Sign in to use this feature.

Years

Between: -

Subjects

remove_circle_outline
remove_circle_outline
remove_circle_outline
remove_circle_outline
remove_circle_outline
remove_circle_outline
remove_circle_outline
remove_circle_outline
remove_circle_outline

Journals

remove_circle_outline
remove_circle_outline
remove_circle_outline
remove_circle_outline

Article Types

Countries / Regions

remove_circle_outline
remove_circle_outline
remove_circle_outline
remove_circle_outline
remove_circle_outline

Search Results (1,105)

Search Parameters:
Keywords = canopy density

Order results
Result details
Results per page
Select all
Export citation of selected articles as:
23 pages, 11765 KB  
Article
Clonal Selection for Citrus Production: Evaluation of ‘Pera’ Sweet Orange Selections for Fresh Fruit and Juice Processing Markets
by Deived Uilian de Carvalho, Maria Aparecida da Cruz-Bejatto, Ronan Carlos Colombo, Inês Fumiko Ubukata Yada, Rui Pereira Leite and Zuleide Hissano Tazima
Horticulturae 2025, 11(10), 1183; https://doi.org/10.3390/horticulturae11101183 - 2 Oct 2025
Abstract
‘Pera’ sweet orange is a key variety for the Brazilian citrus industry, but orchards rely on a limited number of clonal selections, which restricts adaptability and productivity across diverse environments. This study assessed the agronomic performance of 13 ‘Pera’ selections grafted on Rangpur [...] Read more.
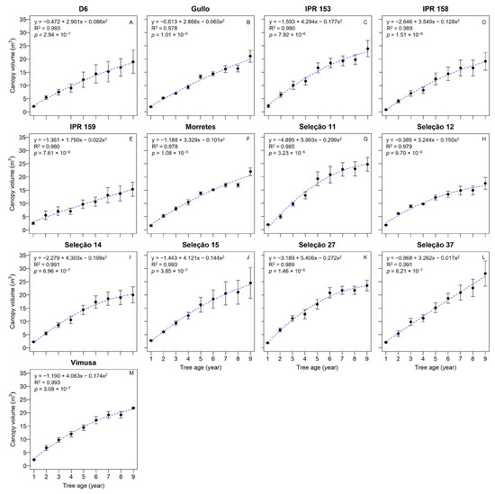
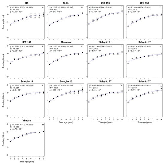
‘Pera’ sweet orange is a key variety for the Brazilian citrus industry, but orchards rely on a limited number of clonal selections, which restricts adaptability and productivity across diverse environments. This study assessed the agronomic performance of 13 ‘Pera’ selections grafted on Rangpur lime, cultivated under rainfed conditions in subtropical Brazil. From 2002 to 2010, trees were assessed for vegetative growth, cumulative yield, alternate bearing, and fruit quality. Market-specific performance indices were calculated to determine suitability for fresh fruit or juice processing. Substantial genotypic variation was observed across traits, particularly during early orchard stage. Selections such as ‘Morretes’, ‘Seleção 11’, ‘Seleção 27’, ‘Seleção 37’, and ‘IPR 153’ demonstrated high cumulative yield, stable productivity, and favorable canopy traits, supporting their use in both conventional and high-density systems. ‘IPR 153’ combined compact growth with high yield efficiency and excellent fruit quality, while ‘Morretes’ had the highest juice content and broad market adaptability. In contrast, ‘IPR 159’ showed low vigor and yield under rainfed conditions. The results emphasize the value of regionally targeted clonal selection to improve orchard performance and market alignment. The identification of dual-purpose genotypes offers a pathway to diversify citrus production and improve profitability under subtropical growing conditions. Full article
Show Figures

