Sign in to use this feature.

Years

Between: -

Subjects

remove_circle_outline
remove_circle_outline
remove_circle_outline
remove_circle_outline
remove_circle_outline
remove_circle_outline
remove_circle_outline
remove_circle_outline
remove_circle_outline

Journals

Article Types

Countries / Regions

Search Results (188)

Search Parameters:
Keywords = cable equation

Order results
Result details
Results per page
Select all
Export citation of selected articles as:
17 pages, 5640 KB  
Article
Effects of Cold Work and Artificial Aging on Microabrasive Wear of 6201 Aluminum Conductor
by Paul Andre, Clayton Rovigatti Leiva, José Alexander Araújo, Jorge Luiz de Almeida Ferreira and Cosme Roberto Moreira da Silva
Metals 2026, 16(3), 278; https://doi.org/10.3390/met16030278 - 28 Feb 2026
Viewed by 106
Abstract
Aluminum conductor cables are exposed to environmental conditions in service, where wind-induced vibrations generate multiaxial stresses and cause partial sliding between the stranded layers. Such dynamic loading can lead to fatigue or wear failure, particularly at the contact zones between wire layers. The [...] Read more.
Aluminum conductor cables are exposed to environmental conditions in service, where wind-induced vibrations generate multiaxial stresses and cause partial sliding between the stranded layers. Such dynamic loading can lead to fatigue or wear failure, particularly at the contact zones between wire layers. The influence of heat treatment and cold work on the wear of these aluminum wires remains unstudied. This work aims to evaluate the microabrasive wear of rolled and heat-treated 6201 aluminum alloy wires used in conductor cables. The wear tests were performed using free-ball microabrasive wear equipment and alumina (Al2O3) abrasive paste at a concentration of 0.40 g/mL of distilled water. The parameters used were as follows: 100 Cr6 steel balls with a diameter of 25.4 mm, sample inclination of 60°, normal force of 0.3 N, and shaft speed of 0.185 m/s or 280 rpm. The test time was set at 20 min, 30 min, 40 min, 50 min, and 60 min. The wear test data were processed using the Achard equation. The microabrasive wear test results indicate that the wear coefficient decreased by 19.1% after the artificial aging process, compared with the solution-treated alloy (95% CI: 15.5–22.3%), and this reduction was statistically significant (p < 0.001). After the combined treatment of rolling and artificial aging, the alloy had a drop in wear coefficient of 36.1% compared to the same solution-treated alloy (95% CI: 32.6–39.6%), representing the largest statistically significant improvement among the tested conditions (p < 0.001). Cold work (rolling) reduces the mobility of dislocations, requiring greater stress to deform the material, thereby increasing its stiffness and wear resistance. In this 6201 alloy, it is inferred that artificial aging led to the formation of Guinier-Preston zones, which evolved into the formation of metastable β” precipitates in needle-like form, coherent with the matrix. As the aging process progresses, the β’ particles evolve into larger β particles that are no longer coherent with the matrix. The combined processes of rolling and aging decrease the wear coefficient. Statistical analysis demonstrated that microstructural conditions explain approximately half of the total variability in the wear coefficient (η2 = 0.495), indicating that the wear performance under the present experimental configuration is primarily governed by intrinsic strengthening mechanisms rather than experimental variability. Full article
Show Figures

Figure 1

16 pages, 2553 KB  
Article
Dynamic Analysis of Transmission Wire Impact on Hanging Net Shielding System
by Qiang Liu, Xi Zheng, Qiuhan Zhang, Yongjian Bian and Zuqing Yu
Designs 2026, 10(1), 21; https://doi.org/10.3390/designs10010021 - 17 Feb 2026
Viewed by 218
Abstract
The hanging net shielding system, employing a suspended cage-type enclosed structure to restrict the high-voltage transmission wire, has seen increasingly widespread application in transmission line crossing construction. However, the lack of a comprehensive dynamic analysis methodology has limited the standardization of its design [...] Read more.
The hanging net shielding system, employing a suspended cage-type enclosed structure to restrict the high-voltage transmission wire, has seen increasingly widespread application in transmission line crossing construction. However, the lack of a comprehensive dynamic analysis methodology has limited the standardization of its design and usage. In this investigation, a systematical dynamic modeling and analysis procedure of the hanging net shielding system is proposed based on the absolute nodal coordinate formulation (ANCF). The carrier cable, slings and transmission wire are discretized by the ANCF cable element. The spatial flexible beam–beam contact model and the assumption of a single contact area are adopted to perform the contact searching between the transmission wire and the horizontal pulley. The system dynamics analysis equation is assembled and solved by generalized alpha method. A full-scale model is simulated for the transmission wire impact condition and the variation history of the tension in carrier cable and the sling cable are given. The peak value of the tension in carrier cable could be 110 kN, while the largest tension in sling cable is 9 kN. Results could help to ensure construction safety, shorten the design cycle of the protection system and reduce the development cost at the same time. Full article
Show Figures

