A Novel Flexible Multibody System Dynamic Analysis Platform of Tower Crane
Abstract
1. Introduction
2. Modeling of Hoisting Wire Rope
2.1. Element Kinematic Description
2.2. Element Elastic Model
3. Modeling of Tower Crane System
3.1. Dynamic Modeling of Hoisting Rope of Tower Crane
3.2. Assembly of Tower Crane System Model Based on Motion Constraints
4. Solution Methods for the Complete System Dynamic Equations
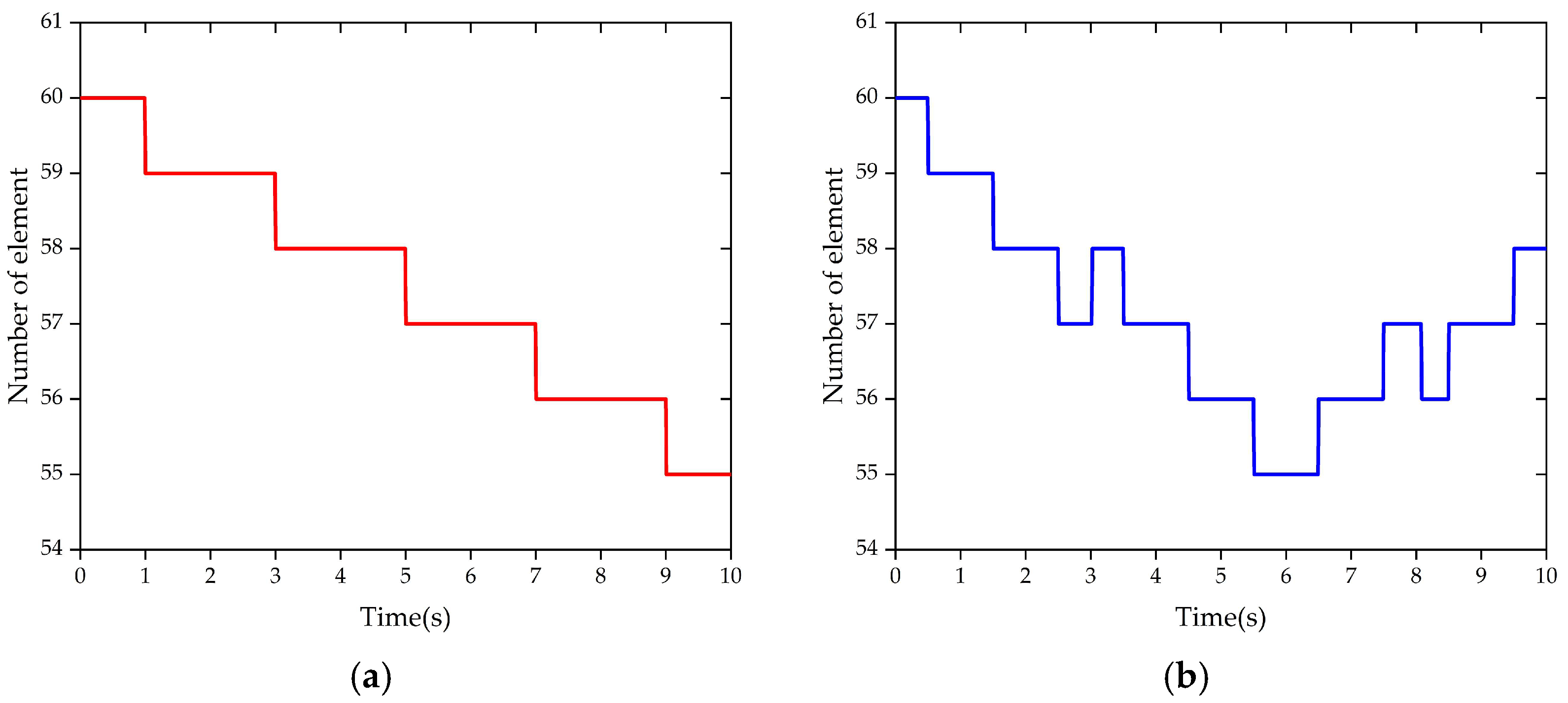
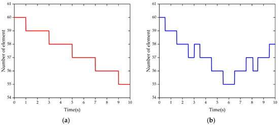
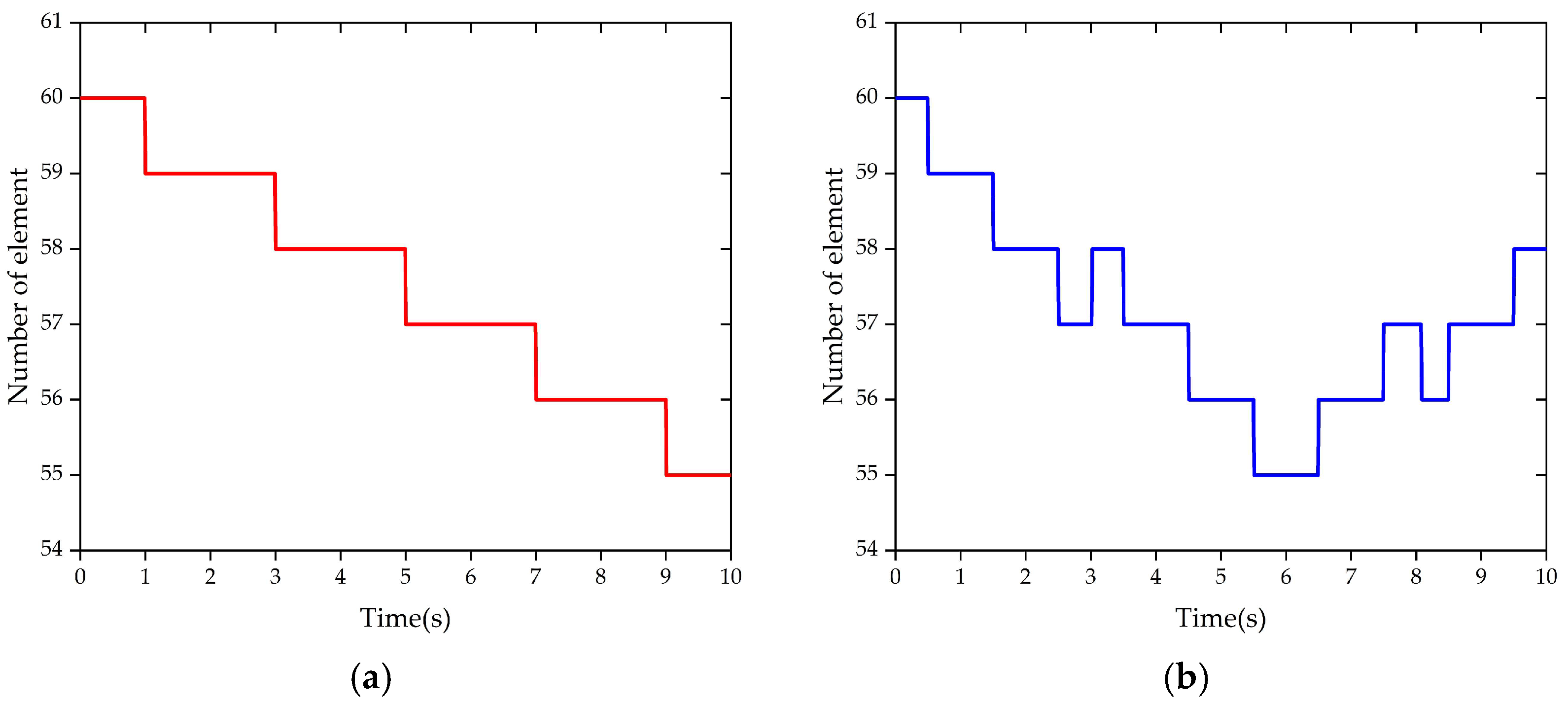
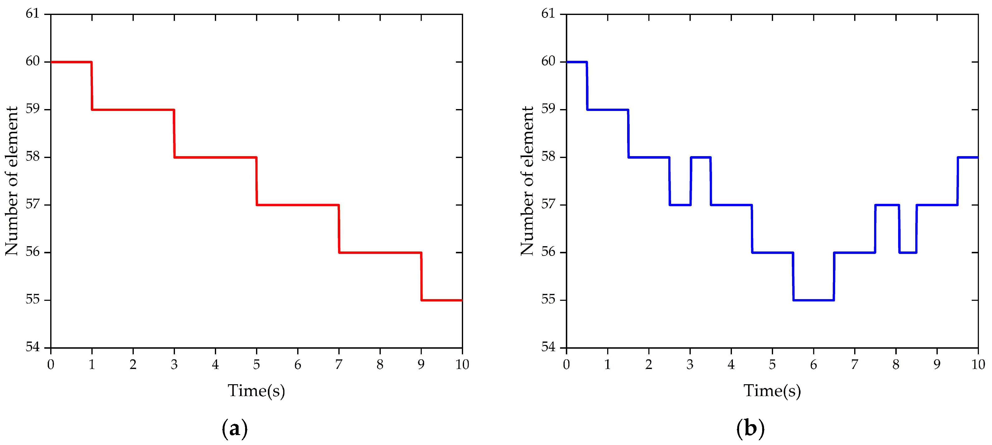
5. Numerical Simulation and Validation
6. Conclusions
Author Contributions
Funding
Data Availability Statement
Conflicts of Interest
Nomenclature
| , , | the nodal coordinate vector of element, tower crane, hoisting rope |
| the time | |
| , | the global position and gradient vector of node |
| the material coordinate of node | |
| , , | the global position, velocity, acceleration of an arbitrary point in the element |
| the shape function of element | |
| , , , | the components of the shape function |
| the dimensionless material coordinate | |
| the length of element | |
| the material coordinate of an arbitrary point in the element | |
| , , , | the velocity, acceleration of material coordinates of node 1, 2 |
| the quadratic term of velocity | |
| the shape function matrix associated with velocity | |
| the first derivative of shape function with respect to time | |
| the generalized velocity of element nodal coordinate | |
| , , | the generalized acceleration of element nodal coordinate |
| , , | the mass matrix of element, tower crane, hoisting rope |
| the identity matrix | |
| the strain energy | |
| the cross-section area of element | |
| the modulus of elasticity | |
| the second moment of the cross-section | |
| the strain along the axis | |
| the spatial measurement of curvature | |
| , | the first and second derivative with respect to the material coordinates |
| , | the first and second derivative of the shape function matrix with respect to the isoparametric coordinate |
| the i,j-th components of nodal coordinate vector | |
