Evaluating and Predicting Wildfire Burn Severity Through Stand Structure and Seasonal NDVI: A Case Study of the March 2025 Uiseong Wildfire
Abstract
1. Introduction
2. Materials and Methods
2.1. Data
2.2. Burn Severity Classification
2.3. XGBoost Methodology for Wildfire Burn Severity Prediction
2.4. Independent Predictor Variables
3. Results
3.1. Burn Severity by Forest Type
3.2. Fire Damage in Relation to Stand Age and Tree Height
3.3. Influence of DBH and Stand Density on Burn Severity
3.4. Structural Interactions Driving Burn Severity
3.5. Model Performance and Classification Accuracy
3.6. Feature Importance from the Machine Learning Model
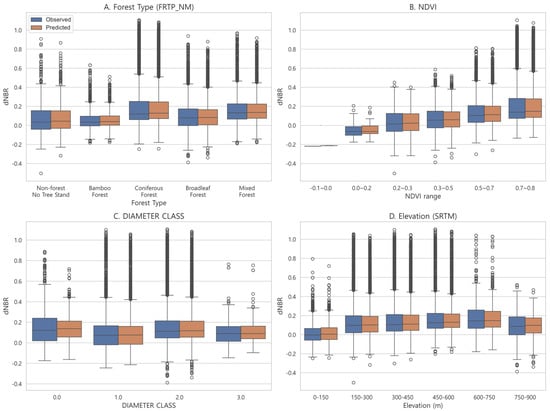
3.7. Comparison of Observed and Predicted dNBR Values by Key Variables
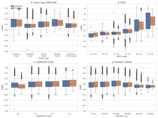
3.8. Distributional Differences Between Predicted and Observed dNBR Values
4. Discussion
4.1. Structural Characteristics of Forests and Fire Damage Severity
4.2. Wildfire Damage Prediction Model
5. Conclusions
Author Contributions
Funding
Institutional Review Board Statement
Informed Consent Statement
Data Availability Statement
Conflicts of Interest
Abbreviations
| NDVI | Normalized Difference Vegetation Index |
| dNBR | differenced Normalized Burn Ratio |
| DBH | Diameter at Breast Height |
| AGB | Aboveground Biomass |
| DEM | Digital Elevation Model |
| FIRMS | Fire Information for Resource Management System |
| KFS | Korea Forest Service |
| NIE | National Institute of Ecology |
| ML | Machine Learning |
Appendix A


References
- Zahabnazouri, S.; Belmont, P.; Capolongo, D. Detecting Burn Severity and Vegetation Recovery After Fire Using dNBR and dNDVI Indices: Insight from the Bosco Difesa Grande, Gravina in Southern Italy. Sensors 2025, 25, 3097. [Google Scholar] [CrossRef]
- Lee, H.; Lee, J.-M.; Won, M.-S.; Lee, S.-W. Development and validation of Korean Composite Burn Index (KCBI). J. Korean For. Soc. 2012, 101, 163–174. [Google Scholar]
- Michael, Y.; Helman, D.; Glickman, O.; Gabay, D.; Brenner, S.; Lensky, I.M. Forecasting fire risk with machine learning and dynamic information derived from satellite vegetation index time-series. Sci. Total Environ. 2021, 764, 142844. [Google Scholar] [CrossRef] [PubMed]
- Charizanos, G.; Demirhan, H. Bayesian prediction of wildfire event probability using normalized difference vegetation index data from an Australian forest. Ecol. Inform. 2023, 73, 101899. [Google Scholar] [CrossRef]
- Halofsky, J.E.; Peterson, D.L.; Harvey, B.J. Changing wildfire, changing forests: The effects of climate change on fire regimes and vegetation in the Pacific Northwest, USA. Fire Ecol. 2020, 16, 4. [Google Scholar] [CrossRef]
- Korea Forest Service. 2023 Forest Type Map (Stand Map); Database; Korea Forest Service: Daejeon, Republic of Korea, 2023. [Google Scholar]
- Zhou, Y.; Fang, Y.; Ji, C. Continuous wildfires threaten public and ecosystem health under climate change across continents. Front. Environ. Sci. Eng. 2024, 18, 130. [Google Scholar] [CrossRef]
- US Environmental Protection Agency. Climate Change Indicators: Wildfires. U.S. Environmental Protection Agency. 2024. Available online: https://www.epa.gov/climate-indicators/climate-change-indicators-wildfires (accessed on 28 August 2025).