Figure 1

21 pages, 4796 KB  
Article
Experimental and Theoretical Study on the Stability of Submarine Cable Covered by Articulated Concrete Mattresses on Flat Hard Seabed Under the Action of Currents
by Ke Chen, Huakun Wang, Chiyuan Xu, Dawei Guan, Guokai Yuan, Chengyu Liu, Hongqing Wang and Can Zheng
J. Mar. Sci. Eng. 2026, 14(1), 104; https://doi.org/10.3390/jmse14010104 - 5 Jan 2026
Viewed by 475
Abstract
The safe and stable operation of submarine cables is a critical issue in offshore wind power engineering. This study presents an experimental and theoretical study on the stability of submarine cable protected by a sleeve (SCPS) with Articulated Concrete Mattresses (ACMs) protection on [...] Read more.
The safe and stable operation of submarine cables is a critical issue in offshore wind power engineering. This study presents an experimental and theoretical study on the stability of submarine cable protected by a sleeve (SCPS) with Articulated Concrete Mattresses (ACMs) protection on a flat hard seabed under current conditions. The instability modes of the SCPS–ACMs were identified, and the effects of the number of spans, cover spacing, and ACMs length on the critical instability velocity were investigated. The experimental results indicate that the primary instability mode of the SCPS–ACMs is the overall slip mode. An increase in cover spacing enlarges the exposure scale of the SCPS in the flow environment, thereby reducing the critical velocity. Employing at least two spans effectively mitigates the boundary effect induced by the flow past the SCPS at its ends, thus ensuring the reliability of the experimental model. The critical velocity is fundamentally determined by the dimensionless parameter—the ACMs coverage ratio (incorporating both the ACMs length and cover spacing). Based on the experimental results and force analysis, a theoretical equation reflecting the intrinsic relationship between the ACMs’ cover spacing and critical velocity was established. Key parameters in the equation, such as the friction coefficient, hydrodynamic coefficients (including the lift coefficient and drag coefficient), and weight distribution coefficients, were determined. Finally, the theoretical results were validated against the experimental data, showing a good agreement and verifying the reliability of the theoretical formula. The findings of this research can provide crucial support for the optimal design of ACMs protection schemes for submarine cables on the hard seabed. Full article
Show Figures

