Field-Scale Maize Yield Estimation Using Remote Sensing with the Integration of Agronomic Traits
Abstract
1. Introduction
2. Materials and Methods
2.1. Overview of the Study Area
2.2. Data Acquisition and Preprocessing
2.2.1. Ground Data Collection
2.2.2. UAV Data
2.3. Construction of Vegetation Indices
2.4. Yield Prediction Model
2.5. Correlation Analysis
2.6. Accuracy Assessment
2.7. Model Validation Strategies
2.7.1. Random 5-Fold Cross-Validation
2.7.2. Group 6-Fold Cross-Validation
2.7.3. Leave-One-Treatment-Out (LOTO)
2.8. Technical Approach
3. Results
3.1. Descriptive Data Analysis
3.1.1. Spectral Analysis at Key Growth Stages
3.1.2. Correlation Between Vegetation Indices and Yield
3.1.3. Statistical Analysis of Agronomic Traits
3.2. Maize Yield Prediction Model Based on Remote Sensing Data
3.3. Yield Prediction Model with the Introduction of Agronomic Traits
3.4. Optimization of Yield Prediction Model by Introducing Vertical-Scale SPAD
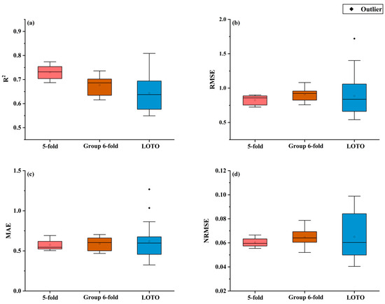
3.5. Statistical Evaluation of Model Configuration and Cross-Validation
4. Discussion
4.1. Advantages and Potential of Incorporating Agronomic Traits
4.2. Impact of Data Scale on Practical Applications
4.3. Potential Limitations and Error Analysis
5. Conclusions
Author Contributions
Funding
Data Availability Statement
Acknowledgments
Conflicts of Interest
References
- Yu, Z.; Ning, Z.; Chang, W.-Y.; Chang, S.J.; Yang, H. Optimal harvest decisions for the management of carbon sequestration forests under price uncertainty and risk preferences. For. Policy Econ. 2023, 151, 102957. [Google Scholar] [CrossRef]
- Ku, L.; Zhao, W.; Zhang, J.; Wu, L.; Wang, C.; Wang, P.; Zhang, W.; Chen, Y. Quantitative trait loci mapping of leaf angle and leaf orientation value in maize (Zea mays L.). Theor. Appl. Genet. 2010, 121, 951–959. [Google Scholar] [CrossRef]
- Yang, G.; Liu, J.; Zhao, C.; Li, Z.; Huang, Y.; Yu, H.; Xu, B.; Yang, X.; Zhu, D.; Zhang, X.; et al. Unmanned Aerial Vehicle Remote Sensing for Field-Based Crop Phenotyping: Current Status and Perspectives. Front. Plant Sci. 2017, 8, 1111. [Google Scholar] [CrossRef]
- Habiba, R.M.M.; El-Diasty, M.Z.; Aly, R.S.H. Combining abilities and genetic parameters for grain yield and some agronomic traits in maize (Zea mays L.). Beni-Suef Univ. J. Basic Appl. Sci. 2022, 11, 108. [Google Scholar] [CrossRef]
- Bolaños, J.; Edmeades, G. The importance of the anthesis-silking interval in breeding for drought tolerance in tropical maize. Field Crops Res. 1996, 48, 65–80. [Google Scholar] [CrossRef]
- Qin, X.; Feng, F.; Li, Y.; Xu, S.; Siddique, K.H.M.; Liao, Y.; Lübberstedt, T. Maize yield improvements in China: Past trends and future directions. Plant Breed. 2016, 135, 166–176. [Google Scholar] [CrossRef]
- Epule, T.E.; Chehbouni, A.; Dhiba, D. Recent Patterns in Maize Yield and Harvest Area across Africa. Agronomy 2022, 12, 374. [Google Scholar] [CrossRef]
- Ai, Z.; Hanasaki, N.; Heck, V.; Hasegawa, T.; Fujimori, S. Simulating second-generation herbaceous bioenergy crop yield using the global hydrological model H08 (v.bio1). Geosci. Model Dev. 2020, 13, 6077–6092. [Google Scholar] [CrossRef]