- Center for Climate and Energy Solutions (C2ES). Wildfires and Climate Change. Center for Climate and Energy Solutions. 2024. Available online: https://www.c2es.org/content/wildfires-and-climate-change/ (accessed on 28 August 2025).
- Bilgiç, E.; Tuygun, G.T.; Gündüz, O. Development of an emission estimation method with satellite observations for significant forest fires and comparison with global fire emission inventories: Application to catastrophic fires of summer 2021 over the Eastern Mediterranean. Atmos. Environ. 2023, 308, 119871. [Google Scholar] [CrossRef]
- Klimas, K.B.; Yocom, L.L.; Murphy, B.P.; David, S.R.; Belmont, P.; Lutz, J.A.; DeRose, R.J.; Wall, S.A. A machine learning model to predict wildfire burn severity for pre-fire risk assessments, Utah, USA. Fire Ecol. 2025, 21, 8. [Google Scholar] [CrossRef]
- Copernicus Atmosphere Monitoring Service (CAMS). 2023: A Year of Intense Global Wildfire Activity. Copernicus Atmosphere Monitoring Service. 2023. Available online: https://atmosphere.copernicus.eu/2023-year-intense-global-wildfire-activity (accessed on 28 August 2025).
- Lee, S.Y.; Jun, K.W.; Lee, M.W.; Chun, K.W. Mortality in pine stand and vegetation recovery after forest fire. J. Korean Soc. Hazard Mitig. 2008, 8, 71–79. [Google Scholar]
- Fang, L.; Yang, J.; Zu, J.; Li, G.; Zang, J. Quantifying influences and relative importance of fire weather, topography, and vegetation on fire size and severity in a Chinese boreal forest landscape. For. Ecol. Manag. 2015, 356, 2–12. [Google Scholar] [CrossRef]
- Bae, M.; Chae, H. Regional characteristics of forest fire occurrences in Korea from 1990 to 2018. J. Korean Soc. Hazard Mitig. 2019, 19, 305–313. [Google Scholar] [CrossRef]
- Korea Forest Research Institute. Long-Term Ecological Monitoring of Post-Fire Sites in Goseong and Samcheok (1997–2006); Korea Forest Service Report; Korea Forest Research Institute: Seoul, Republic of Korea, 2007. [Google Scholar]
- Simafranca, N.; Willoughby, B.; O’Neil, E.; Farr, S.; Reich, B.J.; Giertych, N.; Johnson, M.C.; Pascolini-Campbell, M.A. Modeling wildland fire burn severity in California using a spatial Super Learner approach. Environ. Ecol. Stat. 2024, 31, 387–408. [Google Scholar] [CrossRef]
- Kang, J.M.; Zhang, C.; Park, J.K.; Kim, M.G. Forest fire damage analysis using satellite images. J. Korean Soc. Geospat. Inf. Sci. 2010, 28, 21–28. [Google Scholar]
- Van Gerrevink, M.J.; Veraverbeke, S. Evaluating the Hyperspectral Sensitivity of the Differenced Normalized Burn Ratio for Assessing Fire Severity. Remote Sens. 2021, 13, 4611. [Google Scholar] [CrossRef]
- Li, J.; Zhou, G.; Chen, A.; Lu, C.; Li, L. BCMNet: Cross-layer extraction structure and multiscale downsampling network with bidirectional transpose FPN for fast detection of wildfire smoke. IEEE Syst. J. 2023, 17, 1–12. [Google Scholar] [CrossRef]
- Chen, T.; Guestrin, C. XGBoost: A scalable tree boosting system. In Proceedings of the 22nd ACM SIGKDD International Conference on Knowledge Discovery and Data Mining, San Francisco, CA, USA, 13–17 August 2016; pp. 785–794. [Google Scholar]
- Ma, X.; Cheng, L.; Yang, L. Forest fire prediction using a hybrid model based on XGBoost and deep learning. Sustainability 2020, 12, 9675. [Google Scholar]
- Seo, H.; Choung, Y. Enhanced vulnerability to fire by Pinus densiflora forests due to tree morphology and stand structure in Korea. J. Plant Biol. 2014, 57, 48–54. [Google Scholar] [CrossRef]