Figure 1

19 pages, 5167 KB  
Article
Safety Support Design and Sustainable Guarantee Method for Gob-Side Roadway Along Thick Coal Seams
by Peng Huang, Bo Wu, Erkan Topal, Hu Shao, Zhenjiang You, Shuxuan Ma and Ruirui Chen
Sustainability 2026, 18(1), 346; https://doi.org/10.3390/su18010346 - 29 Dec 2025
Viewed by 338
Abstract
Maintaining the stability of the mine roadway is of paramount importance, as it is critical in ensuring the daily operational continuity, personnel safety, long-term economic viability, and sustainability of the entire mining operation. Significant instability can trigger serious disruptions—such as production stoppages, equipment [...] Read more.
Maintaining the stability of the mine roadway is of paramount importance, as it is critical in ensuring the daily operational continuity, personnel safety, long-term economic viability, and sustainability of the entire mining operation. Significant instability can trigger serious disruptions—such as production stoppages, equipment damage, and severe safety incidents—which ultimately compromise the project’s financial returns and future prospects. Therefore, the proactive assessment and rigorous control of roadway stability constitute a foundational element of successful and sustainable resource extraction. In China, thick and extra-thick coal seams constitute over 44% of the total recoverable coal reserves. Consequently, their safe and efficient extraction is considered vital in guaranteeing energy security and enhancing the efficiency of resource utilization. The surrounding rock of gob-side roadways in typical coal seams is often fractured due to high ground stress, intensive mining disturbances, and overhanging goaf roofs. Consequently, asymmetric failure patterns such as bolt failure, steel belt tearing, anchor cable fracture, and shoulder corner convergence are common in these entries, which pose a serious threat to mine safety and sustainable mining operations. This deformation and failure process is associated with several parameters, including the coal seam thickness, mining technology, and surrounding rock properties, and can lead to engineering hazards such as roof subsidence, rib spalling, and floor heave. This study proposes countermeasures against asymmetric deformation affecting gob-side entries under intensive mining pressure during the fully mechanized caving of extra-thick coal seams. This research selects the 8110 working face of a representative coal mine as the case study. Through integrated field investigation and engineering analysis, the principal factors governing entry stability are identified, and effective control strategies are subsequently proposed. An elastic foundation beam model is developed, and the corresponding deflection differential equation is formulated. The deflection and stress distributions of the immediate roof beam are thereby determined. A systematic analysis of the asymmetric deformation mechanism and its principal influencing factors is conducted using the control variable method. A support approach employing a mechanical constant-resistance single prop (MCRSP) has been developed and validated through practical application. The findings demonstrate that the frequently observed asymmetric deformation in gob-side entries is primarily induced by the combined effect of the working face’s front abutment pressure and the lateral pressure originating from the neighboring goaf area. It is found that parameters including the immediate roof thickness, roadway span, and its peak stress have a significant influence on entry convergence. Under both primary and secondary mining conditions, the maximum subsidence shows an inverse relationship with the immediate roof thickness, while exhibiting a positive correlation with both the roadway span and the peak stress. Based on the theoretical analysis, an advanced support scheme, which centers on the application of an MCRSP, is designed. Field monitoring data confirm that the peak roof subsidence and two-side closure are successfully limited to 663 mm and 428 mm, respectively. This support method leads to a notable reduction in roof separation and surrounding rock deformation, thereby establishing a theoretical and technical foundation for the green and safe mining of deep extra-thick coal seams. Full article
(This article belongs to the Special Issue Scientific Disposal and Utilization of Coal-Based Solid Waste)
Show Figures

Figure 1

25 pages, 17971 KB  
Article
Kinematic Modeling and Solutions for Cable-Driven Parallel Robots Considering Adaptive Pulley Kinematics
by Zhonghua Hu, Chaowen Deng, Kai Wang and Jianqing Peng
Sensors 2026, 26(1), 39; https://doi.org/10.3390/s26010039 - 20 Dec 2025
Viewed by 639
Abstract
Although the use of adaptive pulleys enhances the motion characteristics of cable-driven parallel robots (CDPRs), it significantly increases the complexity of the kinematics model. Conventional methods often fail to account for the influence of adaptive pulley motion on cable length variation, making it [...] Read more.
Although the use of adaptive pulleys enhances the motion characteristics of cable-driven parallel robots (CDPRs), it significantly increases the complexity of the kinematics model. Conventional methods often fail to account for the influence of adaptive pulley motion on cable length variation, making it difficult to establish a precise kinematics model. To deal with the problem, this study presents a kinematic modeling and solution method for CDPRs, which incorporates adaptive pulley kinematics. First, the structural design of the CDPR driven by eight cables is analyzed. Then, the generalized kinematics model and the improved kinematics model with adaptive pulley considerations are established. Furthermore, a hybrid Levenberg–Marquardt and Genetic algorithm is proposed to achieve the efficient and high-precision solution of kinematics equations by combining the rapid global search and precise local optimization. Finally, the proposed method is validated through straight path simulation and elliptical path simulation. The simulation results indicate that the tracking accuracy of the end-effector is better than the 1 × 10−7 level for the proposed method. Full article
Show Figures