Figure 1

26 pages, 10152 KB  
Article
Linking Acoustic Indices to Vegetation and Microclimate in a Historical Urban Garden: Setting the Stage for a Restorative Soundscape
by Alessia Portaccio, Francesco Chianucci, Francesco Pirotti, Marco Piragnolo, Marco Sozzi, Andrea Zangrossi, Miriam Celli, Marta Mazzella di Bosco, Monica Bolognesi, Enrico Sella, Maurizio Corbetta, Francesca Pazzaglia and Raffaele Cavalli
Land 2025, 14(10), 1970; https://doi.org/10.3390/land14101970 - 30 Sep 2025
Abstract
Urban soundscapes are increasingly recognized as fundamental for both ecological integrity and human well-being, yet the complex interplay between the vegetation structure, seasonal dynamics, and microclimatic factors in shaping these soundscapes remains poorly understood. This study tests the hypothesis that vegetation structure and [...] Read more.
Urban soundscapes are increasingly recognized as fundamental for both ecological integrity and human well-being, yet the complex interplay between the vegetation structure, seasonal dynamics, and microclimatic factors in shaping these soundscapes remains poorly understood. This study tests the hypothesis that vegetation structure and seasonally driven biological activity mediate the balance and the quality of the urban acoustic environment. We investigated seasonal and spatial variations in five acoustic indices (NDSI, ACI, AEI, ADI, and BI) within a historical urban garden in Castelfranco Veneto, Italy. Using linear mixed-effects models, we analyzed the effects of season, microclimatic variables, and vegetation characteristics on soundscape composition. Non-parametric tests were used to assess spatial differences in vegetation metrics. Results revealed strong seasonal patterns, with spring showing increased NDSI (+0.17), ADI (+0.22), and BI (+1.15) values relative to winter, likely reflecting bird breeding phenology and enhanced biological productivity. Among microclimatic predictors, temperature (p < 0.001), humidity (p = 0.014), and solar radiation (p = 0.002) showed significant relationships with acoustic indices, confirming their influence on both animal behaviour and sound propagation. Spatial analyses showed significant differences in acoustic patterns across points (Kruskal–Wallis p < 0.01), with vegetation metrics such as tree density and evergreen proportion correlating with elevated biophonic activity. Although the canopy height model did not emerge as a significant predictor in the models, the observed spatial heterogeneity supports the role of vegetation in shaping urban sound environments. By integrating ecoacoustic indices, LiDAR-derived vegetation data, and microclimatic parameters, this study offers novel insights into how vegetational components should be considered to manage urban green areas to support biodiversity and foster acoustically restorative environments, advancing the evidence base for sound-informed urban planning. Full article
Show Figures

Figure 1

22 pages, 5708 KB  
Article
Exploring the Role of Urban Green Spaces in Regulating Thermal Environments: Comparative Insights from Seoul and Busan, South Korea
by Jun Xia, Yue Yan, Ziyuan Dou, Dongge Han and Ying Zhang
Forests 2025, 16(10), 1515; https://doi.org/10.3390/f16101515 - 25 Sep 2025
Abstract
Urban heat islands are intensifying under the dual pressures of global climate change and rapid urbanization, posing serious challenges to ecological sustainability and human well-being. Among the factors influencing urban thermal environments, vegetation and green spaces play a critical role in mitigating heat [...] Read more.
Urban heat islands are intensifying under the dual pressures of global climate change and rapid urbanization, posing serious challenges to ecological sustainability and human well-being. Among the factors influencing urban thermal environments, vegetation and green spaces play a critical role in mitigating heat accumulation through canopy cover, evapotranspiration, and ecological connectivity. In this study, a comparative analysis of Seoul and Busan—two representative metropolitan areas in South Korea—was conducted using land surface temperature (LST) data derived from Landsat 8 and a set of multi-source spatial indicators. The nonlinear effects and interactions among built environment, socio-economic, and ecological variables were quantified using the Extreme Gradient Boosting (XGBoost) model in conjunction with Shapley Additive Explanations (SHAP). Results demonstrate that vegetation, as indicated by the Normalized Difference Vegetation Index (NDVI), consistently exerts significant cooling effects, with a pronounced threshold effect observed when NDVI values exceed 0.6. Furthermore, synergistic interactions between NDVI and surface water availability, measured by the Normalized Difference Water Index (NDWI), substantially enhance ecological cooling capacity. In contrast, areas with high building and population densities, particularly those at lower elevations, are associated with increased LST. These findings underscore the essential role of green infrastructure in regulating urban thermal environments and provide empirical support for ecological conservation, urban greening strategies, and climate-resilient urban planning. Strengthening vegetation cover, enhancing ecological corridors, and integrating greening policies across spatial scales are vital for mitigating urban heat and improving climate resilience in rapidly urbanizing regions. Full article
(This article belongs to the Special Issue Microclimate Development in Urban Spaces)
Show Figures