- Yang, H.; Dobermann, A.; Lindquist, J.L.; Walters, D.T.; Arkebauer, T.J.; Cassman, K.G. Hybrid-maize—A maize simulation model that combines two crop modeling approaches. Field Crops Res. 2004, 87, 131–154. [Google Scholar] [CrossRef]
- Folberth, C.; Yang, H.; Gaiser, T.; Abbaspour, K.C.; Schulin, R. Modeling maize yield responses to improvement in nutrient, water and cultivar inputs in sub-Saharan Africa. Agric. Syst. 2013, 119, 22–34. [Google Scholar] [CrossRef]
- Ye, D.; Wang, B.; Wu, L.; Del Rio-Chanona, E.A.; Sun, Z. PO-SRPP: A decentralized pivoting path planning method for self-reconfigurable satellites. IEEE Trans. Ind. Electron. 2024, 71, 14318–14327. [Google Scholar] [CrossRef]
- Xie, Y.; Sha, Z.; Yu, M. Remote sensing imagery in vegetation mapping: A review. J. Plant Ecol. 2008, 1, 9–23. [Google Scholar] [CrossRef]
- Mulder, V.L.; de Bruin, S.; Schaepman, M.E.; Mayr, T.R. The use of remote sensing in soil and terrain mapping—A review. Geoderma 2011, 162, 1–19. [Google Scholar] [CrossRef]
- Ustin, S.L.; Gamon, J.A. Remote sensing of plant functional types. New Phytol. 2010, 186, 795–816. [Google Scholar] [CrossRef]
- Prasad, A.K.; Chai, L.; Singh, R.P.; Kafatos, M. Crop yield estimation model for Iowa using remote sensing and surface parameters. Int. J. Appl. Earth Obs. Geoinf. 2006, 8, 26–33. [Google Scholar] [CrossRef]
- Saravia, D.; Salazar, W.; Valqui-Valqui, L.; Quille-Mamani, J.; Porras-Jorge, R.; Corredor, F.-A.; Barboza, E.; Vásquez, H.; Casas Diaz, A.; Arbizu, C. Yield Predictions of Four Hybrids of Maize (Zea mays) Using Multispectral Images Obtained from UAV in the Coast of Peru. Agronomy 2022, 12, 2630. [Google Scholar] [CrossRef]
- Wahab, I.; Hall, O.; Jirström, M. Remote Sensing of Yields: Application of UAV Imagery-Derived NDVI for Estimating Maize Vigor and Yields in Complex Farming Systems in Sub-Saharan Africa. Drones 2018, 2, 28. [Google Scholar] [CrossRef]
- Borrás, L.; Vitantonio-Mazzini, L.N. Maize reproductive development and kernel set under limited plant growth environments. J. Exp. Bot. 2018, 69, 3235–3243. [Google Scholar] [CrossRef]
- Vazin, F.; Hassanzadeh, M.; Madani, A.; Nassiri-Mahallati, M.; Nasri, M. Modeling light interception and distribution in mixed canopy of common cocklebur (Xanthium stramarium) in competition with corn. Planta Daninha 2010, 28, 455–462. [Google Scholar] [CrossRef]
- Nasar, J.; Khan, W.; Khan, M.Z.; Gitari, H.I.; Gbolayori, J.F.; Moussa, A.A.; Mandozai, A.; Rizwan, N.; Anwari, G.; Maroof, S.M. Photosynthetic Activities and Photosynthetic Nitrogen Use Efficiency of Maize Crop Under Different Planting Patterns and Nitrogen Fertilization. J. Soil Sci. Plant Nutr. 2021, 21, 2274–2284. [Google Scholar] [CrossRef]
- Jjagwe, J.; Chelimo, K.; Karungi, J.; Komakech, A.J.; Lederer, J. Comparative Performance of Organic Fertilizers in Maize (Zea mays L.) Growth, Yield, and Economic Results. Agronomy 2020, 10, 69. [Google Scholar] [CrossRef]
- Gardner, F.P.; Pearce, R.B.; Mitchell, R.L. Physiology of Crop Plants; Scientific Publishers: Jodhpur, India, 2017. [Google Scholar]
- Pendleton, J.W.; Smith, G.E.; Winter, S.R.; Johnston, T.J. Field Investigations of the Relationships of Leaf Angle in Corn (Zea mays L.) to Grain Yield and Apparent Photosynthesis. Agron. J. 1968, 60, 422–424. [Google Scholar] [CrossRef]
