Clonal Selection for Citrus Production: Evaluation of ‘Pera’ Sweet Orange Selections for Fresh Fruit and Juice Processing Markets
Abstract
1. Introduction
2. Materials and Methods
2.1. Experimental Location
2.2. Plant Material and Orchard Establishment
2.3. Orchard Management
2.4. Vegetative Growth
2.5. Fruit Yield
2.6. Fruit Quality
2.7. Fresh Fruit and Juice Processing Performance Indices
2.8. Data Analysis and Graphical Visualization
3. Results
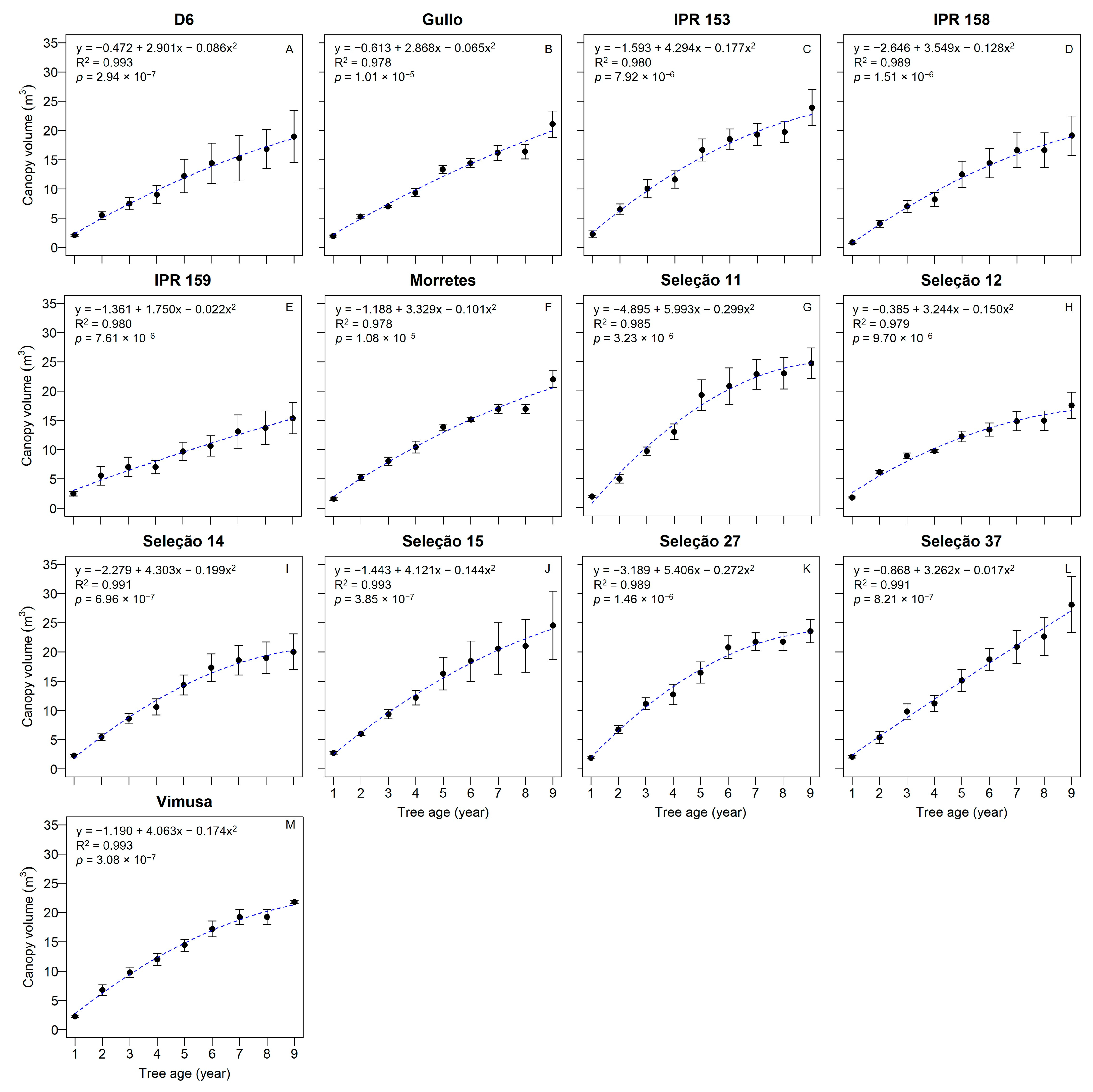
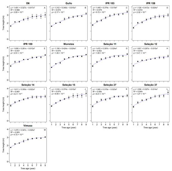
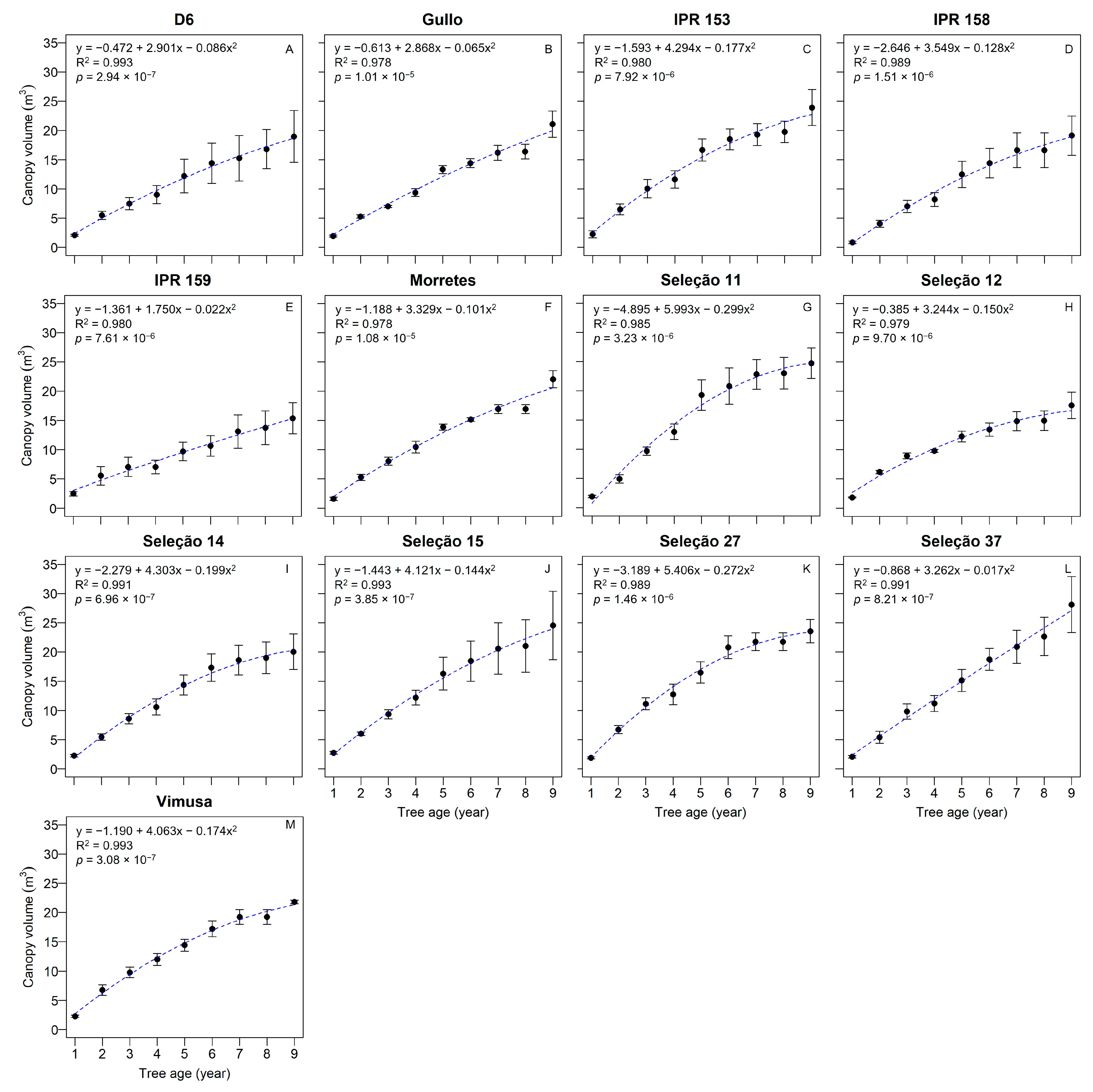
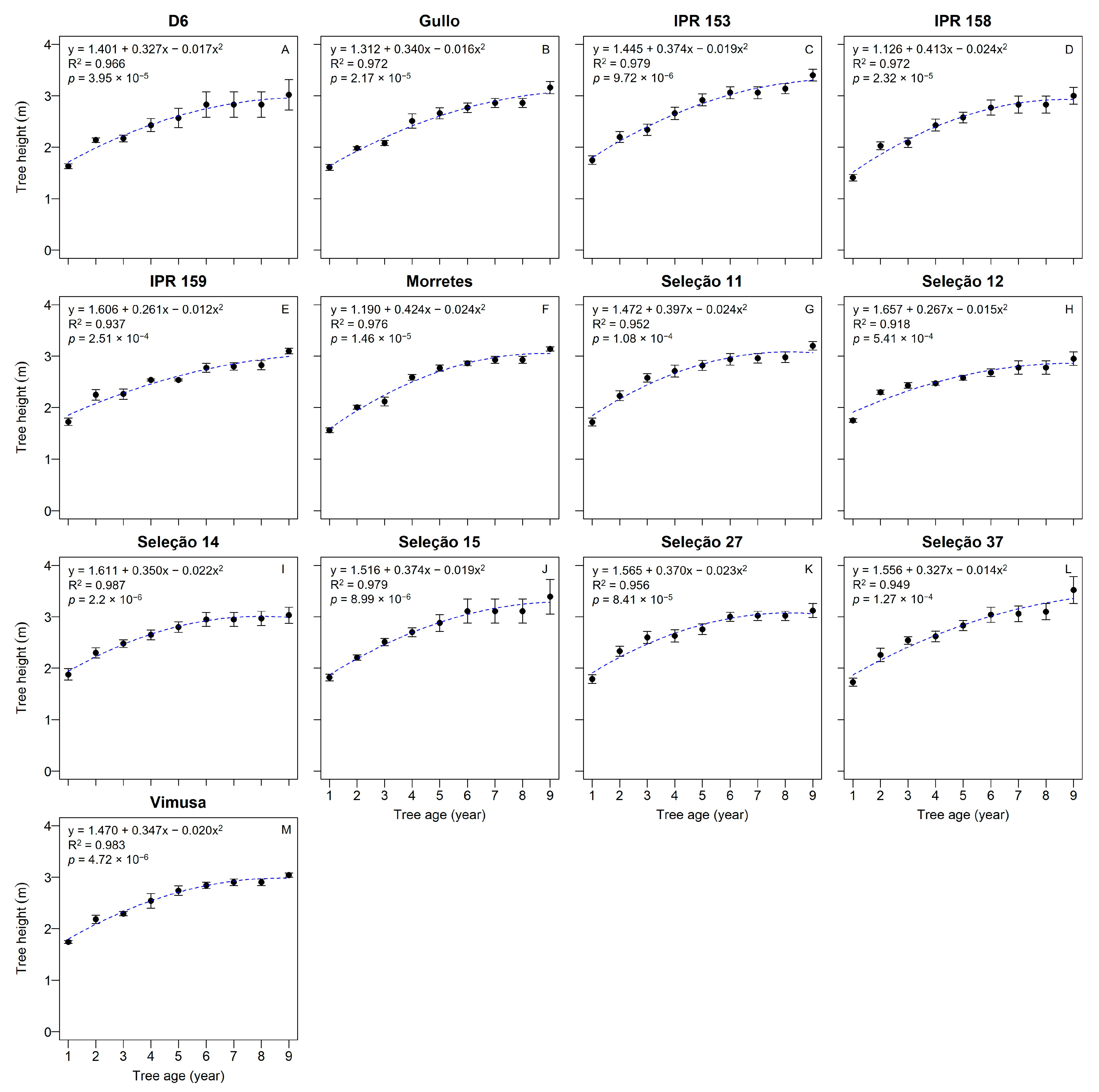
3.1. Vegetative Growth
3.2. Fruit Yield
3.3. Fruit Quality
3.4. Fresh Fruit and Juice Processing Performance Indices
4. Discussion
Supplementary Materials
Author Contributions
Funding
Data Availability Statement
Acknowledgments
Conflicts of Interest
References
- FAO—Food and Agriculture Organization of the United Nations. Crops and Livestock Products; FAO: Rome, Italy, 2023. [Google Scholar]
- Fava Neves, M.; Trombin, V.G.; Milan, P.; Fonseca Lopes, F.; Kalaki, R. The Orange Juice Business: A Brazilian Perspective; Brill|Wageningen Academic: Gelderland, The Netherlands, 2011; ISBN 978-90-8686-181-1. [Google Scholar]
- IBGE—Instituto Brasileiro de Geografia e Estatística. Levantamento Sistemático da Produção Agrícola; IBGE: Rio de Janeiro, Brazil, 2025. [Google Scholar]
- Fundecitrus—Fundo de defesa da Citricultura. 2023–2024 Final Orange Crop Update for the São Paulo and West-Southwest Minas Gerais Citrus Belt; Fundecitrus: Araraquara, Brazil, 2024. [Google Scholar]
- Fundecitrus—Fundo de defesa da Citricultura. Tree Inventory and 2023–2024 Orange Crop Forecast for the São Paulo and West-Southwest Minas Gerais Citrus Belt; Fundecitrus: Araraquara, Brazil, 2023. [Google Scholar]
- Figueiredo, J.O. Variedades Copa de Valor Comercial. In Citricultura Brasileira; Fundação Cargill: São Paulo, Brazil, 1991; Volume 1, pp. 228–264. [Google Scholar]
- Albrigo, L.G.; Stelinski, L.L.; Timmer, L.W. Citrus, 2nd ed.; CABI: Wallingford, UK, 2019; ISBN 978-1-84593-815-4. [Google Scholar]
- Barry, G.H.; Caruso, M.; Gmitter, F.G. Commercial Scion Varieties. In The Genus Citrus; Talon, M., Caruso, M., Gmitter, F.G., Eds.; Elsevier: Amsterdam, The Netherlands, 2020; pp. 83–104. ISBN 978-0-12-812163-4. [Google Scholar]
- Fellers, P.J. Citrus: Sensory Quality as Related to Rootstock, Cultivar, Maturity, and Season. In Evaluation of Quality of Fruits and Vegetables; Pattee, H.E., Ed.; Springer US: Boston, MA, USA, 1985; pp. 83–128. ISBN 978-1-4612-9588-4. [Google Scholar]
- Salibe, A.A.; Sobrinho, J.T.; Muller, G.W. Sinopse de Conhecimentos e Pesquisas Sobre a Laranja ‘Pêra’. Laranja 2002, 23, 231–245. [Google Scholar]