Figure 1

32 pages, 33744 KB  
Article
Attention-Based Enhancement of Airborne LiDAR Across Vegetated Landscapes Using SAR and Optical Imagery Fusion
by Michael Marks, Daniel Sousa and Janet Franklin
Remote Sens. 2025, 17(19), 3278; https://doi.org/10.3390/rs17193278 - 24 Sep 2025
Viewed by 142
Abstract
Accurate and timely 3D vegetation structure information is essential for ecological modeling and land management. However, these needs often cannot be met with existing airborne LiDAR surveys, whose broad-area coverage comes with trade-offs in point density and update frequency. To address these limitations, [...] Read more.
Accurate and timely 3D vegetation structure information is essential for ecological modeling and land management. However, these needs often cannot be met with existing airborne LiDAR surveys, whose broad-area coverage comes with trade-offs in point density and update frequency. To address these limitations, this study introduces a deep learning framework built on attention mechanisms, the fundamental building block of modern large language models. The framework upsamples sparse (<22 pt/m2) airborne LiDAR point clouds by fusing them with stacks of multi-temporal optical (NAIP) and L-band quad-polarized Synthetic Aperture Radar (UAVSAR) imagery. Utilizing a novel Local–Global Point Attention Block (LG-PAB), our model directly enhances 3D point-cloud density and accuracy in vegetated landscapes by learning structure directly from the point cloud itself. Results in fire-prone Southern California foothill and montane ecosystems demonstrate that fusing both optical and radar imagery reduces reconstruction error (measured by Chamfer distance) compared to using LiDAR alone or with a single image modality. Notably, the fused model substantially mitigates errors arising from vegetation changes over time, particularly in areas of canopy loss, thereby increasing the utility of historical LiDAR archives. This research presents a novel approach for direct 3D point-cloud enhancement, moving beyond traditional raster-based methods and offering a pathway to more accurate and up-to-date vegetation structure assessments. Full article
Show Figures

Graphical abstract

14 pages, 3626 KB  
Article
Agronomic Characteristics of Several Italian Olive Cultivars and Evaluation for High-Density Cultivation in Central Italy
by Nicola Cinosi, Mona Mazeh, Alessandro Pilli, Antonio Rende, Daniela Farinelli, Claudio Di Vaio, Adolfo Rosati and Franco Famiani
Horticulturae 2025, 11(9), 1147; https://doi.org/10.3390/horticulturae11091147 - 22 Sep 2025
Viewed by 227
Abstract
The adaptability of several Italian olive cultivars to high-density cultivation was evaluated from 2020 to 2024 in central Italy by assessing their agronomic behavior, with the aim of identifying which Italian olive cultivars can combine high productivity and suitability for intensive mechanization—through high- [...] Read more.
The adaptability of several Italian olive cultivars to high-density cultivation was evaluated from 2020 to 2024 in central Italy by assessing their agronomic behavior, with the aim of identifying which Italian olive cultivars can combine high productivity and suitability for intensive mechanization—through high- and very high-density planting systems—allowing biodiversity valorization. The cultivars were Borgiona, Don Carlo, FS17, Gentile di Anghiari, Gentile di Montone, Giulia, Leccio del Corno, Maurino, Moraiolo, Pendolino, Piantone di Falerone, and Piantone di Mogliano. The international cultivar Arbequina was used as a reference. The olive orchard was planted in 2015, at a tree spacing of 5 m × 2 m (1000 trees/ha). Arbequina was found to have limited vigor and high production efficiency, as reported in other works, therefore confirming its suitability for high-density and super-high-density cultivation. Some cultivars, such as Leccio del Corno, Maurino, FS17, Piantone di Mogliano, and Piantone di Falerone, had a production and yield efficiency that was not different from or even higher than Arbequina. Other cultivars found to be promising were Don Carlo and Gentile di Anghiari, which had a slightly lower productive performance than Arbequina. Overall, the results are encouraging and suggest that some of these cultivars may be suitable candidates for high- and super-high-density olive orchards. This suitability is further supported by their favorable fruit characteristics, which appear to facilitate efficient mechanical harvesting. However, additional data is necessary to enable a more comprehensive assessment of these cultivars, particularly their capacity to maintain canopy dimensions compatible with straddle harvester operation, while maintaining a stable vegetative–reproductive balance over time. Full article
(This article belongs to the Section Fruit Production Systems)
Show Figures