- Kandel, B.P. Spad value varies with age and leaf of maize plant and its relationship with grain yield. BMC Res. Notes 2020, 13, 475. [Google Scholar] [CrossRef] [PubMed]
- Bernhard, B.J.; Below, F.E. Plant population and row spacing effects on corn: Plant growth, phenology, and grain yield. Agron. J. 2020, 112, 2456–2465. [Google Scholar] [CrossRef]
- Yu, C.L.; Hui, D.; Deng, Q.; Wang, J.; Reddy, K.C.; Dennis, S. Responses of corn physiology and yield to six agricultural practices over three years in middle Tennessee. Sci. Rep. 2016, 6, 27504. [Google Scholar] [CrossRef]
- Fassnacht, F.E.; White, J.C.; Wulder, M.A.; Næsset, E.; Achim, A. Remote sensing in forestry: Current challenges, considerations and directions. For. Int. J. For. Res. 2024, 97, 11–37. [Google Scholar] [CrossRef]
- Wiegand, C.L.; Richardson, A.J.; Kanemasu, E.T. Leaf Area Index Estimates for Wheat from LANDSAT and Their Implications for Evapotranspiration and Crop Modeling. Agron. J. 1979, 71, 336–342. [Google Scholar] [CrossRef]
- Luo, S.; Jiang, X.; Jiao, W.; Yang, K.; Li, Y.; Fang, S. Remotely sensed prediction of rice yield at different growth durations using UAV multispectral imagery. Agriculture 2022, 12, 1447. [Google Scholar] [CrossRef]
- Han, X.; Wei, Z.; Chen, H.; Zhang, B.; Li, Y.; Du, T. Inversion of winter wheat growth parameters and yield under different water treatments based on UAV multispectral remote sensing. Front. Plant Sci. 2021, 12, 609876. [Google Scholar] [CrossRef]
- Guo, Y.; Zhang, X.; Chen, S.; Wang, H.; Jayavelu, S.; Cammarano, D.; Fu, Y. Integrated UAV-based multi-source data for predicting maize grain yield using machine learning approaches. Remote Sens. 2022, 14, 6290. [Google Scholar] [CrossRef]
- Sharma, V.; Honkavaara, E.; Hayden, M.; Kant, S. UAV remote sensing phenotyping of wheat collection for response to water stress and yield prediction using machine learning. Plant Stress 2024, 12, 100464. [Google Scholar] [CrossRef]
- Liu, T.; Wu, F.; Mou, N.; Zhu, S.; Yang, T.; Zhang, W.; Wang, H.; Wu, W.; Zhao, Y.; Sun, C. The estimation of wheat yield combined with UAV canopy spectral and volumetric data. Food Energy Secur. 2024, 13, e527. [Google Scholar] [CrossRef]
- Liu, Y.; Feng, H.; Fan, Y.; Yue, J.; Yang, F.; Fan, J.; Ma, Y.; Chen, R.; Bian, M.; Yang, G. Utilizing UAV-based hyperspectral remote sensing combined with various agronomic traits to monitor potato growth and estimate yield. Comput. Electron. Agric. 2025, 231, 109984. [Google Scholar] [CrossRef]
- Sebastiani, A.; Salvati, R.; Manes, F. Comparing leaf area index estimates in a Mediterranean forest using field measurements, Landsat 8, and Sentinel-2 data. Ecol. Process. 2023, 12, 28. [Google Scholar] [CrossRef]
- Shah, S.; Houborg, R.; McCabe, M. Response of Chlorophyll, Carotenoid and SPAD-502 Measurement to Salinity and Nutrient Stress in Wheat (Triticum aestivum L.). Agronomy 2017, 7, 61. [Google Scholar] [CrossRef]
- Lu, X.; Gao, H.; Liu, H. Effects of Different Water and Nitrogen Treatments on Corn. Int. Core J. Eng. 2021, 7, 593–602. [Google Scholar]
- Wang, Z.; Ling, J.; Liu, Z.; Zhao, D.; Li, Z.; Zhou, S.; Yuan, X.; Li, X.; Wen, Y. Effect of straw return practices on soil physico-chemical properties and maize yield. Chin. J. Eco-Agric. 2024, 32, 663–674. [Google Scholar] [CrossRef]