- Fadel, A.L.; Stuchi, E.S.; Silva, S.R.D.; Parolin, L.G.; Oliveira, C.R.D.; Müller, G.W.; Donadio, L.C. Compatibility and Horticultural Performance of Pera Sweet Orange Clones Grafted to Swingle Citrumelo Rootstock. Bragantia 2019, 78, 564–572. [Google Scholar] [CrossRef]
- Pompeu Junior, J. Porta-Enxertos. In Citros; de Mattos Junior, D., De Negri, J.D., Pio, R.M., Pompeu Junior, J., Eds.; Instituto Agronômico e Fundag: São Paulo, Brazil, 2005; Volume 1, pp. 61–104. [Google Scholar]
- Salibe, A.A. Scion-Rootstock Incompatibilities in Brazil. In International Organization of Citrus Virologists Conference Proceedings (1957–2010); UC Riverside: Riverside, CA, USA, 1961; Volume 2. [Google Scholar] [CrossRef]
- Carvalho, S.A.D.; Girardi, E.A.; Mourão Filho, F.D.A.A.; Ferrarezi, R.S.; Coletta Filho, H.D. Advances in Citrus Propagation in Brazil. Rev. Bras. Frutic. 2019, 41, e-422. [Google Scholar] [CrossRef]
- Pio, R.M.; Figueiredo, J.O.D.; Stucchi, E.S.; de Cardoso, S.A.B. Variedades Copas. In Citros; de Mattos Junior, D., De Negri, J.D., Pio, R.M., Pompeu Junior, J., Eds.; Instituto Agronômico e Fundag: São Paulo, Brazil, 2005; Volume 1, pp. 39–62. [Google Scholar]
- Pozzan, M.; Triboni, H.R. Qualidade, Colheita e Processamento. In Citros; de Mattos Junior, D., De Negri, J.D., Pio, R.M., Pompeu Junior, J., Eds.; Instituto Agronômico e Fundag: São Paulo, Brazil, 2005; Volume 1, pp. 801–824. [Google Scholar]
- Tanaka, F.A.O.; Kitajima, E.W.; Machado, M.A.; Machado, S.R. Ontogênese de Caneluras em Pedúnculo de Flores de Laranjeira Doce Infectados pelo Vírus da Tristeza dos Citros Estirpe “Capão Bonito”. Summa Phytopathol. 2009, 35, 316–321. [Google Scholar] [CrossRef]
- Muller, G.W.; Targon, M.L.P.N.; Machado, M.A. Thirty Years of Preimmunized Pera Sweet Orange in the Citriculture in São Paulo State, Brazil. In International Organization of Citrus Virologists Conference Proceedings (1957–2010); UC Riverside: Riverside, CA, USA, 2000; Volume 14. [Google Scholar] [CrossRef]
- Muller, G.W.; Targon, M.L.P.N.; Machado, M.A. Trinta Anos de Uso do Clone Pré-Imunizado “Pêra IAC” na Citricultura Paulista. Laranja 1999, 20, 399–408. [Google Scholar]
- Stuchi, E.S.; Girardi, E.A.; Silva, S.R.; Parolin, L.G.; Donadio, G.W.M.L.C. Performance of Field-Selected Clones of Pera Sweet Orange in Northern São Paulo State, Brazil. Citrus Res. Technol. 2020, 41, e1061. [Google Scholar] [CrossRef]
- Da Cruz, M.A.; Neves, C.S.V.J.; De Carvalho, D.U.; Longhi, T.V.; Behlau, F.; De Carvalho, S.A.; Junior, R.P.L. Long-Term Field Evaluation of Pera Sweet Orange Selections under the Brazilian Humid Subtropical Climate. Eur. J. Agron. 2023, 150, 126952. [Google Scholar] [CrossRef]
- Auler, P.A.M.; Leite Júnior, R.P.; Tazima, Z.H.; Andrade, P.E.S.A. Citricultura no Paraná. Citric. Atual 2014, 99, 17–20. [Google Scholar]
- Tazima, Z.H.; Leite Junior, R.P. Novas Cultivares de Citros. Synerg. Scyentifica UTFPR 2018, 13, 49–52. [Google Scholar]