| the i-th row and j-th column components of Jacobian matrix in the element elastic force | |
| , , | the generalized elastic force of element, hoisting rope, entire system |
| , | the i-th column of the first and second derivative of element shape function with respect to the material coordinate |
| the integrated functions in the formulation of the Jacobian matrix of the element elastic force | |
| the additional generalized inertial force of hoisting rope | |
| , | the generalized external force of hoisting rope, entire system |
| the Lagrange multiplier | |
| the system constraint equations | |
| the Jacobian matrix of constraint equation with respect to generalized coordinates | |
| the external force | |
| the reference density | |
| , | the position of the trolley, wire rope’s endpoint |
| the motion equation of the trolley | |
| the standard element length | |
| , | the nodal coordinates at both ends of the beam element |
References
- Ju, F.; Choo, Y.S. Dynamic Analysis of Tower Cranes. J. Eng. Mech. 2005, 131, 88–96. [Google Scholar] [CrossRef]
- Ju, F.; Choo, Y.S.; Cui, F.S. Dynamic response of tower crane induced by the pendulum motion of the payload. Int. J. Solids Struct. 2006, 43, 376–389. [Google Scholar] [CrossRef]
- Yang, W.; Zhang, Z.; Shen, R. Modeling of system dynamics of a slewing flexible beam with moving payload pendulum. Mech. Res. Commun. 2007, 34, 260–266. [Google Scholar] [CrossRef]
- Vaughan, J.; Kim, D.; Singhose, W. Control of Tower Cranes with Double-Pendulum Payload Dynamics. IEEE Trans. Control Syst. Technol. 2010, 18, 1345–1358. [Google Scholar] [CrossRef]
- Duong, S.C.; Uezato, E.; Kinjo, H.; Yamamoto, T. A hybrid evolutionary algorithm for recurrent neural network control of a three-dimensional tower crane. Autom. Constr. 2012, 23, 55–63. [Google Scholar] [CrossRef]
- Le, T.A.; Dang, V.-H.; Ko, D.H.; An, T.N.; Lee, S.-G. Nonlinear controls of a rotating tower crane in conjunction with trolley motion. Proc. Inst. Mech. Eng. Part I J. Syst. Control Eng. 2013, 227, 451–460. [Google Scholar] [CrossRef]
- Bock, M.; Kugi, A. Real-time Nonlinear Model Predictive Path-Following Control of a Laboratory Tower Crane. IEEE Trans. Control Syst. Technol. 2014, 22, 1461–1473. [Google Scholar] [CrossRef]