Figure 1

14 pages, 1598 KB  
Article
Biodiversity Status of Pure Oak (Quercus spp.) Stands in Northeastern Greece: Implications for Adaptive Silviculture
by Efthimios Michailidis, Athanasios Stampoulidis, Petros Petrou, Kyriaki Kitikidou, Elias Pipinis, Kalliopi Radoglou and Elias Milios
Environments 2025, 12(9), 339; https://doi.org/10.3390/environments12090339 - 21 Sep 2025
Viewed by 198
Abstract
The aim of this study is the estimation of the biodiversity of pure oak stands within the jurisdiction of the Forest Service of Xanthi in northeastern Greece. Using a published graded biodiversity index that operates on management-plan description sheets, we scored five stand-level [...] Read more.
The aim of this study is the estimation of the biodiversity of pure oak stands within the jurisdiction of the Forest Service of Xanthi in northeastern Greece. Using a published graded biodiversity index that operates on management-plan description sheets, we scored five stand-level attributes (total wood stock, age of trees, canopy density, presence of regeneration, and stand aspect/orientation) for every eligible stand and classified biodiversity as low, moderate, or high. These data were sourced from the description sheets of pure oak stands found in the management plans of public forest complexes. Moderate biodiversity predominates (63.4% of stands), followed by low (33.5%), while high biodiversity is scarce (3.1%). Forest practice can influence all the factors which were used for the assessment of the biodiversity characterization of the stands except the aspect of the stand. From these factors the total amount of wood stock and the canopy density were the main factors which determined the low percentage of high-biodiversity stands. On the other hand, the age structure and the regeneration existence were the main factors which counterbalanced the negative influence of the total amount of wood stock and of the canopy density and thus led to the dominance of the stands characterized as having moderate biodiversity score. Full article
Show Figures

Figure 1

19 pages, 1118 KB  
Article
Grapevine Phenology, Vegetative and Reproductive Characteristics of Vitis vinifera L. cv Chardonnay in the Cape South Coast Region in South Africa
by Erna Hailey Blancquaert, Emile Tomas Majewski, Sam Crauwels, Zhanwu Dai and Daniel Schorn-García
Agriculture 2025, 15(18), 1981; https://doi.org/10.3390/agriculture15181981 - 19 Sep 2025
Viewed by 187
Abstract
Climate change necessitates the exploration of new, cooler viticultural regions globally. Chardonnay is an early ripening variety which is subjected to temperature extremes. This study aimed to investigate the response of Chardonnay in cool climatic regions in the Cape South Coast region of [...] Read more.
Climate change necessitates the exploration of new, cooler viticultural regions globally. Chardonnay is an early ripening variety which is subjected to temperature extremes. This study aimed to investigate the response of Chardonnay in cool climatic regions in the Cape South Coast region of South Africa over two growing seasons in 2021–2022 and 2022–2023 in three commercial vineyards. An evaluation of the climatic, vegetative and reproductive characteristics was performed. Seasonal variation was the biggest driver of the Growing Degree Days (GDD) at the sites. Overall, the 2021–2022 season was warmer than the 2022–2023 season, but the microclimatic conditions were impacted by the cultivation practices which were applied. The canopy density and total leaf surface varied between the different sites (p < 0.01) and by season × site (p < 0.05). Site and the site × season interaction were the main drivers of the environmental conditions and cultivation practices. Canopy characteristics impacted the sugar accumulation rate over the two seasons. Grape berry transpiration was impacted by the environmental conditions at the sites. Chemical composition varied with soil depth. From the results of our study, although Chardonnay is suitable for cultivation in the Cape South region, site-specific conditions impact fruit development and the quality at harvest. Full article
(This article belongs to the Special Issue Climate Change and Plant Phenology: Challenges for Fruit Production)
Show Figures