Figure 1

19 pages, 6825 KB  
Article
An Explicit Shifted Legendre Petrov–Galerkin Technique for the Time Fractional Cable Problem
by S. S. Alzahrani and Ahmed Gamal Atta
Mathematics 2025, 13(23), 3861; https://doi.org/10.3390/math13233861 - 2 Dec 2025
Viewed by 294
Abstract
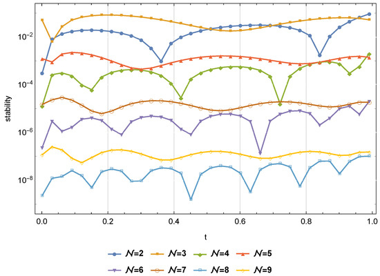
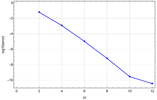
This paper focuses on analyzing and implementing a numerical technique using the Petrov–Galerkin technique (PGT) to solve the time fractional cable problem (TFCP). The trial functions are a modified set of shifted Legendre polynomials (LPs). An appropriate numerical approach can be [...] Read more.
This paper focuses on analyzing and implementing a numerical technique using the Petrov–Galerkin technique (PGT) to solve the time fractional cable problem (TFCP). The trial functions are a modified set of shifted Legendre polynomials (LPs). An appropriate numerical approach can be used to solve the linear algebraic equations resulting from the application of the PGT. With error bounds, we discuss the truncation estimation and stability in the L2 norm. We apply some inequalities on the modified set of shifted LPs to this research. Numerical experiments include benchmark issues for which exact solutions are presented to show how efficient and accurate the method is. Comparisons with different techniques in the literature are used to support our examples. Full article
(This article belongs to the Section E: Applied Mathematics)
Show Figures

Figure 1

16 pages, 3415 KB  
Article
An Indicator for Assessing the Hosting Capacity of Low-Voltage Power Networks for Distributed Energy Resources
by Grzegorz Hołdyński, Zbigniew Skibko and Andrzej Firlit
Energies 2025, 18(23), 6315; https://doi.org/10.3390/en18236315 - 30 Nov 2025
Cited by 1 | Viewed by 433
Abstract
The article analyses the hosting capacity of low-voltage (LV) power grids for connecting distributed energy sources (DER), mainly photovoltaic installations (PV), considering technical limitations imposed by power system operating conditions. The main objective of the research was to develop a simple equation that [...] Read more.
The article analyses the hosting capacity of low-voltage (LV) power grids for connecting distributed energy sources (DER), mainly photovoltaic installations (PV), considering technical limitations imposed by power system operating conditions. The main objective of the research was to develop a simple equation that enables the quick estimation of the maximum power of an energy source that can be safely connected at a given point in the network without causing excessive voltage rise or overloading the transformer and line cable. The analysis was performed on the basis of relevant calculation formulas and simulations carried out in DIgSILENT PowerFactory, where a representative low-voltage grid model was developed. The network model included four transformer power ratings (40, 63, 100, and 160 kVA) and four cable cross-sections (25, 35, 50, and 70 mm2), which made it possible to assess the impact of these parameters on grid hosting capacity as a function of the distance from the transformer station. Based on this, the PHCI indicator was developed to determine the hosting capacity of a low-voltage network, using only the transformer rating and the length and cross-section of the line for the calculations. A comparison of the results obtained using the proposed equation with detailed calculations showed that the approximation error does not exceed 15%, which confirms the high accuracy and practical applicability of the proposed approach. Full article
(This article belongs to the Special Issue New Technologies and Materials in the Energy Transformation)
Show Figures

Figure 1

18 pages, 10388 KB  
Article
A Novel Flexible Multibody System Dynamic Analysis Platform of Tower Crane
by Zuqing Yu and Hongjing Li
Machines 2025, 13(12), 1103; https://doi.org/10.3390/machines13121103 - 28 Nov 2025
Viewed by 534
Abstract
Current research on tower crane control lacks high-fidelity models and fails to account for the coupling effects between the tower crane structure and the hoisting and luffing systems. A new dynamic analysis platform based on the flexible multibody system theory is proposed in [...] Read more.
Current research on tower crane control lacks high-fidelity models and fails to account for the coupling effects between the tower crane structure and the hoisting and luffing systems. A new dynamic analysis platform based on the flexible multibody system theory is proposed in this investigation for the tower crane which contains a large-scale steel structure and hoisting mechanisms undergoing large displacements and large deformations. The Arbitrary Lagrangian–Eulerian–Absolute Nodal Coordinate Formulation (ALE–ANCF) cable element was employed to model the varying length of the steel rope in the hoisting mechanisms. Nonlinear kinetic equations were used to describe the motion of a luffing trolley. The solving strategy of the system’s dynamical equations are presented. Two different trajectories were tested. Simulation results demonstrate the feasibility and rationality of the proposed dynamic analysis platform. The primary conclusion is that this platform serves as a reliable and high-fidelity testbed for developing and evaluating advanced control algorithms under realistic dynamic conditions, thereby providing a dependable tool for both research and engineering applications. Full article
(This article belongs to the Section Machine Design and Theory)
Show Figures