- Martins, C.R.; Carvalho, H.W.L.D.; Teodoro, A.V.; Soares Filho, W.D.S.; Passos, O.S. Agronomical Performance of Citrus Scion Cultivars Grafted on Rangpur Lime in North-Eastern Brazil. Aust. J. Crop Sci. 2016, 10, 16–23. [Google Scholar]
- Carvalho, H.W.L.; Teodoro, A.V.; De Barros, I.; De Carvalho, L.M.; Dos Santos Soares Filho, W.; Girardi, E.A.; Passos, O.S.; Pinto-Zevallos, D.M. Rootstock-Related Improved Performance of ‘Pera’ Sweet Orange under Rainfed Conditions of Northeast Brazil. Sci. Hortic. 2020, 263, 109148. [Google Scholar] [CrossRef]
- Tazima, Z.H.; Neves, C.S.V.J.; Yada, I.F.U.; Leite, R.P. Performance of Pera Sweet Orange Clones in Clay Soils in Southern Brazil. Citrus Res. Technol. 2016, 37, 37–46. [Google Scholar] [CrossRef]
- Carvalho, E.V.; Cifuentes-Arenas, J.C.; Raiol-Junior, L.L.; Stuchi, E.S.; Girardi, E.A.; Lopes, S.A. Modeling Seasonal Flushing and Shoot Growth on Different Citrus Scion-Rootstock Combinations. Sci. Hortic. 2021, 288, 110358. [Google Scholar] [CrossRef]
- Girardi, E.A.; Sola, J.G.P.; Scapin, M.D.S.; Moreira, A.S.; Bassanezi, R.B.; Ayres, A.J.; Peña, L. The Perfect Match: Adjusting High Tree Density to Rootstock Vigor for Improving Cropping and Land Use Efficiency of Sweet Orange. Agronomy 2021, 11, 2569. [Google Scholar] [CrossRef]
- Caruso, M.; Smith, M.W.; Froelicher, Y.; Russo, G.; Gmitter, F.G. Traditional Breeding. In The Genus Citrus; Talon, M., Caruso, M., Gmitter, F.G., Eds.; Elsevier: Amsterdam, The Netherlands, 2020; pp. 129–148. ISBN 978-0-12-812163-4. [Google Scholar]
- Goldschmidt, E.E.; Sadka, A. Yield Alternation: Horticulture, Physiology, Molecular Biology, and Evolution. In Horticultural Reviews; Warrington, I., Ed.; Wiley: Hoboken, NJ, USA, 2005; pp. 363–418. ISBN 978-1-119-75080-2. [Google Scholar]
- Agustí, M.; Primo-Millo, E. Flowering and Fruit Set. In The Genus Citrus; Talon, M., Caruso, M., Gmitter, F.G., Eds.; Elsevier: Amsterdam, The Netherlands, 2020; pp. 219–244. ISBN 978-0-12-812163-4. [Google Scholar]
- Thornthwaite, C.W.; Mather, J.R. The Water Balance. Publ. Climatol. 1955, 8, 5–86. [Google Scholar]
- Tazima, Z.H.; Neves, C.S.V.J.; Yada, I.F.U.; Leite Júnior, R.P. Produção e Qualidade dos Frutos de Clones de Laranjeira-Pera no Norte do Paraná. Rev. Bras. Frutic. 2010, 32, 189–195. [Google Scholar] [CrossRef]
- IAPAR—Instituto Agronômico do Paraná. A Citricultura no Paraná; IAPAR: Londrina, Brazil, 1992; Volume 1. [Google Scholar]
- Mendel, K. Rootstock-Scion Relationships in Shamouti Trees on Light Soil. Ktavim 1956, 6, 35–60. [Google Scholar]
- Pearce, S.C.; Doberšek-Urbanc, S. The Measurement of Irregularity in Growth and Cropping. J. Hortic. Sci. 1967, 42, 295–305. [Google Scholar] [CrossRef]
- AOAC—Association of Official Analytical Chemists. Official Methods of Analysis; AOAC: Gaithersburg, MD, USA, 1990. [Google Scholar]