- Thompson, J.R.; Spies, T.A.; Olsen, K.A. Canopy damage to conifer plantations within a large mixed-severity wildfire varies with stand age. For. Ecol. Manag. 2011, 262, 355–360. [Google Scholar] [CrossRef]
- Park, J.; Moon, M.; Green, T.; Kang, M.; Cho, S.; Lim, J.; Kim, S.-J. Impact of tree species composition on fire resistance in temperate forest stands. For. Ecol. Manag. 2024, 572, 122279. [Google Scholar] [CrossRef]
- Korea Forest Service. Annual Wildfire Statistics 2022; Korea Forest Service: Daejeon, Republic of Korea, 2023. [Google Scholar]
- Helman, D.; Lensky, I.M.; Tessler, N.; Osem, Y. A phenology-based method for monitoring woody and herbaceous vegetation in Mediterranean forests from NDVI time series. Remote Sens. 2015, 7, 12314–12335. [Google Scholar] [CrossRef]
- Tawade, S.; Choudhary, R.R.; Chavan, V.S. Effects of forest fire on forest ecosystem, biodiversity and loss of plant and animal species. Int. J. Adv. Res. 2022, 10, 597–600. [Google Scholar] [CrossRef] [PubMed]
- Scott, J.H.; Burgan, R.E. Standard Fire Behavior Fuel Models: A Comprehensive Set for Use with Rothermel’s Surface Fire Spread Model; U.S. Department of Agriculture, Forest Service, Rocky Mountain Research Station: Fort Collins, CO, USA, 2005; 72p. [Google Scholar]
- Levine, J.I.; Collins, B.M.; Coppoletta, M.; Stephens, S.L. Extreme weather magnifies the effects of forest structure on wildfire, driving increased severity in industrial forests. Glob. Change Biol. 2025, 31, e70400. [Google Scholar] [CrossRef]
- Li, S.; Yang, Z.; Zheng, J.; Hou, G.; Liu, H.; Cui, X. Evaluation of Litter Flammability from Dominated Artificial Forests in Southwestern China. Forests 2023, 14, 1229. [Google Scholar] [CrossRef]
- Hakkenberg, C.R.; Clark, M.L.; Bailey, T.; Burns, P.; Goetz, S.J. Ladder fuels rather than canopy volumes consistently predict wildfire severity even in extreme topographic-weather conditions. Commun. Earth Environ. 2024, 5, 721. [Google Scholar] [CrossRef] [PubMed]
- KFS (Korea Forest Service). Survey of Forest Industry in 2023; KFS (Korea Forest Service): Daejeon, Republic of Korea, 2023. [Google Scholar]
- Sanna, A.; Chamberlain, C.; Prichard, S.J.; Cansler, C.A.; Hudak, A.T.; Bienz, C.; Moskal, L.M.; Kane, V.R. Assessing fuel treatments and burn severity using global and local analyses. Fire Ecol. 2025, 21, 44. [Google Scholar] [CrossRef]








| Variable | Description | Data Source | Name |
|---|---|---|---|
| STORUNST_CD | Tree Existence Code | 2023 Forest Type Map (Korea Forest Service) | STOCKED_OR UNSTOCKED FOREST_CODE |
| FROR_CD | Forest Type | FOREST ORIGIN_CODE | |
| DMCLS_CD | Diameter Class | DIAMETER CLASS_CODE | |
| AGCLS_CD | Age Class | AGECLASS_CODE | |
| HEIGT_CD | Stand Height | HEIGT_CODE | |
| FRTP_NM | Forest Stand Name | FOREST TYPE_NAME | |
| KOFTR_NM | Tree Species Name | KIND OF TREE GROUP_NAME | |
| DNST_CD | Density Code | DENSITY_CODE | |
| Shape Length | Perimeter of Vegetation Patch | Vegetation polygon perimeter | |
| Shape Area | Area of Vegetation Patch | Vegetation polygon Area | |
| SRTM | Elevation | NASA SRTM Digital Elevation Model | Shuttle Radar Topography Mission DEM |
| SLOPE | Slope | SLOPE | |
| ASPECT | Aspect | ASPECT | |
| X | Longitude | Longitude | Longetude |
| Y | Latitude | Latitude | Latitude |
| AGB | Aboveground Biomass | ESA climate office Above Ground Mass (2021) | Above Ground Mass 2021 |
| NDVI | Normalized Difference Vegetation Index (NDVI) | Sentinel-2 (2025.3.14) | Normalized Difference Vegetation Index (2025.3.14.) |