Figure 1

19 pages, 4563 KB  
Article
Research on Crosstalk Calculation Methods of Installed Cables
by Yuxi Ren, Jin Tian, Yaoxing Jia, Jingqi Zuo, Xianwen Xie, Yanhui Liu, Zihe Xu and Peng Zhang
Electronics 2025, 14(23), 4640; https://doi.org/10.3390/electronics14234640 - 25 Nov 2025
Viewed by 512
Abstract
Interconnect cables serve as critical components in electronic systems responsible for energy and signal transmission. Their electromagnetic compatibility directly impacts the reliable operation of the system. As internal cable layouts become increasingly complex and compact, crosstalk issues between cables have become more pronounced. [...] Read more.
Interconnect cables serve as critical components in electronic systems responsible for energy and signal transmission. Their electromagnetic compatibility directly impacts the reliable operation of the system. As internal cable layouts become increasingly complex and compact, crosstalk issues between cables have become more pronounced. In this paper, we investigate the crosstalk characteristics of complex assembled cables, proposing a transmission line coupling calculation method that accounts for the influence of cable insulation layers. We specifically address the challenges of computationally complex coupling analysis and insufficiently in-depth crosstalk characteristic analysis in real-world interconnect cable systems. First, we investigate crosstalk calculation methods for assembled interconnect cables. We analyze and extract typical branch, parallel, and vertical structural features present in assembled cables, establishing an electromagnetic coupling model for complex assembled interconnect cables. Based on multi-conductor transmission line theory and incorporating the weak coupling assumption, the direct coupling from interference sources and their reflected waves to sensitive ports, along with the four types of interference propagation paths corresponding to reflected coupling, are decomposed and identified. Building upon this, a transmission line equation accounting for insulation layer effects is proposed. Finally, the crosstalk values calculated using the proposed method are compared with experimentally measured values and those obtained from CST simulations. The comparison results indicate that under ideal transmission line conditions, the crosstalk values obtained from the three methods show minimal deviation, validating the proposed algorithm. Full article
Show Figures

Figure 1

21 pages, 29248 KB  
Article
Role of Lee Wave Turbulence in the Dispersion of Sediment Plumes
by Alban Souche, Ebbe H. Hartz, Lars H. Rüpke and Daniel W. Schmid
Oceans 2025, 6(4), 77; https://doi.org/10.3390/oceans6040077 - 12 Nov 2025
Viewed by 767
Abstract
Sediment plumes threatening benthic ecosystems are one of the environmental hazards associated with seafloor interventions such as bottom trawling, cabling, dredging, and marine mining operations. This study focuses on sediment plume release from hypothetical future deep-sea mining activities, emphasizing its interaction with turbulent [...] Read more.
Sediment plumes threatening benthic ecosystems are one of the environmental hazards associated with seafloor interventions such as bottom trawling, cabling, dredging, and marine mining operations. This study focuses on sediment plume release from hypothetical future deep-sea mining activities, emphasizing its interaction with turbulent ocean currents in regions characterized by complex seafloor topography. In such environments, turbulent lee waves may significantly enhance the scattering of released sediments, pointing to the clear need for appropriate impact assessment frameworks. Global-scale models are limited in their ability to resolve sufficiently high Reynolds numbers to accurately represent turbulence generated by seafloor topography. To overcome these limitations and effectively assess lee wave dynamics, models must incorporate the full physics of turbulence without simplifying the Navier–Stokes equations and must operate with significantly finer spatial discretization while maintaining a domain large enough to capture the full topographic signal. Considering a seamount in the Lofoten Basin of the Norwegian Sea as an example, we present a novel numerical analysis that explores the interplay between lee wave turbulence and sediment plume dispersion using a high-resolution Large Eddy Simulation (LES) framework. We show that the turbulence occurs within semi-horizontal channels that emerge beyond the topographic highs and extend into sheet-like tails close to the seafloor. In scenarios simulating sediment release from various sites on the seamount, our model predicts distinct behavior patterns for different particle sizes. Particles with larger settling velocities tend to deposit onto the seafloor within 50–200 m of release sites. Conversely, particles with lower settling velocities are more susceptible to turbulent transport, potentially traveling greater distances while experiencing faster dilution. Based on our scenarios, we estimate that the plume concentration may dilute below 1 ppm at about 2 km distance from the release site. Although our analysis shows that mixing with ambient seawater results in rapid dilution to low concentrations, it appears crucial to account for the effects of topographic lee wave turbulence in impact assessments related to man-made sediment plumes. Our high-resolution numerical simulations enable the identification of sediment particle size groups that are most likely affected by turbulence, providing valuable insights for developing targeted mitigation strategies. Full article
Show Figures