- Di Giorgi, F.; Ide, B.Y.; Marchi, R.J.; Triboni, H.R.; Wagner, R.L. Contribuição ao estudo do comportamento de algumas variedades de citros e suas implicações agroindustriais. Citrus Res. Technol. 1990, 11, 567–612. [Google Scholar]
- Ramos, Y.C.; Fadel, A.L.; Bremer Neto, H.; Caputo, M.M.; Stuchi, E.S.; Mourão Filho, F.D.A.A. Mid-Season Sweet Oranges for Fresh and Processing Markets in Brazil. Exp. Agric. 2021, 57, 15–32. [Google Scholar] [CrossRef]
- Caputo, M.M.; Mourão Filho, F.D.A.A.; Silva, S.R.D.; Bremer Neto, H.; Couto, H.T.Z.D.; Stuchi, E.S. Seleção de Cultivares de Laranja Doce de Maturação Precoce por Índices de Desempenho. Pesq. Agropec. Bras. 2012, 47, 1669–1672. [Google Scholar] [CrossRef]
- Wheaton, T.A.; Castle, W.S.; Whitney, J.D.; Tucker, D.P.H. Performance of Citrus Scion Cultivars and Rootstock in a High-Density Planting. HortScience 1991, 26, 837–840. [Google Scholar] [CrossRef]
- Castle, W.S. A Career Perspective on Citrus Rootstocks, Their Development, and Commercialization. HortScience 2010, 45, 11–15. [Google Scholar] [CrossRef]
- Primo-Millo, E.; Agustí, M. Vegetative Growth. In The Genus Citrus; Talon, M., Caruso, M., Gmitter, F.G., Eds.; Elsevier: Amsterdam, The Netherlands, 2020; pp. 193–217. ISBN 978-0-12-812163-4. [Google Scholar]
- Ribeiro, R.V.; Espinoza-Núñez, E.; Junior, J.P.; Filho, F.A.A.M.; Machado, E.C. Citrus Rootstocks for Improving the Horticultural Performance and Physiological Responses Under Constraining Environments. In Improvement of Crops in the Era of Climatic Changes; Ahmad, P., Wani, M.R., Azooz, M.M., Tran, L.-S.P., Eds.; Springer New York: New York, NY, USA, 2014; pp. 1–37. ISBN 978-1-4614-8829-3. [Google Scholar]
- Bowman, K.D.; Joubert, J. Citrus Rootstocks. In The Genus Citrus; Talon, M., Caruso, M., Gmitter, F.G., Eds.; Elsevier: Amsterdam, The Netherlands, 2020; pp. 105–127. ISBN 978-0-12-812163-4. [Google Scholar]
- Garnsey, S.M.; Castle, W.S.; Tucker, D.P.H.; Rouse, R.E.; Wutscher, H.K.; Kesinger, M.C. Budunion Incompatibilities and Associate Declines Observed in Florida among Trees on Swingle Citrumelo and Other Trifoliate Orange-Related Rootstocks. Proc. Fla. State Hortic. Soc. 2001, 114, 121–127. [Google Scholar]
- Carvalho, D.U.; Neves, C.S.V.J.; Da Cruz, M.A.; Longhi, T.V.; Behlau, F.; De Carvalho, S.A.; Leite Junior, R.P. Late-Season Sweet Orange Selections Under Huanglongbing and Citrus Canker Endemic Conditions in the Brazilian Humid Subtropical Region. Front. Plant Sci. 2022, 13, 915889. [Google Scholar] [CrossRef]
- Alves, M.N.; Lopes, S.A.; Raiol-Junior, L.L.; Wulff, N.A.; Girardi, E.A.; Ollitrault, P.; Peña, L. Resistance to ‘Candidatus Liberibacter Asiaticus,’ the Huanglongbing Associated Bacterium, in Sexually and/or Graft-Compatible Citrus Relatives. Front. Plant Sci. 2021, 11, 617664. [Google Scholar] [CrossRef] [PubMed]