Figure 1

23 pages, 7750 KB  
Article
Simulation and Experiment on Parameters of an Airflow-Guiding Device for a Centrifugal Air-Assisted Sprayer
by Sibo Tian, Hao Guo, Jianping Li, Yang Li, Zhu Zhang and Peng Wang
Agriculture 2025, 15(18), 1969; https://doi.org/10.3390/agriculture15181969 - 18 Sep 2025
Viewed by 210
Abstract
Orchard air-assisted sprayers have become key equipment for the prevention and control of fruit tree diseases and pests. However, centrifugal fans are rarely used in orchard air-assisted sprayers. To address the issue that the airflow generated by single-duct centrifugal air-assisted sprayers is insufficient [...] Read more.
Orchard air-assisted sprayers have become key equipment for the prevention and control of fruit tree diseases and pests. However, centrifugal fans are rarely used in orchard air-assisted sprayers. To address the issue that the airflow generated by single-duct centrifugal air-assisted sprayers is insufficient to cover the lower canopy, a flow-guiding device for the lower canopy of fruit trees was designed. The Flow Simulation software of SOLIDWORKS 2021 was used to simulate the airflow field, and various structural parameters of the air outlet were analyzed to determine the optimal configuration of the upper edge inclination angle, the position of the upper air outlet, and the length of the upper air outlet. The results showed that the position of the upper air outlet had the most significant impact on the uniformity of the external flow field, followed by the upper edge inclination angle and the length of the upper air outlet. The optimal parameter settings for the air supply guiding device were determined as follows: upper edge inclination angle of 79°, upper air outlet position of 307 mm, and upper air outlet length of 190 mm. The verification test showed that the relative error between the simulated and actual airflow velocity measurements did not exceed 10%, confirming the accuracy of the simulation. The orchard field test showed that the average deposition density in the inner canopy of fruit trees was 78 particles/cm2, indicating strong penetration ability; the distribution of spray droplets in the vertical direction of the canopy was uniform, meeting the requirements of fruit tree pesticide application operations. This technology provides a new approach for the application of centrifugal fans in fruit tree pesticide spraying. Full article
(This article belongs to the Section Agricultural Technology)
Show Figures

Figure 1

12 pages, 732 KB  
Article
Effects of Fruiting Plants on Frugivorous Bird Diversity Across Different Disturbed Habitats
by Yuzhen Mei, Zheng Wang and Ning Li
Diversity 2025, 17(9), 654; https://doi.org/10.3390/d17090654 - 17 Sep 2025
Viewed by 214
Abstract
Bird–plant interactions are critical for maintaining biodiversity and ecosystem function, and represent a key research focus in modern ecology. Using the line transect method, we surveyed bird diversity and collected plant trait data in four habitat types in the southern zone of Fujian’s [...] Read more.
Bird–plant interactions are critical for maintaining biodiversity and ecosystem function, and represent a key research focus in modern ecology. Using the line transect method, we surveyed bird diversity and collected plant trait data in four habitat types in the southern zone of Fujian’s Meihuashan National Nature Reserve during October–December 2021 and July–August 2022. This study investigated how plant traits (tree height, diameter at breast height (DBH), canopy density fruit amount) influence the diversity of frugivorous birds (species richness, abundance, Shannon–Wiener, Pielou, Simpson) across four disturbed habitats—villages (residential areas), bamboo forests (economic plantations), unguarded broad-leafed forests (wild forests), and nurtured broad-leafed forests (managed forests)—during both summer (breeding season) and autumn–winter (fruiting season). The key findings revealed that (1) significant correlations between plant traits and bird diversity were exclusive to the fruiting season, with no associations found in summer; (2) during autumn–winter, the key plant traits driving bird diversity varied distinctively by habitat: tree height and canopy density were paramount in villages; both habitat structure (canopy density) and fruit amount were important in bamboo forests, whereas in both broad-leafed forests, a combination of tree structure (height, DBH, canopy density) and fruit amount determined bird abundance; (3) a significant interaction between season and habitat was detected for community evenness, indicating that habitat type modulates the seasonal effects on community composition. This study underscores that in human-modified landscapes, conserving habitat structural complexity and key resource plants is crucial for sustaining frugivorous bird diversity and its ecological functions. Conservation strategies must account for seasonal dynamics to be effective. Full article
Show Figures