Figure 1

22 pages, 2920 KB  
Article
Delannoy Tau-Based Numerical Procedure for the Time-Fractional Cable Model
by Ahmed Gamal Atta, Mohamed A. Abdelkawy, Naher Mohammed A. Alsafri and Waleed Mohamed Abd-Elhameed
Symmetry 2025, 17(11), 1916; https://doi.org/10.3390/sym17111916 - 8 Nov 2025
Viewed by 374
Abstract
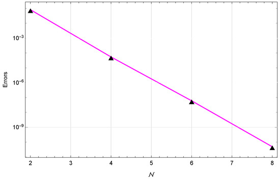
This study uses the spectral tau method to treat the time-fractional cable equation (TFCE). The proposed algorithm uses the shifted Delannoy polynomials, which are non-symmetric orthogonal. The orthogonality property of the non-symmetric shifted Delannoy polynomials and some representations facilitate obtaining accurate spectral approximations [...] Read more.
This study uses the spectral tau method to treat the time-fractional cable equation (TFCE). The proposed algorithm uses the shifted Delannoy polynomials, which are non-symmetric orthogonal. The orthogonality property of the non-symmetric shifted Delannoy polynomials and some representations facilitate obtaining accurate spectral approximations for the TFCE. Several numerical examples ensure the efficiency and accuracy of the method. We compare the suggested scheme to other algorithms and benchmark it against existing analytical solutions to demonstrate the high accuracy of our presented algorithm. Full article
Show Figures

Figure 1

18 pages, 1684 KB  
Article
Stress Analysis in Catenary Flexibles of the Floating Offshore Structures
by Majid Aleyaasin
J. Mar. Sci. Eng. 2025, 13(11), 2081; https://doi.org/10.3390/jmse13112081 - 1 Nov 2025
Viewed by 557
Abstract
In this paper, the nonlinear bending of the slender flexible cable connected to floating offshore energy platforms is considered. The aim is to find accurate values for the bending stress in the catenaries that lead to fatigue and short lifetime. A new approach [...] Read more.
In this paper, the nonlinear bending of the slender flexible cable connected to floating offshore energy platforms is considered. The aim is to find accurate values for the bending stress in the catenaries that lead to fatigue and short lifetime. A new approach called Extended Stiffened Catenary Theory (ESCT) is described and outlined, which accurately predicts the bending stresses such that they can be validated by high-fidelity FEM software, e.g., ABAQUS 2024. It is found that some widely used software, such as Orcaflex 11.4, underestimates these bending stresses. Although the Orcaflex uses built-in FEM software to analyse the stresses, there are substantial differences between the results. Since the stresses are underestimated, it can lead to a wrongly estimated higher fatigue lifetime. Therefore, a critical review of stress analysis in Orcaflex is carried out to find the origins of such underestimation. It is shown that the explicit integration of equations of motion in Orcaflex is the reason for such underestimation, even in static analysis. The ABAQUS can predict accurately because of implicit (standard) integration. It is concluded that using this ESCT allows us to estimate a more realistic and reliable stress, thereby leading to a realistic lifetime for catenary umbilicals and cables for floating platforms. Full article
(This article belongs to the Section Ocean Engineering)
Show Figures