- Chen, H.; Fang, Y.; Sun, N. An adaptive tracking control method with swing suppression for 4-DOF tower crane systems. Mech. Syst. Signal Process. 2019, 123, 426–442. [Google Scholar] [CrossRef]
- Zhang, M.; Zhang, Y.; Ji, B.; Ma, C.; Cheng, X. Modeling and energy-based sway reduction control for tower crane systems with double-pendulum and spherical-pendulum effects. Meas. Control 2019, 53, 141–150. [Google Scholar] [CrossRef]
- Zhang, M.; Zhang, Y.; Ji, B.; Ma, C.; Cheng, X. Adaptive sway reduction for tower crane systems with varying cable lengths. Autom. Constr. 2020, 119, 103342. [Google Scholar] [CrossRef]
- Ouyang, H.; Tian, Z.; Yu, L.; Zhang, G. Adaptive tracking controller design for double-pendulum tower cranes. Mech. Mach. Theory 2020, 153, 103980. [Google Scholar] [CrossRef]
- Zhang, M.; Zhang, Y.; Ouyang, H.; Ma, C.; Cheng, X. Adaptive integral sliding mode control with payload sway reduction for 4-DOF tower crane systems. Nonlinear Dyn. 2020, 99, 2727–2741. [Google Scholar] [CrossRef]
- Ramli, L.; Mohamed, Z.; Abdullahi, A.M.; Jaafar, H.I.; Lazim, I.M. Control strategies for crane systems: A comprehensive review. Mech. Syst. Signal Process. 2017, 95, 1–23. [Google Scholar] [CrossRef]
- Rauscher, F.; Sawodny, O. An Elastic Jib Model for the Slewing Control of Tower Cranes. Ifac Pap. 2017, 50, 9796–9801. [Google Scholar] [CrossRef]
- Rauscher, F.; Sawodny, O. Modeling and Control of Tower Cranes with Elastic Structure. IEEE Trans. Control Syst. Technol. 2021, 29, 64–79. [Google Scholar] [CrossRef]
- Gerstmayr, J.; Irschik, H. On the correct representation of bending and axial deformation in the absolute nodal coordinate formulation with an elastic line approach. J. Sound Vib. 2008, 318, 461–487. [Google Scholar] [CrossRef]
- Wang, Q.; Tian, Q.; Hu, H. Dynamic simulation of frictional contacts of thin beams during large overall motions via absolute nodal coordinate formulation. Nonlinear Dyn. 2014, 77, 1411–1425. [Google Scholar] [CrossRef]
- Wang, Q.; Tian, Q.; Hu, H. Dynamic simulation of frictional multi-zone contacts of thin beams. Nonlinear Dyn. 2015, 83, 1919–1937. [Google Scholar] [CrossRef]