- Li, W.; Wang, J.; Zhang, Y.; Yin, Q.; Wang, W.; Zhou, G.; Huo, Z. Combining Texture, Color, and Vegetation Index from Unmanned Aerial Vehicle Multispectral Images to Estimate Winter Wheat Leaf Area Index during the Vegetative Growth Stage. Remote Sens. 2023, 15, 5715. [Google Scholar] [CrossRef]
- Yang, D. Gobi vegetation recognition based on low-altitude photogrammetry images of UAV. IOP Conf. Ser. Earth Environ. Sci. 2018, 186, 012053. [Google Scholar]
- Khanal, S.; Fulton, J.; Klopfenstein, A.; Douridas, N.; Shearer, S. Integration of high resolution remotely sensed data and machine learning techniques for spatial prediction of soil properties and corn yield. Comput. Electron. Agric. 2018, 153, 213–225. [Google Scholar] [CrossRef]
- Guo, A.; Ye, H.; Huang, W.; Qian, B.; Wang, J.; Lan, Y.; Wang, S. Inversion of maize leaf area index from UAV hyperspectral and multispectral imagery. Comput. Electron. Agric. 2023, 212, 108020. [Google Scholar] [CrossRef]
- Montero, D.; Aybar, C.; Mahecha, M.D.; Martinuzzi, F.; Söchting, M.; Wieneke, S. A standardized catalogue of spectral indices to advance the use of remote sensing in Earth system research. Sci. Data 2023, 10, 197. [Google Scholar] [CrossRef]
- Mishra, S.; Mishra, D.R. Normalized difference chlorophyll index: A novel model for remote estimation of chlorophyll-a concentration in turbid productive waters. Remote Sens. Environ. 2012, 117, 394–406. [Google Scholar] [CrossRef]
- Zheng, Z.; Yuan, J.; Yao, W.; Kwan, P.; Yao, H.; Liu, Q.; Guo, L. Fusion of UAV-acquired visible images and multispectral data by applying machine-learning methods in crop classification. Agronomy 2024, 14, 2670. [Google Scholar] [CrossRef]
- Park, B.; Kim, C.H.; Jun, J.K.; Suh, M.; Choi, K.S.; Choi, I.J.; Oh, H.J. A machine learning risk prediction model for gastric cancer with SHapley Additive exPlanations. Cancer Res. Treat. 2024, 57, 821–829. [Google Scholar] [CrossRef]
- Nyongesa, C.A.; Hogarth, M.; Pa, J. Artificial intelligence-driven natural language processing for identifying linguistic patterns in Alzheimer’s disease and mild cognitive impairment: A study of lexical, syntactic, and cohesive features of speech through picture description tasks. J. Alzheimer’s Dis. 2025, 106, 13872877251339756. [Google Scholar] [CrossRef] [PubMed]
- Janse, R.J.; Hoekstra, T.; Jager, K.J.; Zoccali, C.; Tripepi, G.; Dekker, F.W.; Van Diepen, M. Conducting correlation analysis: Important limitations and pitfalls. Clin. Kidney J. 2021, 14, 2332–2337. [Google Scholar] [CrossRef]
- Sejuti, Z.A.; Islam, M.S. A hybrid CNN–KNN approach for identification of COVID-19 with 5-fold cross validation. Sens. Int. 2023, 4, 100229. [Google Scholar] [CrossRef] [PubMed]
- Wolcott, N.S.; Sit, K.K.; Raimondi, G.; Hodges, T.; Shansky, R.M.; Galea, L.A.; Ostroff, L.E.; Goard, M.J. Automated classification of estrous stage in rodents using deep learning. Sci. Rep. 2022, 12, 17685. [Google Scholar] [CrossRef]
- Krupp, L.; Wiede, C.; Friedhoff, J.; Grabmaier, A. Explainable remaining tool life prediction for individualized production using automated machine learning. Sensors 2023, 23, 8523. [Google Scholar] [CrossRef]