Figure 1

13 pages, 7105 KB  
Article
Surface–Volume Integral Formulation for Evaluating Magnetization Losses in CORC® Cables
by Francesco Lucchini and Fabrizio Dughiero
Crystals 2025, 15(10), 879; https://doi.org/10.3390/cryst15100879 - 12 Oct 2025
Viewed by 490
Abstract
Modeling the electromagnetic (EM) behavior of CORC® cables presents significant computational challenges due to the coexistence of thin superconducting tapes and thick structural formers. This creates a strongly multiscale problem, making traditional FEM-based approaches cumbersome, as they require extremely fine meshes to [...] Read more.
Modeling the electromagnetic (EM) behavior of CORC® cables presents significant computational challenges due to the coexistence of thin superconducting tapes and thick structural formers. This creates a strongly multiscale problem, making traditional FEM-based approaches cumbersome, as they require extremely fine meshes to accurately resolve the different geometric scales. Integral Equation Methods (IEMs), on the other hand, are well-suited for magnetization loss analysis in multiscale superconducting structures, as they avoid modeling non-EM-active parts of the domain. This greatly reduces the effort involved in meshing the computational domain. In this work, we propose an IEM that couples surface and volumetric models to perform transient nonlinear analysis of CORC®-like superconducting cables. Full article
(This article belongs to the Special Issue Superconductivity and Condensed Matter Physics)
Show Figures

Figure 1

12 pages, 3085 KB  
Article
Generating Dynamical Systems with Iterated Torus Knots as Solutions
by Daniel Andrés Lozoya Ponce and Hugo Cabrera-Ibarra
Axioms 2025, 14(9), 656; https://doi.org/10.3390/axioms14090656 - 25 Aug 2025
Viewed by 853
Abstract
The occurrence of knots as solutions of dynamical systems has been widely studied in the literature. In particular, ways to determine families of knots as solutions of differential equations have been described in several papers. In this article, an infinite family of dynamical [...] Read more.
The occurrence of knots as solutions of dynamical systems has been widely studied in the literature. In particular, ways to determine families of knots as solutions of differential equations have been described in several papers. In this article, an infinite family of dynamical systems, based on torus knots, is built each of which has the property that an infinite number of cable knots from torus knots (i.e., iterated torus knots) are obtained as solutions. One such dynamical system, based on the trefoil knot, is explicitly constructed. The methodology described herein may also be applied to any torus knot, and even to any other knot as long as a parametrization is provided for the latter. An example of application of the method is presented for the case of the figure eight knot, which is not a torus knot. Also, a possible application in cryptography is sketched. Full article
(This article belongs to the Special Issue Differential Equations and Its Application)
Show Figures

Figure 1

24 pages, 59662 KB  
Article
Numerical Analysis of Composite Stiffened NiTiNOL-Steel Wire Ropes and Panels Undergoing Nonlinear Vibrations
by Teguh Putranto, Totok Yulianto, Septia Hardy Sujiatanti, Dony Setyawan, Ahmad Fauzan Zakki, Muhammad Zubair Muis Alie and Wibowo Wibowo
Modelling 2025, 6(3), 77; https://doi.org/10.3390/modelling6030077 - 4 Aug 2025
Cited by 1 | Viewed by 872
Abstract
This research explores the application of NiTiNOL-steel (NiTi–ST) wire ropes as nonlinear damping devices for mitigating vibrations in composite stiffened panels. A dynamic model is formulated by coupling the composite panel with a modified Bouc–Wen hysteresis representation and employing the first-order shear deformation [...] Read more.
This research explores the application of NiTiNOL-steel (NiTi–ST) wire ropes as nonlinear damping devices for mitigating vibrations in composite stiffened panels. A dynamic model is formulated by coupling the composite panel with a modified Bouc–Wen hysteresis representation and employing the first-order shear deformation theory (FSDT), based on Hamilton’s principle. Using the Galerkin truncation method (GTM), the model is converted into a system of nonlinear ordinary differential equations. The dynamic response to axial harmonic excitations is analyzed, emphasizing the vibration reduction provided by the embedded NiTi–ST ropes. Finite element analysis (FEA) validates the model by comparing natural frequencies and force responses with and without ropes. A newly developed experimental apparatus demonstrates that NiTi–ST cables provide outstanding vibration damping while barely affecting the system’s inherent frequency. The N3a configuration of NiTi–ST ropes demonstrates optimal vibration reduction, influenced by excitation frequency, amplitude, length-to-width ratio, and composite layering. Full article
(This article belongs to the Section Modelling in Engineering Structures)
Show Figures

Figure 1

Back to TopTop