- Hota, D.; Chander, S. Growth Manipulation through Canopy Architecture. In Advances in Growth Regulation of Fruit Crops; Rana, V.S., Rana, N., Sharma, S., Eds.; CRC Press: Boca Raton, FL, USA, 2025; pp. 90–104. ISBN 978-1-003-35405-5. [Google Scholar]
- Hayat, F.; Li, J.; Iqbal, S.; Peng, Y.; Hong, L.; Balal, R.M.; Khan, M.N.; Nawaz, M.A.; Khan, U.; Farhan, M.A.; et al. A Mini Review of Citrus Rootstocks and Their Role in High-Density Orchards. Plants 2022, 11, 2876. [Google Scholar] [CrossRef] [PubMed]
- Hervalejo, A.; Arjona-López, J.M.; Ordóñez-Díaz, J.L.; Romero-Rodríguez, E.; Calero-Velázquez, R.; Moreno-Rojas, J.M.; Arenas-Arenas, F.J. Influence of Harvesting Season on Morphological and Sensory Quality, Bioactive Compounds and Antioxidant Activity of Three Late-Season Orange Cultivars ‘Barberina’, ‘Valencia Midknight’ and ‘Valencia Delta Seedless. Agronomy 2021, 11, 673. [Google Scholar] [CrossRef]
- Carvalho, D.U.; Girardi, E.A.; Pacheco, C.D.A.; Primiano, I.V.; Kharfan, D.; Moreira, A.S.; Laranjeira, F.F.; Bassanezi, R.B. Topping Sweet Orange Trees as Diaphorina citri Bait on the Farm Edge for Huanglongbing Management: Opportunities and Limitations. Sci. Hortic. 2024, 338, 113612. [Google Scholar] [CrossRef]
- Bassanezi, R.B.; Lopes, S.A.; De Miranda, M.P.; Wulff, N.A.; Volpe, H.X.L.; Ayres, A.J. Overview of Citrus Huanglongbing Spread and Management Strategies in Brazil. Trop. Plant Pathol. 2020, 45, 251–264. [Google Scholar] [CrossRef]
- Primiano, I.V.; Barbosa Junior, J.T.; Bassanezi, R.B. Comparison of Insecticide Sprays in Alternate Rows and in All Rows on Asian Citrus Psyllid Control and Huanglongbing Progress in Sweet Orange Orchards. Plant Dis. 2024, 108, 2750–2759. [Google Scholar] [CrossRef]
- Rehberg, R.A.; Trivedi, P.; Bahureksa, W.; Sharp, J.L.; Stokes, S.C.; Menger, R.F.; Borch, T. Quantification of Insecticide Spatial Distribution within Individual Citrus Trees and Efficacy through Asian Citrus Psyllid Reductions under Different Application Methods. Pest Manag. Sci. 2021, 77, 1748–1756. [Google Scholar] [CrossRef] [PubMed]
- Iglesias, D.J.; Tadeo, F.R.; Primo-Millo, E.; Talon, M. Fruit Set Dependence on Carbohydrate Availability in Citrus Trees. Tree Physiol. 2003, 23, 199–204. [Google Scholar] [CrossRef] [PubMed]
- Monselise, S.P.; Goldschmidt, E.E. Alternate Bearing in Fruit Trees. In Horticultural Reviews; Wiley: Hoboken, NJ, USA, 1982; pp. 128–173. ISBN 978-1-118-06430-6. [Google Scholar]
- Goldschmidt, E.E. The Evolution of Fruit Tree Productivity: A Review. Econ. Bot. 2013, 67, 51–62. [Google Scholar] [CrossRef]
- Agustí, M.; Reig, C.; Martínez-Fuentes, A.; Mesejo, C. Advances in Citrus Flowering: A Review. Front. Plant Sci. 2022, 13, 868831. [Google Scholar] [CrossRef]
- Anthony, B.M.; Minas, I.S. Optimizing Peach Tree Canopy Architecture for Efficient Light Use, Increased Productivity and Improved Fruit Quality. Agronomy 2021, 11, 1961. [Google Scholar] [CrossRef]