- Wang, X.; Wang, G.; Guo, T.; Xing, Y.; Mo, F.; Wang, H.; Fan, J.; Zhang, F. Effects of plastic mulch and nitrogen fertilizer on the soil microbial community, enzymatic activity and yield performance in a dryland maize cropping system. Eur. J. Soil Sci. 2020, 72, 400–412. [Google Scholar] [CrossRef]
- Wang, K.; Han, Y.; Zhang, Y.; Zhang, Y.; Wang, S.; Yang, F.; Liu, C.; Zhang, D.; Lu, T.; Zhang, L.; et al. Maize yield prediction with trait-missing data via bipartite graph neural network. Front. Plant Sci. 2024, 15, 1433552. [Google Scholar] [CrossRef] [PubMed]
- Kipkulei, H.K.; Bellingrath-Kimura, S.D.; Lana, M.; Ghazaryan, G.; Baatz, R.; Matavel, C.; Boitt, M.K.; Chisanga, C.B.; Rotich, B.; Moreira, R.M.; et al. Maize yield prediction and condition monitoring at the sub-county scale in Kenya: Synthesis of remote sensing information and crop modeling. Sci. Rep. 2024, 14, 14227. [Google Scholar] [CrossRef]
- Mokhtari, A.; Noory, H.; Vazifedoust, M. Improving crop yield estimation by assimilating LAI and inputting satellite-based surface incoming solar radiation into SWAP model. Agric. For. Meteorol. 2018, 250–251, 159–170. [Google Scholar] [CrossRef]
- Li, S.; Yuan, F.; Ata-Ui-Karim, S.T.; Zheng, H.; Cheng, T.; Liu, X.; Tian, Y.; Zhu, Y.; Cao, W.; Cao, Q. Combining Color Indices and Textures of UAV-Based Digital Imagery for Rice LAI Estimation. Remote Sens. 2019, 11, 1763. [Google Scholar] [CrossRef]
- Hufford, M.B.; Seetharam, A.S.; Woodhouse, M.R.; Chougule, K.M.; Ou, S.; Liu, J.; Ricci, W.A.; Guo, T.; Olson, A.; Qiu, Y.; et al. De novo assembly, annotation, and comparative analysis of 26 diverse maize genomes. Science 2021, 373, 655–662. [Google Scholar] [CrossRef] [PubMed]
- Xue-jun, C.; Guang-cai, C.; Qun, S.; Dong-bin, W.; Jing, C.; Ya-xiong, Y.U.; Jie, L.; Wei, L. Altitude effects on maize growth period and quality traits. Acta Ecol. Sin. 2013, 33, 233–236. [Google Scholar] [CrossRef]
- Queiroz, M.S.; Oliveira, C.E.S.; Steiner, F.; Zuffo, A.M.; Zoz, T.; Vendruscolo, E.P.; Silva, M.V.; Mello, B.F.F.R.; Cabral, R.C.; Menis, F.T. Drought Stresses on Seed Germination and Early Growth of Maize and Sorghum. J. Agric. Sci. 2019, 11, 310–318. [Google Scholar] [CrossRef]
- Vadez, V.; Grondin, A.; Chenu, K.; Henry, A.; Laplaze, L.; Millet, E.J.; Carminati, A. Crop traits and production under drought. Nat. Rev. Earth Environ. 2024, 5, 211–225. [Google Scholar] [CrossRef]
- Ma, W.; Han, W.; Zhang, H.; Cui, X.; Zhai, X.; Zhang, L.; Shao, G.; Niu, Y.; Huang, S. UAV multispectral remote sensing for the estimation of SPAD values at various growth stages of maize under different irrigation levels. Comput. Electron. Agric. 2024, 227, 109566. [Google Scholar] [CrossRef]
- Zhang, S.; Zhao, G.; Lang, K.; Su, B.; Chen, X.; Xi, X.; Zhang, H. Integrated satellite, unmanned aerial vehicle (UAV) and ground inversion of the SPAD of winter wheat in the reviving stage. Sensors 2019, 19, 1485. [Google Scholar] [CrossRef]
- Yan, J.; Tan, F.; Li, C.; Jin, S.; Zhang, C.; Gao, P.; Xu, W. Stem–Leaf segmentation and phenotypic trait extraction of individual plant using a precise and efficient point cloud segmentation network. Comput. Electron. Agric. 2024, 220, 108839. [Google Scholar] [CrossRef]