Figure 1

27 pages, 5441 KB  
Article
Design and Experiment of a Multi-Duct Air-Delivered Sprayer for Closed Apple Orchards
by Juxia Wang, Fengzi Zhang, Yuanmeng Wang, Haoran Li, Yusheng Jin, Yanqing Zhang, Zhiyong Zhang and Qingliang Cui
Agriculture 2025, 15(18), 1958; https://doi.org/10.3390/agriculture15181958 - 17 Sep 2025
Viewed by 377
Abstract
A self-propelled multi-duct air-delivered sprayer was developed to address the challenges of dense canopies and low pesticide utilization in closed-canopy apple orchards. It featured an intelligently adjustable spray bar and formed a directional air curtain via a centrifugal fan and a duckbill air [...] Read more.
A self-propelled multi-duct air-delivered sprayer was developed to address the challenges of dense canopies and low pesticide utilization in closed-canopy apple orchards. It featured an intelligently adjustable spray bar and formed a directional air curtain via a centrifugal fan and a duckbill air outlet to improve droplet penetration. Using CFD simulations, the air duct size and the air outlet distance were optimized, and the field orthogonal test was carried out with driving speed, nozzle pressure, and nozzle type as factors. The results showed that the optimal parameters were an air duct size of 230 × 110 mm, an air outlet distance of 350 mm, and a fan speed of 2160 r/min. Compared to liquid pump independent operation, liquid pump–fan cooperative operation significantly increased droplet deposition density (p < 0.05) and reduced the degree of dispersion. All three factors significantly influenced deposition density (p < 0.05), and nozzle type had the greatest influence on deposition density, followed by nozzle pressure, and then driving speed. Optimal performance was obtained at a 0.3 m/s driving speed, a 3 MPa nozzle pressure, and a 6502 nozzle type. Under the optimal combination of operating parameters, field verification tests demonstrated that cooperative operation achieved higher average coverage (60.54% vs. 48.30%) and average deposition density (71.34 vs. 60.54 droplets/cm2), with a more uniform coefficient of variation in droplet coverage on leaves (a range of 13.37–19.07% vs. 9.70–22.67%). These results indicate that the sprayer exhibits strong penetration and provides good uniform coverage, effectively increasing droplet deposition across different canopy heights. Full article
(This article belongs to the Section Agricultural Technology)
Show Figures

Figure 1

29 pages, 2998 KB  
Article
Estimation of Mangrove Aboveground Carbon Using Integrated UAV-LiDAR and Satellite Data
by Xuzhi Mai, Quan Li, Weifeng Xu, Songwen Deng, Wenhuan Wang, Wenqian Wu, Wei Zhang and Yinghui Wang
Sustainability 2025, 17(18), 8211; https://doi.org/10.3390/su17188211 - 12 Sep 2025
Viewed by 388
Abstract
Mangroves are critical blue carbon ecosystems, yet accurately estimating their aboveground carbon (AGC) stocks remains challenging due to structural complexity and spectral saturation in dense canopies. This study aims to develop a scalable AGC estimation framework by integrating high-resolution canopy height (CH) data [...] Read more.
Mangroves are critical blue carbon ecosystems, yet accurately estimating their aboveground carbon (AGC) stocks remains challenging due to structural complexity and spectral saturation in dense canopies. This study aims to develop a scalable AGC estimation framework by integrating high-resolution canopy height (CH) data from UAV-LiDAR with multi-source satellite features from Sentinel-1, Sentinel-2, and ALOS PALSAR-2. Using the Maowei Sea mangrove zone in Guangxi, China, as a case study, we extracted structural, spectral, and textural features and applied Random Forest regression with Recursive Feature Elimination (RFE) to optimize feature combinations. Results show that incorporating UAV-derived CH significantly improves model accuracy (R2 = 0.75, RMSE = 14.18 Mg C ha−1), outperforming satellite-only approaches. CH was identified as the most important predictor, effectively mitigating saturation effects in high-biomass stands. The estimated total AGC in the study area was 88,363.73 Mg, with a mean density of 53.01 Mg C ha−1. This study highlights the advantages of cross-scale UAV–satellite data fusion for accurate, regionally scalable AGC mapping, offering a practical tool for blue carbon monitoring and coastal ecosystem management under global change. Full article
Show Figures