- Mahmud, K.; Monks, D.; Donovan, N.; Warren-Smith, A. Intensifying Citrus Tree Crops and Modifying Tree Canopies: A Brief Review. Acta Hortic. 2024, 1399, 191-102. [Google Scholar] [CrossRef]
- Iglesias, I.; Echeverria, G. Current Situation, Trends and Challenges for Efficient and Sustainable Peach Production. Sci. Hortic. 2022, 296, 110899. [Google Scholar] [CrossRef]
- Lado, J.; Rodrigo, M.J.; Zacarías, L. Maturity Indicators and Citrus Fruit Quality. Stewart Postharvest Rev. 2014, 10, 1–6. [Google Scholar]
- Baldwin, E.; Bai, J.; Plotto, A.; Ritenour, M.A. Citrus Fruit Quality Assessment; Producer and Consumer Perspectives. Stewart Postharvest Rev. 2014, 2, 1–7. [Google Scholar]
- Kader, A.A. Flavor Quality of Fruits and Vegetables. J. Sci. Food Agric. 2008, 88, 1863–1868. [Google Scholar] [CrossRef]
- Kader, A.A. Postharvest Technology of Horticultural Crops, 3rd ed.; University of California, Agricultural and Natural Resources: Oakland, CA, USA, 2002; ISBN 978-1-879906-51-8. [Google Scholar]
- Ladaniya, M. Citrus Fruit: Biology, Technology and Evaluation, 2nd ed.; Academic: Amsterdam, The Netherlands, 2023; ISBN 978-0-323-99306-7. [Google Scholar]






| Pera Selection | Rootstock Trunk Diameter (cm) a | Scion Trunk Diameter (cm) | Trunk Diameter Index b | Tree Height (m) | Canopy Diameter (m) | Canopy Volume (m3) |
|---|---|---|---|---|---|---|
| D-6 | 13.0 b c | 10.5 b | 0.811 b | 2.57 b | 2.90 a | 12.2 a |
| Gullo | 12.7 b | 10.6 b | 0.834 b | 2.66 b | 3.09 a | 13.3 a |
| IPR 153 | 14.1 a | 12.4 a | 0.872 a | 2.92 a | 3.27 a | 16.7 a |
| IPR 158 | 11.5 c | 10.6 b | 0.925 a | 2.58 b | 2.97 a | 12.5 a |
| IPR 159 | 10.1 c | 9.0 b | 0.899 a | 2.39 b | 2.72 a | 9.7 a |
| Morretes | 13.6 a | 12.0 a | 0.887 a | 2.77 a | 3.09 a | 13.9 a |
| Seleção 11 | 15.7 a | 13.4 a | 0.855 a | 2.82 a | 3.58 a | 19.3 a |
| Seleção 12 | 14.8 a | 12.2 a | 0.820 b | 2.58 b | 3.00 a | 12.2 a |
| Seleção 14 | 14.9 a | 12.2 a | 0.818 b | 2.80 a | 3.10 a | 14.4 a |
| Seleção 15 | 15.9 a | 12.9 a | 0.811 b | 2.88 a | 3.22 a | 16.3 a |
| Seleção 27 | 15.7 a | 14.0 a | 0.891 a | 2.76 a | 3.35 a | 16.5 a |
| Seleção 37 | 14.7 a | 12.9 a | 0.878 a | 2.83 a | 3.16 a | 15.1 a |
| Vimusa | 15.2 a | 13.2 a | 0.875 a | 2.74 a | 3.16 a | 14.4 a |
| CV (%) | 11.27 | 12.09 | 6.42 | 8.84 | 11.63 | 28.44 |
| F value | ||||||
| Selection | 6.17 *** | 4.72 *** | 2.31 * | 1.97 * | 1.72 ns | 1.85 ns |
| Block | 0.87 ns | 1.31 ns | 3.60 * | 3.04 * | 1.49 ns | 1.93 ns |
| Pera Selection | Rootstock Trunk Diameter (cm) a | Scion Trunk Diameter (cm) | Trunk Diameter Index b | Tree Height (m) | Canopy Diameter (m) | Canopy Volume (m3) |
|---|---|---|---|---|---|---|
| D-6 | 16.6 b c | 14.6 a | 0.880 a | 3.02 a | 3.34 a | 18.9 a |
| Gullo | 17.0 b | 15.3 a | 0.902 a | 3.16 a | 3.54 a | 21.1 a |
