Ditches Using UV-Vis Absorption and Excitation–Emission Matrix (EEM) Fluorescence Spectroscopy" Chemosensors 13, no. 9: 346. https://doi.org/10.3390/chemosensors13090346
APA StyleLi, K., Ge, J., Hu, Q., Yao, W., Fu, X., Ma, C., & Qi, Y. (2025). Unraveling Seasonal Dynamics of Dissolved Organic Matter in Agricultural Ditches Using UV-Vis Absorption and Excitation–Emission Matrix (EEM) Fluorescence Spectroscopy. Chemosensors, 13(9), 346. https://doi.org/10.3390/chemosensors13090346