- Escalona, J.L.; Sugiyama, H.; Shabana, A.A. Modelling of structural flexiblity in multibody railroad vehicle systems. Veh. Syst. Dyn. 2013, 51, 1027–1058. [Google Scholar] [CrossRef]
- Pappalardo, C.M.; De Simone, M.C.; Guida, D. Multibody modeling and nonlinear control of the pantograph/catenary system. Arch. Appl. Mech. 2019, 89, 1589–1626. [Google Scholar] [CrossRef]
- Luo, S.; Fan, Y.; Cui, N. Application of Absolute Nodal Coordinate Formulation in Calculation of Space Elevator System. Appl. Sci. 2021, 11, 11576. [Google Scholar] [CrossRef]
- Zhang, Y.; Guo, J.W.; Liu, Y.Q.; Wei, C. Absolute Nodal Coordinate Formulation-Based Decoupled-Stranded Model for Flexible Cables with Large Deformation. J. Comput. Nonlinear Dyn. 2021, 16, 031005. [Google Scholar] [CrossRef]
- Peng, C.; Yang, C.; Xue, J.; Gong, Y.; Zhang, W. An adaptive variable-length cable element method for form-finding analysis of railway catenaries in an absolute nodal coordinate formulation. Eur. J. Mech.-A/Solids 2022, 93, 104515. [Google Scholar] [CrossRef]
- Zhang, P.; Duan, M.; Gao, Q.; Ma, J.; Wang, J.; Sævik, S. Efficiency improvement on the ANCF cable element by using the dot product form of curvature. Appl. Math. Model. 2022, 102, 435–452. [Google Scholar] [CrossRef]
- Wang, J.; Yang, Q.; Huang, B.; Ouyang, Y. Adaptive ANCF method described by arbitrary Lagrange-Euler formulation with application in variable-length underwater tethered systems moving in limited spaces. Ocean Eng. 2024, 297, 117059. [Google Scholar] [CrossRef]
- Yang, S.; Ren, H.; Zhu, X. Dynamic modeling of cable deployment/retrieval based on ALE-ANCF and adaptive step-size integrator. Ocean Eng. 2024, 309, 118517. [Google Scholar] [CrossRef]
- Escalona, J.L.; Mohammadi, N. Advances in the modeling and dynamic simulation of reeving systems using the arbitrary Lagrangian–Eulerian modal method. Nonlinear Dyn. 2022, 108, 3985–4003. [Google Scholar] [CrossRef]
- Shabana, A.A. An overview of the ANCF approach, justifications for its use, implementation issues, and future research directions. Multibody Syst. Dyn. 2023, 58, 433–477. [Google Scholar] [CrossRef]