| Age Class | Coniferous Forest | Mixed Forest | Deciduous Forest |
|---|---|---|---|
| 1 | 0.2770 | 0.2477 | 0.1641 |
| 2 | 0.2613 | 0.2126 | 0.1785 |
| 3 | 0.2934 | 0.2100 | 0.1758 |
| 4 | 0.2892 | 0.2755 | 0.2194 |
| 5 | 0.3069 | 0.2771 | 0.2180 |
| 6 | 0.2764 | 0.1958 | 0.1641 |
| 7 | 0.2344 | 0.0105 | 0.1269 |
| 8 | 0.2578 | 0.0083 | −0.0248 |
| 9 | 0.1760 | 0.0388 | 0.1749 |
| Stand Height | Coniferous Forest | Mixed Forest | Deciduous Forest |
|---|---|---|---|
| <1 m | 0.265933 | 0.223774 | 0.161884 |
| 1 m~3 m | - | - | 0.188854 |
| 3 m~5 m | 0.281337 | - | 0.214682 |
| 5 m~7 m | 0.331499 | 0.250239 | 0.190586 |
| 7 m~9 m | 0.369788 | 0.292269 | 0.209928 |
| 9 m~11 m | 0.354763 | 0.297593 | 0.209792 |
| 11 m~13 m | 0.29981 | 0.268113 | 0.204229 |
| 13 m~15 m | 0.292085 | 0.266841 | 0.209849 |
| 15 m~17 m | 0.278269 | 0.260972 | 0.205337 |
| 17 m~19 m | 0.27741 | 0.257283 | 0.209153 |
| 19 m~21 m | 0.249992 | 0.256567 | 0.202448 |
| 21 m~23 m | 0.251108 | 0.240969 | 0.193343 |
| 23 m~25 m | 0.209828 | 0.24724 | 0.183911 |
| 25 m~27 m | 0.184732 | 0.223334 | 0.168423 |
| 27 m~29 m | 0.108739 | 0.214733 | 0.162872 |
| 29 m~31 m | 0.121076 | 0.108266 | 0.109958 |
| 31 m~33 m | 0.110393 | 0.117098 | 0.11102 |
| Diameter Class | Coniferous Forest | Mixed Forest | Deciduous Forest |
|---|---|---|---|
| 0 (Dominant small-diameter canopy cover >51%, DBH < 6 cm) | 0.2770 | 0.2477 | 0.1641 |
| 1 (Dominant small-diameter canopy cover >51%, 6 cm < DBH <18 cm) | 0.3424 | 0.2393 | 0.1865 |
| 2 (Dominant small-diameter canopy cover >51%, 18 cm < DBH <30 cm) | 0.2748 | 0.2774 | 0.2216 |
| 3 (Dominant small-diameter canopy cover >51%, 30 cm < DBH) | 0.2798 | 0.1432 | 0.1311 |
| Tree Density | Coniferous Forest | Mixed Forest | Deciduous Forest |
|---|---|---|---|
| Low stand density (Canopy cover ≤ 50%) | 0.2814 | 0.2430 | 0.1871 |
| Moderate stand density (51% ≤ Canopy cover ≤ 70%) | 0.2959 | 0.2590 | 0.1933 |
| High stand density (71% ≤ Canopy cover) | 0.2944 | 0.2692 | 0.2089 |
Disclaimer/Publisher’s Note: The statements, opinions and data contained in all publications are solely those of the individual author(s) and contributor(s) and not of MDPI and/or the editor(s). MDPI and/or the editor(s) disclaim responsibility for any injury to people or property resulting from any ideas, methods, instructions or products referred to in the content. |
© 2025 by the authors. Licensee MDPI, Basel, Switzerland. This article is an open access article distributed under the terms and conditions of the Creative Commons Attribution (CC BY) license (https://creativecommons.org/licenses/by/4.0/).
Share and Cite
Yi, T.; Lee, J. Evaluating and Predicting Wildfire Burn Severity Through Stand Structure and Seasonal NDVI: A Case Study of the March 2025 Uiseong Wildfire. Fire 2025, 8, 363. https://doi.org/10.3390/fire8090363
Yi T, Lee J. Evaluating and Predicting Wildfire Burn Severity Through Stand Structure and Seasonal NDVI: A Case Study of the March 2025 Uiseong Wildfire. Fire. 2025; 8(9):363. https://doi.org/10.3390/fire8090363
Chicago/Turabian StyleYi, Taewoo, and JunSeok Lee. 2025. "Evaluating and Predicting Wildfire Burn Severity Through Stand Structure and Seasonal NDVI: A Case Study of the March 2025 Uiseong Wildfire" Fire 8, no. 9: 363. https://doi.org/10.3390/fire8090363
APA StyleYi, T., & Lee, J. (2025). Evaluating and Predicting Wildfire Burn Severity Through Stand Structure and Seasonal NDVI: A Case Study of the March 2025 Uiseong Wildfire. Fire, 8(9), 363. https://doi.org/10.3390/fire8090363