| IPR 153 | 19.5 a | 17.7 a | 0.906 a | 3.40 a | 3.63 a | 23.9 a |
| IPR 158 | 16.2 b | 15.2 a | 0.932 a | 3.00 a | 3.41 a | 19.1 a |
| IPR 159 | 13.1 c | 12.3 a | 0.939 a | 3.04 a | 3.04 a | 15.3 a |
| Morretes | 17.5 b | 16.6 a | 0.950 a | 3.14 a | 3.65 a | 22.0 a |
| Seleção 11 | 21.1 a | 18.8 a | 0.895 a | 3.20 a | 3.82 a | 24.7 a |
| Seleção 12 | 19.2 a | 16.3 a | 0.849 a | 2.95 a | 3.33 a | 17.6 a |
| Seleção 14 | 18.7 a | 16.1 a | 0.864 a | 3.03 a | 3.49 a | 20.1 a |
| Seleção 15 | 22.2 a | 17.8 a | 0.794 a | 3.39 a | 3.55 a | 24.6 a |
| Seleção 27 | 20.2 a | 18.5 a | 0.916 a | 3.12 a | 3.78 a | 23.6 a |
| Seleção 37 | 18.8 a | 17.3 a | 0.918 a | 3.52 a | 3.82 a | 28.1 a |
| Vimusa | 19.1 a | 14.5 a | 0.761 a | 3.04 a | 3.70 a | 21.8 a |
| CV (%) | 10.92 | 18.50 | 13.95 | 11.54 | 12.47 | 32.56 |
| F value | ||||||
| Selection | 6.93 *** | 1.88 ns | 1.02 ns | 1.18 ns | 1.30 ns | 1.19 ns |
| Block | 1.27 ns | 1.73 ns | 1.70 ns | 3.12 * | 1.69 ns | 1.82 ns |
| Source of Variance | Fruit Length FL (mm) | Fruit Diameter FD (mm) | Fruit Shape (FL/FD) | Fruit Weight (g) | Number of Seeds |
|---|---|---|---|---|---|
| Pera selection | |||||
| D-6 | 70.2 b a | 69.7 a | 1.02 c | 197 a | 4.3 a |
| Gullo | 69.4 b | 67.5 b | 1.02 c | 183 b | 4.2 a |
| IPR 153 | 71.7 a | 70.3 a | 1.02 c | 201 a | 3.1 c |
| IPR 158 | 72.3 a | 69.9 a | 1.03 b | 195 a | 3.7 b |
| IPR 159 | 70.1 b | 66.6 b | 1.05 a | 171 b | 4.3 a |
| Morretes | 70.6 b | 68.1 b | 1.03 b | 185 b | 4.1 a |
| Seleção 11 | 71.4 a | 69.0 a | 1.03 b | 190 a | 4.1 a |
| Seleção 12 | 69.1 b | 67.0 b | 1.02 c | 175 b | 4.0 a |
| Seleção 14 | 71.2 a | 69.3 a | 1.03 c | 188 a | 4.0 a |
| Seleção 15 | 70.4 b | 67.7 b | 1.04 b | 179 b | 3.7 b |
| Seleção 27 | 69.1 b | 66.6 b | 1.04 b | 169 b | 4.2 a |
| Seleção 37 | 69.3 b | 67.5 b | 1.03 b | 178 b | 4.0 a |
| Vimusa | 70.4 b | 68.1 b | 1.03 b | 184 b | 3.8 b |
| Month | |||||
| June | 70.0 b | 68.1 a | 1.03 a | 180 b | 4.2 a |
| July | 70.8 a | 68.4 a | 1.03 a | 189 a | 3.7 b |
| CV (%) | 3.30 | 3.04 | 1.03 | 8.33 | 12.26 |
| F value | |||||
| Selection (S) | 1.99 * | 3.43 *** | 7.74 *** | 3.87 *** | 4.51 *** |
| Month (M) | 4.79 * | 0.86 ns | 2.45 ns | 10.6 ** | 34.3 *** |
| S × M | 0.29 ns | 0.25 ns | 0.50 ns | 0.20 ns | 1.48 ns |
| Block | 4.01 ** | 3.72 ** | 2.76 * | 4.02 ** | 1.37 ns |
| Source of Variance | Juice Content (%) | Total Soluble Solids TSS (°Brix) | Titratable Acidity TA (g∙100 mL−1) | Ratio (TSS/TA) | Technological Index (kg TSS∙box−1) |
|---|---|---|---|---|---|
| Pera selection | |||||
| D-6 | 54.6 b a | 10.8 b | 0.89 b | 12.0 d | 1.55 b |
| Gullo | 54.9 b | 11.8 a | 0.89 b | 13.7 b | 1.62 a |
| IPR 153 | 54.3 b | 10.4 b | 0.72 d | 14.5 a | 1.52 c |
| IPR 158 | 53.1 c | 10.4 b | 0.74 d | 14.3 a | 1.50 c |
| IPR 159 | 52.9 c | 10.6 b | 0.95 a | 11.5 d | 1.51 c |