- Li, K.; Liu, M.L.; Yu, Z.Q.; Lan, P.; Lu, N.L. Multibody system dynamic analysis and payload swing control of tower crane. Proc. Inst. Mech. Eng. Part K J. Multi-Body Dyn. 2022, 236, 407–421. [Google Scholar] [CrossRef]
- Hong, D.; Tang, J.; Ren, G. Dynamic modeling of mass-flowing linear medium with large amplitude displacement and rotation. J. Fluids Struct. 2011, 27, 1137–1148. [Google Scholar] [CrossRef]













| Properties | Length of Jib (m) | Radius of Mast and Jib Section (mm) | Gravity Acceleration (m/s2) | Material |
|---|---|---|---|---|
| Value | 80 | 3 | 9.81 | Q345 |
| Properties | Initial Length (m) | Radius (mm) | Gravity Acceleration (m/s2) | Density (kg/m3) | Young’s Modulus (GPa) | Possion Ratio |
|---|---|---|---|---|---|---|
| Value | 60 | 10 | 9.81 | 7850 | 50 | 0.33 |
Disclaimer/Publisher’s Note: The statements, opinions and data contained in all publications are solely those of the individual author(s) and contributor(s) and not of MDPI and/or the editor(s). MDPI and/or the editor(s) disclaim responsibility for any injury to people or property resulting from any ideas, methods, instructions or products referred to in the content. |
© 2025 by the authors. Licensee MDPI, Basel, Switzerland. This article is an open access article distributed under the terms and conditions of the Creative Commons Attribution (CC BY) license (https://creativecommons.org/licenses/by/4.0/).
Share and Cite
Yu, Z.; Li, H. A Novel Flexible Multibody System Dynamic Analysis Platform of Tower Crane. Machines 2025, 13, 1103. https://doi.org/10.3390/machines13121103
Yu Z, Li H. A Novel Flexible Multibody System Dynamic Analysis Platform of Tower Crane. Machines. 2025; 13(12):1103. https://doi.org/10.3390/machines13121103
Chicago/Turabian StyleYu, Zuqing, and Hongjing Li. 2025. "A Novel Flexible Multibody System Dynamic Analysis Platform of Tower Crane" Machines 13, no. 12: 1103. https://doi.org/10.3390/machines13121103
APA StyleYu, Z., & Li, H. (2025). A Novel Flexible Multibody System Dynamic Analysis Platform of Tower Crane. Machines, 13(12), 1103. https://doi.org/10.3390/machines13121103