Figure 1

20 pages, 5736 KB  
Article
Evaluating and Predicting Wildfire Burn Severity Through Stand Structure and Seasonal NDVI: A Case Study of the March 2025 Uiseong Wildfire
by Taewoo Yi and JunSeok Lee
Fire 2025, 8(9), 363; https://doi.org/10.3390/fire8090363 - 11 Sep 2025
Viewed by 467
Abstract
This study examined the structural and ecological drivers of burn severity during the March 2025 wildfire in Uiseong County, Republic of Korea, with a focus on developing a predictive framework using the differenced Normalized Burn Ratio (dNBR). Seventeen candidate variables were evaluated, among [...] Read more.
This study examined the structural and ecological drivers of burn severity during the March 2025 wildfire in Uiseong County, Republic of Korea, with a focus on developing a predictive framework using the differenced Normalized Burn Ratio (dNBR). Seventeen candidate variables were evaluated, among which the forest type, stand age, tree height, diameter at breast height (DBH), and Normalized Difference Vegetation Index (NDVI) were consistently identified as the most influential predictors. Burn severity increased across all forest types up to the 4th–5th age classes before declining in older stands. Coniferous forests exhibited the highest severity at the 5th age class (mean dNBR = 0.3069), followed by mixed forests (0.2771) and broadleaf forests (0.2194). Structural factors reinforced this pattern, as coniferous and mixed forests recorded maximum severity within the 5–11 m height range, while broadleaf forests showed relatively stable severity across 3–21 m but declined thereafter. In the final prediction model, NDVI emerged as the dominant variable, integrating canopy density, vegetation vigor, and moisture conditions. Notably, NDVI exhibited a positive correlation with burn severity in coniferous stands during this early-spring event, diverging from the generally negative relationship reported in previous studies. This seasonal anomaly underscores the need to interpret NDVI flexibly in relation to the forest type, stand age, and phenological stage. Overall, the model results demonstrate that mid-aged stands with moderate heights and dense canopy cover are the most fire-prone, whereas older, taller stands show reduced susceptibility. By integrating NDVI with structural attributes, this modeling approach provides a scalable tool for the spatial prediction of wildfire severity and supports resilience-based forest management under climate change. Full article
Show Figures

Figure 1

19 pages, 1766 KB  
Article
Canopy Fuel Characteristics and Potential Fire Behavior in Dwarf Pine (Pinus pumila) Forests
by Xinxue He, Xin Zheng, Rong Cui, Chenglin Chi, Qianxue Wang, Shuo Wang, Guoqiang Zhang, Huiying Cai, Yanlong Shan, Mingyu Wang and Jili Zhang
Fire 2025, 8(9), 347; https://doi.org/10.3390/fire8090347 - 1 Sep 2025
Viewed by 605
Abstract
Crown fire hazard assessment and behavior prediction in dwarf pine (Pinus pumila) forests are dictated by the amount of canopy fuel available, topography, and weather. In this study, we collected data on CFL (available canopy fuel load), CBD (canopy bulk density), [...] Read more.
Crown fire hazard assessment and behavior prediction in dwarf pine (Pinus pumila) forests are dictated by the amount of canopy fuel available, topography, and weather. In this study, we collected data on CFL (available canopy fuel load), CBD (canopy bulk density), and CBH (canopy base height) through the destructive sampling of dwarf pine trees in the Greater Khingan Mountains of Northeast China. Allometric equations were developed for estimating the canopy’s available biomass, CFL, and CBD to support the assessment of canopy fuel. Three burning scenarios were designed to investigate the impact of various environmental parameters on fire behavior. Our findings indicated that the average CFL of a dwarf pine was 0.36 kg·m−2, while the average CBD was measured at 0.17 kg·m−3. The vertical variation trends of both CFL and CBD exhibited consistency, with values increasing progressively from the bottom to the top of the tree crown. Fire behavior simulations indicated that the low CBH of dwarf pine trees increased the likelihood of crown fires. Various factors, including wind speed, slope, and CBH, exerted considerable influence on fire behavior, with wind speed emerging as the most critical determinant. Silvicultural treatments, such as thinning and pruning, may effectively reduce fuel loads and elevate the canopy base height, thereby decreasing both the probability and intensity of crown fires. Full article
Show Figures