- Qiao, G.; Zhang, Z.; Niu, B.; Han, S.; Yang, E. Plant stem and leaf segmentation and phenotypic parameter extraction using neural radiance fields and lightweight point cloud segmentation networks. Front. Plant Sci. 2025, 16, 1491170. [Google Scholar] [CrossRef]
- Liu, Y.; Nie, C.; Zhang, Z.; Wang, Z.; Ming, B.; Xue, J.; Yang, H.; Xu, H.; Meng, L.; Cui, N.; et al. Evaluating how lodging affects maize yield estimation based on UAV observations. Front. Plant Sci. 2022, 13, 979103. [Google Scholar] [CrossRef]
- García-Martínez, H.; Flores-Magdaleno, H.; Ascencio-Hernández, R.; Khalil-Gardezi, A.; Tijerina-Chávez, L.; Mancilla-Villa, O.R.; Vázquez-Peña, M.A. Corn Grain Yield Estimation from Vegetation Indices, Canopy Cover, Plant Density, and a Neural Network Using Multispectral and RGB Images Acquired with Unmanned Aerial Vehicles. Agriculture 2020, 10, 277. [Google Scholar] [CrossRef]
- Deng, L.; Mao, Z.; Li, X.; Hu, Z.; Duan, F.; Yan, Y. UAV-based multispectral remote sensing for precision agriculture: A comparison between different cameras. ISPRS J. Photogramm. Remote Sens. 2018, 146, 124–136. [Google Scholar] [CrossRef]
- Bongianino, N.F.; Steffolani, M.E.; Morales, C.D.; Biasutti, C.A.; León, A.E. Semi-Arid Environmental Conditions and Agronomic Traits Impact on the Grain Quality of Diverse Maize Genotypes. Plants 2024, 13, 2482. [Google Scholar] [CrossRef] [PubMed]
- Tittonell, P.; Shepherd, K.D.; Vanlauwe, B.; Giller, K.E. Unravelling the effects of soil and crop management on maize productivity in smallholder agricultural systems of western Kenya—An application of classification and regression tree analysis. Agric. Ecosyst. Environ. 2008, 123, 137–150. [Google Scholar] [CrossRef]
- Djaman, K.; Allen, S.; Djaman, D.S.; Koudahe, K.; Irmak, S.; Puppala, N.; Darapuneni, M.K.; Angadi, S.V. Planting date and plant density effects on maize growth, yield and water use efficiency. Environ. Chall. 2022, 6, 100417. [Google Scholar] [CrossRef]
- Huang, S.; Gao, Y.; Li, Y.; Xu, L.; Tao, H.; Wang, P. Influence of plant architecture on maize physiology and yield in the Heilonggang River valley. Crop J. 2017, 5, 52–62. [Google Scholar] [CrossRef]
- Haque, M.A.; Sakimin, S.Z. Planting Arrangement and Effects of Planting Density on Tropical Fruit Crops—A Review. Horticulturae 2022, 8, 485. [Google Scholar] [CrossRef]












| Trait | Physiological Significance | Measurement Protocol | References |
|---|---|---|---|
| LAI | Leaf area index, direct indicator of canopy light interception capacity | LAI-2200C | [35] |
| SPAD | Chlorophyll content proxy, correlates with photosynthetic rate | SPAD-502 | [36] |
| PH | Plant height, integrates growth vigor and lodging resistance | Plant Height Ruler | [37] |
| SD | Stem Diameter, mechanical support and drought resilience indicator | Vernier Caliper | [37] |
| Shooting Time | Growth Stage | Flight Altitude | Speed | Overlap | Spatial Resolution |
|---|---|---|---|---|---|
| 4 June 2024 | V6 | 50 m | 5 m/s | 85% | 80% |
| 28 July 2024 | VT | 50 m | 5 m/s | 85% | 80% |
| 10 August 2024 | R3 | 50 m | 3 m/s | 85% | 80% |
| 20 August 2024 | R4 | 50 m | 5 m/s | 85% | 80% |
| 25 September 2024 | R6 | 50 m | 5 m/s | 85% | 80% |