| Morretes | 56.1 a | 10.7 b | 0.84 c | 13.1 c | 1.57 b |
| Seleção 11 | 53.7 c | 10.2 b | 0.78 d | 13.3 c | 1.50 c |
| Seleção 12 | 54.9 b | 10.9 b | 0.84 c | 13.0 c | 1.56 b |
| Seleção 14 | 53.3 c | 10.7 b | 0.81 c | 13.1 c | 1.52 c |
| Seleção 15 | 52.5 c | 10.9 b | 0.87 c | 12.8 c | 1.53 c |
| Seleção 27 | 53.4 c | 11.1 b | 0.83 c | 13.7 b | 1.55 b |
| Seleção 37 | 54.8 b | 10.7 b | 0.75 d | 14.4 a | 1.54 c |
| Vimusa | 55.0 b | 10.4 b | 0.77 d | 13.8 b | 1.53 c |
| Month | |||||
| June | 53.5 b | 10.7 a | 0.88 a | 12.3 b | 1.52 b |
| July | 54.7 a | 10.8 a | 0.76 b | 14.4 a | 1.55 a |
| CV (%) | 2.16 | 8.03 | 7.74 | 5.71 | 3.96 |
| F value | |||||
| Selection (S) | 8.14 *** | 2.09 * | 10.6 *** | 13.4 *** | 3.07 *** |
| Month (M) | 30.6 *** | 1.34 | 107.9 *** | 245.0 *** | 8.59 ** |
| S × M | 1.80 ns | 0.09 ns | 0.48 ns | 0.27 ns | 0.33 ns |
| Block | 0.47 ns | 3.20 * | 2.15 ns | 0.73 ns | 3.07 * |
Disclaimer/Publisher’s Note: The statements, opinions and data contained in all publications are solely those of the individual author(s) and contributor(s) and not of MDPI and/or the editor(s). MDPI and/or the editor(s) disclaim responsibility for any injury to people or property resulting from any ideas, methods, instructions or products referred to in the content. |
© 2025 by the authors. Licensee MDPI, Basel, Switzerland. This article is an open access article distributed under the terms and conditions of the Creative Commons Attribution (CC BY) license (https://creativecommons.org/licenses/by/4.0/).
Share and Cite
Carvalho, D.U.d.; Cruz-Bejatto, M.A.d.; Colombo, R.C.; Yada, I.F.U.; Leite, R.P., Jr.; Tazima, Z.H. Clonal Selection for Citrus Production: Evaluation of ‘Pera’ Sweet Orange Selections for Fresh Fruit and Juice Processing Markets. Horticulturae 2025, 11, 1183. https://doi.org/10.3390/horticulturae11101183
Carvalho DUd, Cruz-Bejatto MAd, Colombo RC, Yada IFU, Leite RP Jr., Tazima ZH. Clonal Selection for Citrus Production: Evaluation of ‘Pera’ Sweet Orange Selections for Fresh Fruit and Juice Processing Markets. Horticulturae. 2025; 11(10):1183. https://doi.org/10.3390/horticulturae11101183
Chicago/Turabian StyleCarvalho, Deived Uilian de, Maria Aparecida da Cruz-Bejatto, Ronan Carlos Colombo, Inês Fumiko Ubukata Yada, Rui Pereira Leite, Jr., and Zuleide Hissano Tazima. 2025. "Clonal Selection for Citrus Production: Evaluation of ‘Pera’ Sweet Orange Selections for Fresh Fruit and Juice Processing Markets" Horticulturae 11, no. 10: 1183. https://doi.org/10.3390/horticulturae11101183
APA StyleCarvalho, D. U. d., Cruz-Bejatto, M. A. d., Colombo, R. C., Yada, I. F. U., Leite, R. P., Jr., & Tazima, Z. H. (2025). Clonal Selection for Citrus Production: Evaluation of ‘Pera’ Sweet Orange Selections for Fresh Fruit and Juice Processing Markets. Horticulturae, 11(10), 1183. https://doi.org/10.3390/horticulturae11101183