Figure 1

23 pages, 7196 KB  
Article
Field-Scale Maize Yield Estimation Using Remote Sensing with the Integration of Agronomic Traits
by Shuai Bao, Yiang Wang, Shinai Ma, Huanjun Liu, Xiyu Xue, Yuxin Ma, Mingcong Zhang and Dianyao Wang
Agriculture 2025, 15(17), 1834; https://doi.org/10.3390/agriculture15171834 - 29 Aug 2025
Viewed by 715
Abstract
Maize (Zea mays L.) is a key global cereal crop with significant relevance to food security. Maize yield prediction is challenged by cultivar diversity and varying management practices. This preliminary study was conducted at Youyi Farm, Heilongjiang Province, China. Three maize cultivars [...] Read more.
Maize (Zea mays L.) is a key global cereal crop with significant relevance to food security. Maize yield prediction is challenged by cultivar diversity and varying management practices. This preliminary study was conducted at Youyi Farm, Heilongjiang Province, China. Three maize cultivars (Songyu 438, Dika 1220, Dika 2188), two fertilization rates (700 and 800 kg·ha−1), and three planting densities (70,000, 75,000, and 80,000 plants·ha−1) were evaluated across 18 distinct cropping treatments. During the V6 (Vegetative 6-leaf stage), VT (Tasseling stage), R3 (Milk stage), and R6 (Physiological maturity) growth stages of maize, multi-temporal canopy spectral images were acquired using an unmanned aerial vehicle (UAV) equipped with a multispectral sensor. In situ measurements of key agronomic traits, including plant height (PH), stem diameter (SD), leaf area index (LAI), and relative chlorophyll content (SPAD), were conducted. The optimal vegetation indices (VIs) and agronomic traits were selected for developing a maize yield prediction model using the random forest (RF) algorithm. Results showed the following: (1) Vegetation indices derived from the red-edge band, particularly the normalized difference red-edge index (NDRE), exhibited a strong correlation with maize yield (R = 0.664), especially during the tasseling to milk ripening stage; (2) The integration of LAI and SPAD with NDRE improved model performance, achieving an R2 of 0.69—an increase of 23.2% compared to models based solely on VIs; (3) Incorporating SPAD values from middle-canopy leaves during the milk ripening stage further enhanced prediction accuracy (R2 = 0.74, RMSE = 0.88 t·ha−1), highlighting the value of vertical-scale physiological parameters in yield modeling. This study not only furnishes critical technical support for the application of UAV-based remote sensing in precision agriculture at the field-plot scale, but also charts a clear direction for the synergistic optimization of multi-dimensional agronomic traits and spectral features. Full article
Show Figures

Figure 1

18 pages, 3423 KB  
Article
Fire Effects on Lichen Biodiversity in Longleaf Pine Habitat
by Roger Rosentreter, Ann DeBolt and Brecken Robb
Forests 2025, 16(9), 1385; https://doi.org/10.3390/f16091385 - 28 Aug 2025
Viewed by 571
Abstract
Longleaf pine forests are economically important habitats that stabilize and enrich the soil and store carbon over long periods. When mixed with oaks, these forests provide an abundance of lichen habitats. The tree canopy lichens promote greater moisture capture and retention and encourage [...] Read more.
Longleaf pine forests are economically important habitats that stabilize and enrich the soil and store carbon over long periods. When mixed with oaks, these forests provide an abundance of lichen habitats. The tree canopy lichens promote greater moisture capture and retention and encourage canopy insects. Ground lichens limit some vascular plant germination and growth, promoting a more open and healthy pine community. There is a longstanding mutualistic relationship between longleaf pine habitat and lichens. Longleaf pine habitat has a long history of natural summer burning, which promotes a diverse understory and limits tree densities. Lichen diversity exceeds vascular plant diversity in many mature longleaf pine habitats, yet information on the impacts of prescribed fire on lichen species in these habitats is limited. We assessed lichen diversity and abundance before and after a prescribed ground fire in a longleaf pine/wiregrass habitat near Ocala, Florida. Pre-burn, we found greater lichen abundance and diversity on hardwoods, primarily oak species, than on pines. Post-burn, lichen abundance on hardwoods dropped overall by 28%. Lichen abundance on conifers dropped overall by 94%. Ground lichen species were basically eliminated, with a 99.5% loss. Our study provides insights into retaining lichen diversity after a prescribed burn. Hardwood trees, whether alive or standing dead, help retain lichen biodiversity after burning, whereas conifer trees do not support as many species. Landscapes may need to be actively managed by raking pine needle litter away from ground lichen beds, moistening the ground, or removing some lichen material before the burn and returning it to the site post-fire. Based on these results, we suggest retaining some oaks and conducting burns in a mosaic pattern that retains unburned areas. This will allow for lichens to recover between burns, significantly enhancing biodiversity and the ecological health of these longleaf pine communities. Full article
(This article belongs to the Special Issue The Role of Bryophytes and Lichens in Forest Ecosystem Dynamics)
Show Figures

Figure 1

Back to TopTop