| Name | Index | Formula | Threshold Value |
|---|---|---|---|
| Normalized Green Difference Vegetation Index | GNDVI | [−1, 1] | |
| Normalized Difference Vegetation Index | NDVI | [−1, 1] | |
| Normalized Difference Red Edge Index | NDRE | [−1, 1] | |
| Ratio Vegetation Index | RVI | — | |
| Soil Adjusted Vegetation Index | SAVI | [−1, 1] | |
| Optimized Soil-Adjusted Vegetation Ind | OSAVI | [−1, 1] | |
| Visible Difference Vegetation Index | VDVI | [−1, 1] | |
| Normalized Green–Blue Difference Index | NGBDI | [−1, 1] | |
| Structure-Insensitive Pigment Index | SIPI | [0, 2] | |
| Normalized Difference Chlorophyll Index | NDCI | [−1, 1] |
| R-Value Range | Correlation Strength | Citation |
|---|---|---|
| 0.0–0.2 | very weakly correlated | [47] |
| 0.2–0.4 | weak correlated | [47] |
| 0.4–0.6 | moderate correlated | [47] |
| 0.6–0.8 | strong correlated | [47] |
| 0.8–1.0 | extremely strong correlated | [47] |
| VI | R2 | RMSE | MAE | NRMSE |
|---|---|---|---|---|
| VDVI | 0.30 | 1.24 | 0.99 | 0.1003 |
| SIPI | 0.23 | 1.30 | 1.07 | 0.1047 |
| OSAVI | 0.29 | 1.23 | 0.93 | 0.1025 |
| NDCI | 0.17 | 1.35 | 1.15 | 0.1156 |
| NGBDI | 0.16 | 1.35 | 1.11 | 0.1135 |
| NDVI | 0.42 | 1.15 | 0.94 | 0.0956 |
| GNDVI | 0.53 | 1.13 | 0.83 | 0.0947 |
| NDRE | 0.54 | 1.11 | 0.88 | 0.0931 |
| RVI | 0.33 | 1.21 | 1.02 | 0.1027 |
| SAVI | 0.31 | 1.22 | 1.09 | 0.0993 |
| VI | Agronomic Traits | Period | R2 | RMSE | MAE | NRMSE |
|---|---|---|---|---|---|---|
| NDRE | PH | V6 | 0.52 ± 0.0109 | 1.0457 ± 0.0109 | 0.7574 ± 0.0108 | 0.0824 ± 0.005 |
| PH | VT | 0.44 ± 0.0091 | 1.1095 ± 0.0156 | 0.8126 ± 0.0127 | 0.0886 ± 0.004 | |
| PH | R3 | 0.49 ± 0.0105 | 0.9527 ± 0.0103 | 0.8797 ± 0.0099 | 0.0836 ± 0.004 | |
| PH | R6 | 0.48 ± 0.0087 | 1.0634 ± 0.0089 | 0.8962 ± 0.0089 | 0.0847 ± 0.003 | |
| NDRE | SD | V6 | 0.52 ± 0.0057 | 1.0379 ± 0.0076 | 0.7595 ± 0.0138 | 0.0822 ± 0.003 |
| SD | VT | 0.54 ± 0.0107 | 1.0038 ± 0.0088 | 0.7364 ± 0.0156 | 0.0788 ± 0.004 | |
| SD | R3 | 0.50 ± 0.0018 | 0.9474 ± 0.0082 | 0.6918 ± 0.0105 | 0.0888 ± 0.004 | |
| SD | R6 | 0.49 ± 0.0047 | 0.9661 ± 0.0054 | 0.8967 ± 0.0078 | 0.0944 ± 0.003 | |
| NDRE | LAI | V6 | 0.48 ± 0.0138 | 1.0663 ± 0.0106 | 0.8342 ± 0.0101 | 0.0833 ± 0.004 |
| LAI | VT | 0.50 ± 0.0108 | 0.9436 ± 0.0095 | 0.7645 ± 0.0132 | 0.0843 ± 0.002 | |
| LAI | R3 | 0.56 ± 0.0086 | 1.0062 ± 0.0099 | 0.7675 ± 0.0071 | 0.0946 ± 0.003 | |
| NDRE | SPAD | V6 | 0.54 ± 0.0086 | 1.0035 ± 0.0086 | 0.7925 ± 0.0101 | 0.0763 ± 0.001 |
| SPAD | VT | 0.51 ± 0.0075 | 1.0468 ± 0.0106 | 0.7496 ± 0.0089 | 0.0867 ± 0.002 | |
| SPAD | R3 | 0.64 ± 0.0045 | 0.9126 ± 0.0103 | 0.7324 ± 0.0121 | 0.0845 ± 0.003 | |
| SPAD | R6 | 0.52 ± 0.0092 | 1.0386 ± 0.0119 | 0.7068 ± 0.0091 | 0.0846 ± 0.002 |
| VI | Agronomic Traits | R2 | RMSE | MAE | NRMSE |
|---|---|---|---|---|---|
| NDRE | PH + SD | 0.59 ± 0.0105 | 0.9837 ± 0.0156 | 0.7245 ± 0.0162 | 0.0782 ± 0.0009 |
| PH + LAI | 0.56 ± 0.0097 | 0.9537 ± 0.0116 | 0.7855 ± 0.0099 | 0.0716 ± 0.0009 | |
| PH + SPAD | 0.61 ± 0.0095 | 0.9282 ± 0.0184 | 0.7063 ± 0.0076 | 0.0833 ± 0.0006 | |
| SD + LAI | 0.58 ± 0.0084 | 0.9634 ± 0.0084 | 0.7353 ± 0.0102 | 0.0739 ± 0.0007 | |
| SD + SPAD | 0.61 ± 0.0105 | 0.9231 ± 0.0111 | 0.7273 ± 0.0098 | 0.0952 ± 0.0006 | |
| LAI + SPAD | 0.69 ± 0.0075 | 0.8957 ± 0.0103 | 0.7412 ± 0.0047 | 0.0776 ± 0.0008 | |
| NDRE | SD + PH + LAI | 0.59 ± 0.0097 | 0.8782 ± 0.0128 | 0.7524 ± 0.0092 | 0.0742 ± 0.0009 |
| SD + PH + SPAD | 0.63 ± 0.0087 | 0.8945 ± 0.0117 | 0.6645 ± 0.092 | 0.0786 ± 0.0009 | |
| LAI + PH + SPAD | 0.62 ± 0.0103 | 0.9175 ± 0.0143 | 0.6552 ± 0.0079 | 0.0943 ± 0.0008 | |
| SD + LAI + SPAD | 0.63 ± 0.0094 | 0.9057 ± 0.0111 | 0.6904 ± 0.0074 | 0.0783 ± 0.0003 | |
| NDRE | LAI + PH + SPAD + SD | 0.65 ± 0.0082 | 0.8712 ± 0.0128 | 0.6234 ± 0.0053 | 0.0621 ± 0.0009 |
| VI | Agronomic Traits | Period | R2 | RMSE | MAE | NRMSE |
|---|---|---|---|---|---|---|
| NDRE | LAI + SPAD Upper | VT | 0.59 ± 0.0037 | 0.9674 ± 0.0084 | 0.8442 ± 0.0073 | 0.0775 ± 0.0007 |
| LAI + SPAD Middle | VT | 0.56 ± 0.0097 | 0.9808 ± 0.0119 | 0.8665 ± 0.0165 | 0.0783 ± 0.0008 | |
| LAI + SPAD Lower | VT | 0.56 ± 0.0075 | 0.9878 ± 0.0115 | 0.7356 ± 0.0160 | 0.0785 ± 0.0009 | |
| LAI + SPAD Upper | R3 | 0.70 ± 0.0095 | 0.9333 ± 0.0094 | 0.7522 ± 0.0159 | 0.0698 ± 0.0010 | |
| LAI + SPAD Middle | R3 | 0.74 ± 0.0097 | 0.8678 ± 0.0143 | 0.6222 ± 0.0263 | 0.0613 ± 0.0011 | |
| LAI + SPAD Lower | R3 | 0.65 ± 0.0079 | 0.9351 ± 0.0109 | 0.7471 ± 0.0055 | 0.0741 ± 0.0009 | |
| LAI + SPAD Upper | R6 | 0.60 ± 0.0016 | 0.9346 ± 0.0019 | 0.7464 ± 0.0027 | 0.0739 ± 0.0001 | |
| LAI + SPAD Middle | R6 | 0.65 ± 0.0094 | 0.8957 ± 0.0110 | 0.7121 ± 0.0092 | 0.0711 ± 0.0009 | |
| LAI + SPAD Lower | R6 | 0.54 ± 0.0103 | 0.9937 ± 0.0117 | 0.7522 ± 0.0159 | 0.0698 ± 0.0010 |
Disclaimer/Publisher’s Note: The statements, opinions and data contained in all publications are solely those of the individual author(s) and contributor(s) and not of MDPI and/or the editor(s). MDPI and/or the editor(s) disclaim responsibility for any injury to people or property resulting from any ideas, methods, instructions or products referred to in the content. |
© 2025 by the authors. Licensee MDPI, Basel, Switzerland. This article is an open access article distributed under the terms and conditions of the Creative Commons Attribution (CC BY) license (https://creativecommons.org/licenses/by/4.0/).
Share and Cite
Bao, S.; Wang, Y.; Ma, S.; Liu, H.; Xue, X.; Ma, Y.; Zhang, M.; Wang, D. Field-Scale Maize Yield Estimation Using Remote Sensing with the Integration of Agronomic Traits. Agriculture 2025, 15, 1834. https://doi.org/10.3390/agriculture15171834
Bao S, Wang Y, Ma S, Liu H, Xue X, Ma Y, Zhang M, Wang D. Field-Scale Maize Yield Estimation Using Remote Sensing with the Integration of Agronomic Traits. Agriculture. 2025; 15(17):1834. https://doi.org/10.3390/agriculture15171834
Chicago/Turabian StyleBao, Shuai, Yiang Wang, Shinai Ma, Huanjun Liu, Xiyu Xue, Yuxin Ma, Mingcong Zhang, and Dianyao Wang. 2025. "Field-Scale Maize Yield Estimation Using Remote Sensing with the Integration of Agronomic Traits" Agriculture 15, no. 17: 1834. https://doi.org/10.3390/agriculture15171834
APA StyleBao, S., Wang, Y., Ma, S., Liu, H., Xue, X., Ma, Y., Zhang, M., & Wang, D. (2025). Field-Scale Maize Yield Estimation Using Remote Sensing with the Integration of Agronomic Traits. Agriculture, 15(17), 1834. https://doi.org/10.3390/agriculture15171834

